当前位置:首页>文档>2023年高考数学试卷(新课标Ⅰ卷)(解析卷)_历年高考真题合集_数学历年高考真题_新·PDF版2008-2025·高考数学真题_数学(按年份分类)2008-2025_2023·高考数学真题

2023年高考数学试卷(新课标Ⅰ卷)(解析卷)_历年高考真题合集_数学历年高考真题_新·PDF版2008-2025·高考数学真题_数学(按年份分类)2008-2025_2023·高考数学真题

  • 2026-03-07 08:30:01 2026-01-30 10:16:42

文档预览

2023年高考数学试卷(新课标Ⅰ卷)(解析卷)_历年高考真题合集_数学历年高考真题_新·PDF版2008-2025·高考数学真题_数学(按年份分类)2008-2025_2023·高考数学真题
2023年高考数学试卷(新课标Ⅰ卷)(解析卷)_历年高考真题合集_数学历年高考真题_新·PDF版2008-2025·高考数学真题_数学(按年份分类)2008-2025_2023·高考数学真题
2023年高考数学试卷(新课标Ⅰ卷)(解析卷)_历年高考真题合集_数学历年高考真题_新·PDF版2008-2025·高考数学真题_数学(按年份分类)2008-2025_2023·高考数学真题
2023年高考数学试卷(新课标Ⅰ卷)(解析卷)_历年高考真题合集_数学历年高考真题_新·PDF版2008-2025·高考数学真题_数学(按年份分类)2008-2025_2023·高考数学真题
2023年高考数学试卷(新课标Ⅰ卷)(解析卷)_历年高考真题合集_数学历年高考真题_新·PDF版2008-2025·高考数学真题_数学(按年份分类)2008-2025_2023·高考数学真题
2023年高考数学试卷(新课标Ⅰ卷)(解析卷)_历年高考真题合集_数学历年高考真题_新·PDF版2008-2025·高考数学真题_数学(按年份分类)2008-2025_2023·高考数学真题
2023年高考数学试卷(新课标Ⅰ卷)(解析卷)_历年高考真题合集_数学历年高考真题_新·PDF版2008-2025·高考数学真题_数学(按年份分类)2008-2025_2023·高考数学真题
2023年高考数学试卷(新课标Ⅰ卷)(解析卷)_历年高考真题合集_数学历年高考真题_新·PDF版2008-2025·高考数学真题_数学(按年份分类)2008-2025_2023·高考数学真题
2023年高考数学试卷(新课标Ⅰ卷)(解析卷)_历年高考真题合集_数学历年高考真题_新·PDF版2008-2025·高考数学真题_数学(按年份分类)2008-2025_2023·高考数学真题
2023年高考数学试卷(新课标Ⅰ卷)(解析卷)_历年高考真题合集_数学历年高考真题_新·PDF版2008-2025·高考数学真题_数学(按年份分类)2008-2025_2023·高考数学真题
2023年高考数学试卷(新课标Ⅰ卷)(解析卷)_历年高考真题合集_数学历年高考真题_新·PDF版2008-2025·高考数学真题_数学(按年份分类)2008-2025_2023·高考数学真题
2023年高考数学试卷(新课标Ⅰ卷)(解析卷)_历年高考真题合集_数学历年高考真题_新·PDF版2008-2025·高考数学真题_数学(按年份分类)2008-2025_2023·高考数学真题
2023年高考数学试卷(新课标Ⅰ卷)(解析卷)_历年高考真题合集_数学历年高考真题_新·PDF版2008-2025·高考数学真题_数学(按年份分类)2008-2025_2023·高考数学真题
2023年高考数学试卷(新课标Ⅰ卷)(解析卷)_历年高考真题合集_数学历年高考真题_新·PDF版2008-2025·高考数学真题_数学(按年份分类)2008-2025_2023·高考数学真题
2023年高考数学试卷(新课标Ⅰ卷)(解析卷)_历年高考真题合集_数学历年高考真题_新·PDF版2008-2025·高考数学真题_数学(按年份分类)2008-2025_2023·高考数学真题
2023年高考数学试卷(新课标Ⅰ卷)(解析卷)_历年高考真题合集_数学历年高考真题_新·PDF版2008-2025·高考数学真题_数学(按年份分类)2008-2025_2023·高考数学真题
2023年高考数学试卷(新课标Ⅰ卷)(解析卷)_历年高考真题合集_数学历年高考真题_新·PDF版2008-2025·高考数学真题_数学(按年份分类)2008-2025_2023·高考数学真题
