当前位置:首页>文档>专题17数列的通项公式(教师版)_通用版(老高考)复习资料_2024年复习资料_完备战2024年高考数学一轮复习考点帮(全国通用)_核心考点讲练

专题17数列的通项公式(教师版)_通用版(老高考)复习资料_2024年复习资料_完备战2024年高考数学一轮复习考点帮(全国通用)_核心考点讲练

  • 2026-04-21 06:27:17 2026-04-21 06:27:17

文档预览

专题17数列的通项公式(教师版)_通用版(老高考)复习资料_2024年复习资料_完备战2024年高考数学一轮复习考点帮(全国通用)_核心考点讲练
专题17数列的通项公式(教师版)_通用版(老高考)复习资料_2024年复习资料_完备战2024年高考数学一轮复习考点帮(全国通用)_核心考点讲练
专题17数列的通项公式(教师版)_通用版(老高考)复习资料_2024年复习资料_完备战2024年高考数学一轮复习考点帮(全国通用)_核心考点讲练
专题17数列的通项公式(教师版)_通用版(老高考)复习资料_2024年复习资料_完备战2024年高考数学一轮复习考点帮(全国通用)_核心考点讲练
专题17数列的通项公式(教师版)_通用版(老高考)复习资料_2024年复习资料_完备战2024年高考数学一轮复习考点帮(全国通用)_核心考点讲练
专题17数列的通项公式(教师版)_通用版(老高考)复习资料_2024年复习资料_完备战2024年高考数学一轮复习考点帮(全国通用)_核心考点讲练
专题17数列的通项公式(教师版)_通用版(老高考)复习资料_2024年复习资料_完备战2024年高考数学一轮复习考点帮(全国通用)_核心考点讲练
专题17数列的通项公式(教师版)_通用版(老高考)复习资料_2024年复习资料_完备战2024年高考数学一轮复习考点帮(全国通用)_核心考点讲练
专题17数列的通项公式(教师版)_通用版(老高考)复习资料_2024年复习资料_完备战2024年高考数学一轮复习考点帮(全国通用)_核心考点讲练
专题17数列的通项公式(教师版)_通用版(老高考)复习资料_2024年复习资料_完备战2024年高考数学一轮复习考点帮(全国通用)_核心考点讲练
专题17数列的通项公式(教师版)_通用版(老高考)复习资料_2024年复习资料_完备战2024年高考数学一轮复习考点帮(全国通用)_核心考点讲练
专题17数列的通项公式(教师版)_通用版(老高考)复习资料_2024年复习资料_完备战2024年高考数学一轮复习考点帮(全国通用)_核心考点讲练
专题17数列的通项公式(教师版)_通用版(老高考)复习资料_2024年复习资料_完备战2024年高考数学一轮复习考点帮(全国通用)_核心考点讲练
专题17数列的通项公式(教师版)_通用版(老高考)复习资料_2024年复习资料_完备战2024年高考数学一轮复习考点帮(全国通用)_核心考点讲练
专题17数列的通项公式(教师版)_通用版(老高考)复习资料_2024年复习资料_完备战2024年高考数学一轮复习考点帮(全国通用)_核心考点讲练
专题17数列的通项公式(教师版)_通用版(老高考)复习资料_2024年复习资料_完备战2024年高考数学一轮复习考点帮(全国通用)_核心考点讲练
专题17数列的通项公式(教师版)_通用版(老高考)复习资料_2024年复习资料_完备战2024年高考数学一轮复习考点帮(全国通用)_核心考点讲练
专题17数列的通项公式(教师版)_通用版(老高考)复习资料_2024年复习资料_完备战2024年高考数学一轮复习考点帮(全国通用)_核心考点讲练
专题17数列的通项公式(教师版)_通用版(老高考)复习资料_2024年复习资料_完备战2024年高考数学一轮复习考点帮(全国通用)_核心考点讲练
专题17数列的通项公式(教师版)_通用版(老高考)复习资料_2024年复习资料_完备战2024年高考数学一轮复习考点帮(全国通用)_核心考点讲练
专题17数列的通项公式(教师版)_通用版(老高考)复习资料_2024年复习资料_完备战2024年高考数学一轮复习考点帮(全国通用)_核心考点讲练
专题17数列的通项公式(教师版)_通用版(老高考)复习资料_2024年复习资料_完备战2024年高考数学一轮复习考点帮(全国通用)_核心考点讲练
专题17数列的通项公式(教师版)_通用版(老高考)复习资料_2024年复习资料_完备战2024年高考数学一轮复习考点帮(全国通用)_核心考点讲练
专题17数列的通项公式(教师版)_通用版(老高考)复习资料_2024年复习资料_完备战2024年高考数学一轮复习考点帮(全国通用)_核心考点讲练
专题17数列的通项公式(教师版)_通用版(老高考)复习资料_2024年复习资料_完备战2024年高考数学一轮复习考点帮(全国通用)_核心考点讲练
专题17数列的通项公式(教师版)_通用版(老高考)复习资料_2024年复习资料_完备战2024年高考数学一轮复习考点帮(全国通用)_核心考点讲练
专题17数列的通项公式(教师版)_通用版(老高考)复习资料_2024年复习资料_完备战2024年高考数学一轮复习考点帮(全国通用)_核心考点讲练
专题17数列的通项公式(教师版)_通用版(老高考)复习资料_2024年复习资料_完备战2024年高考数学一轮复习考点帮(全国通用)_核心考点讲练
专题17数列的通项公式(教师版)_通用版(老高考)复习资料_2024年复习资料_完备战2024年高考数学一轮复习考点帮(全国通用)_核心考点讲练
专题17数列的通项公式(教师版)_通用版(老高考)复习资料_2024年复习资料_完备战2024年高考数学一轮复习考点帮(全国通用)_核心考点讲练
专题17数列的通项公式(教师版)_通用版(老高考)复习资料_2024年复习资料_完备战2024年高考数学一轮复习考点帮(全国通用)_核心考点讲练
专题17数列的通项公式(教师版)_通用版(老高考)复习资料_2024年复习资料_完备战2024年高考数学一轮复习考点帮(全国通用)_核心考点讲练
专题17数列的通项公式(教师版)_通用版(老高考)复习资料_2024年复习资料_完备战2024年高考数学一轮复习考点帮(全国通用)_核心考点讲练
专题17数列的通项公式(教师版)_通用版(老高考)复习资料_2024年复习资料_完备战2024年高考数学一轮复习考点帮(全国通用)_核心考点讲练
专题17数列的通项公式(教师版)_通用版(老高考)复习资料_2024年复习资料_完备战2024年高考数学一轮复习考点帮(全国通用)_核心考点讲练
专题17数列的通项公式(教师版)_通用版(老高考)复习资料_2024年复习资料_完备战2024年高考数学一轮复习考点帮(全国通用)_核心考点讲练
专题17数列的通项公式(教师版)_通用版(老高考)复习资料_2024年复习资料_完备战2024年高考数学一轮复习考点帮(全国通用)_核心考点讲练
专题17数列的通项公式(教师版)_通用版(老高考)复习资料_2024年复习资料_完备战2024年高考数学一轮复习考点帮(全国通用)_核心考点讲练
专题17数列的通项公式(教师版)_通用版(老高考)复习资料_2024年复习资料_完备战2024年高考数学一轮复习考点帮(全国通用)_核心考点讲练
专题17数列的通项公式(教师版)_通用版(老高考)复习资料_2024年复习资料_完备战2024年高考数学一轮复习考点帮(全国通用)_核心考点讲练
专题17数列的通项公式(教师版)_通用版(老高考)复习资料_2024年复习资料_完备战2024年高考数学一轮复习考点帮(全国通用)_核心考点讲练
专题17数列的通项公式(教师版)_通用版(老高考)复习资料_2024年复习资料_完备战2024年高考数学一轮复习考点帮(全国通用)_核心考点讲练
专题17数列的通项公式(教师版)_通用版(老高考)复习资料_2024年复习资料_完备战2024年高考数学一轮复习考点帮(全国通用)_核心考点讲练
专题17数列的通项公式(教师版)_通用版(老高考)复习资料_2024年复习资料_完备战2024年高考数学一轮复习考点帮(全国通用)_核心考点讲练
专题17数列的通项公式(教师版)_通用版(老高考)复习资料_2024年复习资料_完备战2024年高考数学一轮复习考点帮(全国通用)_核心考点讲练
专题17数列的通项公式(教师版)_通用版(老高考)复习资料_2024年复习资料_完备战2024年高考数学一轮复习考点帮(全国通用)_核心考点讲练
专题17数列的通项公式(教师版)_通用版(老高考)复习资料_2024年复习资料_完备战2024年高考数学一轮复习考点帮(全国通用)_核心考点讲练
专题17数列的通项公式(教师版)_通用版(老高考)复习资料_2024年复习资料_完备战2024年高考数学一轮复习考点帮(全国通用)_核心考点讲练
专题17数列的通项公式(教师版)_通用版(老高考)复习资料_2024年复习资料_完备战2024年高考数学一轮复习考点帮(全国通用)_核心考点讲练
专题17数列的通项公式(教师版)_通用版(老高考)复习资料_2024年复习资料_完备战2024年高考数学一轮复习考点帮(全国通用)_核心考点讲练
专题17数列的通项公式(教师版)_通用版(老高考)复习资料_2024年复习资料_完备战2024年高考数学一轮复习考点帮(全国通用)_核心考点讲练
专题17数列的通项公式(教师版)_通用版(老高考)复习资料_2024年复习资料_完备战2024年高考数学一轮复习考点帮(全国通用)_核心考点讲练
专题17数列的通项公式(教师版)_通用版(老高考)复习资料_2024年复习资料_完备战2024年高考数学一轮复习考点帮(全国通用)_核心考点讲练
专题17数列的通项公式(教师版)_通用版(老高考)复习资料_2024年复习资料_完备战2024年高考数学一轮复习考点帮(全国通用)_核心考点讲练
专题17数列的通项公式(教师版)_通用版(老高考)复习资料_2024年复习资料_完备战2024年高考数学一轮复习考点帮(全国通用)_核心考点讲练
专题17数列的通项公式(教师版)_通用版(老高考)复习资料_2024年复习资料_完备战2024年高考数学一轮复习考点帮(全国通用)_核心考点讲练
专题17数列的通项公式(教师版)_通用版(老高考)复习资料_2024年复习资料_完备战2024年高考数学一轮复习考点帮(全国通用)_核心考点讲练
专题17数列的通项公式(教师版)_通用版(老高考)复习资料_2024年复习资料_完备战2024年高考数学一轮复习考点帮(全国通用)_核心考点讲练
专题17数列的通项公式(教师版)_通用版(老高考)复习资料_2024年复习资料_完备战2024年高考数学一轮复习考点帮(全国通用)_核心考点讲练
