当前位置:首页>文档>模板12电磁感应(四大题型)(解析版)_04高考物理_2025年新高考资料_二轮复习_2025年高考物理答题技巧与模板构建339420717

模板12电磁感应(四大题型)(解析版)_04高考物理_2025年新高考资料_二轮复习_2025年高考物理答题技巧与模板构建339420717

  • 2026-04-19 23:46:54 2026-04-19 23:29:12

文档预览

模板12电磁感应(四大题型)(解析版)_04高考物理_2025年新高考资料_二轮复习_2025年高考物理答题技巧与模板构建339420717
模板12电磁感应(四大题型)(解析版)_04高考物理_2025年新高考资料_二轮复习_2025年高考物理答题技巧与模板构建339420717
模板12电磁感应(四大题型)(解析版)_04高考物理_2025年新高考资料_二轮复习_2025年高考物理答题技巧与模板构建339420717
模板12电磁感应(四大题型)(解析版)_04高考物理_2025年新高考资料_二轮复习_2025年高考物理答题技巧与模板构建339420717
模板12电磁感应(四大题型)(解析版)_04高考物理_2025年新高考资料_二轮复习_2025年高考物理答题技巧与模板构建339420717
模板12电磁感应(四大题型)(解析版)_04高考物理_2025年新高考资料_二轮复习_2025年高考物理答题技巧与模板构建339420717
模板12电磁感应(四大题型)(解析版)_04高考物理_2025年新高考资料_二轮复习_2025年高考物理答题技巧与模板构建339420717
模板12电磁感应(四大题型)(解析版)_04高考物理_2025年新高考资料_二轮复习_2025年高考物理答题技巧与模板构建339420717
模板12电磁感应(四大题型)(解析版)_04高考物理_2025年新高考资料_二轮复习_2025年高考物理答题技巧与模板构建339420717
模板12电磁感应(四大题型)(解析版)_04高考物理_2025年新高考资料_二轮复习_2025年高考物理答题技巧与模板构建339420717
模板12电磁感应(四大题型)(解析版)_04高考物理_2025年新高考资料_二轮复习_2025年高考物理答题技巧与模板构建339420717
模板12电磁感应(四大题型)(解析版)_04高考物理_2025年新高考资料_二轮复习_2025年高考物理答题技巧与模板构建339420717
模板12电磁感应(四大题型)(解析版)_04高考物理_2025年新高考资料_二轮复习_2025年高考物理答题技巧与模板构建339420717
模板12电磁感应(四大题型)(解析版)_04高考物理_2025年新高考资料_二轮复习_2025年高考物理答题技巧与模板构建339420717
模板12电磁感应(四大题型)(解析版)_04高考物理_2025年新高考资料_二轮复习_2025年高考物理答题技巧与模板构建339420717
模板12电磁感应(四大题型)(解析版)_04高考物理_2025年新高考资料_二轮复习_2025年高考物理答题技巧与模板构建339420717
模板12电磁感应(四大题型)(解析版)_04高考物理_2025年新高考资料_二轮复习_2025年高考物理答题技巧与模板构建339420717
模板12电磁感应(四大题型)(解析版)_04高考物理_2025年新高考资料_二轮复习_2025年高考物理答题技巧与模板构建339420717
模板12电磁感应(四大题型)(解析版)_04高考物理_2025年新高考资料_二轮复习_2025年高考物理答题技巧与模板构建339420717
模板12电磁感应(四大题型)(解析版)_04高考物理_2025年新高考资料_二轮复习_2025年高考物理答题技巧与模板构建339420717
模板12电磁感应(四大题型)(解析版)_04高考物理_2025年新高考资料_二轮复习_2025年高考物理答题技巧与模板构建339420717
模板12电磁感应(四大题型)(解析版)_04高考物理_2025年新高考资料_二轮复习_2025年高考物理答题技巧与模板构建339420717
模板12电磁感应(四大题型)(解析版)_04高考物理_2025年新高考资料_二轮复习_2025年高考物理答题技巧与模板构建339420717
模板12电磁感应(四大题型)(解析版)_04高考物理_2025年新高考资料_二轮复习_2025年高考物理答题技巧与模板构建339420717
模板12电磁感应(四大题型)(解析版)_04高考物理_2025年新高考资料_二轮复习_2025年高考物理答题技巧与模板构建339420717
模板12电磁感应(四大题型)(解析版)_04高考物理_2025年新高考资料_二轮复习_2025年高考物理答题技巧与模板构建339420717
模板12电磁感应(四大题型)(解析版)_04高考物理_2025年新高考资料_二轮复习_2025年高考物理答题技巧与模板构建339420717
模板12电磁感应(四大题型)(解析版)_04高考物理_2025年新高考资料_二轮复习_2025年高考物理答题技巧与模板构建339420717
模板12电磁感应(四大题型)(解析版)_04高考物理_2025年新高考资料_二轮复习_2025年高考物理答题技巧与模板构建339420717
模板12电磁感应(四大题型)(解析版)_04高考物理_2025年新高考资料_二轮复习_2025年高考物理答题技巧与模板构建339420717
模板12电磁感应(四大题型)(解析版)_04高考物理_2025年新高考资料_二轮复习_2025年高考物理答题技巧与模板构建339420717
模板12电磁感应(四大题型)(解析版)_04高考物理_2025年新高考资料_二轮复习_2025年高考物理答题技巧与模板构建339420717
模板12电磁感应(四大题型)(解析版)_04高考物理_2025年新高考资料_二轮复习_2025年高考物理答题技巧与模板构建339420717
模板12电磁感应(四大题型)(解析版)_04高考物理_2025年新高考资料_二轮复习_2025年高考物理答题技巧与模板构建339420717
模板12电磁感应(四大题型)(解析版)_04高考物理_2025年新高考资料_二轮复习_2025年高考物理答题技巧与模板构建339420717
模板12电磁感应(四大题型)(解析版)_04高考物理_2025年新高考资料_二轮复习_2025年高考物理答题技巧与模板构建339420717
模板12电磁感应(四大题型)(解析版)_04高考物理_2025年新高考资料_二轮复习_2025年高考物理答题技巧与模板构建339420717
模板12电磁感应(四大题型)(解析版)_04高考物理_2025年新高考资料_二轮复习_2025年高考物理答题技巧与模板构建339420717
模板12电磁感应(四大题型)(解析版)_04高考物理_2025年新高考资料_二轮复习_2025年高考物理答题技巧与模板构建339420717
模板12电磁感应(四大题型)(解析版)_04高考物理_2025年新高考资料_二轮复习_2025年高考物理答题技巧与模板构建339420717
模板12电磁感应(四大题型)(解析版)_04高考物理_2025年新高考资料_二轮复习_2025年高考物理答题技巧与模板构建339420717
模板12电磁感应(四大题型)(解析版)_04高考物理_2025年新高考资料_二轮复习_2025年高考物理答题技巧与模板构建339420717
