文档
办公文件
生活文档
学习资料
当前位置:
首页
>
文档
>91280305-求极限的方法总结-194266_军队文职(1)_01.军队文职真题-专业课_(全)版本一(历年真题+章节练习+模拟题)_数学3(军队文职)_章节练习_题目+解析
91280305-求极限的方法总结-194266_军队文职(1)_01.军队文职真题-专业课_(全)版本一(历年真题+章节练习+模拟题)_数学3(军队文职)_章节练习_题目+解析
2026-03-11 08:53:24
2026-01-29 13:38:41
文档预览
文档信息
文档格式
pdf
文档大小
0.145 MB
文档页数
3 页
上传时间
2026-01-29 13:38:41
下载文档
文档内容
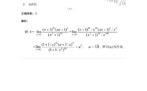
求极限的方法总结 即刻题库 www.jike.vip 1 、 单选题 正确答案: B 解析: 2 、 单选题正确答案: D 解析: 3 、 单选题 正确答案: B 解析:4 、 单选题 正确答案: C 解析:
本文档来自网络内容,如有侵犯您的权益请联系我们删除,联系邮箱:wyl860211@qq.com。
上一篇
2022年高考化学试卷(湖北)(解析卷)_历年高考真题合集_化学历年高考真题_新·Word版2008-2025·高考化学真题_化学(按省份分类)2008-2025_2008-2025·(湖北)化学高考真题
下一篇
91280307-函数的零点(方程的根)个数的讨论-194267_军队文职(1)_01.军队文职真题-专业课_(全)版本一(历年真题+章节练习+模拟题)_数学3(军队文职)_章节练习_纯题目
最新文档
第九单元溶液(讲义)-备战2024年中考化学一轮复习考点帮(人教版)(解析版)_02中考总复习(2026版更新中)_05-化学-中考总复习_2024年中考复习资料_一轮复习资料_考点过关讲义
2025《万唯中考•广州黑白卷》道法黑卷_初中资料合集_2025《万唯中考•黑白卷》多地方版(更30省)_2025《万唯中考•黑白卷》7科全套(广州)
2025《万唯中考•广州黑白卷》道法白卷_初中资料合集_2025《万唯中考•黑白卷》多地方版(更30省)_2025《万唯中考•黑白卷》7科全套(广州)
第九单元溶液(讲义)-备战2024年中考化学一轮复习考点帮(人教版)(原卷版)_02中考总复习(2026版更新中)_05-化学-中考总复习_2024年中考复习资料_一轮复习资料_考点过关讲义
2025《万唯中考•广州黑白卷》语文黑卷_初中资料合集_2025《万唯中考•黑白卷》多地方版(更30省)_2025《万唯中考•黑白卷》7科全套(广州)
2025《万唯中考•广州黑白卷》语文白卷_初中资料合集_2025《万唯中考•黑白卷》多地方版(更30省)_2025《万唯中考•黑白卷》7科全套(广州)
第九单元溶液-大单元复习2024年中考化学一轮复习必考知识梳理与考法点拨(人教版)(教师版)_02中考总复习(2026版更新中)_05-化学-中考总复习_2024年中考复习资料_一轮复习资料
2025年高考地理二轮复习课件通用版专题5 主题6 植被演替_9.2025地理总复习_2025年新高考资料_二轮复习_2025年高考地理二轮复习课件全国通用(ppt+pdf资源)
第九单元溶液-大单元复习2024年中考化学一轮复习必考知识梳理与考法点拨(人教版)(学生版)_02中考总复习(2026版更新中)_05-化学-中考总复习_2024年中考复习资料_一轮复习资料
2025《万唯中考•广州黑白卷》详解详析_初中资料合集_2025《万唯中考•黑白卷》多地方版(更30省)_2025《万唯中考•黑白卷》7科全套(广州)
热门文档
第九单元+溶液-大单元复习2024年中考化学一轮复习备考学案(人教版)_02中考总复习(2026版更新中)_05-化学-中考总复习_2024年中考复习资料_一轮复习资料