专题17数列的通项公式(教师版)_通用版(老高考)复习资料_2024年复习资料_完备战2024年高考数学一轮复习考点帮(全国通用)_核心考点讲练
专题17数列的通项公式(教师版)_通用版(老高考)复习资料_2024年复习资料_完备战2024年高考数学一轮复习考点帮(全国通用)_核心考点讲练
专题17数列的通项公式(教师版)_通用版(老高考)复习资料_2024年复习资料_完备战2024年高考数学一轮复习考点帮(全国通用)_核心考点讲练
专题17数列的通项公式(教师版)_通用版(老高考)复习资料_2024年复习资料_完备战2024年高考数学一轮复习考点帮(全国通用)_核心考点讲练
专题17数列的通项公式(教师版)_通用版(老高考)复习资料_2024年复习资料_完备战2024年高考数学一轮复习考点帮(全国通用)_核心考点讲练

文档信息

文档格式
docx
文档大小
3.198 MB
文档页数
60 页
上传时间
2026-04-21 06:27:17

文档内容

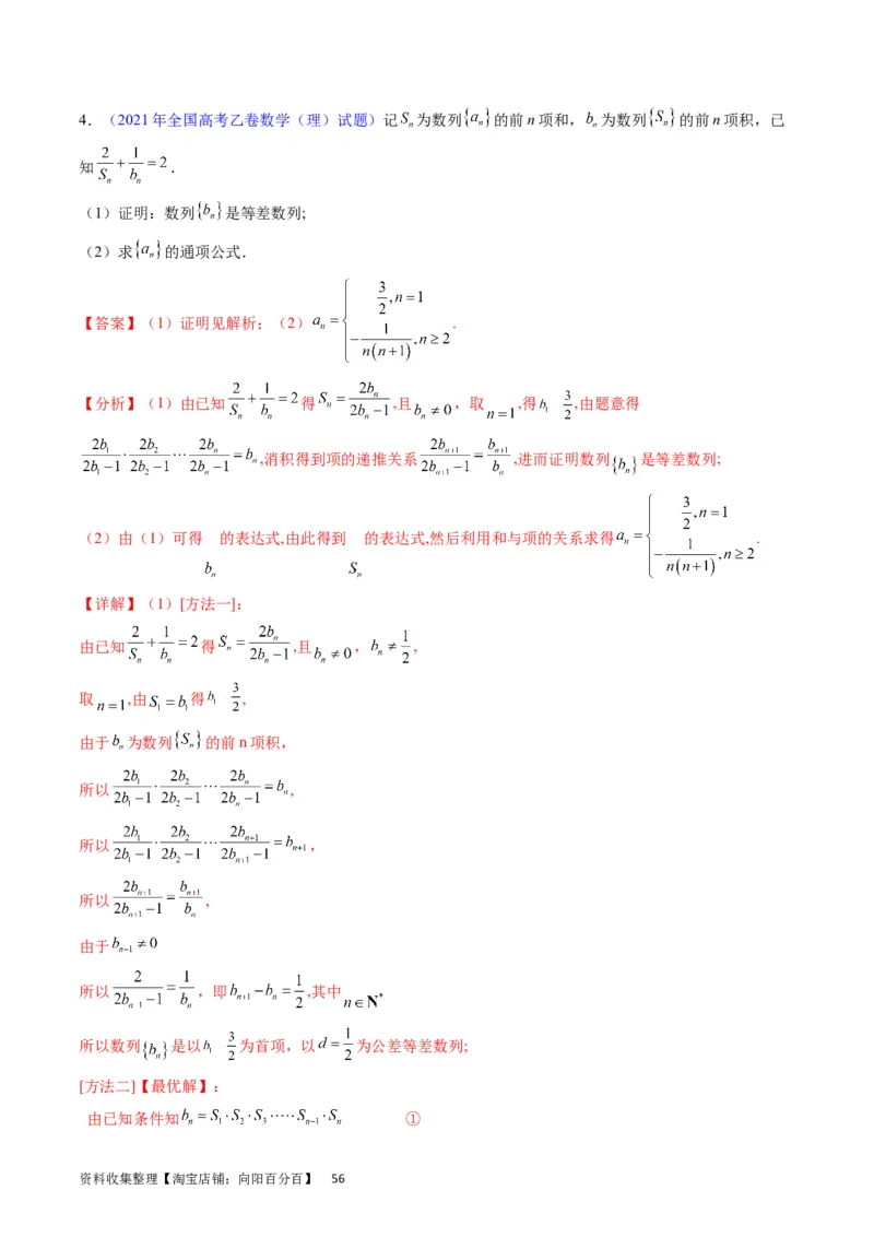
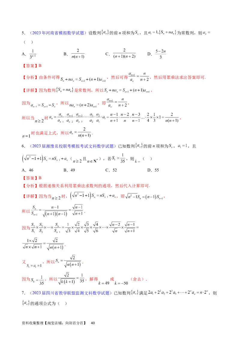
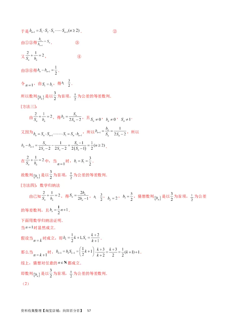
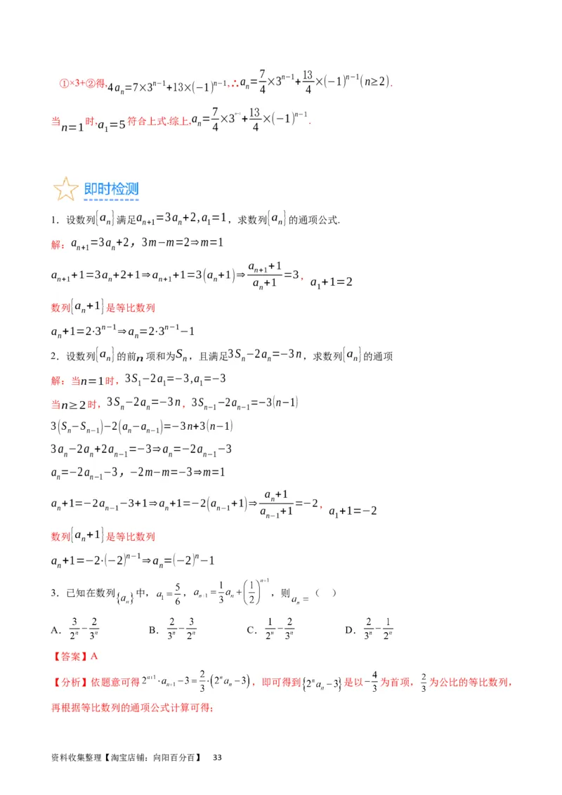
专题 17 数列的通项公式 (核心考点精讲精练) 1. 近几年真题考点分布 数列近几年考情 考题示例 考点分析 关联考点 1、求等比数列的通项公式,等差中项的应用 2021年全国乙(文科),第19题,12分 2、错位相减求前n项和 1、证明等差数列 2021年全国乙(理科),第19题,12分 2、求通项公式 2021年全国甲(文科),第17题,12分 证明等差数列 2021年全国甲(文科),第9题,5分 等比数列通项公式基本量计算,求前n项和 证明等差数列,等差数列的应用 2021年全国甲(理科),第18题,12分 求前n项和,由前n项和求通项 判断充分性与 2021年全国甲(理科),第7题,5分 判断数列的增减性 必要性 2022年全国乙(理科),第8题,5分 等比数列通项公式基本量计算,求数列的项 2022年全国乙(文科),第10题,5分 2022年全国甲(理科),第17题,12分 1、递推公式证明等差数列 2022年全国甲(文科),第17题,12分 2、等比中项的应用,求前n项和 1、利用定义求等差数列通项公式,等差数列 2023年全国乙(文科),第18题,12分 基本量的计算 2、含绝对值的等差数列求前n项和 2023年全国乙(理科),第15题,5分 等比数列通项公式基本量计算 余弦函数,集 2023年全国乙(理科),第10题,5分 等差数列求通项公式,数列周期性 合元素互异性 2023年全国甲(文科),第5题,5分 等差数列性质计算,求前n项和 2023年全国甲(理科),第5题,5分 等比数列前n项和 2. 命题规律及备考策略 【命题规律】1.本节为高考必考内容,各种题型均有出现; 2.考查数列的增减性、周期性; 资料收集整理【淘宝店铺:向阳百分百】 13.考查等差、等比数列基本量的计算,等差、等比中项的应用; 4.考查由递推公式证明等差、等比数列; 5.考查求等差、等比数列的通项公式与前n项和; 【备考策略】1.掌握找规律求通项公式; 2.掌握公式法求通项公式; 3.掌握等差、等比数列求通项公式 4.掌握累加法求通项公式 5.掌握累乘法求通项公式 6.掌握构造法求通项公式 7.掌握取倒数法求通项公式 【命题预测】1.考查数列的增减性、周期性; 2.考查等差、等比数列基本量的计算,等差、等比中项的应用; 3.考查由递推公式证明等差、等比数列; 4.考查求等差、等比数列的通项公式与前n项和; 资料收集整理【淘宝店铺:向阳百分百】 2知识讲解 a 一、找规律求通项公式 n a 根据数列的前几项找规律,写出通项公式 n,注意求数列是否具备周期性. a 二、公式法求通项公式 n {a } S =a +a +a +¿⋅¿+a 1.数列 n 的前n项和: n 1 2 3 n. { S =a ,n=1 a = 1 1 n S −S ,n≥2 2. n n−1 a 三、等差数列求通项公式 n 等差数列通项公式的推导 a =a +d⇒a −a =d n+1 n n+1 n a −a =d,a −a =d,⋅¿⋅,a −a =d 2 1 3 2 n n−1 a −a =d+d+,⋅¿⋅,+d=(n−1)d⇒a =a +(n−1)d n 1 n 1 a =a +(n−m)d n m a 四、累加法求通项公式 n 题型特征: a =a +f (n)⇔a −a =f (n) n+1 n n+1 n a −a =f (1),a −a =f (2),⋅¿⋅,a −a =f (n−1) 2 1 3 2 n n−1 a −a =f (1)+f (2)+,⋅¿⋅,+f (n−1) n 1 a =a +(a −a )+…+(a −a )=a +f(1)+f(2)+…+f(n−1)(n≥2) n 1 2 1 n n−1 1 资料收集整理【淘宝店铺:向阳百分百】 3a 五、等比数列求通项公式 n 等比数列通项公式的推导 a a =q⋅a ⇒ n =q n n−1 a n−1 a a a 2 =q, 3 =q,⋅¿⋅, n =q a a a 1 2 n−1 a a a a a 2 ⋅ 3 ⋅,⋅¿⋅,⋅ n−1 ⋅ n =q×q׿⋅¿×q=qn−1 ⇒ n =qn−1 ⇒a =a qn−1 a a a a a n 1 1 2 n−2 n−1 1 a =a qn−m n m a 六、累乘法求通项公式 n a 题型特征:a =f (n)⋅a ⇔ n =f (n) n n−1 a n−1 a a a 2 =f(2), 3 =f(3),⋅¿⋅, n =f(n) a a a 1 2 n−1 a a a a 2 ⋅ 3 ⋅,⋅¿⋅,⋅ n−1 ⋅ n =f(2)×f(3)׿⋅¿×f(n) a a a a 1 2 n−2 n−1 a n =f (2)×f (3)׿⋅¿×f (n)(n≥2) a 1 a 七、构造等差数列求通项公式 n 形如 a n+1 =pa n +q 型(p≠0,其中 a 1 =a )的数列 {a n } 的通项公式求法,若 p=1,则数列 {a n } 为等差数列; a =pa+qn (p≠0,1且q ≠0) {a } 形如 n+1 n 型 的数列 n 的通项公式 a p a 1 {a n } n+1 n = ⋅ + 等式两边同时除以 qn+1 ,即得 qn+1 q qn q .当 p=q 时,数列 qn 为等差数列; a 八、构造等比数列求通项公式 n 1.形如 a n+1 =pa n +q 型(p≠0)的数列 {a n } 的通项公式求法 (1)若 q=0,则数列 {a n } 为等比数列; (2)若 p≠1 且 q≠0,则数列 {a n } 为线性递推数列,其通项可通过待定系数法构造等比数列来求. a +λ=p(a +λ) a =pa+(p−1)λ 方法如下:设 n+1 n ,得 n+1 n , q 与题设a =pa+q比较系数得 λ= p−1 (p≠1), n+1 n 资料收集整理【淘宝店铺:向阳百分百】 4q q 所以 a n + p−1 =p(a n−1 + p−1 )(n≥2), { q } q 即 a n + p−1 构成以 a 1 + p−1 为首项, p 为公比的等比数列. 2.形如 a n+1 =pa n +qn 型(p≠0,1,q≠0)的数列 {a n } 的通项公式 等式两边同时除以 qn+1 ,即得 q a n n + + 1 1 = q p ⋅ q a n n + q 1 ,当 p≠q 时,原式可以变形为 q a n n + + 1 1 +λ= q p{a q n n +λ } 的形 {a } 式,则数列 n +λ 为等比数列,进而写出 的通项公式. qn {a } n 3.形如 a n+1 =pa n +qn+r 型(p≠0)的数列 {a n } 的通项公式求法 第一步,假设将递推公式改写为 a n+1 +x(n+1)+y=p(a n +xn+y) 的形式; 第二步,由待定系数法,求出x,y的值; 第三步,写出数列 {a n +xn+y} 的通项公式; {a } 第四步,写出数列 n 的通项公式. 4.形如 a n+1 =pa n +qa n−1型(p≠0)的数列 {a n } 的通项公式求法 可以将递推式化为 a n+1 −x 1 a n =x 2 (a n −x 1 a n−1 ),其中 x 1 , x 2是方程x2 −px−q=0的两个根,若1是方程的 根,则直接构造数列 {a n −a n−1 } ;若1不是方程的根,则需要构造两个数列,采取消元的方法求数列 {a n } . a 九、取倒数法求通项公式 n pa 形如 a n+1 = qa n + n r 型( p , q , r 为常数, p>0 , q , r , a n ≠0 )的数列 {a n } 的通项公式求法 1 1 =A +B 等式两边同时取倒数,变形构造出线性递推式 (A,B是常数),进而求解. a a n+1 n 考点一、找规律求通项公式a 或数列的项 n 类型1:观察法 资料收集整理【淘宝店铺:向阳百分百】 51 1.在数列 中, ,且 a =a + (n≥2,n∈N¿) ,写出数列 的前5项,猜想数列 {a } a =1 n n−1 n(n−1) {a } n 1 n {a } 的通项公式. n 解: a =1 1 1 3 3 1 5 5 1 7 7 1 9 a =1+ = ,a = + = ,a = + = ,a = + = 2 2×1 2 3 2 3×2 3 4 3 4×3 4 5 4 5×4 5 2n−1 a = . n n 2.大衍数列来源于《乾坤谱》中对易传“大衍之数五十”的推论,主要用于解释中国传统文化中的太极 衍生原理,数列中的每一项,都代表太极衍生过程中,曾经经历过的两仪数量总和,是中华传统文化中隐 藏的世界数学史上第一道数列题.其前10项依次是0,2,4,8,12,18,24,32,40,50,则此数列的第 15项是( ) A.400 B.110 C.112 D.113 【答案】C 【分析】由已知数列可得 为偶数时, , 为奇数时, ,然后代入15求解即可. 【详解】观察此数列可知,当 为偶数时, ,当 为奇数时, . 所以, . 3.已知数列1, , , , , , , , , ,…,则 是数列中的( ) A.第58项 B.第59项 C.第60项 D.第61项 【答案】C 【分析】观察该数列特征,进行重新分组即可得解. 