模板12电磁感应(四大题型)(解析版)_04高考物理_2025年新高考资料_二轮复习_2025年高考物理答题技巧与模板构建339420717
模板12电磁感应(四大题型)(解析版)_04高考物理_2025年新高考资料_二轮复习_2025年高考物理答题技巧与模板构建339420717
模板12电磁感应(四大题型)(解析版)_04高考物理_2025年新高考资料_二轮复习_2025年高考物理答题技巧与模板构建339420717
模板12电磁感应(四大题型)(解析版)_04高考物理_2025年新高考资料_二轮复习_2025年高考物理答题技巧与模板构建339420717
模板12电磁感应(四大题型)(解析版)_04高考物理_2025年新高考资料_二轮复习_2025年高考物理答题技巧与模板构建339420717
模板12电磁感应(四大题型)(解析版)_04高考物理_2025年新高考资料_二轮复习_2025年高考物理答题技巧与模板构建339420717
模板12电磁感应(四大题型)(解析版)_04高考物理_2025年新高考资料_二轮复习_2025年高考物理答题技巧与模板构建339420717
模板12电磁感应(四大题型)(解析版)_04高考物理_2025年新高考资料_二轮复习_2025年高考物理答题技巧与模板构建339420717
模板12电磁感应(四大题型)(解析版)_04高考物理_2025年新高考资料_二轮复习_2025年高考物理答题技巧与模板构建339420717
模板12电磁感应(四大题型)(解析版)_04高考物理_2025年新高考资料_二轮复习_2025年高考物理答题技巧与模板构建339420717
模板12电磁感应(四大题型)(解析版)_04高考物理_2025年新高考资料_二轮复习_2025年高考物理答题技巧与模板构建339420717
模板12电磁感应(四大题型)(解析版)_04高考物理_2025年新高考资料_二轮复习_2025年高考物理答题技巧与模板构建339420717
模板12电磁感应(四大题型)(解析版)_04高考物理_2025年新高考资料_二轮复习_2025年高考物理答题技巧与模板构建339420717
模板12电磁感应(四大题型)(解析版)_04高考物理_2025年新高考资料_二轮复习_2025年高考物理答题技巧与模板构建339420717
模板12电磁感应(四大题型)(解析版)_04高考物理_2025年新高考资料_二轮复习_2025年高考物理答题技巧与模板构建339420717
模板12电磁感应(四大题型)(解析版)_04高考物理_2025年新高考资料_二轮复习_2025年高考物理答题技巧与模板构建339420717

文档信息

文档格式
docx
文档大小
2.665 MB
文档页数
54 页
上传时间
2026-04-19 23:29:12

文档内容

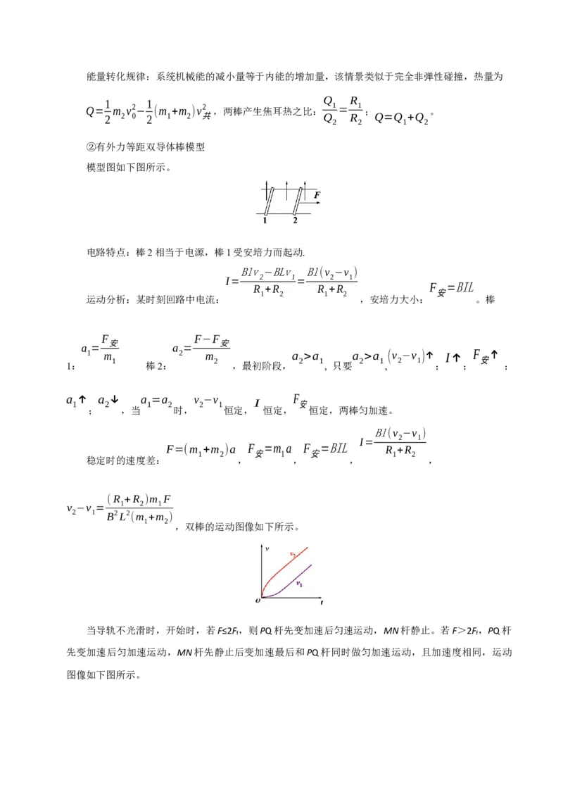
模板 12 电磁感应(四大题型) 本节导航: 题型01 电磁感应中的图像问题 题型02 电磁感应中的电路问题 题型03 电磁感应中的动力学问题 题型04 电磁感应中的能量问题 题型 01 电磁感应中的图像问题 1、题型一为给定的电磁感应过程画出图像;题型二为给定的有关图像分析电磁感应过程并求出相 应的物理量。 2、该题型考查的知识点多,包括楞次定律、法拉第电磁感应定律、电学知识、力学知识等。 一、必备基础知识 1、明确图像类型 随时间t变化类型:B-t图像、Φ-t图像、E-t图像和I-t图像。 随位移x变化类型:E-x图像和I-x图像。 2、问题类型 感生类问题:①给定电磁感应过程,选出或画出正确的图像;②由给定的图像分析电磁感应过程, 求解相应物理量。 分析方法:①电动势大小:E=n,取决于磁通量的变化率;②电动势方向:用楞次定律和安培定 则判断。 动生类问题:由闭合线圈的运动过程画出i-t图像或E-t图像。 分析方法:①电动势大小:E=Blv。要注意是单边切割还是双边切割(感应电流同向相加、反向相 减),等效长度为在磁场中导线首尾相连在垂直于速度方向的投影长度;②电动势方向:用右手定则判 断。3、解题的关键 弄清初始条件、正负方向的对应变化范围、所研究物理量的函数表达式、进出磁场的转折点等是 解决此类问题的关键。另外,要正确解决图像问题,必须能根据图像的意义把图像反映的规律对应到 实际过程中去,又能根据实际过程的抽象规律对应到图像中去,最终根据实际过程的物理规律进行判 断。 6、图像规律 ①根据B-t图像的规律,选择E-t图像、I-t图像:电磁感应中线圈面积不变、磁感应强度均匀变化, 产生的感应电动势为 ,磁感应强度的变化率 是定值,感应电动势是 定值,感应电流 就是一个定值,在 图像上就是水平直线。 ②根据线圈穿越磁场的规律,选择 图像、 图像、 图像或E-x图像、U-x图像和I -x图像:线框匀速穿过方向不同的磁场,在刚进入或刚出磁场时,线框的感应电流大小相等,方向相 同。当线框从一种磁场进入另一种磁场时,此时有两边分别切割磁感线,产生的感应电动势正好是两 者之和,根据E=BLv,求出每条边产生的感应电动势,得到总的感应电动势。由闭合电路欧姆定律求 出线框中的感应电流,此类电磁感应中图像的问题,解答的关键是要掌握法拉第电磁感应定律、欧姆 定律、楞次定律、安培力公式等等知识,要知道当线框左右两边都切割磁感线时,两个感应电动势方 向相同,是串联关系。 ③根据自感、互感的规律,选择 图像、 图像、 图像:通电自感:线圈相当于一个 变化的电阻——阻值由无穷大逐渐减小,通电瞬间自感线圈处相当于断路。断电自感:断电时自感线 圈处相当于电源,自感电动势由某值逐渐减小到零,回路中电流在原电流基础上逐渐减为零。电流稳 定时,理想的自感线圈相当于导线,非理想的自感线圈相当于定值电阻。 二、解题模板 1、解题思路2、注意问题 画图像或解读图像时,注意纵、横坐标分别表示的物理量及单位。 要注意题目规定的正方向,以防出现相关物理量正负号的错误。 3、解题方法 排除法:定性地分析电磁感应过程中物理量的变化趋势(增大还是减小)、变化快慢(均匀变化还是 非均匀变化),特别是分析物理量的正负,以排除错误的选项。 函数法:根据题目所给条件定量地写出两个物理量之间的函数关系,然后由函数关系对图象进行 分析和判断。 解题步骤: ①明确图像的种类,即是B-t图像,Φ-t图像, E-t图像或者I-t图像等;对切割磁感线产生 感应电动势和感应电流的情况,还常涉及E-x图像和i-x图像; ②分析电磁感应的具体过程; ③用右手定则或楞次定律确定方向的对应关系; ④结合法拉第电磁感应定律、闭合电路欧姆定律、牛顿运动定律等知识写出相应的函数关系式; ⑤根据函数关系式,进行数学分析,如分析斜率的变化、截距等; ⑥画图像或判断图像。 (2024·江苏徐州·模拟预测)如图甲所示,两个半径为r的单匝圆形线圈a和b,用同样的 导线制成,总阻值为R(两线圈连接部分电阻不计),图示区域内有匀强磁场,其磁感应强度B随时间 的变化关系如图乙所示。求: (1)线圈中感应电流大小; (2)线圈b消耗的电功率。思路分析 第一问的思路: 图像类型 根据法拉第电磁感应定律和电 为B-t图 学知识可求出电流的大小 像 第二问的思路: 根据上一问求得的电 根据功率P=UI可求出线 流可求出路端电压 圈b消耗的功率 详细解析 【答案】(1) ;(2) 【详解】(1)设匀强磁场的磁感应强度大小为B,线圈面积为S,则 解得 (2)设路端电压为U,功率为P,则 电功率 解得 (2024·北京东城·一模)如图甲所示,在光滑绝缘水平桌面上有一边长为l、电阻为R的正 方形导线框abcd,在导线框右侧有一宽度大于l的条形匀强磁场区域,磁场的边界与导线框的左、右边 框平行,磁感应强度大小为B,磁场方向竖直向下。