当前位置:首页>文档>2017数学三解析公众号,西米研考_27考研真题_考研数学一、二、三历年真题+考研数学资料(1994-2026)_考研数学真题(1987-2026)_考研数学历年真题(1987-2024)_考研数学三真题1987-2024

2017数学三解析公众号,西米研考_27考研真题_考研数学一、二、三历年真题+考研数学资料(1994-2026)_考研数学真题(1987-2026)_考研数学历年真题(1987-2024)_考研数学三真题1987-2024

  • 2026-04-16 18:17:57 2026-04-16 13:23:24

文档预览

2017数学三解析公众号,西米研考_27考研真题_考研数学一、二、三历年真题+考研数学资料(1994-2026)_考研数学真题(1987-2026)_考研数学历年真题(1987-2024)_考研数学三真题1987-2024
2017数学三解析公众号,西米研考_27考研真题_考研数学一、二、三历年真题+考研数学资料(1994-2026)_考研数学真题(1987-2026)_考研数学历年真题(1987-2024)_考研数学三真题1987-2024
2017数学三解析公众号,西米研考_27考研真题_考研数学一、二、三历年真题+考研数学资料(1994-2026)_考研数学真题(1987-2026)_考研数学历年真题(1987-2024)_考研数学三真题1987-2024
2017数学三解析公众号,西米研考_27考研真题_考研数学一、二、三历年真题+考研数学资料(1994-2026)_考研数学真题(1987-2026)_考研数学历年真题(1987-2024)_考研数学三真题1987-2024
2017数学三解析公众号,西米研考_27考研真题_考研数学一、二、三历年真题+考研数学资料(1994-2026)_考研数学真题(1987-2026)_考研数学历年真题(1987-2024)_考研数学三真题1987-2024
2017数学三解析公众号,西米研考_27考研真题_考研数学一、二、三历年真题+考研数学资料(1994-2026)_考研数学真题(1987-2026)_考研数学历年真题(1987-2024)_考研数学三真题1987-2024
2017数学三解析公众号,西米研考_27考研真题_考研数学一、二、三历年真题+考研数学资料(1994-2026)_考研数学真题(1987-2026)_考研数学历年真题(1987-2024)_考研数学三真题1987-2024
2017数学三解析公众号,西米研考_27考研真题_考研数学一、二、三历年真题+考研数学资料(1994-2026)_考研数学真题(1987-2026)_考研数学历年真题(1987-2024)_考研数学三真题1987-2024
2017数学三解析公众号,西米研考_27考研真题_考研数学一、二、三历年真题+考研数学资料(1994-2026)_考研数学真题(1987-2026)_考研数学历年真题(1987-2024)_考研数学三真题1987-2024
2017数学三解析公众号,西米研考_27考研真题_考研数学一、二、三历年真题+考研数学资料(1994-2026)_考研数学真题(1987-2026)_考研数学历年真题(1987-2024)_考研数学三真题1987-2024
2017数学三解析公众号,西米研考_27考研真题_考研数学一、二、三历年真题+考研数学资料(1994-2026)_考研数学真题(1987-2026)_考研数学历年真题(1987-2024)_考研数学三真题1987-2024
2017数学三解析公众号,西米研考_27考研真题_考研数学一、二、三历年真题+考研数学资料(1994-2026)_考研数学真题(1987-2026)_考研数学历年真题(1987-2024)_考研数学三真题1987-2024