【详解】对该数列进行重新分组: , , , , , 资料收集整理【淘宝店铺:向阳百分百】 6则 出现在 , 其项数是 类型2:周期法 1 4.在数列 {a } 中, a 1 =− 2 ,且 a ⋅(1−a )=1 ,则a = . n n+1 n 2022 1 解:a =− 1 2 2 1 a 2 = 3 ,a 3 =3,a 4 =− 2 , T=3 a =a =3 2022 3 5.洛卡斯是十九世纪法国数学家,他以研究斐波那契数列而著名.洛卡斯数列就是以他的名字命名,洛卡 斯数列为: 、 、 、 、 、 、 、 、 、 、L,即 , ,且 .则洛卡斯数列 的第 项除以 的余数是( ) A. B. C. D. 【答案】D 【分析】设数列 各项除以 所得余数所形成的数列为 ,从而可知数列 是以 为周期的周期数 列,从而可解. 【详解】设数列 各项除以 所得余数所形成的数列为 , 则数列 为: 、 、 、 、 、 、 、 、 、 、L, 由上可知,数列 是以 为周期的周期数列,即对任意的 , , 因为 ,所以 . 6.(2023年山西省模拟考试数学试题)数列 满足 , ,则数列 的前 项的乘 积为( ) A. B. C. D. 【答案】B 【分析】推导出,对任意的 , ,计算出数列 前五项的值,结合数列的周期性可求得数 列 的前 项的乘积. 【详解】数列 满足 , ,则 , 资料收集整理【淘宝店铺:向阳百分百】 7, , , , 以此类推可知,对任意的 , ,且 , 又因为 , 因此,数列 的前 项的乘积为 . a 1.在数列 中, ,且a = n (n∈N¿),写出数列 的前5项,猜想数列 的通项公式. {a } a =1 n+1 1+a {a } {a } n 1 n n n 解: a =1 1 1 1 1 2 1 3 1 4 1 ,a = = ,a = = ,a = = 1 1 3 1 3 4 1 4 5 1 5 a = = 1+ 1+ 1+ 2 1+1 2 2 3 4 1 a = . n n 2.在数列{a }中,a =2,a =5,且 a =a −a (n∈N¿),则 a = . n 1 2 n+1 n+2 n 5 解:a =2,a =5, a =a +a 1 2 n+2 n+1 n a =a +a =7 , a =a +a =12 , a =a +a =19 . 3 1 2 4 2 3 5 3 4 3.观察数列 则数 将出现在此数列的第( ) A.21项 B.22项 C.23项 D.24项 【答案】D 【分析】根据数列的特点得出数列的项数特点,各项排列特征,从而得出结论. 【详解】观察数列的特征,数列的项数为: , 资料收集整理【淘宝店铺:向阳百分百】 8又数 为 时的第3个数, ∴数 将出现在此数列的第 项. 1 { 2a ,0≤a < n n 2 4.在数列 中, ,且a = ,则 . 6 n+1 1 a = 2a −1, ≤a <1 {a } 1 7 n 2 n a = n 2022 6 解:a = 1 7 5 3 6 a = ,a = ,a = , 2 7 3 7 4 7 T=3 3 a =a = . 2022 3 7 5.已知数列 满足 ,则 的值为( ) A.-3 B.1 C.2 D.3 【答案】C 【分析】由递推关系首先确定数列的周期性,然后结合数列的通项公式求解. 【详解】由题意可得: , , , ,所以数列 是周期为4的周期数列, 又 ,且 , 故 . 考点二、公式法求通项公式a n 类型1:差项法 差项相减 n(n+1) 1.设正项数列 满足√a +√a +¿⋅¿+√a = ,求数列 的通项公式. {a } 1 2 n 2 {a } n n 资料收集整理【淘宝店铺:向阳百分百】 9n(n+1) 解:√a +√a +¿⋅¿+√a = 1 2 n 2 n(n−1) √a +√a +¿⋅¿+√a = (n≥2) 1 2 n−1 2 n(n+1) n(n−1) √a = − =n(n≥2) n 2 2 a =n2 (n≥2) n 当n=1时, √a 1 =1 ,符合通项公式 a =n2 . n 2.(2023年湖北省质量检测数学试题)已知数列满足 ,设 ,则数列 的前2023项和为( ) A. B. C. D. 【答案】B 【分析】根据题意先求出 ,即可求出 则可写出 的通项公式,再利用裂项相消 即可求出答案. 【详解】因为 ①, 当 时, ; 当 时, ②, ①-②化简得 , 当 时: ,也满足 , 所以 , , 所以 的前2023项和 . 差项相除 3.设正项数列{a }满足a ⋅a ⋅a ⋅⋯⋅a =n2 +3n+2,求数列{a }的通项公式. n 1 2 3 n n 解:a ⋅a ⋅a ⋅⋯⋅a =n2 +3n+2=(n+1)(n+2) 1 2 3 n 资料收集整理【淘宝店铺:向阳百分百】 10a⋅a⋅a ⋅⋯⋅a =n(n+1)(n≥2) 1 2 3 n−1 n+2 a = (n≥2) n n 当n=1时, a 1 =6 ,不符合通项公式 { 6,(n=1) a = n+2 . n ,(n≥2) n 题型2:公式法 4.设数列{a n }的前n项和为 S n ,若S n =3n +2n+1(n∈N¿),求数列{a n }的通项公式. 解:当n=1时, a n =S 1 =a 1 =6 S =3n +2n+1(n∈N¿) n 当n≥2时,S n−1 =3n−1 +2(n−1)+1(n∈N¿) a =S −S =2⋅3n−1 +2 n n n−1 当n=1时, a 1 =6 ,不符合通项公式 { 6,(n=1) a = n 2⋅3n−1 +2,(n≥2) n+1 1.在数列 中, , a +2a +3a +¿⋅¿+na= a (n∈N¿),求数列 的通项公式. {a } a =1 1 2 3 n 2 n+1 {a } n 1 n 解: b =na n n n+1 a +2a +3a +¿⋅¿+(n−1)a +na= a 1 2 3 n−1 n 2 n+1 当n≥2时, n a +2a +3a +¿⋅¿+(n−1)a = a 1 2 3 n−1 2 n na= n+1 a − n a ⇒ 3n a = n+1 a ⇒3na=(n+1)a ⇒ (n+1)a n+1 =3 n 2 n+1 2 n 2 n 2 n+1 n n+1 na n 3n−1 , na=3n−1 ⇒a = . 1⋅a =1 n n n 1 2.(2023年江西省联考数学试题)已知数列 满足 ,设数列 的前 资料收集整理【淘宝店铺:向阳百分百】 11项和为 ,若 恒成立,则实数 的最小值为( ) A. B. C. D. 【答案】D 【分析】先求数列 的通项公式,但要注意首项是否满足,然后利用等比数列的前 项和公式求 ,进 而可求解. 【详解】 , 当 时, , 两式相减,得 , 又 不满足上式, 当 时, ;当 时, , 又 也满足上式, , , 的最小值为 . 3.设数列{a n }的前n项和为 S n ,若 log 3 (S n +1)=n+1(n∈N¿) ,求数列{a n }的通项公式. 解: log (S +1)=n+1(n∈N¿)⇒S =3n+1 −1 3 n n 当n=1时, a n =S 1 =a 1 =8 S =3n+1 −1 n 当n≥2时,S n−1 =3n −1 a =S −S =2⋅3n n n n−1 当n=1时, a 1 =8 ,不符合通项公式 资料收集整理【淘宝店铺:向阳百分百】 12{ 8,(n=1) a = . n 2⋅3n,(n≥2) 4.设数列{a n }的前n项和为 S n ,若 S n =2a n −4(n∈N¿),求数列{a n }的通项公式. 解:当n=1时, a n =S 1 =a 1 =2a 1 −4⇒a 1 =4 当n≥2时, S n =2a n −4 , S n−1 =2a n−1 −4 a a =2a −2a ⇒a =2a ⇒ n =2 n n n−1 n n−1 a n−1 a =4⋅2n−1 . n 考点三、等差数列求通项公式a n 1.(2023年江西省模拟数学试题)已知等差数列 的前 项和为 . 求 的通项公式; 【答案】 【分析】(1)设数列 的首项为 ,公差为 ,根据通项公式及前 项和公式得到方程组,解得 、 , 即可得解; 【详解】设数列 的首项为 ,公差为 , 则 ,解得 .故 . 2.(2023年福建省质量监测数学试题)已知数列 满足 ,则数列 的通项公式为 . 【答案】 【分析】由题意根据等差数列的前 项和可得 ,再利用构造法结 合等差数列的通项即可得解. 【详解】因为 , 所以 , 资料收集整理【淘宝店铺:向阳百分百】 13∴数列 是首项为 ,公差为 的等差数列, ,所以 . 3.(2023年安徽省质量检测数学试题)已知 是公差不为 的等差数列 的前 项和, 是 与 的 等比中项, . 求数列 的通项公式; 【答案】 【分析】由等比中项及等差数列通项公式列方程得 ,由等差数列前n项和可得 ,进而求基 本量,写出通项公式即可; 【详解】设数列 的公差为d,由 是 与 的等比中项,则 , 所以 ,且 ,整理得 ①, 又 ,整理得 ②, 由①②解得, ,所以 . 4.(2023届广东省调研数学试题)记 ,为数列 的前n项和,已知 , . 求 ,并证明 是等差数列; 【答案】 ,证明见解析 【分析】利用 与前n项和 的关系,由 可得 的值,即可求得 的值;根据相减 法求得 为常数,证明其为等差数列; 【详解】解:已知 , 当 时, , ; 当 时, , ,所以 .因为 ①, 所以 ②.②-①得, ,整理得 , , 所以 (常数), , 所以 是首项为6,公差为4的等差数列. 资料收集整理【淘宝店铺:向阳百分百】 141.(2023年辽宁省模拟考试数学试题)记等差数列 的前 项和为 ,已知 , . 求 的通项公式; 【答案】 ; 【分析】根据给定条件,求出公差 ,再求出通项作答. 【详解】设等差数列 的公差为 ,由 , ,得 , 解得 ,于是 , 所以数列 的通项公式是 . 2.记 为数列 的前n项和,且 ,已知 . 若 ,求数列 的通项公式; 【答案】 【分析】由已知得 为公差为 的等差数列,求得 ,利用 与 的关系求得 ,再利用累乘法即可得到结果. 【详解】由题意得 为公差为 ,首项为 的等差数列, 则 , 即 , 两式作差得 , 即 , 所以 , 即 , , 因为 也适合上式,所以 . 3.(2023年福建省质量检测数学试题)已知等差数列 的公差 ,其前 项和为 ,若 , , 成等比数列,且 . 求数列 的通项公式; 【答案】 资料收集整理【淘宝店铺:向阳百分百】 15【分析】由已知条件列方程组求出数列 的首项和公差,可得数列 的通项公式; 【详解】因为 , , 成等比数列, , 所以 ,由 ,解得 , 所以 . 