导线框以向右的初速度 进入磁场。 (1)求dc边刚进入磁场时,线框中感应电动势的大小 ;(2)求dc边刚进入磁场时,ab边的瞬时电功率 ; (3)若导线框能够完全通过磁场区域并继续运动,请在图乙中定性画出导线框所受安培力大小F随时 间t变化的图像,并说明安培力随时间变化的原因。 【答案】(1) ;(2) ;(3) ,原因见解析 【详解】(1)刚进入磁场时,dc边切割磁感线产生感应电动势,根据法拉第电磁感应定律可知,此时 线框中感应电动势为 (2)根据闭合电路欧姆定律可知,dc边刚进入磁场时,线框中感应电流为 故ab边的瞬时电功率为 联立解得 (3)当线框dc边进入磁场到ab边进入磁场之前,根据法拉第电磁感应定律可知,任意时刻dc边产生 的瞬时感应电动势为 回路中的瞬时电流为线框此时受到的安培力为 联立可得得 方向与速度方向相反,因此,导线框做减速运动,随着速度v减小,安培力F也减小;根据牛顿第二定 律有 且a为速度的变化率,并且F正比于v,所以F减小的越来越慢。由于导线框能够全部通过磁场区域, 故导线框在速度减为零前已完全进入磁场,且当整个线框均在磁场中运动时,ab边和cd边都产生感应 电动势,但线框总电动势为零,电流为零,安培力为零,线框做匀速直线运动;当线框离开磁场区域 时,只有ab边做切割磁感应线运动,只有ab边产生感应电动势,导线框又受到安培力作用,初始大小 与ab边刚进入磁场时相同,之后随着速度的减小而减小。故导线框所受安培力大小F随时间t变化的 图像如答图所示。 题型 02 电磁感应中的电路问题 导体切割磁感线或者磁通量发生变化的回路将会产生感应电动势,闭合回路中会产生感应电流, 电磁感应与电路问题将会综合在一起进行考查。解答此类问题要明确题目中的电路图,因此画出等效 电路图是解题的关键。 一、必备基础知识 1、内容在电磁感应中,切割磁感线的导体或磁通量发生变化的回路将产生感应电动势,该导体或回路就 相当于电源,与用电器构成闭合回路。 2、电动势 切割磁感线运动的导体或磁通量发生变化的回路相当于电源,分为两类:①棒切割磁感线,产生 动生电动势E=Blv,方向由右手定则判断;②磁感应强度的变化产生感生电动势E=n,方向由楞次定 律判断。 3、电阻 产生感应电动势的导体或回路的电阻相当于电源的内阻,其余部分的电阻是外电阻。 4、路端电压 U=IR=E-Ir=·R。 5、感应电流 I=,r为电源内阻。 6、电荷量 通过回路截面的电荷量 q仅与n、ΔΦ和回路总电阻R 有关,与时间长短无关。推导 总 如下:q=Δt=·Δt=。 电磁感应过程中产生的感应电荷量由线圈的匝数、磁通量的变化量及电路的总电阻共 同决定,与时间Δt无关。 二、解题模板 1、解题思路 2、注意问题 电荷量的求解思路是根据法拉第电磁感应定律求出平均感应电动势,进一步求出平均感应电流, 然后求出此过程中通过导体的电荷量。 3、解题方法 “源”的分析:用法拉第电磁感应定律算出E的大小,用楞次定律或右手定则确定感应电流的方 向,感应电流方向是电源内部电流的方向,从而确定电源正负极,明确内阻r。 “路”的分析:根据“等效电源”和电路中其他各元件的连接方式画出等效电路图。 “式”根据E=Blv或E=n,结合闭合电路欧姆定律、串并联电路知识、电功率、焦耳定律等相关关系 式联立求解。电路知识的关系图如下: (23-24高三上·湖北·阶段练习)如图所示,两对电阻不计、间距为L的光滑平行金属导轨, 转角处用一小段光滑绝缘的弧形材料平滑连接。倾斜导轨与水平地面的夹角 ,上端连接电阻 ,大小 的匀强磁场Ⅰ垂直于整个倾斜导轨向上。水平导轨上静置着U形导线框cdef,cd 边和ef边均紧密贴合导轨,右侧MN和PQ之间有宽为2L、竖直向上的匀强磁场Ⅱ,大小 未知,末 端连接电阻 。质量为m、电阻为 、长也为L的导体棒ab垂直于倾斜导轨由静止释放,在到 达底端前已开始匀速运动,后进入水平导轨与线框cdef发生碰撞,立即连成闭合线框abed,然后再进 入匀强磁场Ⅱ。已知U形线框cdef的三条边与导体棒ab完全相同,重力加速度为g,导体棒和线框在 运动中均与导轨接触良好。 (1)求ab棒在倾斜导轨上所受重力的最大功率; (2)若闭合线框abed在完全进入磁场Ⅱ之前速度减为零,求电阻 产生的热量; (3)若闭合线框abed刚好运动到磁场Ⅱ的右边界线PQ处时速度减为零,求磁场II的磁感应强度 。 思路分析第一问的思路: 导体棒ab在倾斜导 根据电磁感应定律、电 轨上匀速运动时所受 学知识和平衡条件即可 安培力的功率最大 求出功率 第二问的思路: 导体棒ab与线框cdef 碰后闭合线框abed进入磁场 求出电路中的总电 碰撞时,满足系统动量 过程,de边切割磁感线,cd 阻,算出总热量,再 守恒,可求出碰后的速 边、ef边被导轨短路,画出 求出电阻R 产生的热 2 度 电路图 量 第三问的思路: 线框全部进入磁场后de边、 线框完全进入时由动量 根据电学知识和动量 ab边同时切割磁感线,相当 定理可求出此时的速度 定理可求出磁场 于两电源并联,画出电路图 详细解析 【答案】(1) ;(2) ;(3) 【详解】(1)导体棒ab在倾斜导轨上匀速运动时所受安培力的功率最大,设此时速度为 ,则感应电动 势为 感应电流为 安培力为 由平衡条件有 联立解得 则重力的最大功率为 (2)在水平导轨上,导体棒ab与线框cdef碰撞时,满足系统动量守恒,设碰后速度为 ,依题意设线框 cdef质量为 ,电阻为 ,由 可得 碰后闭合线框abed进入磁场过程,de边切割磁感线,cd边、ef边被导轨短路,电路结构如图所示 则有电路产生的总热量为 电阻 产生的热量为 联立解得 (3)闭合线框仍以速度 进入磁场 ,设线框完全进入时速度为 ,由动量定理可得 线框全部进入磁场后de边、ab边同时切割磁感线,相当于两电源并联,电路结构如图所示 回路总电阻为 依题意设线框再前移 距离速度恰好为0,由动量定理可得 联立解得 (2023·广东梅州·模拟预测)如图所示,间距为L的平行光滑金属导轨固定在绝缘水平面上, 导轨的左端连接一阻值为R的定值电阻。导轨所在空间存在竖直向下的匀强磁场,磁感应强度为B。一 根质量为m、长度为L、电阻为r的导体棒cd放在导轨上。导体棒运动过程中始终保持与导轨垂直且接 触良好,导轨的电阻可忽略不计。 (1)若对导体棒cd施加一水平向右的恒力,使其以速度v向右做匀速直线运动,求此力的大小 ; (2)若对导体棒cd施加一水平向右的拉力 ,使其沿导轨做初速为零的匀加速直线运动。 的大小 随时间t变化的图像为一条斜率为k( )的直线。求导体棒cd加速度的大小a。【答案】(1) ;(2) 【详解】(1)根据法拉第电磁感应定律可知导体棒产生的感应电动势 根据闭合电路欧姆定律有 根据共点力平衡 联立解得 (2)导体棒沿导轨做初速为零的匀加速直线运动,则有 又 , , 根据牛顿第二定律可得 联立可得 可知 图像的斜率为 解得题型 03 电磁感应中的动力学问题 电磁感应现象中由于安培力的存在,使电磁感应问题与力学有了密切的联系,这成为了高考考查 的重点。这类问题涉及力电综合应用,对学生要求较高。 一、必备基础知识 1、感应电动势 定义:在电磁感应现象中产生的电动势。产生感应电动势的那部分导体相当于电源。 产生条件:穿过回路的磁通量发生改变,与电路是否闭合无关。在电磁感应现象中,只要闭合回 路中有感应电流,这个回路就一定有感应电动势;回路断开时,虽然没有感应电流,但感应电动势依 然存在。 