2023年高考数学试卷(新课标Ⅰ卷)(解析卷)_历年高考真题合集_数学历年高考真题_新·PDF版2008-2025·高考数学真题_数学(按年份分类)2008-2025_2023·高考数学真题
2023年高考数学试卷(新课标Ⅰ卷)(解析卷)_历年高考真题合集_数学历年高考真题_新·PDF版2008-2025·高考数学真题_数学(按年份分类)2008-2025_2023·高考数学真题
2023年高考数学试卷(新课标Ⅰ卷)(解析卷)_历年高考真题合集_数学历年高考真题_新·PDF版2008-2025·高考数学真题_数学(按年份分类)2008-2025_2023·高考数学真题
2023年高考数学试卷(新课标Ⅰ卷)(解析卷)_历年高考真题合集_数学历年高考真题_新·PDF版2008-2025·高考数学真题_数学(按年份分类)2008-2025_2023·高考数学真题
2023年高考数学试卷(新课标Ⅰ卷)(解析卷)_历年高考真题合集_数学历年高考真题_新·PDF版2008-2025·高考数学真题_数学(按年份分类)2008-2025_2023·高考数学真题
2023年高考数学试卷(新课标Ⅰ卷)(解析卷)_历年高考真题合集_数学历年高考真题_新·PDF版2008-2025·高考数学真题_数学(按年份分类)2008-2025_2023·高考数学真题
2023年高考数学试卷(新课标Ⅰ卷)(解析卷)_历年高考真题合集_数学历年高考真题_新·PDF版2008-2025·高考数学真题_数学(按年份分类)2008-2025_2023·高考数学真题
2023年高考数学试卷(新课标Ⅰ卷)(解析卷)_历年高考真题合集_数学历年高考真题_新·PDF版2008-2025·高考数学真题_数学(按年份分类)2008-2025_2023·高考数学真题
2023年高考数学试卷(新课标Ⅰ卷)(解析卷)_历年高考真题合集_数学历年高考真题_新·PDF版2008-2025·高考数学真题_数学(按年份分类)2008-2025_2023·高考数学真题
2023年高考数学试卷(新课标Ⅰ卷)(解析卷)_历年高考真题合集_数学历年高考真题_新·PDF版2008-2025·高考数学真题_数学(按年份分类)2008-2025_2023·高考数学真题
2023年高考数学试卷(新课标Ⅰ卷)(解析卷)_历年高考真题合集_数学历年高考真题_新·PDF版2008-2025·高考数学真题_数学(按年份分类)2008-2025_2023·高考数学真题

文档信息

文档格式
pdf
文档大小
0.591 MB
文档页数
28 页
上传时间
2026-01-30 10:16:42

文档内容

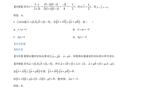
绝密★启用前 试卷类型:A 2023 年普通高等学校招生全国统一考试 新课标Ⅰ卷数学 本试卷共 4页,22小题,满分 150分.考试用时 120分钟. 注意事项: 1.答题前,考生务必用黑色字迹钢笔或签字笔将自己的姓名、考生号、考场号和座位号填写 在答题卡上。用 2B铅笔将试卷类型(A)填涂在答题卡相应位置上.将条形码横贴在答题卡右 上角“条形码粘贴处”. 2.作答选择题时,选出每小题答案后,用 2B 铅笔把答题卡上对应题目选项的答案信息点涂 黑;如需改动,用橡皮擦干净后,再选涂其他答案,答案不能答在试卷上. 3.非选择题必须用黑色字迹钢笔或签字笔作答,答案必须写在答题卡各题目指定区域内相应 位置上;如需改动,先划掉原来的答案,然后再写上新的答案;不准使用铅笔和涂改液.不按 以上要求作答的答案无效. 4.考生必须保持答题卡的整洁.考试结束后,将试卷和答题卡一并交回. 一、选择题:本题共 8小题,每小题 5分,共 40分.在每小题给出的四个选项中,只有一项是 符合题目要求的.   M =-2,-1,0,1,2 N = x x2 -x-6³0 1. 已知集合 , ,则M ÇN =( ) A. -2,-1,0,1 B. 0,1,2 C. -2 D. 2 【答案】C 【解析】 【分析】方法一:由一元二次不等式的解法求出集合N ,即可根据交集的运算解出. 方法二:将集合M 中的元素逐个代入不等式验证,即可解出. 【详解】方法一:因为N =  x x2 -x-6³0  =-¥,-2È3,+¥ ,而M =-2,-1,0,1,2 , 所以M ÇN = -2 . 故选:C. 方法二:因为M =-2,-1,0,1,2 ,将-2,-1,0,1,2代入不等式x2 -x-6³0,只有-2使不等式成立, 第1页 | 共28页所以M ÇN = -2 . 