4.(2022年全国高考甲卷数学(理)试题)记 为数列 的前n项和.已知 . 证明: 是等差数列; 【答案】证明见解析; 【分析】依题意可得 ,根据 ,作差即可得到 ,从而得证; 【详解】因为 ,即 ①, 当 时, ②, ① ②得, , 即 , 即 ,所以 , 且 , 所以 是以 为公差的等差数列. 考点四、累加法求通项公式a n 1.设数列{a }满足a =1,且 a =a +n+1(n∈N¿),求数列{a }的通项公式. n 1 n+1 n n 解: a −a =n+1 n+1 n a −a =2 , a −a =3 ,..., a −a =n 2 1 3 2 n n−1 (n−1)(2+n) a −a =2+3+¿⋅¿+n= n 1 2 (n−1)(2+n) a = +1. n 2 资料收集整理【淘宝店铺:向阳百分百】 161 1 2.设数列 {a n } 满足 a 1 = 2 ,且 a n+1 =a n + n2 +n (n∈N¿) ,求数列 {a n } 的通项公式. 1 1 1 1 解: a −a = = = − n+1 n n2 +n n(n+1) n n+1 1 1 1 1 1 1 a −a = − , a −a = − ,..., a −a = − 2 1 1 2 3 2 2 3 n n−1 n−1 n (1 1) (1 1) ( 1 1 ) ( 1 1) 1 1 a −a = − + − +¿⋅¿+ − + − = − n 1 1 2 2 3 n−2 n−1 n−1 n 1 n 3 1 a = − . n 2 n 3.(2023届湖北省调研数学试题)南宋数学家杨辉为我国古代数学研究作出了杰出贡献,他的著名研究 成果“杨辉三角”记录于其重要著作《详解九章算法》,该著作中的“垛积术”问题介绍了高阶等差数列. 以高阶等差数列中的二阶等差数列为例,其特点是从数列中的第二项开始,每一项与前一项的差构成等差 数列.若某个二阶等差数列的前4项为:2,3,6,11,则该数列的第15项为( ) A.196 B.197 C.198 D.199 【答案】C 【分析】根据二阶等差数列的定义求出数列 的通项公式,再利用累加法计算即可得 . 【详解】设该数列为 ,则 ; 由二阶等差数列的定义可知, 所以数列 是以 为首项,公差 的等差数列, 即 ,所以 将所有上式累加可得 ,所以 ; 即该数列的第15项为 . 4.已知数列 满足 , , ,则数列 第2023项 为( ) A. B. C. D. 【答案】B 【分析】根据题意得到 ,再利用累加法计算得到答案. 资料收集整理【淘宝店铺:向阳百分百】 17【详解】由 ,则有 ,得 , 又 , ,则 , 所以 , , , , , 相加得 . 5.(2023年湖南省模拟数学试题)设数列 的前 项和为 ,若 ,且对任意的正整数 都有 ,则 ( ) A. B. C. D. 【答案】D 【分析】令 可得 ,由累加法求出 ,再由分组求和法求出 . 【详解】因为 ,且对任意的正整数 都有 , 令 可得: ,所以 , 所以 , 所以 . 1.设数列{a }满足a =1,且 a =a +2n+1(n∈N¿),求数列{a }的通项公式. n 1 n+1 n n 解: a −a =2n+1 , a −a =3 , a −a =5 ,..., a −a =2n−1 n+1 n 2 1 3 2 n n−1 (n−1)(3+2n−1) a −a =3+5+¿⋅¿+2n−1= n 1 2 (n−1)(2+2n) a = +1. n 2 2.(2008年普通高等学校招生全国统一考试数学文科(江西卷))在数列 中, , ,则 ( ) A. B. C. D. 资料收集整理【淘宝店铺:向阳百分百】 18【答案】A 【详解】试题分析:在数列 中, 3.(2023年河南省摸底检测数学试题)设数列 中 , ,且 ,则 的最小值是( ) A. B. C. D. 【答案】B 【分析】由已知得出 ,利用累加法求得 ,然后由数列的单调性得出最小值. 【详解】因为 , 所以 . 因为 ,所以 ,即 , 则 . 因为 满足上式,所以 , 则 . 因为 ,由对勾函数性质知数列 在 时递减,在 时递增. 因为 , ,所以 的最小值是 . 4.(2023届广东省模拟数学试题)南宋数学家杨辉在《详解九章算法》中,研究了二阶等差数列.若 是公差不为零的等差数列,则称数列 为二阶等差数列.现有一个“三角垛”,共有40层,各 层小球个数构成一个二阶等差数列,第一层放1个小球,第二层放3个小球,第三层放6个小球,第四层 放10个小球, ,则第40层放小球的个数为( ) A.1640 B.1560 C.820 D.780 【答案】C 【分析】首先由二阶等差数列的定义,得到 ,再求和得到数列 的通项公式, 资料收集整理【淘宝店铺:向阳百分百】 19a 即可求 40. 【详解】设第 层放小球的个数为 a ,由题意 , ,……,数列{a −a }是首项为 n n+1 n 2,公差为1的等差数列, 所以 . 故 , 故 . 5.(2023届浙江省仿真考数学试题)“杨辉三角”是中国古代重要的数学成就,如图是由“杨辉三角” 拓展而成的三角形数阵,记 为图中虚线上的数 构成的数列 的第 项,则 的值为( ) A.1275 B.1276 C.1270 D.1280 【答案】A 【分析】根据题意分析可得 ,利用累加法运算求解. 【详解】由题意可得: ,即 , 所以 . 考点五、等比数列求通项公式a n 1.已知 为等比数列, , ,则 ( ) A. B. C. D. 【答案】D 【分析】由条件可得 的值,进而由 和 可得解. 【详解】 或 . 资料收集整理【淘宝店铺:向阳百分百】 20由等比数列性质可知 或 【点睛】本题主要考查了等比数列的下标的性质,属于中档题. 2.(2023年湖北省调研考试数学试题)设正项等比数列 的前 项和为 ,若 ,则 ( ) A.4 B.3 C.2 D.1 【答案】A 【分析】根据第一个等量关系得到关于公比的方程,解方程得到公比的值,代入第二个等量关系得到关于 首项的方程,解方程得到首项,从而得到 的值.注意正项等比数列的公比大于0. 【详解】设正项等比数列 的公比为q(q>0), 则由 得 , 即 ,即 , 即 , 解得 ( 舍去). 由 得 ,即 , 将 代入得 , 解得 , 则 . 3.已知等比数列 ,公比为q,其中 ,q均为正整数,且 , , 成等差数列,则 等于 ( ) A.96 B.48 C.16 D.8 【答案】B a 【分析】由已知,可根据“ , , 成等差数列”列式,然后将 、 全部换成 与q的关 1 a 系,然后根据 ,q均为正整数,列方程组求解即可. 1 【详解】等比数列 ,由 ,有 , 即 , 资料收集整理【淘宝店铺:向阳百分百】 21由于 , 均为正整数,故 (不合题意,舍去) 或 ,得 . 所以 . 4.(2021年全国新高考Ⅰ卷数学试题)已知数列 满足 , 记 ,写出 , ,并求数列 的通项公式; 【答案】 ; 【分析】由题意结合递推关系式确定数列 的特征,然后求和其通项公式即可; 【详解】[方法一]【最优解】: 显然 为偶数,则 , 所以 ,即 ,且 , 所以 是以2为首项,3为公差的等差数列, 于是 . [方法二]:奇偶分类讨论 由题意知 ,所以 . 由 ( 为奇数)及 ( 为偶数)可知, 数列从第一项起, 若 为奇数,则其后一项减去该项的差为1, 若 为偶数,则其后一项减去该项的差为2. 所以 ,则 . [方法三]:累加法 由题意知数列 满足 . 所以 , , 则 . 所以 ,数列 的通项公式 . 【整体点评】(1)方法一:由题意讨论 的性质为最一般的思路和最优的解法; 方法二:利用递推关系式分类讨论奇偶两种情况,然后利用递推关系式确定数列的性质; 资料收集整理【淘宝店铺:向阳百分百】 22方法三:写出数列 的通项公式,然后累加求数列 的通项公式,是一种更加灵活的思路. 1.(2020年海南省高考数学试题(新高考全国Ⅱ卷))已知公比大于 的等比数列 满足 . 求 的通项公式; 【答案】a =2n ; n 【分析】由题意得到关于首项、公比的方程组,求解方程组得到首项、公比的值即可确定数列的通项公式; 【详解】设等比数列 的公比为 ,则 , q(q>1) 整理可得: , , 数列的通项公式为: . 2.已知递增等比数列 , , , ,则 ( ) A.8 B.16 C.32 D.64 【答案】D 【分析】根据等比数列的性质、定义、通项公式计算求解即可. 【详解】因为递增等比数列 中 ,所以 , 又 ,解得 ,所以 ,解得 , 所以 . 3.已知等比数列 满足 , ,则 ( ) A.21 B.42 C.63 D.84 【答案】D 【分析】设等比数列 公比为q,根据给定条件求出 即可计算作答. 【详解】等比数列 公比为q,由 得: ,即 ,而 ,解 得 , 所以 . 4.已知数列 满足: ,且 .设 . 证明:数列 为等比数列,并求出 的通项公式; 资料收集整理【淘宝店铺:向阳百分百】 23【答案】 【分析】根据数列的递推公式可得 ,由此构造数列,进而证明结论; 【详解】由题意可知: , , 故 ,即 , 故 是以 为首项,以 为公比的等比数列, 且 , 故 . 考点六、累乘法求通项公式a n n−1 1.设数列 满足 ,且 a = a (n≥2),求数列 的通项公式. {a } a =1 n n n−1 {a } n 1 n a n n−1 解: = a n n−1 a 2 = 1 , a 3 = 2 ,⋅¿⋅, a n−1 = n−2 , a n = n−1 a 2 a 3 a n−1 a n 1 2 n−2 n−1 a 2 ⋅ a 3 ⋅,⋅¿⋅,⋅ a n−1 ⋅ a n = 1 × 2 ׿⋅¿× n−2 × n−1 = 1 a a a a 2 3 n−1 n n 1 2 n−2 n−1 a 1 1 n = ⇒a = . a n n n 1 2 n 2.设数列 满足 a = ,且 a = a (n∈N¿),求数列 的通项公式. {a n } 1 3 n+1 n+1 n {a n } 解: a n+1 = n , a 2 = 1 , a 3 = 2 ,⋅¿⋅, a n−1 = n−2 , a n = n−1 a n+1 a 2 a 3 a n−1 a n n 1 2 n−2 n−1 a 2 ⋅ a 3 ⋅,⋅¿⋅,⋅ a n−1 ⋅ a n = 1 × 2 ׿⋅¿× n−2 × n−1 = 1 a a a a 2 3 n−1 n n 1 2 n−2 n−1 a 1 1 1 2 n = ⇒a = ⋅a = × . a n n n 1 n 3 1 资料收集整理【淘宝店铺:向阳百分百】 24n 3.