2、法拉第电磁感应定律 内容:闭合电路中感应电动势的大小,跟穿过这一电路的磁通量的变化率成正比。 ΔΦ 表达式:E=n,n为线圈匝数。E的大小与 Φ、ΔΦ 无关,决定于磁通量的变化率 Δt 。 ΔB⋅S E=n ΔΦ B Δt 当 仅由 的变化引起时, ,其中S为线圈在磁场中的有效面积。若 B=B 0 +kt E=nkS ,则 。 BΔS E=n ΔΦ S Δt 当 仅由 的变化引起时, 。 Φ −Φ B S −B S ΔBΔS E=n t 0 =n t t 0 0 ≠n B S Δt Δt Δt 当 、 同时变化时,则 。 ΔΦ Δt 若已知Φ-t图像,则图线上某一点的切线斜率为 。3、三个物理量的比较 物理量 磁通量Φ 磁通量的变化量ΔΦ 磁通量的变化率 物理 某时刻穿过磁场中某个 在某一过程中穿过某个面的 穿过某个面的磁通量变化的 意义 面的磁感线条数 磁通量的变化量 快慢 大小 Φ=BS ΔΦ= = ⊥ 计算 ①ΔΦ=Φ-Φ 适用各种情 2 1 适用于匀强磁场。 况,②ΔΦ=B·ΔS适用匀强 穿过某个面有方向相反 磁场的情况,③ΔΦ=S·ΔB 既不表示磁通量的大小也不 的磁场时,则不能直接 适用面积不变的情况。 表示变化的多少。在Φ-t图 注意 应用Φ=B·S.应考虑相 开始和转过180°时,平面 像中,可用图线的斜率表 反方向的磁通量抵消以 都与磁场垂直,但穿过平面 示。 后所剩余的磁通量。 的磁通量是不同的,一正一 负,ΔΦ=2B·S而不是零。 4、导体切割磁感线时的感应电动势 公式: ,公式中要求B、L、v 三者相互垂直。当导体做切割磁感线运动时,其感应电动 势的计算公式为 E=Blvsinθ ,θ为运动方向与磁感线方向的夹角。公式中L为切割磁感线的有效 长度,即导线在垂直速度方向的投影长度,如下图所示。 l= cdsinβ l=MN 图甲中 ;图乙中若沿v 方向运动时,则 ;图丙中若沿v 方向运动时,则 1 1 l=√2R l=R l= √a2 +b2 ;沿v 方向运动时,则 ;图丁中 。 2 公式中的v应理解为导体和磁场间的相对速度,当导体不动而磁场运动时,也有感应电动势产生。若v 为平均值,E就是平均感应电动势,若v为瞬时值,E就是瞬时感应电动势。 适用条件:导体在匀强磁场中做切割磁感线运动而产生的感应电动势的计算。 l 导体转动切割磁感线:如图所示,当长为 的导体在垂直于匀强磁场(磁感应强度为B)的平面内, 绕一端以角速度ω匀速转动,当导体运动 Δt 时间后,转过的弧度 θ=ωΔt ,转过的面积1 ΔΦ BΔS 1 ΔS= l2ωΔt E= = = Bl2ω 2 Δt Δt 2 , 则 若 绕 0 转 动 , OA=L , OC=L 则 1 2 。 1 E= Bω(L2 −L2 ) 2 2 1 。 5、两个公式的比较 公式 E=n E=Blvsin θ 研究对象 整个闭合回路 回路中做切割磁感线运动的那部分导体 适用范围 各种电磁感应现象 只适用于导体切割磁感线运动的情况 区 导线l上各点所在处的B相同。 不一定是匀强磁场E=n 别 条件不同 l、v、B应取两两互相垂直的分量,可采 =n=n,E由决定。 用投影的办法。 计算结果 Δt内的平均感应电动势 某一时刻的瞬时感应电动势 联系 E=Blvsin θ是由E=n在一定条件下推导出来的。 6、平衡态与非平衡态 平衡态:加速度为零(静止状态或匀速直线运动状态)。处理方法:根据平衡条件列式分析。 非平衡状态:加速度不为零。处理方法:根据牛顿第二定律进行动态分析或结合功能关系分析。 7、力学对象和电磁学对象的相互关系 二、解题模板 1、解题思路2、注意问题 解决这类问题的关键是通过运动状态的分析,寻找过程中的临界状态,如速度、加速度最大或最小的 条件.解题时要抓好受力情况,运动情况的动态分析。 3、解题方法 “源”的分析:用法拉第电磁感应定律和楞次定律确定感应电动势的大小和方向。 E I= “路”的分析:画等效电路图,根据 R+r ,求感应电流I 。 F F =BIl a= 合 m “力”的分析:受力分析,求 安 及合力,根据牛顿第二定律求加速度 。 “运动状态”的分析:根据力与运动的关系,判断运动状态。 (2024·云南文山·一模)如图,两根足够长的光滑平行金属直导轨与水平面夹角 倾斜 放置,下端连接一阻值 的电阻,整个装置处于方向垂直于导轨平面向上、磁感应强度大小 的匀强磁场中。现将一质量 的金属棒从导轨上端由静止释放,经过时间 后做匀 速直线运动。在运动过程中,金属棒与导轨始终垂直且接触良好,已知金属棒接入电路阻值 , 导轨间距 ,导轨电阻忽略不计, 。求: (1)由静止释放时金属棒的加速度大小; (2)金属棒做匀速直线运动的速度大小;思路分析 第一问的思路; 对金属棒进行受力分析 根据牛顿第二定律可求出加速度 第二问的思路: 金属棒做匀速直线运动时,重力的沿斜 联立电学知识和电磁感应 面的分力与安培力平衡列方程 定律可求出速度 详细解析 【答案】(1) (2) 【详解】(1)由牛顿第二定律得 解得 (2)金属棒做匀速直线运动时,得 根据欧姆定律及法拉第电磁感应定律有 联立解得 (24-25高三上·安徽·阶段练习)如图所示,间距为d、足够长的光滑平行金属导轨倾斜放 置,导轨与水平面之间的夹角θ = 30°。a、b两根长均为d的金属棒垂直于导轨放置,a、b之间用一长 为d的绝缘轻质细线相连,整个装置处于垂直导轨平面向上的匀强磁场中。开始时金属棒a固定,细线 被拉直。已知a的质量为m,电阻为R,b的质量为2m,电阻为2R,重力加速度为g,金属棒与导轨接 触良好,不计导轨的电阻以及空气阻力。 (1)若磁感应强度B = kt(k > 0),求从t = 0开始经过多长时间,细线中开始没有拉力; (2)若已知磁感应强度大小为B 且不变,剪断细线,当b棒沿导轨下滑距离s时,速度达到最大值,求 0 该过程a棒中产生的热量; (3)在(2)问条件下,当b棒速度刚达到最大时,释放a棒,求a棒加速度为b棒2倍时,整个回路的 电功率。【答案】(1) (2) (3) 【详解】(1)根据法拉第电磁感应定律,正方形闭合回路中的感应电动势为 根据闭合回路电磁感应定律,回路中的感应电流为 棒b受到的安培力为 由题意,有 解得 (2)剪断细线后,b棒合力为零时,速度最大,感应电动势为 根据闭合回路电磁感应定律,感应电流大小为 则有 解得 对回路而言,根据能量守恒,有其中 解得 (3)释放金属棒a后,当a棒加速度为b棒2倍时,设此时电路中的电流为I,则:对b棒,根据牛顿 第二定律,有 对a棒,同理,有 当a = 2a 时,解得 2 1 则回路中的电功率为 解得 题型 04 电磁感应中的能量问题 电磁感应现象中磁生电的过程,本身就是一个机械能转化为电能的过程,因此,从能量转化与守 恒的角度对电磁感应进行考查是常见的命题点。此类问题难点在于将功和能、电磁感应、电路、动力 学知识综合起来,考点广,规律多,对同学们的综合分析能力和推理能力要求较高。一、必备基础知识 1、能量转化 电磁感应过程的实质是不同形式的能量转化的过程,而能量的转化是通过安培力做功的形式实现 的,安培力做功的过程,是电能转化为其他形式的能的过程,外力克服安培力做功,则是其他形式的 能转化为电能的过程。 2、安培力做功 ①安培力做正功:电能转化为机械能,如电动机。 ②安培力做负功:机械能转化为电能,如发电机。 3、焦耳热的三种求法 Q=I2Rt 焦耳定律: ,适用于电流、电阻恒定,交变电流的有效值。 Q=W 功能关系: 克服安培力做功,适用于任何情况。 