故选:C. 1-i 2. 已知z = ,则z-z =( ) 2+2i A. -i B. i C. 0 D. 1 【答案】A 【解析】 【分析】根据复数的除法运算求出z,再由共轭复数的概念得到z,从而解出. 1-i 1-i1-i -2i 1 1 【详解】因为z = = = =- i,所以z = i,即z-z =-i. 2+2i 21+i1-i 4 2 2 故选:A. r r r r r r 3. 已知向量a =1,1,b=1,-1,若 a+lb ^ a+mb ,则( ) A. l+m=1 B. l+m=-1 C. lm=1 D. lm=-1 【答案】D 【解析】 r r r r 【分析】根据向量的坐标运算求出a+lb,a+mb,再根据向量垂直的坐标表示即可求出. r r r r r r 【详解】因为a =1,1,b=1,-1,所以a+lb=1+l,1-l,a+mb=1+m,1-m, r r r r r r r r 由 a+lb ^ a+mb 可得, a+lb × a+mb =0, 即 1+l1+m+1-l1-m=0,整理得:lm=-1. 故选:D. 4. 设函数 f x=2xx-a 在区间 0,1 上单调递减,则a的取值范围是( ) A. -¥,-2 B. -2,0 C. 0,2 D. 2,+¥ 【答案】D 【解析】 【分析】利用指数型复合函数单调性,判断列式计算作答. 第2页 | 共28页【详解】函数y =2x在R上单调递增,而函数 f x=2xx-a 在区间 0,1 上单调递减, a a2 a 则有函数y = x(x-a)=(x- )2 - 在区间 0,1 上单调递减,因此 ³1,解得a³2, 2 4 2 所以a的取值范围是 2,+¥ . 故选:D x2 x2 5. 设椭圆C : + y2 =1(a >1),C : + y2 =1的离心率分别为e ,e .若e = 3e ,则a =( ) 1 a2 2 4 1 2 2 1 2 3 A. B. 2 C. 3 D. 6 3 【答案】A 【解析】 【分析】根据给定的椭圆方程,结合离心率的意义列式计算作答. 4-1 a2 -1 2 3 【详解】由e = 3e ,得e2 =3e2,因此 =3´ ,而a >1,所以a= . 2 1 2 1 4 a2 3 故选:A 6. 过点 0,-2 与圆x2 + y2 -4x-1=0相切的两条直线的夹角为a,则sina=( ) 15 10 6 A. 1 B. C. D. 4 4 4 【答案】B 【解析】 【分析】方法一:根据切线的性质求切线长,结合倍角公式运算求解;方法二:根据切线的性质求切线长, 结合余弦定理运算求解;方法三:根据切线结合点到直线的距离公式可得k2 +8k+1=0,利用韦达定理结 合夹角公式运算求解. 【详解】方法一:因为x2 + y2 -4x-1=0,即x-22 + y2 =5,可得圆心C2,0 ,半径r = 5, 过点P0,-2 作圆C的切线,切点为A,B, 因为 PC = 22 +-22 =2 2,则 PA = PC 2 -r2 = 3, 5 10 3 6 可得sinÐAPC = = ,cosÐAPC = = , 2 2 4 2 2 4 第3页 | 共28页10 6 15 则sinÐAPB=sin2ÐAPC =2sinÐAPCcosÐAPC =2´ ´ = , 4 4 4 2 2 æ 6 ö æ 10 ö 1 cosÐAPB=cos2ÐAPC =cos2ÐAPC-sin2ÐAPC =ç ÷ -ç ÷ =- <0, ç ÷ ç ÷ 4 4 4 è ø è ø 即ÐAPB为钝角, 15 所以sina=sinπ-ÐAPB=sinÐAPB= ; 4 法二:圆x2 + y2 -4x-1=0的圆心C2,0 ,半径r = 5, 过点P0,-2 作圆C的切线,切点为A,B,连接AB, 可得 PC = 22 +-22 =2 2,则 PA = PB = PC 2 -r2 = 3, 2 2 2 2 因为 PA + PB -2 PA × PB cosÐAPB= CA + CB -2 CA × CB cosÐACB 且ÐACB=π-ÐAPB,则3+3-6cosÐAPB=5+5-10cosπ-ÐAPB , 1 即3-cosÐAPB=5+5cosÐAPB,解得cosÐAPB=- <0, 4 1 即ÐAPB为钝角,则cosa=cosπ-ÐAPB=-cosÐAPB= , 4 15 