文档信息

文档格式
pdf
文档大小
4.948 MB
文档页数
8 页
上传时间
2026-04-16 13:23:24

文档内容

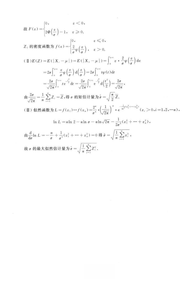
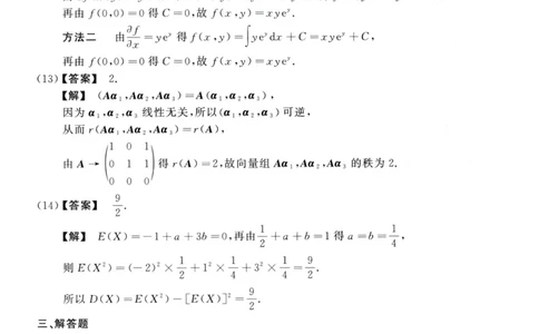
2017年数学(三)真题解析 一、选择题 (1)【答案】(A). 【解】/(O + 0) -- lim ----- =丄,/(0) = /(0 — 0) = 6, ax La lo+ 因为/(j:)在攵=0处连续,所以/(0 + 0) = _/(0) =/(0 — 0),从而ab = *,应选(A). (2) 【答案】(D). [解] 由得 严=1,$=0,[工=3, Iz; =3工 一 2工夕一攵? =0 1)=0, 1y=l, \y = 3, 13/ =0. zfxx = 一2y , z'xy = 3 一 2z — 2y , z'yy = 一2x , 当(jc ,y) = (0,0)时,AC — B2 = — 9 VO,则(0,0)不是极值点; 当(工,夕)=(1,1)时,AC-B2 =3> 0且A=-2<0,则(1,1)为极大值点; 当Q ,夕)=(0,3)时,AC-B2=-9<0,则(0,3)不是极值点; 当Q ,夕)=(3,0)时,AC - B2 =-9 < 0,则(3,0)不是极值点,应选(D). (3) 【答案】(C). 【解】 方法一 若/'&)>0,则 /■'&) >0,从而/'(1) >/(-1) > 0; 若心)V0,则八工)V0,从而/(IX/(-1X0,故 |y⑴ |> |/(-1) |,应选(C). 方法二 由/■&)•/''&)= y/2(^) ‘>0得严Q)单调递增, 从而 /2(1) >/2(-1),故 |/(1)|> |/(-1)|,应选(C). (4) 【答案】(C). /]\ 1 1 /]\ 由 ln( 1 + 工)=工 一 -2 -o (□;2 )得 ln( 1------) =-------------7 + o ( — 1 , 2 \ n ' n 2n 5 / 于是 sin -----©ln(l-----) = (& + 1) — + 7 + o , n \ n > n 2n 、n 丿 由sin ln(l------)]收敛得怡=—1,应选(C). 」 " / ”=2 L « \ (5) 【答案】(A). 【解】令A = aa 1 ,则A?=A, 令 AX -AX,由(A? -A)X = (A2 -A)X - 0 得 A2 -A =0,A = 0 或 A =1, 因为tr A = a 1 a =1=4 + ••• + A „得A的特征值为A r =…=入”一i =0,入” =1, E — aa 1 的特征值为入 i =•••=入”_i =1,入” =0,从而 | E — aa 1 | = 0, 即E-aaT不可逆,应选(A). (6) 【答案】(E). 【解】A ,B >C的特征值都为入1=入2=2,入3=1’/° 0 0 '\ 由 2E — A = 0 -1 得 r(2E —A) =1,则A可相似对角化,从而A〜C; 'o 1 0 1 /° -1 °\ 由 2E-B = | ) 0 得 r(2E--3)=2,则B不可相似对角化,从而B与A,C不相似, 'o 0 应选(B). 方法点评:设A,B为n阶矩阵,且|AE -A |= \XE~B \ ,即A 的特征值相同,则 (1) 若矩阵都可相似对角化,则A〜B; (2) 若矩阵A,B中一个可相似对角化,一个不可相似对角化,则A ,B不相似. (7) 【答案】(C). 【解】 P[(A +B)C]=P(AC + BC) =P(AC) + PCBC) - PCABC) -P(A)P(C) +P(B)P(C) - P(ABC), P(A +B)P(C) =[P(A) +P(B) — P(AB)]P(C) = P(A)P(C) +P(£)P(C) —P(AE)P(C), A U B 与 C 独立即为 F[(A +B)C] =P(A +B)P(C), 从而A U B与C独立的充分必要条件为 P(A)P(C) +P(E)P(C) — P(ABC) =P(A)P(C) +P(B)P(C) — P(AB)P(C), 或 P(ABC) =P(AB)P(C),即 AB 与 C 独立,应选(C). (8) 【答案】(B). 