设数列 {a n } 满足 a 1 =2 ,且 a n+1 = n+2 a n (n∈N¿),求数列 {a n } 的通项公式. a n n+1 解: = a n+2 n a 2 = 1 , a 3 = 2 , a 4 = 3 , a 5 = 4 ,⋅¿⋅, a n−3 = n−4 , a n−2 = n−3 , a n−1 = n−2 , a n = n−1 a 3 a 4 a 5 a 6 a n−2 a n−1 a n a n+1 1 2 3 4 n−4 n−3 n−2 n−1 a 2 ⋅ a 3 ⋅ a 4 ⋅ a 5 ⋅,⋅¿⋅,⋅ a n−3 ⋅ a n−2 ⋅ a n−1 ⋅ a n = 1 × 2 × 3 × 4 ׿⋅¿× n−4 × n−3 × n−2 × n−1 = 1×2 a a a a a a a a 3 4 5 6 n−2 n−1 n n+1 n(n+1) 1 2 3 4 n−4 n−3 n−2 n−1 a 2 2 4 n = ⇒a = ⋅a = . a n(n+1) n n(n+1) 1 n(n+1) 1 4.(2022年高考最后一卷(押题卷四)数学试题)在数列 中, , ,若 ,且对任意 , 恒成立,则实数 的取值范围是( ) A. B. C. D. 【答案】A T 【分析】根据题干中的递推公式,利用累乘法求解数列 的通项公式,利用错位相减法求解 ,分离参 n 数,利用函数的单调性求解参数的取值范围. 【详解】解:由 ,得 , 所以 ,当 时, ,符合上式, 所以 . 所以 , , 作差得 , 所以 .由 ,得 , 整理得 . 资料收集整理【淘宝店铺:向阳百分百】 25易知函数 在 上单调递增,所以当 时, ,所以 . 5.已知数列 中, , ,则数列 的通项公式为( ) A. B. C. D. 【答案】A 【分析】根据 ,利用数列的通项和前 项和的关系,得到 ,再 n 利用累乘法求解. 【详解】解:由 ① ②, ① ②得: , 即: , 所以 , 所以 . 1.(2023年广东省模拟数学试题)记数列 的前 项和为 ,满足 ,且 ,则 的最小值为( ) A. B. C. D. 【答案】C 【分析】由已知得 ,利用累乘法求出 ,从而可求得 ,代入 中化简,再利用对勾函 数的性质可求得结果. 【详解】由 ,得 , 因为 ,所以 资料收集整理【淘宝店铺:向阳百分百】 26, 所以 , 所以 , 因为 ,所以由对勾函数的性质可知, 当 时, 取得最小值 . 2.设数列{a }满足a =1,且a =2na (n∈N¿),求数列{a }的通项公式. n 1 n+1 n n a 解: n+1 =2n a n a a a a 2 =21 , 3 =22 ,⋅¿⋅, n−1 =2n−2, n =2n−1 a a a a 1 2 n−2 n−1 a a a a (n−1)(1+n−1) 2 ⋅ 3 ⋅,⋅¿⋅,⋅ n−1 ⋅ n =21 ×22 ׿⋅¿×2n−2 ×2n−1 =21+2+¿⋅¿+n−2+n−1 =2 2 a a a a 1 2 n−2 n−1 a (n−1)(1+n−1) (n−1)(1+n−1) n =2 2 ⇒a =2 2 . a n 1 3.设数列{a }满足a =2,且(n+1)a =(n−1)a (n≥2,n∈N¿),求数列{a }的通项公式. n 1 n n−1 n a n n−1 解: = a n+1 n−1 a 2 = 1 , a 3 = 2 , a 4 = 3 , a 5 = 4 ,⋅¿⋅, a n−3 = n−4 , a n−2 = n−3 , a n−1 = n−2 , a n = n−1 a 3 a 4 a 5 a 6 a n−2 a n−1 a n a n+1 1 2 3 4 n−4 n−3 n−2 n−1 a 2 ⋅ a 3 ⋅ a 4 ⋅ a 5 ⋅,⋅¿⋅,⋅ a n−3 ⋅ a n−2 ⋅ a n−1 ⋅ a n = 1 × 2 × 3 × 4 ׿⋅¿× n−4 × n−3 × n−2 × n−1 = 1×2 a a a a a a a a 3 4 5 6 n−2 n−1 n n+1 n(n+1) 1 2 3 4 n−4 n−3 n−2 n−1 a 2 2 4 n = ⇒a = ⋅a = . a n(n+1) n n(n+1) 1 n(n+1) 1 4.(2023年广东省模拟数学试题)已知 是数列 的前 项和, , ,则 的通项公 式为( ) 资料收集整理【淘宝店铺:向阳百分百】 27A. B. C. D. 【答案】B 【分析】由 得 ,两式相减得 ,把 分别代入, 用累乘法得 , ,再验证 也成立,即可得到 . 【详解】由 得 , 两式相减得: , 即 ,即 ,即 , . 所以 , , ,…, . 相乘得: … … , 即 ,因为 ,所以 , . 当 时, ,所以 . 考点七、构造等差数列求通项公式a n 积累和观察 1.如果数列{a }满足a =4,a =2a +2n+1 ,求数列{a }的通项公式. n 1 n+1 n n a 2a 2n+1 a a a a 解: n+1 = n + ⇒ n+1 = n +1⇒ n+1 − n =1 2n+1 2n+1 2n+1 2n+1 2n 2n+1 2n 数列 {a n } 是等差数列, a n+1 − a n =1=d, a 1 = 4 =2 2n 2n+1 2n 21 2 a n =2+(n−1)×1=n+1⇒a =(n+1)2n . 2n n 资料收集整理【淘宝店铺:向阳百分百】 28n2 +n 2.设数列 的前 项和为 ,且满足 nS =(n+1)S + , ,求数列 的通项公式. {a } S n+1 n 2 a =1 {a } n n n 1 n n(n+1) 解: nS =(n+1)S + n(n+1) ⇒ nS n+1 = (n+1)S n + 2 ⇒ S n+1 = S n + 1 n+1 n 2 n(n+1) n(n+1) n(n+1) n+1 n 2 S n+1 − S n = 1 , S 1 =1,数列 {S n } 是等差数列, n+1 n 2 1 n S 1 1 1 n =1+(n−1)× = (n+1)⇒S = n(n+1) n 2 2 n 2 n(n+1) n(a 1 +a n ) S = ↔S = ⇒a =n. n 2 n 2 n 5a −8 { 1 } 3.已知数列 满足 ,a = n ,a =3,证明数列 是等差数列,并求数列 的 {a } a ≠2 n+1 2a −3 1 a −2 {a } n n n n n 通项公式. 5a −8−4a +6 a −2 解:a −2= n n = n n+1 2a −3 2a −3 n n 1 2a −3 2(a −2)+1 1 1 1 1 = n = n = +2, − =2, =1 a −2 a −2 a −2 a −2 a −2 a −2 a −2 n+1 n n n n+1 n 1 { 1 } 数列 是等差数列 a −2 n 1 1 1 =1+(n−1)⋅2=2n−1⇒a −2= ⇒a = +2 . a −2 n 2n−1 n 2n−1 n 1.如果数列{a }满足a =2,a =2a +3⋅2n ,求数列{a }的通项公式. n 1 n+1 n n a n+1 2a n 3⋅2n a n+1 a n 3 a n+1 a n 3 解: = + ⇒ = + ⇒ − = 2n+1 2n+1 2n+1 2n+1 2n 2 2n+1 2n 2 数列 {a n } 是等差数列, a n+1 − a n = 3 =d, a 1 = 2 =1 2n 2n+1 2n 2 21 2 a 3 3 1 1 n =1+(n−1)× = n− ⇒a = (3n−1)2n . 2n 2 2 2 n 2 资料收集整理【淘宝店铺:向阳百分百】 292.已知数列 的前 项和为 ,则 ( ) A. B. C. D. 【答案】D 【分析】根据给定条件,结合 变形,构造数列,再求数列通项即可求解作答. 【详解】因为 ,则 ,于是得 , 因此数列 是公差为1的等差数列,首项 ,则 ,所以 . a −1 { 1 } 3.已知数列 满足a = n−1 ,a =3(n∈N¿),证明数列 是等差数列,并求数列 的通 {a } n a +3 1 a +1 {a } n n−1 n n 项公式. a −1+a +3 2a +2 解:a +1= n−1 n−1 = n−1 n a +3 a +3 n−1 n−1 1 a +3 a +1+2 1 1 n−1 n−1 = = = + a +1 2(a +1) 2(a +1) a +1 2 n n−1 n−1 n−1 1 1 1 1 1 − = , = , a +1 a +1 2 a +1 4 n n−1 1 { 1 } 数列 是等差数列 a +1 n 1 1 1 = +(n−1) a +1 4 2 n 1 2n−1 4 4 = ⇒a +1= ⇒a = −1 . a +1 4 n 2n−1 n 2n−1 n 4.设数列 {a n } 的前n项和为 S n ,且满足 a 1 =1,a n+1 =S n ⋅S n+1 ,求数列 {S n } 的通项公式. S S S ⋅S 解:a =S −S =S ⋅S ⇒ n+1 − n = n n+1 n+1 n+1 n n n+1 S ⋅S S ⋅S S ⋅S n n+1 n n+1 n n+1 1 1 1 1 1 1 − =1⇒ − =−1, = =1 S S S S S a n n+1 n+1 n 1 1 { 1 } 1 1 数列 是等差数列 =1+(n−1)⋅(−1)=2−n⇒S = . S S n 2−n n n 考点八、构造等比数列求通项公式a n 资料收集整理【淘宝店铺:向阳百分百】 30形如 a =pa+q 型(p≠0)的数列 {a } 的通项公式求法 n+1 n n 1.设数列{a }满足 a =2a +1,a =1 ,求数列{a }的通项公式. n n+1 n 1 n 解: a =2a +1,2m−m=1⇒m=1 n+1 n a +1 a +1=2a +1+1⇒a +1=2(a +1)⇒ n+1 =2,a +1=2 n+1 n n+1 n a +1 1 n 数列{a +1}是等比数列 n ∴a +1=2⋅2n−1 ⇒a =2n −1. n n 2.设数列 {a n } 的前n项和为 S n ,且满足 a n +S n =3n−1 ,求数列 {a n } 的通项公式. 