当前位置:首页>文档>24秋六年级数学每日一练_6年级小红书最新热门资料(1)

24秋六年级数学每日一练_6年级小红书最新热门资料(1)

  • 2026-04-08 04:05:02 2026-01-28 14:54:02

文档预览

24秋六年级数学每日一练_6年级小红书最新热门资料(1)
24秋六年级数学每日一练_6年级小红书最新热门资料(1)
24秋六年级数学每日一练_6年级小红书最新热门资料(1)
24秋六年级数学每日一练_6年级小红书最新热门资料(1)
24秋六年级数学每日一练_6年级小红书最新热门资料(1)
24秋六年级数学每日一练_6年级小红书最新热门资料(1)
24秋六年级数学每日一练_6年级小红书最新热门资料(1)
24秋六年级数学每日一练_6年级小红书最新热门资料(1)
24秋六年级数学每日一练_6年级小红书最新热门资料(1)
24秋六年级数学每日一练_6年级小红书最新热门资料(1)
24秋六年级数学每日一练_6年级小红书最新热门资料(1)
24秋六年级数学每日一练_6年级小红书最新热门资料(1)

文档信息

文档格式
pdf
文档大小
1.029 MB
文档页数
8 页
上传时间
2026-01-28 14:54:02

文档内容

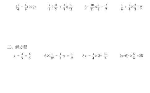
六年级上册数学每日一练第 天 1 一、口算题 × = 1÷ = ÷8 = 7× = ×12 = 3 1 2 4 2 3 5 2 = -3 = 5 + = ÷7 = 814÷ = 1 16 1 1 1 1 9 3 7 二、 5 脱×式 25 计算,能简 4 算的 5 要简算 3 4 10 20 8 - - 90× ×13+ ×13 50× 9 3 14 3 8 3 5 45 7 17 17 4 × 15 8 8 49 三、解方程 2x-7.2=3.8 x=18÷3 x÷14= x-5=4 3 7 1 3 4 4 2 28 四、应用题 三名运动员进行赛前训练,小刚跑了 4km,小刚跑的 等于小珍跑的,小涛跑 7 的是小珍的 ,小涛跑了多少千米? 8 6 7六年级上册数学每日一练第 天 2 一、口算题 12÷ = ÷ = × = + = + = 1 7 7 3 7 1 1 4 2 0÷ ×2 2= 119- 38 = 4× 9 = 3 ÷4 = 5 - 15= 1 11 7 5 7 7 4 1 二、脱式计算,能简算的要简算 5 12 8 14 12 4 5 2 ( + )×13×11 ( + )×40 5- - ×15× × 9 4 1 2 7 1 2 27 2 13 11 8 5 8 8 27 28 15 三、解方程 x = x×( + )= x=26.5-5.5 + x=2 7 11 3 2 7 3 3 7 8 16 4 3 24 7 5 4 四、应用题 用 千克小麦可以磨出 千克面粉,每千克小麦可以磨面粉多少千克? 9 3 要磨 1 千克面粉需要小麦多少千克? 10 4六年级上册数学每日一练第 天 3 一、口算题 4.9÷6.3= + = × = 1- - = - = 4 2 7 4 1 1 5 1 + 0.25= 5 + 12= 8÷7 = 9÷4 =2 4× ×3 = 3 3 3 3 3 3 2 1 9 二、脱式计算,能简算的要简算 4 8 4 5 10 4 3 6 10 ( - )×24 ÷ + × 3- × - + × ÷2 1 1 7 11 2 5 10 3 2 1 3 2 4 6 9 5 9 11 21 2 7 6 4 3 三、解方程 x - = 6× - x = 8x - ×3= (x-6)× =25 3 6 1 1 1 1 45 5 5 5 12 2 2 4 4 6 四、应用题 一根长 m 长的木料平均分为 4 段,每段是全长的几分之几,每段长多少 2 米? 3六年级上册数学每日一练第 天 4 一、口算题 + = 1+ = × = × = × ×8= 5 3 2 1 3 13 9 1 2 9× 20= ÷5 = 92.55×0.4= 19.5÷50.05= 845+7 ÷9= 3 2 4 2 9 二、脱式计算,能简算的要简算 2 5 7 3 10 36×( + - ) 3×( + )- ÷9+ × ÷[( + )÷ ] 2 1 3 2 1 1 9 1 9 11 5 3 5 3 6 4 15 12 4 16 9 16 13 8 4 8 三、解方程 + x= 1+ x=2 x= x÷ = 5 10 3 7 7 5 5 7 9 11 4 8 16 18 7 9 四、列式计算六年级上册数学每日一练第 天 5 一、口算题 × = 1÷ = ×15= 3× = ×12= 3 5 5 5 2 5 130+8×12 = -11 = 142.5+ = ×3 = 60.24×300= 1 5 1 1 3 2 8 6 2 2 8 3 二、脱式计算,能简算的要简算 ÷[ ×( + )] + - × + ÷ ( - )×11×8 1 9 3 2 2 4 2 6 5 3 7 7 3 6 17 4 3 5 15 5 7 8 8 6 11 8 三、解方程 3x+4=5.5 x- x= x=26.5-5.5 + x=2 3 1 11 3 3 7 4 4 12 7 5 4 四、应用题 ( ) 8÷32= = = =10÷( )=( )(填小数) ( ) ( ) 2 6 4六年级上册数学每日一练第 天 6 一、口算题 ÷30= 1.4÷3.5= (估算)49×301≈ 5 350×0.02= 1.9×4×0.5= 6 二、脱式计算,能简算的要简算 - + ÷ ÷[( - )× ] 9× ÷9× ÷9+ × 11 1 3 3 2 3 1 4 1 1 9 1 9 12 4 10 5 3 4 2 5 8 8 16 9 16 三、解方程 12x+7×0.3=20.1 x+ x= + x=1 12x-x=0.8 1 2 5 4 4 2 3 6 5 5 四、应用题 一根 米的绳子,截下它的 ,还剩下全长的多少?还剩多少米? 9 1 10 3六年级上册数学每日一练第 天 7 一、口算题 ÷ = 14÷ = - = × ×9= 2002+68= 9 3 7 4 1 1 7 130- 20= 4.6+84 = 95÷ 2= 9 ×8 = × ×8= 1 3 13 9 1 2 二、脱式3 计算,能简算的要简算 4 9 5 8 7 × - ÷ 4- - ×58+ ×41+ × × - 5 6 9 9 5 7 1 1 1 4 4 5 1 6 5 10 5 11 11 8 8 8 5 7 4 2 三、解方程 x+ x=18 x×( + )= x×( + )= 7x-4x=21 3 1 3 13 3 2 7 7 6 8 12 4 3 12 四、应用题 一根铁丝米 5 米,如果用去 米,还剩下多少米? 1 2六年级上册数学每日一练第 8 天 一、口算题 0.1-0.01= - = 0.24×5= ÷ = 5.8×9+5.8= 1 1 1 8 ÷10= 3× 6= 7.2÷0.08= 2 ÷7 = × = 5 1 4 3 3 17 6 二、7脱式计算,能简2算的9 要简算 8 2 4 51 72×( - + ) 2- ÷ - = + × + + × + 1 1 1 2 4 1 8 6 2 3 3 4 5 1 2 3 4 3 5 6 9 7 3 7 8 5 6 3 三、解方程 5.5x-3x =1.75 x+ = x+ - = x+ x= 3 7 2 1 17 1 2 5 5 10 3 2 18 2 3 6 四、应用题 两根铁丝的长都是 2m ,第一根用去 ,第二根用去 m,剩下的铁丝相比, 1 1 哪根长? 3 3