专题15+定语从句综合练习100题-备战2024高考英语语法填空专项分类训练(高考真题+名校模拟真题)_3.2025英语总复习_2024年新高考资料_3.2024专项复习
第九十讲阅读理解10解析版_02中考总复习(2026版更新中)_03-英语-中考总复习_2024年中考复习资料_二轮复习_百日冲刺2024年中考英语二轮语法+题型专题复习卷(原卷版+解析版)
第九十讲阅读理解10原卷版_02中考总复习(2026版更新中)_03-英语-中考总复习_2024年中考复习资料_二轮复习_百日冲刺2024年中考英语二轮语法+题型专题复习卷(原卷版+解析版)
第九十六讲-百日打卡-作文1(解析版)_02中考总复习(2026版更新中)_03-英语-中考总复习_2024年中考复习资料_二轮复习_第九十六讲百日打卡-作文12024年中考英语邦你学
第九十六讲-百日打卡-作文1(原卷版)_02中考总复习(2026版更新中)_03-英语-中考总复习_2024年中考复习资料_二轮复习_第九十六讲百日打卡-作文12024年中考英语邦你学
专题07圆锥曲线中的定值问题(原卷版)_2.2025数学总复习_2023年新高考资料_专项复习_2023年高考数学大题系列
第九十八讲-百日打卡-作文3(解析版)_02中考总复习(2026版更新中)_03-英语-中考总复习_2024年中考复习资料_二轮复习_第九十八讲百日打卡-作文32024年中考英语邦你学
第九十八讲-百日打卡-作文3(原卷版)_02中考总复习(2026版更新中)_03-英语-中考总复习_2024年中考复习资料_二轮复习_第九十八讲百日打卡-作文32024年中考英语邦你学
第九十九讲-百日打卡-作文4(解析版)_02中考总复习(2026版更新中)_03-英语-中考总复习_2024年中考复习资料_二轮复习_第九十九讲百日打卡-作文42024年中考英语邦你学
随机文档
第九十九讲-百日打卡-作文4(原卷版)_02中考总复习(2026版更新中)_03-英语-中考总复习_2024年中考复习资料_二轮复习_第九十九讲百日打卡-作文42024年中考英语邦你学
第九十七讲-百日打卡-作文2(解析版)_02中考总复习(2026版更新中)_03-英语-中考总复习_2024年中考复习资料_二轮复习_第九十七讲百日打卡-作文22024年中考英语邦你学
第九十七讲-百日打卡-作文2(原卷版)_02中考总复习(2026版更新中)_03-英语-中考总复习_2024年中考复习资料_二轮复习_第九十七讲百日打卡-作文22024年中考英语邦你学
第三讲特殊三角形及其性质(含解直角三角形)(题型突破+专题精练)(解析版)_02中考总复习(2026版更新中)_02-数学-中考总复习_2024年中考复习资料_一轮复习资料_第四章三角形
2025年高考地理二轮复习课件通用版专题5 主题5 土壤发育_9.2025地理总复习_2025年新高考资料_二轮复习_2025年高考地理二轮复习课件全国通用(ppt+pdf资源)
第三讲特殊三角形及其性质(含解直角三角形)(题型突破+专题精练)(原卷版)_02中考总复习(2026版更新中)_02-数学-中考总复习_2024年中考复习资料_一轮复习资料_第四章三角形
第三讲特殊三角形及其性质(含解直角三角形)(考点精析+真题精讲)(解析版)_02中考总复习(2026版更新中)_02-数学-中考总复习_2024年中考复习资料_一轮复习资料_第四章三角形
第三讲特殊三角形及其性质(含解直角三角形)(考点精析+真题精讲)(原卷版)_02中考总复习(2026版更新中)_02-数学-中考总复习_2024年中考复习资料_一轮复习资料_第四章三角形
专题15(原卷版)阅读理解之事实细节题讲解与练习-2023年高考英语一轮复习小题多维练(通用版)_3.2025英语总复习_赠品通用版(老高考)复习资料_一轮复习
第三讲 内能及其利用_02中考总复习(2026版更新中)_04-物理-中考总复习_2026年中考复习(更新中)_2026年中考物理一轮复习