解:当n=1时, a 1 +S 1 =3−1⇒a 1 =1 a +S =3n−1 n n 当n≥2时,a n−1 +S n−1 =3(n−1)−1 1 3 a −a +S −S =3⇒2a −a =3⇒a = a + n n−1 n n−1 n n−1 n 2 n−1 2 1 3 1 3 a = a + , m−m= ⇒m=−3 n 2 n 2 2 2 1 3 1 a −3 1 a −3= a − ⇒a −3= (a −3)⇒ n = , n 2 n−1 2 n 2 n−1 a −3 2 a −3=−2 n−1 1 数列{a −3}是等比数列 n 1 n−1 1 n−1 ( ) ( ) a −3=−2⋅ ⇒a =−2⋅ +3 . n 2 n 2 形如a =pa+qn 型(p≠0,1,q≠0)的数列{a }的通项公式 n+1 n n 3.(2023年福建泉州模拟试题)在数列{a }中,a =−1,a =2a +4×3n−1 ,求数列{a }的通项公式. n 1 n+1 n n 【详解】(解法一):原递推式可化为a +λ⋅3 =2(a +λ⋅3n−1 ), n+1 n n 比较系数得λ=−4,上式即是a n+1 −4×3 n =2(a n −4×3n−1 ), 则数列 {a −4×3n−1} 是首项为a −4×31−1=−5,公比为2的等比数列, n 1 ∴a −4×3n−1 =−5×2n−1 ,即a =4×3n−1 −5×2n−1 . n n 资料收集整理【淘宝店铺:向阳百分百】 31a 2 a 4 n+1 n (解法二):将 a n+1 =2a n +4×3n−1的两边同除以 3n+1 ,得 3n+1 = 3 ⋅ 3 n + 32 , a 2 4 2 4 令b = n ,则 b = b + .设 b +k= (b +k),比较系数得 k=− , n 3n n+1 3 n 9 n+1 3 n 3 4 b − n+1 3 2 则 b n − 3 4 = 3 ,∴ { b n − 3 4} 是以 − 5 3 为首项, 3 2 为公比的等比数列.∴ b n − 3 4 = ( − 5 3 ) × ( 3 2 ) n−1, 4 5 2 n−1 ( ) 则 b = − × ,∴ . n 3 3 3 a =3 ×b =4×3n−1 −5×2n−1 n n n 形如 a =pa+qn+r 型(p≠0)的数列 {a } 的通项公式求法 n+1 n n 4.(2023年陕西模拟试题)已知数列 {a } 满足 a =2 , a +1=3a −2 +1 ,则 a = . n 1 n n n n 【答案】 3 −1+n n 【详解】因为 a +1=3a −2 +1 , n n n 所以 a +1−(n+1)=3(a −n), n n a −(n+1) 所以 n+1 =3, a −n n 又因为 a −1=2−1=1≠0 , 1 所以 {a −n} 是首项为1,公比为3的等比数列, n 所以 a −n=3 −1 ,所以 a =3 −1+n . n n n n 形如 a =pa+qa 型(p≠0)的数列{a }的通项公式求法 n+1 n n−1 n 5.已知在数列{a }中, a =5 , a =2 , a =2a +3a (n≥3),求这个数列的通项公式. n 1 2 n n−1 n−2 【详解】∵ a =2a +3a ,∴ a +a =3(a +a ), n n−1 n−2 n n−1 n−1 n−2 又 a +a =7 , 1 2 ∴{a +2a }是首项为7,公比为3的等比数列,则a +a =7×3n−2(n≥2). ① n n−1 n n−1 又 a −3a =−(a −3a ), a −3a =−13 , n n−1 n−1 n−2 2 1 ∴{a n −3a n−1 }是首项为−13,公比为−1的等比数列,则a n −3a n−1 =(−13)×(−1)n−2(n≥2), ② 资料收集整理【淘宝店铺:向阳百分百】 327 13 ①×3+②得, 4a =7×3n−1 +13×(−1) n−1,∴ a n = 4 ×3n−1 + 4 ×(−1) n−1 (n≥2). n 7 13 当 时, 符合上式.综上, a = ×3n−1+ ×(−1) n−1 . n=1 a 1 =5 n 4 4 1.设数列 {a } 满足 a =3a +2,a =1 ,求数列 {a } 的通项公式. n n+1 n 1 n 解: a =3a +2,3m−m=2⇒m=1 n+1 n a +1 a +1=3a +2+1⇒a +1=3(a +1)⇒ n+1 =3, n+1 n n+1 n a +1 a +1=2 n 1 数列{a +1}是等比数列 n a +1=2⋅3n−1 ⇒a =2⋅3n−1 −1 n n 2.设数列 {a n } 的前n项和为 S n ,且满足 3S n −2a n =−3n ,求数列 {a n } 的通项 解:当n=1时, 3S 1 −2a 1 =−3,a 1 =−3 当n≥2时, 3S n −2a n =−3n , 3S n−1 −2a n−1 =−3(n−1) 3(S −S )−2(a −a )=−3n+3(n−1) n n−1 n n−1 3a −2a +2a =−3⇒a =−2a −3 n n n−1 n n−1 a =−2a −3,−2m−m=−3⇒m=1 n n−1 a +1 a +1=−2a −3+1⇒a +1=−2(a +1)⇒ n =−2, n n−1 n n−1 a +1 a +1=−2 n−1 1 数列{a +1}是等比数列 n a +1=−2⋅(−2) n−1 ⇒a =(−2) n −1 n n 3.已知在数列 中, , ,则 ( ) A. B. C. D. 【答案】A 【分析】依题意可得 ,即可得到 是以 为首项, 为公比的等比数列, 再根据等比数列的通项公式计算可得; 资料收集整理【淘宝店铺:向阳百分百】 33【详解】解:因为 , ,所以 ,整理得 , 所以数列 是以 为首项, 为公比的等比数列.所以 ,解得 . 4.(2023年江苏省学情调研数学试题)若 是数列 的前n项和,已知 , ,且 ,则 ( ) A. B. C. D. 【答案】A 【分析】根据已知条件及 与 的关系,利用构造法得 通项公式,结合等比数列的前n项和公式及分 组求和法即可求解. 【详解】由题意得当 时, , 设 ,得 , 又因为 , , 所以 也满足上式, 所以数列 是以首项为 ,公比为 的等比数列, 所以 ,即 , 所以 故 . 5.(2023届河南省考前预测押题理科数学试题)在数列 中, ,则 的前 项和 的最大值为( ) A.64 B.53 C.42 D.25 【答案】B 【分析】令 ,则由 可得 ,所以数列 是以 为首 项,2为公比的等比数列,可得到 ,然后用累加法得到 ,通过 的单调性即 可求出 的最大值 【详解】由 ,得 , 令 ,所以 ,则 , 资料收集整理【淘宝店铺:向阳百分百】 34所以数列 是以 为首项,2为公比的等比数列, 所以 ,即 ,即 , 由 , 将以上 个等式两边相加得 , 所以 , 经检验 满足上式,故 当 时, ,即 单调递增,当 时, ,即 单调递减, 因为 , 所以 的前 项和 的最大值为 , 考点九、取倒数法求通项公式a n a 1.设数列 满足a = n ,a =1,求数列 的通项公式. {a } n+1 a +3 1 {a } n n n 1 a +3 3 1 1 解: = n =1+ , =3 +1 a a a a a n+1 n n n+1 n 1 1 1 1 1 1 ( ) + =3 +1+ =3 + a 2 a 2 a 2 n+1 n n 1 1 ( 1 1 ) 1 1 3 + =3 + , + = a 2 a 2 a 2 2 n+1 n 1 1 1 3 3n 1 3n −1 2 + = ⋅3n−1 = ⇒ = ⇒a = a 2 2 2 a 2 n 3n −1 n n a 2.(2023年广西南宁模拟试题)已知数列 满足 ,a = n ,则数列 的前 项和 {a n } a 1 =1 n +1 2a n+1 {a n a n+1 } n T n = ( ). 资料收集整理【淘宝店铺:向阳百分百】 35n n 2 n n A. B. C. D. 2n−1 2n+1 2n+1 4n+2 【答案】B a 【详解】已知数列 满足 ,a = n , {a n } a 1 =1 n +1 2a n+1 a 1 1+2a 1 在等式a = n 两边同时取倒数得 = n = +2. n 2a a a a +1 n+1 n+1 n n 1 1 − =2 ∴a a , n n +1 {1 } 1 ∴数列 是等差数列,且首项为 =1,公差为2, a a n 1 则 1 =1+2(n−1)=2n−1 ,∴a = 1 ,∴ a a +1= 1 = 1( 1 − 1 ) . a n 2n−1 n n (2n−1 )(2n+1 ) 2 2n−1 2n+1 n 1[( 1) (1 1) (1 1) ( 1 1 ) ] 1( 1 ) n 因此, T = 1− + − + − +…+ − = 1− = . n 2 3 3 5 5 7 2n−1 2n+1 2 2n+1 2n+1 3.已知数列 满足 , ,则 ( ) A. B. C. D. 【答案】C 【分析】对数列两边取倒数,然后构造等比数列,通过等比数列的通项公式即可求解. 【详解】因为 ,所以两边取倒数得 ,则 ,所以数列 为等比数列, 则 ,所以 , 故 . 资料收集整理【淘宝店铺:向阳百分百】 363a 3 1.设数列 满足a = n ,a = ,求数列 的通项公式. {a } n+1 2a +1 1 5 {a } n n n 1 2a +1 2 1 1 1 1 2 1 2 解: = n = + , = ⋅ + , m−m= ⇒m=−1 a 3a 3 3a a 3 a 3 3 3 n+1 n n n+1 n 1 1 1 2 1 1 ( ) −1= ⋅ + −1= −1 a 3 a 3 3 a n+1 n n 1 1 ( 1 ) 1 2 −1= −1 , −1= a 3 a a 3 n+1 n 1 1 2 (1) n−1 2 −1= ⋅ = a 3 3 3n n 1 2+3n 3n = ⇒a = a 3n n 3n +2 n 2.已知数列 满足 , ( ),则 ( ) A. B. C. D. 【答案】C 【解析】由递推公式可得数列 是公差为 的等差数列,求出其通项公式即可得解. 【详解】解: ( ), ( ).即 ( ),所以数列 是公差为 的等差数列,所以 ,即 , . 【点睛】本题考查根据数列的递推公式求数列的通项公式及数列的项,属于基础题. 资料收集整理【淘宝店铺:向阳百分百】 37【基础过关】 1.