Q=E 能量转化: 其他能的减少量,适用于任何情况。 4、解题方法 “源”的分析:明确电磁感应所产生的电源,确定E和r。 “路”的分析:分析电路结构,弄清串、并联关系,求电流及安培力。 “力”的分析:分析杆或线圈受力情况,尤其注意其所受的安培力,最后求合力。 “运动”的分析:由力和运动的关系,确定运动模型。 “能量”的分析:确定参与转化的能量形式。 二、解题模板 1、解题思路 2、注意问题 只要导体棒受恒定外力,导体棒必做匀变速运动;如果外力不恒定,则导体棒做非匀变速运动; 如果不受外力,则导体棒匀速运动或静止。反之,只要导体棒速度均匀变化(加速度恒定) ,感应电动 势就均匀变化,电容器的带电量就均匀变化,回路中的电流就恒定不变,导体棒所受安培力就恒定不 变,外力就恒定不变。3、解题方法 ⑴单导体棒模型: ①阻尼式单导体棒模型 模型图如下图所示。 电路特点:导体棒相当于电源。当速度为v时,电动势 E=BLv 。 B2L2v F =BIL= ∝v 安培力的特点:安培力为阻力,并随速度减小而减小: 安 R+r 。 B2L2v a= +μg m(R+r) 加速度特点:加速度随速度减小而减小, 。 运动特点:速度如图所示。a减小的减速运动。 最终状态:导体棒静止。 1 1 1 −μmgx−Q=0− mv2 −μmgx−Q= mv2 − mv2 2 0 2 2 0 全过程能量关系: ,速度为v时的能量关系 , Q R B2L2v R = a= +μg 电阻产生的焦耳热 Q R+r ,瞬时加速度: m(R+r) ,电荷量 E¯ Δφ Δφ q=¯I Δt= Δt= Δt= R+r Δt(R+r) R+r ; 动 量 关 系 : μmgΔt−B¯I LΔt=μmgΔt−BqL=0−mv F¯ Δt=B¯I LΔt=BqL 0 (安培力的冲量 ),安培力的冲量公式 E¯ 是 μmgΔt−B¯I LΔt=0−mv 0,闭合电路欧姆定律 ¯I= R+r ,平均感应电动势: E¯=BL { ¯v¿ ,位移:B2L2x μmgΔt+ =mv x=¯vt,由以上各式得 R+r 0 。 ②发电式单导体棒模型 模型图如下图所示。 电路特点:导体棒相当于电源,当速度为v时,电动势 E=BLv B2L2v F =BIL= ∝v 安 R+r 安培力的特点:安培力为阻力,并随速度增大而增大. F B2L2v a= −μg- m m(R+r) 加速度特点:加速度随速度增大而减小. 运动特点:速度如图所示。做加速度减小的加速运动 最终特征:导体棒匀速运动。 F a= −μg v=0 m a=0 两个极值: 时,有最大加速度: , 时,有最大速度: F B2L2v (F−μmg)(R+r) a= −μg- =0 v = m m(R+r) m B2L2 , 。 (BLv ) 2 Fv = m +μmgv m R+r m 稳定后的能量转化规律: 。 B2L2x Ft−B¯ILt−μmgt=mv m Ft− R+r −μmgt=mv m 动量关系: , 。 1 Fx−μmgx−Q= mv2 2 m 能量关系: 。E¯ Δφ Δφ q=¯I Δt= Δt= Δt= R+r Δt(R+r) R+r 电荷量: 。 该模型的几种变形 ③无外力充电式单导体棒模型 模型图如下图所示。 电路特点:导体棒相当于电源,电容器被充电。 电流特点:安培力为阻力,棒减速,E减小,有I=,电容器被充电U 变大,当BLv=U 时,I=0, C C F =0,棒匀速运动。 安 运动特点和最终特征:a减小的加速运动,棒最终做匀速运动,此时I=0,但电容器带电荷量不为 零。 最终速度:电容器充电荷量:q=CU,最终电容器两端电压U=BLv,对棒应用动量定理:mv- 0 mv=BL·Δt=BLq,v=.。 v-t图像如下所示。 ④无外力放电式单导体棒模型 模型图如下图所示。 电路特点:电容器放电,相当于电源;导体棒受安培力而运动。 电流特点:电容器放电时,导体棒在安培力作用下开始运动,同时阻碍放电,导致电流减小,直 至电流为零,此时U =BLv。 C 运动特点和最终特征:a减小的加速运动,最终匀速运动,I=0。最终速度:电容器充电荷量为Q=CE,放电结束时电荷量为Q=CU=CBLv ,电容器放电荷量为 0 m ΔQ=Q-Q=CE-CBLv ,对棒应用动量定理mv =BL·Δt=BLΔQ,v =.。 0 m m m v-t图像如下所示。 ⑤有外力充电式单导体棒模型 模型图如下图所示。 轨道水平光滑,单杆 ab 质量为m,电阻r,两导轨间距为L,拉力F恒定,设金属棒运动的速度大 v E=BLv Δt v+Δv E' =BL(v+Δv) Δt 小为 ,则感应电动势为 ,经过 速度为 ,此时感应电动势 , 时 Δq Δv I= =CBL =CBLa Δq=CΔU=C(E' −E)=CBLΔv Δt Δt 间内流入电容器的电荷量 ,电流 ,安培 F F 安 =BIL=CB2L2a F−F 安 =ma a= m+B2L2C 力 ,由牛顿第二第定律 , ,所以杆以恒定的加速度 匀加速运动。 1 导体棒克服安培力做功为W =−F x,导体棒移动的位移为 x= 2 at2 ,则在 t 秒内转化为电能 安 安 B2L2a2t2C 的多少是W = 。 安 2 ⑥含“源”电动式模型 模型图如下图所示。过程分析:开关S闭合,ab棒受到的安培力F=,此时a=,速度v↑ E =BLv↑ I↓ F=BIL↓ 感 加速度a↓,当E =E时,v最大,且v =。 ⇒ ⇒ ⇒ ⇒ 感 m 动力学观点:分析最大加速度、最大速度。 能量观点:消耗的电能转化为动能与回路中的焦耳热。 动量观点:分析导体棒的位移、通过导体棒的电荷量。 ⑵双导体棒模型: ①无外力等距双导体棒模型 模型图如下图所示。 电路特点:棒2相当于电源;棒1受安培力而加速起动,运动后产生反电动势。 Blv −BLv Bl(v −v ) I= 2 1 = 2 1 R +R R +R 1 2 1 2 电流特点: ,随着棒2的减速、棒1的加速,两棒的相对速度 Blv I= 0 v 2 −v 1 v 1 =0 R 1 +R 2 v 1 =v 2 I=0 变小,回路中电流也变小。当 时电流最大,则 ;当 时电流 。 两棒的运动情况:两棒的相对速度变小,感应电流变小,安培力变小(安培力大小为 B2L2 (v −v ) F =BIl= 2 1 安 R +R 1 2 )。棒1做加速度变小的加速运动,棒2做加速度变小的减速运动,最终两 棒具有共同速度,运动图像如下图所示。 动量规律:两棒受到安培力大小相等方向相反,系统合外力为零,系统动量守恒 m v =(m +m )v 2 0 1 2 共 。能量转化规律:系统机械能的减小量等于内能的增加量,该情景类似于完全非弹性碰撞,热量为 Q R 1 1 Q= m v2 − (m +m )v2 ,两棒产生焦耳热之比: 1 = 1 ; 。 2 2 0 2 1 2 共 Q R Q=Q +Q 2 2 1 2 ②有外力等距双导体棒模型 模型图如下图所示。 电路特点:棒2相当于电源,棒1受安培力而起动. Blv −BLv Bl(v −v ) I= 2 1 = 2 1 R +R R +R F =BIL 1 2 1 2 安 运动分析:某时刻回路中电流: ,安培力大小: 。棒 F F−F a = 安 a = 安 1 m 2 m a >a a >a (v −v )↑ I↑ F ↑ 1 2 2 1 2 1 2 1 安 1: 棒2: ,最初阶段, , 只要 , ; ; ; a 1 ↑ a 2 ↓ a 1 =a 2 v 2 −v 1 I F 安 ; ,当 时, 恒定, 恒定, 恒定,两棒匀加速。 