且a为锐角,所以sina= 1-cos2a= ; 4 方法三:圆x2 + y2 -4x-1=0的圆心C2,0 ,半径r = 5, 若切线斜率不存在,则切线方程为y=0,则圆心到切点的距离d =2>r,不合题意; 若切线斜率存在,设切线方程为y =kx-2,即kx- y-2=0, 2k-2 则 = 5,整理得k2 +8k+1=0,且D=64-4=60>0 k2 +1 设两切线斜率分别为k ,k ,则k +k =-8,k k =1, 1 2 1 2 1 2 可得 k -k = k +k 2 -4k k =2 15, 1 2 1 2 1 2 k -k sina sina 所以tana= 1 2 = 15,即 = 15,可得cosa= , 1+k k cosa 15 1 2 sin2a 则sin2a+cos2a=sin2a+ =1, 15 第4页 | 共28页æ πö 15 且aÎ ç 0, ÷,则sina>0,解得sina= . è 2ø 4 故选:B. S 7. 记S 为数列 a  的前n项和,设甲: a  为等差数列;乙:{ n}为等差数列,则( ) n n n n A. 甲是乙的充分条件但不是必要条件 B. 甲是乙的必要条件但不是充分条件 C. 甲是乙的充要条件 D. 甲既不是乙的充分条件也不是乙的必要条件 【答案】C 【解析】 【分析】利用充分条件、必要条件的定义及等差数列的定义,再结合数列前n项和与第n项的关系推理判 断作答., 【详解】方法1,甲: a  为等差数列,设其首项为a ,公差为d, n 1 n(n-1) S n-1 d d S S d 则S =na + d, n =a + d = n+a - , n+1 - n = , n 1 2 n 1 2 2 1 2 n+1 n 2 S 因此{ n}为等差数列,则甲是乙的充分条件; n S S S nS -(n+1)S na -S 反之,乙:{ n}为等差数列,即 n+1 - n = n+1 n = n+1 n 为常数,设为t, n n+1 n n(n+1) n(n+1) na -S 即 n+1 n =t,则S =na -t×n(n+1),有S =(n-1)a -t×n(n-1),n³2, n(n+1) n n+1 n-1 n 两式相减得:a =na -(n-1)a -2tn,即a -a =2t,对n=1也成立, n n+1 n n+1 n 第5页 | 共28页因此 a  为等差数列,则甲是乙的必要条件, n 所以甲是乙的充要条件,C正确. n(n-1) 方法2,甲: a  为等差数列,设数列 a  的首项a ,公差为d,即S =na + d, n n 1 n 1 2 S (n-1) d d S 则 n =a + d = n+a - ,因此{ n}为等差数列,即甲是乙的充分条件; n 1 2 2 1 2 n S S S S 反之,乙:{ n}为等差数列,即 n+1 - n = D, n =S +(n-1)D, n n+1 n n 1 即S =nS +n(n-1)D,S =(n-1)S +(n-1)(n-2)D, n 1 n-1 1 当n³2时,上两式相减得:S -S =S +2(n-1)D,当n=1时,上式成立, n n-1 1 于是a =a +2(n-1)D,又a -a =a +2nD-[a +2(n-1)D]=2D为常数, n 1 n+1 n 1 1 因此 a  为等差数列,则甲是乙的必要条件, n 所以甲是乙的充要条件. 故选:C 1 1 8. 已知sina-b= ,cosasinb= ,则cos2a+2b=( ). 3 6 7 1 1 7 A. B. C. - D. - 9 9 9 9 【答案】B 【解析】 【分析】根据给定条件,利用和角、差角的正弦公式求出sin(a+b),再利用二倍角的余弦公式计算作答. 1 1 1 【详解】因为sin(a-b)=sinacosb-cosasinb= ,而cosasinb= ,因此sinacosb= , 3 6 2 2 则sin(a+b)=sinacosb+cosasinb= , 3 2 1 所以cos(2a+2b)=cos2(a+b)=1-2sin2(a+b)=1-2´( )2 = . 3 9 故选:B 【点睛】方法点睛:三角函数求值的类型及方法 (1)“给角求值”:一般所给出的角都是非特殊角,从表面来看较难,但非特殊角与特殊角总有一定关 系.