(2023年广东省名校联盟联考数学试题)在数列 中, ,则 ( ) A.260 B.860 C.1011 D.2022 【答案】C 【分析】由 变形得出其周期为6,即可结合周期及对数运算性质化简求值. 【详解】由 ,得 ,两式相除可得 ,所以数列 是以6为周期的周期数列, 又 , 所以 . 2.(2023年安徽省检测模拟数学试题)已知数列 的前 项和 ,则 的通项公式 ( ) A. B. C. D. 【答案】C 【分析】令 ,解得 ,当 时, ,得数列的递推公式,根据等比数列的定义,通 项公式,即可得到所求. 【详解】令 ,则 ,解得 , 当 时, , 则 ,即 , , 资料收集整理【淘宝店铺:向阳百分百】 38所以数列 是以1为首项, 为公比的等比数列, 所以 . 3.设 是数列 的前n项和,且 , ,则 ( ) A. B. C. D. 【答案】C 【分析】根据等差数列中 ,化简表达式,再同时除以 即可得到等差数列;求出 的通 项公式后,再取倒数即可得到 的表达式,最后计算 即可得答案.. 【详解】解:由已知得 ,两边同时除以 ,得 , 所以,数列 是以 为首项, 为公差的等差数列, 所以, , . 所以 4.数列 满足 ,且 ,则 ( ) A.4043 B.4044 C.2021 D.2022 【答案】A 【分析】由 ,可得 ,即 为常数列,进而可得 ,从而即可求解. 【详解】解:因为 , 所以 , 所以 ,即 为常数列,又 , 所以 , 所以 ,解得 . 资料收集整理【淘宝店铺:向阳百分百】 395.(2023年河南省模拟数学试题)设数列 的前n项和为 ,且 为常数列,则 ( ) A. B. C. D. 【答案】B 【分析】由条件可得 ,然后可得 ,然后用累乘法求出答案即可. 【详解】因为数列 是常数列,所以 , 因为 ,所以 ,即 , 所以当 时 , 时也满足上式,所以 . 6.(2023届湘豫名校联考模拟考试文科数学试题)已知数列 的前n项和为 , ,且 ( 且 ),若 ,则 ( ) A.46 B.49 C.52 D.55 【答案】B 【分析】根据递推关系利用累乘法求数列的通项,然后代入计算即可. 【详解】因为当 时, ,即 , 所以 . 因为 . 又 ,所以 . 因为 ,所以 ,解得 或 (舍去). 7.(2023届四川省教学联盟监测文科数学试题)已知数列 满足 ,则 的通项公式为( ) 资料收集整理【淘宝店铺:向阳百分百】 40A. B. C. D. 【答案】B 【分析】由题中等式,可得 ,再结合 时 ,可得 . 【详解】当 时,有 ,所以 , 当 时,由 , , 两式相减得 , 此时, , 也满足,所以 的通项公式为 . 8.(2023届山东省模拟考试数学试题)已知等比数列 的各项均为正数,其前 项和为 ,且 , , 成等差数列, . 求数列 的通项公式; 【答案】 【分析】利用 , , 成等差数列以及 求出首项和公比,再利用等比数列的通项公式写出 即可; 【详解】设数列 的公比为 , 因为 , , 成等差数列,所以 ,即 , 解得 或 , 因为 各项均为正数,所以 ,所以 , 由 ,得 ,解得 , 所以 . 9.(2023年山东省模拟试题)已知数列 的前n项和为 ,满足 ,则 ( ) A.4043 B.4042 C.4045 D.4044 【答案】C 【分析】由 得出数列 为公差为1的等差数列,得出 的通项公式,进 而得出 ,根据 得出答案. 资料收集整理【淘宝店铺:向阳百分百】 41【详解】因为 , 所以 , , 所以数列 为公差为1的等差数列, 所以 , 所以 , 所以 . 10.已知数列 满足: , (1)求a,a; 2 3 (2)设 ,求证:数列 是等比数列,并求其通项公式; 【答案】(1) , ; (2)证明见解析, ; 【分析】(1)根据题中递推关系式,依次代入即可求得结果; (2)根据题意,先求出 ,再计算得 ,即可证明 是等比数列,进而求得 ; 【详解】(1)令 ,得 ,令 ,得 ; (2)根据题意,得 , , 所以 , 所以数列 是 , 的等比数列,故 ; 11.若数列 和 满足 , , , ,则 ( ) A. B. C. D. 【答案】C 【分析】依题意可得 是以 为首项, 为公比的等比数列,即可求出 的通项公式,再根据 ,得到 ,即可得到 的通项公式,最后代入即可; 资料收集整理【淘宝店铺:向阳百分百】 42【详解】解:因为 , , 所以 ,即 , 又 , 所以 是以 为首项, 为公比的等比数列, 所以 , 又 ,即 , 所以 所以 ; 12.已知数列 的首项 ,且各项满足公式 ,则数列 的通项公式为( ) A. B. C. D. 【答案】B 【分析】分析出数列 为等差数列,确定该数列的首项和公差,可求得数列 的通项公式,进而可 求得数列 的通项公式. 【详解】因为数列 的首项 ,且各项满足公式 ,则 , , , 以此类推,对任意的 , , 由 可得 ,所以, , 所以,数列 是等差数列,且首项为 ,公差为 , ,因此, . 13.已知数列 ,则该数列第 项是( ) A. B. C. D. 【答案】C 资料收集整理【淘宝店铺:向阳百分百】 43【分析】由观察可得 项数为 ,注意到 ,第 项是第 个括号里的第 项. 【详解】由数列 ,可发现其项数为 ,则前 个括号里共有 项,前 个括号里共有 项, 故原数列第 项是第 个括号里的第 项,第 个括号里的数列通项为 , 所以第 个括号里的第 项是 . 【点睛】本题考查数列的定义,考查学生观察找出已知数列的特征归纳出其项数、通项,是一道中档题. 【能力提升】 1.(2023年辽宁省模拟数学试题)设等差数列 满足 , ,且 , , 则 ( ) A.10100 B.10000 C.9900 D.9801 【答案】A 【分析】由已知可求出等差数列 的公差 ,进而得出 , ,累加法求解 可得 ,即可得出答案. 【详解】设等差数列 的公差为 , 由 可得, ,解得 , 所以 . 则 , 所以当 时, 有 , 当 时, ,满足上式,所以 , 所以 . 2.已知 ,则 ( ) 资料收集整理【淘宝店铺:向阳百分百】 44A. B. C. D. 【答案】A 【分析】先由 可得 是等比数列,再用累加法求出数列 的通项公式,再由 可求出 ,即得 。 【详解】由题得, ,则有 ,数列 是等比数列,可得 , ,…, , , 累加 可得, ,又 ,解得 ,那么 . 【点睛】本题的解题关系是从 这个等式中得出等比数列 ,运用了累加法求通 项公式,属于中档题. 3.(2023届北京适应性测试数学试题)如图的形状出现在南宋数学家杨辉所著的《详解九章算法·商功》 中,后人称为“三角垛”.“三角垛”的最上层有1个球,第二层有3个球,第三层有6个球,第四层有10 个球,…,设各层球数构成一个数列 , , , ,…,则 ( ) A. B. C. D. 【答案】B 【分析】由累加法可得 ,求出 , 可得答案. 【详解】由题意可得 , 时, , , ,…, , 以上各式相加可得 ,所以 , 且 ,所以 , 所以 , , 资料收集整理【淘宝店铺:向阳百分百】 45则 . 4.(2023届重庆市联考数学试题)已知数列 满足 ,且 ,则 ( ) A. B. C. D. 【答案】B 【分析】对所给式子化简、变形,构造新数列,通过等比数列的定义求出新数列的通项公式,再用累加法 求出 ,进而得到数列 的通项公式,即可得到答案. 【详解】因为 ,由递推知, ,所以 , 则 ,有 , 所以数列 是以 为首项, 为公比的等比数列, 则 ,所以 , 则 ,所以 . 【点睛】方法点睛:利用递推数列求通项公式,在理论上和实践中均有较高的价值。比较复杂的递推公式 求通项公式一般需用构造法构造来求,构造法求数列通项公式一般而言包括:取倒数,取对数,待定系数 法等,其中待定系数法较为常见. Aa 一、倒数变换法,适用于 a = n ( 为常数);二、取对数运算;三、待定系数法:1、构 n+1 Ba+C n 造等差数列法;2、构造等比数列法: ①定义构造法。利用等比数列的定义 通过变换,构造等比数列的方法. ② ( 为常数)型递推式可构造为形如 的等比数列. ③ ( 为常数,下同)型递推式,可构造为形如 的等比数列. 5.(2023年黑龙江省模拟数学试题)已知定义在R上的函数 是奇函数且满足 , ,数列 满足 ,且 (其中 为 的前 项和),则 资料收集整理【淘宝店铺:向阳百分百】 46( ). A. B. C. D. 【答案】A 【分析】由 是奇函数且满足 可知 为周期函数,再由 求出 的通 项公式,利用函数周期性进行求解. 【详解】∵ ,可得 ,即 又∵ 是奇函数,∴ ∴ 即 ∴将 代入上式,有 ∴ 是周期为3的周期函数. 又∵ , ∴ ,① 当 时,有 ② ① ②,得 , 即 ( ) ∴ ( ) ∴ ( ) ∴ 是首项为 ,公比为 的等比数列, ∴ , ∴ , , ∴ ∵定义在R上的奇函数 是周期为3的周期函数, ∴ 资料收集整理【淘宝店铺:向阳百分百】 47∴ . 6.已知数列 的前 项和为 ,若 ,则 ( ) A. B. C. D. 【答案】C 【分析】令 ,求出 的值,令 ,由 得出 ,两式作差推导出 ,可知数列 是等比数列,确定该等比数列的公比和首项,进而可求得 的值. 【详解】当 时, ,解得 ; 当 时,由 可得 , 上述两式作差得 ,所以, , 设 ,可得 ,可得 ,解得 , 所以, , ,可得 , 所以,数列 是以 为首项,以 为公比的等比数列, 所以, ,因此, . 【点睛】方法点睛:已知数列的递推关系求通项公式的典型方法: (1)当出现 时,构造等差数列; (2)当出现 时,构造等比数列; (3)当出现 时,用累加法求解; (4)当出现 时,用累乘法求解. 7.已知数列 满足 , ,若 ,当 时, 的最 小值为( ) A. B. C. D. 【答案】C 【分析】将已知递推关系式变形可得 ,由此可知数列 为等差数列,由等差数列 通项公式可取得 ,进而得到 ;由 可上下相消求得 ,结合 解不等式可求得 的最小值. 资料收集整理【淘宝店铺:向阳百分百】 48【详解】由 得: , , ,即 , 数列 是以 为首项, 为公差的等差数列, ,则 , , 由 得: ,又 , 且 , 的最小值为 . 【点睛】关键点点睛:本题考查数列中的不等式的求解问题,解题关键是能够根据已知的递推关系式,构 造出全新的等差数列,利用等差数列通项公式求得通项后,即可确定 . 8.在数列 中, ,若 ,则 ( ) A. B. C. 或 D. 或 【答案】A 【解析】根据数列的通项,分别讨论 为偶数, 为奇数两种情况,由题中条件,解对应的方程,即可得 出结果. 