Bl(v −v ) I= 2 1 F=(m +m )a F =m a F =BIL R +R 1 2 安 1 安 1 2 稳定时的速度差: , , , , (R +R )m F v −v = 1 2 1 2 1 B2L2 (m +m ) 1 2 ,双棒的运动图像如下所示。 当导轨不光滑时,开始时,若F≤2F,则PQ杆先变加速后匀速运动,MN杆静止。若F>2F,PQ杆 f f 先变加速后匀加速运动,MN杆先静止后变加速最后和PQ杆同时做匀加速运动,且加速度相同,运动 图像如下图所示。③不等距导轨双导体棒模型 模型图如下图所示。 运动过程分析:杆MN做变减速运动,杆PQ做变加速运动,稳定时,两杆的加速度均为零,两杆 以不同的速度做匀速运动,所围的面积不变, 。 动力学观点:求加速度。 能量观点:求焦耳热, 。 动量观点:动量不守恒,可分别用动量定理联立末速度关系求末速度, , 。 ⑶线框模型 竖直面上的运动的线框 如下图所示,线框穿越有界磁场问题,一般经历五个阶段:接近磁场,穿入磁场,浸没磁场(假 如能完全浸没),穿出磁场,远离磁场。其中一、三、五阶段只受重力,二、四阶段有电磁感应。 过程分析: ①匀速穿入,当自由落体的高度等于临界高度时,线框刚进入磁场时的速度使得安培力恰等于线 框的重力,线框匀速穿过磁场,如下图所示。②加速穿入,当自由落体的高度较低时,线圈刚进入磁场时的速度较小,使得安培力小于重力, 线框变加速穿入磁场,根据线框的长度不同,加速穿入分为三种情景:当线框长度较短时,完全穿入 时,安培力依然小于重力;当线框长度恰好等于临界长度时,当刚好完成穿入时,安培力等于重力; 当线框长度较长时,先加速在匀速,如下图所示。 ③减速穿入,当自由落体的高度较高时,线框刚进入磁场时速度较大,使得安培力大于重力,线 框变减速穿入磁场,根据线框的长度不同,减速穿入分为三种情景:当线框长度较短时,完全穿入时, 安培力依然小于重力;当线框长度恰好等于临界长度时,当刚好完成穿入时,安培力等于重力;当线 框长度较长时,先减速在匀速,如下图所示。 水平面上运动的线框如下所示:(2024·广西柳州·一模)如图1所示,倾角为 的斜面上平行放置两根足够长金属导轨, 间距为 ,导轨下端接一阻值为 的定值电阻,一质量为 的金属杆垂直放在导 轨上,通过一根不可伸长的绝缘细绳跨过光滑定滑轮与质量为 的重物连接,整个空间有垂直 于斜面向下的匀强磁场,磁感应强度大小 .已知金属杆与导轨间的动摩擦因数为 ,最大 静摩擦力等于滑动摩擦力,除R外,其余电阻不计, ,g取 。现由静止释放重物,求:(1)刚释放重物的瞬间,金属杆的加速度大小; (2)金属杆的最大速度和达到最大速度后电阻R消耗的电功率; 思路分析 第一问的思路: 对金属杆及重物进 根据牛顿第二定律可求出金属 行受力分析 棒的加速度大小 第二问的思路: 当重物速度达到最大时,绳子 根据力学知识和感应电流的 将速度的数值代入功率 的拉力等于重物的重力 表达式可求出速度大小 的表达式可电功率 详细解析 【答案】(1)6m/s2 (2)3m/s,9W 【详解】(1)对金属杆及重物,由牛顿第二定律分别有 得 代入数据,得 (2)当重物速度达到最大时,由平衡状态条件 其中 联立,解得 电阻R消耗的电功率 代入数据,得(2024·陕西商洛·模拟预测)如图,水平面内固定有平行长直金属导轨ab、cd和金属圆环; 金属杆MN垂直导轨静止放置,金属杆OP一端在圆环圆心O处,另一端与圆环接触良好。水平导轨区 域、圆环区域有等大反向的匀强磁场。OP绕O点逆时针匀速转动;闭合K,待MN匀速运动后,使OP 停止转动并保持静止。已知磁感应强度大小为B,MN质量为m,OP的角速度为ω,OP长度、MN长度 和平行导轨间距均为L,MN和OP的电阻阻值均为r,忽略其余电阻和一切摩擦,求: (1)闭合K瞬间MN所受安培力大小和方向; (2)从OP停止转动到MN停止运动的过程,MN产生的焦耳热。 【答案】(1) ,方向水平向左;(2) 【详解】(1)当OP绕O点逆时针匀速转动时,由右手定则可知O点电势高,OP切割磁感线产生感应 电动势为 闭合K瞬间,由闭合电路欧姆定律可知,通过MN的电流大小为 方向由M到N。则有MN所受安培力大小为 由左手定则可知,安培力方向水平向左。 (2)闭合K后,则有MN向左做加速运动,速度逐渐增大,MN切割磁感线产生感应电动势,则感应 电流方向与原电流方向相反,减弱原电流,可知MN受安培力逐渐减小,做加速度减小的加速运动, 当MN中电流减小到零时,安培力是零,加速度是零,MN的速度达到最大,设为 ,此时做匀速直线 运动,则有MN切割磁感线产生感应电动势与OP产生的感应电动势大小相等,可知解得 从OP停止转动到MN停止运动的过程,由能量守恒定律可知,电路中产生的焦耳热为 MN产生的焦耳热为 1.(2024·辽宁沈阳·模拟预测)如图甲所示,平行光滑金属轨道ABC和 置于水平面上,两轨道间距 为 , 之间连接一定值电阻 。 为宽 未知的矩形区域,区域内存在磁感应强 度 、竖直向上的匀强磁场。质量 、电阻 的导体棒以 的初速度从 进入磁场区域,当导体棒以 的速度经过 时,右侧宽度 的矩形区域 内 开始加上如图乙所示的磁场 ,已知 。求: (1) 的大小; (2)导体棒在 之间运动阶段,导体棒产生的焦耳热。 【答案】(1) ;(2) 【详解】(1)导体棒从 到 过程,根据动量定理可得 其中联立解得 (2)磁场 的持续时间是 ,假设此过程导体棒尚未进入磁场 ,此过程导体棒的位移为 因此假设成立,回路中产生的感生电动势大小为 感应电流大小为 导体棒上的焦耳热为 2.(2024·北京海淀·模拟预测)如图甲所示为法拉第发明的圆盘发电机,图乙是其原理示意图,其中的铜 质圆盘安装在水平的铜轴上,铜质圆盘的圆心与铜轴重合,圆盘的圆心到边缘正好在两磁极之间,两 块铜片C、D分别与圆盘的转动轴和边缘良好接触,用导线将两块铜片与电阻R连接起来形成闭合回路, 在圆盘绕铜轴匀速转动时,通过电阻R的电流是恒定的。为讨论问题方便,将磁场简化为水平向右磁 感应强度为B的匀强磁场;将圆盘匀速转动简化为一根始终在匀强磁场中绕铜轴匀速转动、长度为圆 盘半径的导体棒,其等效电阻为r。除了R和r以外,其他部分电阻不计。已知圆盘半径为a,匀速转 动的角速度为 。 (1)论证圆盘匀速转动产生的感应电动势 。 (2)圆盘匀速转动一圈,电阻R产生的热量; (3)若圆盘匀速转动时,闭合回路的电流为I,试从电动势的定义及闭合电路能量转化与守恒的角度 论证圆盘产生的感应电动势 。【答案】(1)见解析;(2) ;(3)见解析 【详解】(1根据法拉第电磁感应定律可得 其中 代入解得圆盘匀速转动产生的感应电动势 (2)圆盘转动过程中产生的感应电流 转动一周经过的时间 根据焦耳定律可得圆盘匀速转动一圈,电阻 产生的热量 (3)圆盘中的电子因圆盘转动在匀强磁场中受到的沿半径方向的洛伦兹力为非静电力,根据能量守恒 定律可得 根据电动势的定义式可得则 又因 联立可得 3.(2024·北京海淀·二模)分析电路中的电势变化是研究电路规律的重要方法。比如闭合电路欧姆定律可 以通过分析电势的变化得出:在电源内部,电流I从负极流向正极,非静电力的作用使电势升高E(电 动势),电流流过电源内阻r时电势降低 ,因此电源两端电压 。 (1)如图1所示,100匝的线圈(图中只画了2匝)两端A、K与一个电阻相连,线圈的电阻r=5Ω。 线圈内有垂直纸面向里的匀强磁场,线圈中的磁通量随时间均匀变化,产生的感应电流 ,A、K 两点间的电势差 。求: ①线圈中产生的感应电动势E。 ②磁通量的变化率 。 (2)电动机的模型示意图如图2所示,MN、PQ是间距为L的固定平行金属导轨,置于磁感应强度大 小为B、方向垂直导轨所在平面向下的匀强磁场中,M、P间接有电源。一根与导轨接触良好、长度也 为L、阻值为R、质量为m的金属棒cd垂直导轨放置,通过轻滑轮以速率v匀速提升质量为m的重物。 摩擦阻力、导轨电阻均不计,重力加速度为g。当电动机稳定工作时,求cd两端的电势差 。 (3)如图3所示,将一长方体金属薄片垂直置于匀强磁场中,在薄片的左右两个侧面间通以向右的电 流时,上下两侧面间产生电势差,这一现象称为霍尔效应,在垂直上下表面的连线上e、f两点间电势 差的绝对值通常称为霍尔电压。实际测量霍尔电压时的测量点往往不在垂直上下表面的连线上(如e、 g两点),从而导致测量出现偏差,但仍可以采用一定的办法推测出准确的霍尔电压。某次测量,先测 得e、g两点间的电势差为 ,仅将磁场反向,磁感应强度的大小不变,再测得e、g两点间的电势差 为U ′,求上述情况中该金属薄片产生的霍尔电压U 。 eg H【答案】(1)50V,0.5Wb/s;(2) ;(3) 【详解】(1)①路端电压 代入数据得 ②由法拉第电磁感应定律 ,得 (2)设电路中的电流为I,金属棒中电流从c到d,非静电力(洛伦兹力)做负功,电势降低BLv,静 电力做正功,电势降低IR,金属棒cd两端的电势差 物体匀速上升,有 解得 (3)设f、g间的电阻为R,通过金属薄片的电流为I,金属薄片上e、g两点的电势差 磁场方向、通过金属薄片中的电流方向如题中图3所示时,金属片薄上表面的电势低,可得 仅磁场方向反向时,金属片上表面的电势高,同理可得解得霍尔电压 4.(2024·重庆九龙坡·一模)如图所示,一单匝矩形闭合线圈abcd的质量m=3kg,总电阻R=0.12Ω,ab边 的长l=0.6m, bc边的长l=0.2m,置于光滑的绝缘水平桌面(纸面)上,虚线右侧存在范围足够大、 1 2 方向垂直于纸面向里的匀强磁场,磁感应强度大小为B=1T。现使线圈以初速度v=0.5m/s向右运动进入 0 磁场,直到线圈全部进入磁场,运动过程中线圈的左右边始终与磁场边界平行,不考虑线圈产生磁场 对原磁场分布和空气阻力的影响。求: (1)线圈的ab边刚进入磁场时,ab边受到的安培力大小; (2)线圈全部进入磁场过程中,流过ab的电荷量; (3)线圈全部进入磁场时的速度大小以及线圈进入磁场过程中产生的焦耳热。 【答案】(1)1.5N (2)1C (3) m/s,0.24J 【详解】(1)当线圈的ab边进入磁场时,感应电动势 电流为 ab边受到的安培力 解得 N (2)设ab边进入磁场后,经过时间∆t,cd边恰好进入磁场,此过程流过ab边的电荷量平均电动势为 磁通量变化量为 平均电流为 解得 C (3)线圈进入磁场的过程由动量定理有 解得 m/s 由能量转换与守恒定律,有 解得 J 5.(2024·云南大理·一模)某研学小组设计了一套电气制动装置,其简化模型如图所示。在车身下方固定 一单匝矩形导线框,利用线框进入磁场时所受的安培力,辅助列车刹车。已知列车的总质量为m,车 身长为s,线框的短边 和 分别安装在车头和车尾,长度均为L(L小于匀强磁场的宽度),线框的 总电阻为R。站台轨道上匀强磁场区域足够长(大于车长s),磁感应强度的大小为B,方向竖直向上, 若 边刚进入磁场时列车关闭发动机,此时列车的速度为 边进入磁场瞬间,列车恰好停止,假设 列车停止前所受铁轨及空气阻力的合力恒为f。求:(1)线框 边进入磁场瞬间,产生的感应电流大小和列车加速度的大小; (2)线框从进入磁场到停止的过程中产生的焦耳热Q; (3)线框从进入磁场到停止的过程中通过其横截面的电荷量q。 【答案】(1) , (2) (3) 【详解】(1)线框 边进入磁场瞬间,产生的感应电流大小 设车头刚进入磁场时的加速度为 ,根据牛顿第二定律 解得 (2)列车减少的动能部分转化为线框的焦耳热,部分转化为因铁轨及空气阻力产生的热量,根据能量 守恒定律 解得 (3)根据法拉第电磁感应定律又 整理可得,此过程流过线框的电荷量为 6.(2024·全国·模拟预测)如图所示,用金属制作的导轨固定在水平面上,导轨宽轨部分间距为 ,右 端连接有开关 和电容器,电容器的电容 ;窄轨部分间距为 ,右端连接有开关 ,整个空 间存在竖直向下的匀强磁场,磁感应强度大小为 。质量为 、阻值忽略不计的金属棒 垂直于导轨 静止放置在宽轨导轨上;质量为 、边长为 且每条边阻值均为 的正方形裸露线框 静止在窄轨导 轨上。金属棒 和线框 在运动过程中始终相互平行且与导轨保持良好接触,导轨足够长,金属棒 总在宽轨上运动,线框 总在窄轨上运动,不计所有摩擦,电容器始终未损坏,宽导轨与窄导轨连接 处的接触电阻均为 ,其余导轨电阻不计(已知两个完全相同的电源并联时,并联后的总电动势跟单 个电源电动势相同,内阻减半)。已知 。 (1) 断开, 闭合, 时,金属棒 受到水平向左的恒力 作用。求: ① 刚作用的瞬间金属棒 的加速度; ② 时刻金属棒 的速度大小及电容器存储的电能 。 (2)在第(1)问的基础上,若在 时刻撤去外力 ,同时断开 ,闭合 。求: ①金属棒 的最终速度大小; ②整个过程中线框 产生的热量 。 【答案】(1)① ,② , (2)① ,②【详解】(1) 断开, 闭合。 ①设金属棒的速率为 ,由法拉第电磁感应定律有 因为 所以 对金属棒 ,由牛顿第二定律有 解得 ② 时,金属棒运动的位移 速度 根据能量守恒定律,可得电容器储存的电能 解得 (2)① 时刻撤去外力 ,设此时金属棒 的速度为 , 断开, 闭合,设 、 最终稳定时的速度为 、 ,则 由动量定理,对 有 对 有解得 ②根据能量守恒定律有 因为 有两边与导轨重合被短路,且另外两边并联,所以回路中 的总电阻为 ,则 7.(2024·浙江杭州·一模)如图所示的装置左侧是法拉第圆盘发电机,其细转轴竖直安装。内阻不计、半 径 的金属圆盘盘面水平,处于竖直向上的匀强磁场 中,磁感应强度 。圆盘在外力作 用下以角速度 逆时针(俯视)匀速转动,圆盘的边缘和转轴分别通过电刷a、b与光滑水平导 轨 、 相连,导轨间距 。在导轨平面内以O点为坐标原点建立坐标系xOy,x轴与导 轨平行。 区域内存在竖直向下的匀强磁场,磁感应强度 ,导电性能良好的导轨上放置着一 根质量 、电阻 的金属棒,金属棒离y轴足够远; 区域内存在竖直向下磁场,磁 感应强度 ,导轨由绝缘材料制成,导轨上紧贴y轴放置着一U型金属框,其质量 、 电阻为3R、长度为L、宽度 。不计其它一切电阻。(1)比较a、b两点电势的高低,并计算闭合开关瞬间通过金属棒的电流I; (2)从闭合开关到金属棒刚达到最大速度时(此时金属棒未离开 磁场区),求此过程通过金属棒的电 量q和维持圆盘匀速转动外力所做的功W; (3)若此后金属棒和金属框发生完全非弹性碰撞,求金属棒最终停下来时的位置坐标x。 【答案】(1) 点电势高,5A (2)6C,18J (3) 【详解】(1)由右手定则可知 圆盘切割,感应电动势为 根据闭合电路欧姆定律得 联立解得 (2)设导体棒最大速度为 ,有 设金属棒从开始运动到最大速度通过金属棒的电量为q,对金属棒,由动量定理得 由以上两式得该过程外力对金属圆盘做功为 (3)设金属棒和U型金属框碰撞后共同速度为 ,由动量守恒定律得 碰撞后金属棒运动到坐标x时整个框速度v,此时回路的感应电流为 整个框受到的安培力为 由动量定理得 求和得 解得 8.