【解】 若总体X〜N(〃,</),则 — “)2 〜%2(“), -L^CX, -X)2 〜X2(n-1), z=l 1=1 ” n 因为总体 X 〜N (“ 9】)9 所以(X: — ")2 〜%2(/2)9 (X i — X )2 〜X 2(7? — 1)9 :=1 1=1 ― ]X — "r—— — 再由 X 〜N(〃,一)得——一“)〜N(O,1),从而 72(X — “)2 〜右(1), n 1 4n 不正确的是(B),应选(B). 二、填空题 3 (9) 【答案】 y. 【解】由定积分的奇偶性质得 J (sin3jr + 丿兀? — g2)也=| J— x2 归=2 [ it2 — x2 djr J —7r J —n J 0 '2• (*「 — 兀2cos2/山=2〃( * —F cos2tdt=^3-. 2 J 0 J 0 (10) 【答案】C2‘ +*/2 气C为任意常数). 【解】 一阶齐次差分方程yt+i — 2yt =0的通解为yt = C2'(C为任意常数);设;Vr+i — 2yt =2’的特解为y * =at2',代入得a =y» 故yl+1-2yt =2’的通解为必=C2‘ +*/2'(C 为任意常数). (11) [答案】1 + (1 —q)「q. 【解】 平均成本为乙(<2)=°器 =1 +严,总成本为C(Q)=Q + Qe~Q,故边际成本为 C'(Q)=l + (l — Q)e_Q. (12) [答案】 【解】方法一 由甘(7,3/)=夕兰(1工+2(1 + 夕)2(13/= d(xyey )得 ,y) —xyey + C , 再由 f (0,0) = 0 得 C =0,故 f (x ,y) =xyey. 方法二 由薯=夕e"得 /"(攵,夕)=dr +C = xyey + C, 再由 /(0,0) = 0 得 C =0,故 f(x ,y) =xyey. (13) [答案】2. 【解】 (A«! ,Aa2 ) = A (a 19^29(X3), 因为«i ,a2 ,a3线性无关,所以(«i ,a2 ?«3)可逆, 从而厂(Aa i Au 2 Au 3) 厂(A) 9 Z1 0 由A -* 0 1 1 |得r(A) =2,故向量组Aa! ,Aa2 ,Aa3的秩为2. ' q '0 0 9 (14)【答案】 7 【解】E(X) = —1+q + 36 = 0,再由 * + a + b= l 得 q = b= +, 1 1 19 则 E(X2) = (-2)2 X —+ 12 X —+ 32 X —=- 2 4 4 2 9 所以 D(X) =E(X2)-[E(X)]2 =》・ 三、解答题 x j----------- X — t = u (15)【解】 v 一 t e dt = 4u 于 “ du = ex J~u e u du 0 o o Jx — t e dt 4u e~M du 4u e~"du o 则lim ------------------=lim • o =lim Hf0+ Jx 3------------H-o+ Jx3 0+ J工 3 2 =hm ・ 3 /— 3 h-*o+ y3 r+°° (16)【解】 +川+ /严山山 o (1 + jc + y ) =+「"牡[好一 d(/)=| ・+oo djc (1 +^2 + y2Ydy 2 J o Jo (l+«z +夕) 2・ 0 o1 1 +8 •+8 1 o 1 +je2 1 + 2乂 ~2 djc 0 1 +工心_ 0 1 + 2jc 2 dx 丄 +°° 丄 arctan x -------d(^2j:) I 0 麗' 0 1+(屁) 丄 7T 1 7t 7T A" I I 厉・兀 I lim £ $ln(l + —] =lim 丄工—ln(l + 1 (17)【解】 x ln( 1 + 工)(Lz 心°° & = i n ' n ' loo n k = x n \ 0 丄 ln( 1 + x )d(j?2 ) = -^1—x2 ln(l + 乂) 1 _ 