【详解】当 为偶数时,由 得 ,解得 符合; 当 为奇数时,由 得 ,即 , 令 , ,在同一直角坐标系中作出函数的图像,如图所示: 资料收集整理【淘宝店铺:向阳百分百】 49由图可知两个函数图像只有一个交点,即方程 只有一个根,且 , 所以由 得 ,由 可知 ,所以 不满足题意. 综上, . 【点睛】易错点睛:此类问题容易因忽略 的范围,导致错误;求解本题时,按照所给条件,利用分类讨 论的方法分别求出 的值,但要注意 本身限制了 ,求解时易忽略,考查学生的分析审题 能力与运算求解能力,属于易错题. 9.(2019年浙江省高考数学试卷)设 ,数列 中, , ,则 A.当 B.当 C.当 D.当 【答案】A 【解析】若数列 为常数列, ,则只需使 ,选项的结论就会不成立.将每个选项的 的 取值代入方程 ,看其是否有小于等于10的解.选项B、C、D均有小于10的解,故选项B、 C、D错误.而选项A对应的方程没有解,又根据不等式性质,以及基本不等式,可证得A选项正确. 【详解】若数列 为常数列,则 ,由 , 可设方程 选项A: 时, , , , 故此时 不为常数列, , 且 , 资料收集整理【淘宝店铺:向阳百分百】 50,则 , 故选项A正确; 选项B: 时, , , 则该方程的解为 , 即当 时,数列 为常数列, , 则 ,故选项B错误; 选项C: 时, , 该方程的解为 或 , 即当 或 时,数列 为常数列, 或 , 同样不满足 ,则选项C也错误; 选项D: 时, , 该方程的解为 , 同理可知,此时的常数列 也不能使 , 则选项D错误. 【点睛】遇到此类问题,不少考生会一筹莫展.利用函数方程思想,通过研究函数的不动点,进一步讨论 的可能取值,利用“排除法”求解. 10.已知数列 的前n项和 ,其中 . (Ⅰ)证明 是等比数列,并求其通项公式; (Ⅱ)若 ,求 . 1 λ 【答案】(Ⅰ)a = ( ) n−1 ;(Ⅱ) . n 1−λ λ−1 【详解】试题分析:(Ⅰ)首先利用公式 ,得到数列 的递推公式,即可得到 是等比数列及 的通项公式;(Ⅱ)利用(Ⅰ),用 表示前 项和 ,结合 的值,建立方程可求得 的值. 资料收集整理【淘宝店铺:向阳百分百】 511 试题解析:(Ⅰ)由题意得 ,故 , a = , . a 1 =S 1 =1+λa 1 λ≠1 1 1−λ a 1 ≠0 由 S n =1+λa n , S n+1 =1+λa n+1 得 a n+1 =λa n+1 −λa n ,即 a n+1 (λ−1)=λa n .由 a 1 ≠0 ,λ≠0得 a n ≠0 , a λ n+1 所以 = . a λ−1 n 1 λ 1 λ 因此 是首项为 ,公比为 的等比数列,于是 a = ( ) n−1 . 1−λ λ−1 n 1−λ λ−1 λ 31 λ 31 λ 1 (Ⅱ)由(Ⅰ)得 S =1−( ) n .由 S = 得 1−( ) 5 = ,即( ) 5 = . n λ−1 5 32 λ−1 32 λ−1 32 解得 . 【考点】数列的通项 与前 项和 的关系,等比数列的定义、通项公式及前 项和. 【方法总结】等比数列的证明通常有两种方法:(1)定义法,即证明 (常数);(2)中项法, 即证明 .根据数列的递推关系求通项常常要将递推关系变形,转化为等比数列或等差数列来求 解. 【真题感知】 1.(2023年全国甲卷理数)设 为数列 的前n项和,已知 . (1)求 的通项公式; (2)求数列 的前n项和 . 【答案】(1) 资料收集整理【淘宝店铺:向阳百分百】 52(2) 【分析】(1)根据 即可求出; (2)根据错位相减法即可解出. 【详解】(1)因为 , 当 时, ,即 ; 当 时, ,即 , 当 时, , 所以 , 化简得: , 当 时, ,即 , 当 时都满足上式,所以 . (2)因为 ,所以 , , 两式相减得, , ,即 , . 2.(2022年全国新高考I卷数学试题)记 为数列 的前n项和,已知 是公差为 的等差数 列. (1)求 的通项公式; (2)证明: . 资料收集整理【淘宝店铺:向阳百分百】 53【答案】(1) ;(2)见解析 【分析】(1)利用等差数列的通项公式求得 ,得到 ,利用和与项的 关系得到当 时, ,进而得: ,利用累乘法求得 ,检验对于 也成立,得到 的通项公式 ; (2)由(1)的结论,利用裂项求和法得到 ,进而证得. 【详解】(1)∵ ,∴ ,∴ , 又∵ 是公差为 的等差数列, ∴ ,∴ , ∴当 时, , ∴ , 整理得: , 即 , ∴ , 显然对于 也成立, ∴ 的通项公式 ; (2) ∴ 3.(2022年全国高考甲卷数学(理)试题)记 为数列 的前n项和.已知 . 资料收集整理【淘宝店铺:向阳百分百】 54(1)证明: 是等差数列; (2)若 成等比数列,求 的最小值. 【答案】(1)证明见解析;(2) . 【分析】(1)依题意可得 ,根据 ,作差即可得到 ,从而 得证; (2)法一:由(1)及等比中项的性质求出 ,即可得到 的通项公式与前 项和,再根据二次函数的 性质计算可得. 【详解】(1)因为 ,即 ①, 当 时, ②, ① ②得, , 即 , 即 ,所以 , 且 , 所以 是以 为公差的等差数列. (2)[方法一]:二次函数的性质 由(1)可得 , , , 又 , , 成等比数列,所以 , 即 ,解得 , 所以 ,所以 , 所以,当 或 时, . [方法二]:【最优解】邻项变号法 由(1)可得 , , , 又 , , 成等比数列,所以 , 即 ,解得 , 所以 ,即有 . 则当 或 时, . 【整体点评】(2)法一:根据二次函数的性质求出 的最小值,适用于可以求出 的表达式; 法二:根据邻项变号法求最值,计算量小,是该题的最优解. 资料收集整理【淘宝店铺:向阳百分百】 554.(2021年全国高考乙卷数学(理)试题)记 为数列 的前n项和, 为数列 的前n项积,已 知 . (1)证明:数列 是等差数列; (2)求 的通项公式. 【答案】(1)证明见解析;(2) . 【分析】(1)由已知 得 ,且 ,取 ,得 ,由题意得 ,消积得到项的递推关系 ,进而证明数列 是等差数列; (2)由(1)可得 的表达式,由此得到 的表达式,然后利用和与项的关系求得 . 【详解】(1)[方法一]: 由已知 得 ,且 , , 取 ,由 得 , 由于 为数列 的前n项积, 所以 , 所以 , 所以 , 由于 所以 ,即 ,其中 所以数列 是以 为首项,以 为公差等差数列; [方法二]【最优解】: 由已知条件知 ① 资料收集整理【淘宝店铺:向阳百分百】 56于是 . ② 由①②得 . ③ 又 , ④ 由③④得 . 令 ,由 ,得 . 所以数列 是以 为首项, 为公差的等差数列. [方法三]: 由 ,得 ,且 , , . 又因为 ,所以 ,所以 . 在 中,当 时, . 故数列 是以 为首项, 为公差的等差数列. [方法四]:数学归纳法 由已知 ,得 , , , ,猜想数列 是以 为首项, 为公差 的等差数列,且 . 下面用数学归纳法证明. 当 时显然成立. 假设当 时成立,即 . 那么当 时, . 综上,猜想对任意的 都成立. 即数列 是以 为首项, 为公差的等差数列. (2) 资料收集整理【淘宝店铺:向阳百分百】 57由(1)可得,数列 是以 为首项,以 为公差的等差数列, , , 当n=1时, , 当n≥2时, ,显然对于n=1不成立, ∴ . 【整体点评】(1)方法一从 得 ,然后利用 的定义,得到数列 的递推关系,进 而替换相除消项得到相邻两项的关系,从而证得结论; 方法二先从 的定义,替换相除得到 ,再结合 得到 ,从而证得结论,为最优 解; 方法三由 ,得 ,由 的定义得 ,进而作差证得结论;方法四利用 归纳猜想得到数列 ,然后利用数学归纳法证得结论. (2)由(1)的结论得到 ,求得 的表达式,然后利用和与项的关系求得 的通项公式; 5.(2018年全国普通高等学校招生统一考试文科数学(新课标I卷))已知数列 满足 , ,设 . (1)求 ; (2)判断数列 是否为等比数列,并说明理由; (3)求 的通项公式. 【答案】(1) , , ;(2) 是首项为 ,公比为 的等比数列.理由见解析;(3) . 【分析】(1)根据 ,求得 和 ,再利用 ,从而求得 , , 资料收集整理【淘宝店铺:向阳百分百】 58; (2)方法一:利用条件可以得到 ,从而可以得出 ,这样就可以得到数列 是首项为 , 公比为 的等比数列; (3)方法一:借助等比数列的通项公式求得 ,从而求得 . 【详解】(1)由条件可得 , 将 代入得, ,而 ,所以, . 将 代入得, ,所以, . 从而 , , ; (2)[方法1]:【通性通法】定义法 由 以及 可知, , , 所以, ,又 ,所以 为等比数列. [方法2]:等比中项法 由 知 ,所以, . 由 知 ,所以 . 所以 为等比数列. (3)[方法1]:【最优解】定义法 由(2)知 ,所以 . [方法2]:累乘法 因为 ,累乘得: . 所以 . 【整体点评】(2)方法一:利用定义证明数列为等比数列,是通性通法; 方法二:利用等差中项法判断数列为等比数列,也是常用方法; (3)方法一:根据(2)中结论利用等比数列的通项公式求解,是该题的最优解; 方法二:根据递推式特征利用累乘法求通项公式. 资料收集整理【淘宝店铺:向阳百分百】 596.(2012年全国普通高等学校招生统一考试文科数学(江西卷))已知数列 的前 项和 (其中 为常数),且 (1)求 ; (2)求数列 的前 项和 【答案】(1) ;(2) 【分析】(1)结合 以及已知条件求得 . (2)利用错位相减求和法求得 . 【详解】(1)由 ,得 , 由 ,得 ,解得 , 所以 ,于是 . (2) , , . 7.(2013年全国普通高等学校招生统一考试理科数学(新课标1卷))若数列{a n }的前n项和为 2 1 S n = 3 a n + 3 ,则数列 {a } 的通项公式是a = . n n 【答案】 ; 2 1 【详解】试题分析:解:当 n=1 时, a 1 =S 1 = 3 a 1 + 3 ,解得a 1 =1,当 n≥2 时, a 2 1 2 1 2 2 1 2 a =S −S −1=( a + )−( a + )= a − a 整理可得 a =− a ,即 n =−2,故数 n n n 3 n 3 3 n−1 3 3 n 3 n−1 3 n 3 n−1 a n−1 列{a n }是以1为首项,−2为公比的等比数列,故a n =1×(−2) n−1 =(−2) n−1 故答案为(−2) n−1 . 考点:等比数列的通项公式. 资料收集整理【淘宝店铺:向阳百分百】 60