(2024·浙江金华·一模)如图所示,倾角为θ=53°的金属导轨MN和 的上端有一个单刀双掷开关 K,当开关与1连接时,导轨与匝数n=100匝、横截面积S=0.04m2的圆形金属线圈相连,线圈总电阻 r=0.2Ω,整个线圈内存在垂直线圈平面的匀强磁场B 且磁场随时间均匀变化。当开关与2连接时,导 0 轨与一个阻值为R=0.3Ω的电阻相连。水平轨道的 至 间是绝缘带,其它部分导电良好,最右端 1 串接一定值电阻R=0.2Ω。两轨道长度均足够长,宽度均为L=1m,在 处平滑连接。导轨MN和 2 的平面内有垂直斜面向下的匀强磁场,磁感应强度大小B=0.2T;整个水平轨道上有方向竖直向上, 1 磁感应强度大小为B=1T的匀强磁场。现开关与1连接时,一根长度为L的导体棒a恰好静止在倾斜导 2 轨上;某时刻把开关迅速拨到2,最后a棒能在倾斜轨道上匀速下滑。导体棒b一开始被锁定(锁定装 置未画出),且到 位置的水平距离为d=0.24m。棒a与棒b的质量均为m=0.1kg,电阻均为R=0.2Ω,所有导轨均光滑且阻值不计。求: (1)求圆形线圈内磁场随时间的变化率 ; (2)棒a滑至 时的速度大小v; 1 (3)棒a与棒b碰撞前,棒a的速度大小v; 2 (4)棒a与棒b碰撞前瞬间,立即解除对棒b的锁定,两棒碰后粘连在一起。从棒a进入水平轨道,至两 棒运动到最终状态,定值电阻R 上产生的焦耳热Q是多少。 2 【答案】(1) (2)10m/s (3)2m/s (4) 【详解】(1)开关打到1时,棒受力平衡 根据 , 解得 (2)棒匀速时,根据平衡条件可知 可得 v=10m/s 1(3)棒a进入水平面后,根据动量定理 根据电路连接得 即 v=2m/s 2 (4)当棒a切割时 此时电阻 产生热量 得 两棒相碰 碰后至静止电路产热 电阻 产生热量 得 综上, 产生总热量为9.(2024·广东茂名·模拟预测)如图所示,两根足够长、电阻不计的平行光滑金属导轨相距为 。导 轨平面与水平面成 角,质量均为 、阻值均为 、长度均为 的金属棒 、 紧挨着放在两导轨上,整个装置处于垂直于导轨平面向上的匀强磁场中,磁感应强度大小为 。 现固定金属棒 ,将金属棒 由静止释放,经过一段时间开始匀速下滑,已知运动过程中金属棒与导 轨始终垂直并保持良好接触,重力加速度为 求: (1)金属棒 匀速下滑时的速度大小; (2)已知从金属棒 释放至速度达到最大速度一半的过程中,通过金属棒 的电荷量为6C,求该过程中 金属棒 产生的焦耳热 (计算结果保留一位小数); (3)若金属棒 不固定,将金属棒 由静止释放的同时、给金属棒 平行于导轨向上的恒力 ,求 金属棒 匀速运动时的速度大小。 【答案】(1) (2) (3) 【详解】(1)设金属棒 匀速下滑时的速度大小为 ,金属棒 切割磁感线产生的电动势为 通过金属棒 的电流为 金属棒 受到的安培力为 金属棒 做匀速直线运动时有解得 (2)设当金属棒 的速度大小为 通过金属棒 的电荷量为 平均电动势 解得 由能量守恒定律可得 代入数据解得 (3)对金属棒 进行受力分析,可得 对金属棒 进行受力分析,可得 可得金属棒 、 的加速度大小始终满足 分析可得,金属棒 、 同时做匀速直线运动,且金 属棒 、 的速度大小相等,设匀速运动时 回路中电流为金属棒 受到的安培力为 金属棒 匀速直线运动,可得 解得 10.(2024·天津和平·三模)如图所示,两根足够长的平行光滑金属导轨MN、PQ间距 ,其电阻不 计,两导轨及其构成的平面均与水平面成 角,N、Q两端接有 的电阻。一金属棒ab垂直 导轨放置,ab两端与导轨始终有良好接触,已知ab的质量 ,电阻 ,整个装置处在垂 直于导轨平面向上的匀强磁场中,磁感应强度大小 。ab在平行于导轨向上的拉力作用下,以初 速度 沿导轨向上开始运动,可达到最大速度 。运动过程中拉力的功率恒定不变, 重力加速度 。求: (1)求拉力的功率P; (2)ab开始运动后,经 速度达到 ,此过程中电阻R生热0.03J,求该过程中ab沿 导轨的位移大小x; (3)ab开始运动后,当ab速度达到 时撤去拉力,ab继续上滑0.15s速度减为零,求该过 程中通过电阻R电荷量。【答案】(1)4W;(2)0.1m;(3)0.15C 【详解】(1)根据题意可知,当金属棒到达最大速度后开始做匀速直线运动,令此时拉力为 ,根 据平衡条件有 其中的感应电流 则拉力的功率 解得 (2)根据动能定理有 根据功能关系有 解得 (3)当ab速度达到 时撤去拉力,ab继续上滑0.15s速度减为零,该过程对金属棒进行分 析,根据动量定理有 其中解得 11.(2024·浙江·三模)一种探测气体放电过程的装置如图甲所示,充满氖气的电离室中有两电极与长直 导线连接,并通过两水平长导线与高压电源相连。在与长直导线垂直的平面内,以导线为对称轴安装 一个用阻值 的细导线绕制、匝数 的圆环形螺线管(图中只画出部分示意,且尺寸 没有按比例画出),细导线的始末两端与阻值 的电阻连接,螺线管的横截面是边长为 的正 方形, ,其中心与长直导线的距离 。气体被电离后在长直导线回路中产生顺 时针方向的电流I,其I-t图像如图乙所示。长直导线在螺线管处的磁感应强度大小均可近似为 ,其中 ,x坐标的意义如图甲所示,以正方形的一边中点 为坐标原点,背离圆心方向为x轴正方向,不考虑线圈的自感。求: (1) 时,图中标有x轴的这段细导线中的电流方向; (2) 时,螺线管线圈中的磁通量 ; (3) 这段时间内通过电阻R的电量,以及电阻R上的平均热功率; (4) 这段时间内螺线管单匝线圈所受安培力的冲量大小和方向。【答案】(1)向右;(2) ;(3) , ;(4) ,方向沿x 轴正向 【详解】(1)由图可知0~ s,电流逐渐增大,根据楞次定律可知感应电流方向向右。 (2)根据磁通量的定义式可知 (3)根据法拉第电磁感应定律有 根据闭合电路欧姆定律有 根据电流的定义式有 根据焦耳定律有 则热功率为 (4)根据安培力的计算公式可知 , 安培力的平均值为 冲量 ,方向沿x轴正向 12.(2024·广东·二模)如图甲,水平面上两根足够长的、电阻可忽略不计的平行金属导轨间距 , 导轨间两个矩形区域I和Ⅱ的宽度分别为 、 ;区域I和II内有垂直于水平面向上的匀强磁场B 和B,其中B 随时间变化的图像如图乙, 。导体棒a和b分别垂直导轨放置在I 1 2 1 区域MM 的左侧和II区域的右边缘QQ 处,在a、b中点处通过绝缘、松弛的轻绳连接。 时,a 1 1 以平行于导轨的初速度 向左运动; 时,绳子瞬间拉直带动b共同运动并匀速通过磁场区域 II。已知a、b质量相等、电阻均为 ,b仅与NP、N P 之间的导轨有摩擦,其他摩擦不计,且b 1 1 未进入I区域,g取 ,回路中电流方向以俯视逆时针为正方向。 (1)求 内回路的感应电动势大小和感应电流的大小及方向; (2)求a棒的初速度 ; (3)通过计算,在图丙中画出 内,回路中电流I随时间变化的图像。 【答案】(1) , ,负方向;(2)1m/s;(3) 【详解】(1)由图乙可知 内 回路的感生电动势 回路中的电流由楞次定律可知,回路中电流方向为顺时针,即负方向。 (2)设 棒的质量均为 ,轻绳拉直后瞬间两棒的共同速度为 ,由动量守恒定律得 棒在磁场区域II中运动产生的动生电动势 由题意可知两电动势相互抵消,则 联立解得 , (3)各个时间段的电流分段计算如下,由(1)可知在 内,回路的电流 方向为负方向。 棒通过II磁场区域的时间 因此 棒到达 边界时, 恰好为 。故在 内,回路电流 在 内,回路的感生电动势 故该段时间内电流 方向为正方向。由于 棒未进入区域Ⅰ, 后 ,所以在 内,回路的电流 综上所述, 内,回路中电流如下图