丄「 1 (j:2 -1) + 1 dr 7 o 22 o — 7 o 1+鼻 1 丄 dj? = £ln 2------------------In 2 = ± = Tln2 T. 0 「1+ 2 4 2 2 4 方法点评:本题考查定积分的定义求极限. n项和求极限一般分为两种类型: (1) 分子次数齐、分母次数齐,且分母的次数高于分子一次,采用定积分定义求极限,即 賈諮皓)= 畑血; £ ” i 11 (2) 若分子次数或分母次数不齐,一般使用夹逼定理. ] _ ] (18)[解】 令/'(工) ln(l + 工) x / _ 1 1 _(1+j7)In2 (1+jc)—j;2 (l+j7)ln2(l+j?) jc 2 jr2(l + j?)ln2(l + ^) 令 g(z) = (l+jt:)ln2(l+^) — x2 g(0) =0 , g\x ) = In2 (1 + j; ) + 21n(l+z) —2— g‘(0) = 0, 〃 21n(l + jc) 2 2[ln(l +工)一工] g (")= vt-- + TT7-2- < 0, 1 + 1 + g‘(0) =0, ) 由 〃 得 g(z)V0(0 na”z n=0 n=l n=l n=l =5 + 另 na”工"+ 工< 口” —另 na”工" 2”_ n = l n = l n = l 、、 n 1 \、 n _ \、 n =7」na亦十 2_j an-\^ —乙 na”尢 n = l n = l w = l =另 s_i«z"=》qq "+i = x n = jcS (x ) ? n = 0 n = 1 n = 0 即 S(x)满足(1 —jOS’Q) —hS(jc) = 0. 由(1 — h)S’(h) — jcS (jc ) = 0 得 S'(jc) — (— 1-------) S(«r) = 0,解得 \ x 一 1 f 斗 s — c")_ I 1 — X 再由 S(0) =1 得 C = 1,故 S(z) =--------. 1 一 x (20)【证明】(I )设A的特征值为入1,入2,入3, 因为A有三个不同的特征值,所以A可以相似对角化,即存在可逆矩阵P,使得 因为入1,入2,入3两两不同,所以r(A) $2, 又因为a3 = ai + 2a2,所以a!, a 2, a 3线性相关,从而r (A) V 3,于是r(A ) = 2. (U )因为厂(A) =2,所以AX =0基础解系含一个线性无关的解向量, (X — a = 0 ] + 2a 2 3 得AX =0的通解为 «i +a2 +a3 =P Ck为任意常数). 1 一4\ Fi\ ],/'(攵 ,工 ,攵 | ,X = =XTAX, —1 1 1 2 3) 4 1 a 立 3因为入3=0,所以|A| = 0. 2 1 -4 由 |a | = i -1 i =一 3(a 一 2)=0 得 a = 2. -4 i a A — 2 -1 4 -1 A +1 -1 =A (A +3)(A 一6) = 0,得入i = 一3,入 2 = 6,入 3 = 0. 4 -1 A — 2 5 1 —纠 0 -1\ 由-3E - A *■ 2 1 0 1 1 得 5丿 0 / '—4 1 0 —3对应的线性无关的特征向量为 4 - 1 4 /I ° 由 6E - A = -1 7 - 1 0 1 0得 4 - 1 4 0 0 0 =6对应的线性无关的特征向量为 1 0 _ 1 —2〕得入3 =0对应的线性无关的特征向量为 由 QE-A 0 0 0 1 =4= 丄 规范化得y】 2 1 故正交矩阵为Q= (; 1 T X = QY , , /"(•zi ,工2,3)AX ....... — 3y} + 6允. fi 9 (22)【解】(I )E(Y)= 夕• 2ydy =—, J o 3 2 P{YWE(Y)}=尸{丫€彳}=];2夕曲=y. (U)方法一 Fz(z) =P{Z ^z} =P{X +Y^z}, 当 zVO 时,Fz(z)=O;当 z $ 3 时,Fz(z) =1; 当 o < z < i 时,fz(z)= p{x = o,y < z} = p{x = o,y < z} = P{X-O}P{Y