解题时,要利用观察得到的关系,结合三角函数公式转化为特殊角的三角函数. (2)“给值求值”:给出某些角的三角函数值,求另外一些角的三角函数值,解题关键在于“变角”,使其角 相同或具有某种关系. 第6页 | 共28页(3)“给值求角”:实质上也转化为“给值求值”,关键也是变角,把所求角用含已知角的式子表示,由所得 的函数值结合该函数的单调区间求得角,有时要压缩角的取值范围. 二、选择题:本题共 4小题,每小题 5分,共 20分.在每小题给出的选项中,有多项符合题 目要求.全部选对的得 5分,部分选对的得 2分,有选错的得 0分. 9. 有一组样本数据x ,x ,×××,x ,其中x是最小值,x 是最大值,则( ) 1 2 6 1 6 A. x ,x ,x ,x 的平均数等于x ,x ,×××,x 的平均数 2 3 4 5 1 2 6 B. x ,x ,x ,x 的中位数等于x ,x ,×××,x 的中位数 2 3 4 5 1 2 6 C. x ,x ,x ,x 的标准差不小于x ,x ,×××,x 的标准差 2 3 4 5 1 2 6 D. x ,x ,x ,x 的极差不大于x ,x ,×××,x 的极差 2 3 4 5 1 2 6 【答案】BD 【解析】 【分析】根据题意结合平均数、中位数、标准差以及极差的概念逐项分析判断. 【详解】对于选项A:设x ,x ,x ,x 的平均数为m,x ,x ,×××,x 的平均数为n, 2 3 4 5 1 2 6 x +x +x +x +x +x x +x +x +x 2x +x -x +x +x +x  则n-m= 1 2 3 4 5 6 - 2 3 4 5 = 1 6 5 2 3 4 , 6 4 12 因为没有确定2x +x ,x +x +x +x 的大小关系,所以无法判断m,n的大小, 1 6 5 2 3 4 例如:1,2,3,4,5,6,可得m=n=3.5; 例如1,1,1,1,1,7,可得m=1,n=2; 11 例如1,2,2,2,2,2,可得m=2,n= ;故A错误; 6 对于选项B:不妨设x £ x £ x £ x £ x £ x , 1 2 3 4 5 6 x +x 可知x ,x ,x ,x 的中位数等于x ,x ,×××,x 的中位数均为 3 4 ,故B正确; 2 3 4 5 1 2 6 2 对于选项C:因为x是最小值,x 是最大值, 1 6 则x ,x ,x ,x 的波动性不大于x ,x ,×××,x 的波动性,即x ,x ,x ,x 的标准差不大于x ,x ,×××,x 的标准 2 3 4 5 1 2 6 2 3 4 5 1 2 6 差, 1 例如:2,4,6,8,10,12,则平均数n= 2+4+6+8+10+12=7, 6 第7页 | 共28页1 105 标准差s = é2-72 +4-72 +6-72 +8-72 +10-72 +12-72ù = , 1 6ë û 3 1 4,6,8,10,则平均数m= 4+6+8+10=7, 4 1 标准差s = é4-72 +6-72 +8-72 +10-72ù = 5, 2 4ë û 105 显然 >5,即s >s ;故C错误; 1 2 3 对于选项D:不妨设x £ x £ x £ x £ x £ x , 1 2 3 4 5 6 则x -x ³ x -x ,当且仅当x = x ,x = x 时,等号成立,故D正确; 6 1 5 2 1 2 5 6 故选:BD. p 10. 噪声污染问题越来越受到重视.用声压级来度量声音的强弱,定义声压级L =20´lg ,其中常数 p p 0 p p >0 是听觉下限阈值, p是实际声压.下表为不同声源的声压级: 0 0 声源 与声源的距离/m 声压级/dB 燃油汽车 10 60 90 : 混合动力汽车 10 50 60 : 电动汽车 10 40 已知在距离燃油汽车、混合动力汽车、电动汽车10m处测得实际声压分别为 p ,p ,p ,则( ). 1 2 3 A. p ³ p B. p >10p 1 2 2 3 C. p =100p D. p £100p 3 0 1 2 【答案】ACD 【解析】 【分析】根据题意可知L Î60,90,L Î50,60,L =40,结合对数运算逐项分析判断. p p p 1 2 3 【详解】由题意可知:L Î60,90,L Î50,60,L =40, p p p 1 2 3 p p p 对于选项A:可得L -L =20´lg 1 -20´lg 2 =20´lg 1 , p 1 p 2 p p p 0 0 2 第8页 | 共28页p p 因为L ³ L ,则L -L =20´lg 1 ³0,即lg 1 ³0, p 1 p 2 p 1 p 2 p p 2 2 p 所以 1 ³1且 p , p >0,可得 p ³ p ,故A正确; p 1 2 1 2 2 p p p 对于选项B:可得L -L =20´lg 2 -20´lg 3 =20´lg 2 , p 2 p 3 p p p 0 0 3 p p 1 因为L -L = L -40³10,则20´lg 2 ³10,即lg 2 ³ , p 2 p 3 p 2 p p 2 3 3 p 所以 2 ³ e且 p ,p >0,可得 p ³ ep , p 2 3 2 3 3 当且仅当L =50时,等号成立,故B错误; p 2 p p 对于选项C:因为L =20´lg 3 =40,即lg 3 =2, p 3 p p 0 0 p 可得 3 =100,即 p =100p ,故C正确; p 3 0 0 p 对于选项D:由选项A可知:L -L =20´lg 1 , p 1 p 2 p 2 p 且L -L £90-50=40,则20´lg 1 £40, p 1 p 2 p 2 p p 即lg 1 £2,可得 1 £100,且 p , p >0,所以 p £100p ,故D正确; p p 1 2 1 2 2 2 故选:ACD. 11. 已知函数 f x 的定义域为R, f xy= y2f x+ x2f y ,则( ). A. f 0=0 B. f 1=0 C. f x 是偶函数 D. x=0为 f x 的极小值点 【答案】ABC 【解析】 【分析】方法一:利用赋值法,结合函数奇遇性的判断方法可判断选项ABC,举反例 f(x)=0即可排除选 项D. 第9页 | 共28页ìx2ln x ,x¹0 方法二:选项ABC的判断与方法一同,对于D,可构造特殊函数 f(x)=í 进行判断即可. î0,x=0 【详解】方法一: 因为 f(xy)= y2f(x)+x2f(y), 对于A,令x= y =0, f(0)=0f(0)+0f(0)=0,故A正确. 对于B,令x= y =1, f(1)=1f(1)+1f(1),则 f(1)=0,故B正确. 对于C,令x= y =-1, f(1)= f(-1)+ f(-1)=2f(-1),则 f(-1)=0, 令y =-1, f(-x)= f(x)+x2f(-1)= f(x), 又函数 f(x)的定义域为R,所以 f(x)为偶函数,故C正确, 对于D,不妨令 f(x)=0,显然符合题设条件,此时 f(x)无极值,故D错误 . 方法二: 因为 f(xy)= y2f(x)+x2f(y), 对于A,令x= y =0, f(0)=0f(0)+0f(0)=0,故A正确. 对于B,令x= y =1, f(1)=1f(1)+1f(1),则 f(1)=0,故B正确. 对于C,令x= y =-1, f(1)= f(-1)+ f(-1)=2f(-1),则 f(-1)=0, 令y =-1, f(-x)= f(x)+x2f(-1)= f(x), 又函数 f(x)的定义域为R,所以 f(x)为偶函数,故C正确, f(xy) f(x) f(y) 对于 D,当x2y2 ¹0时,对 f(xy)= y2f(x)+x2f(y)两边同时除以x2y2,得到 = + , x2y2 x2 y2 f(x) ìx2ln x ,x¹0 故可以设 =ln x (x¹0),则 f(x)=í , x2 î0,x=0 1 当x>0肘, f(x)= x2lnx,则 f¢x=2xlnx+x2× = x(2lnx+1), x 令 f¢x<0,得 - 1 ;令 f¢(x)>0,得 -1 ; 0< xe 2 æ 1 ö æ 1 ö - - 故 f(x)在ç0,e 2 ÷上单调递减,在çe 2,+¥÷上单调递增, è ø è ø 第10页 | 共28页æ 1 ö æ 1 ö - - 因为 f(x)为偶函数,所以 f(x)在ç-e 2,0÷上单调递增,在ç-¥,e 2 ÷上单调递减, è ø è ø 显然,此时x=0是 f(x)的极大值,故D错误. 故选:ABC. 12. 下列物体中,能够被整体放入棱长为1(单位:m)的正方体容器(容器壁厚度忽略不计)内的有( ) A. 直径为0.99m的球体 B. 所有棱长均为1.4m的四面体 C. 底面直径为0.01m,高为1.8m的圆柱体 D. 底面直径为1.2m,高为0.01m的圆柱体 【答案】ABD 【解析】 【分析】根据题意结合正方体的性质逐项分析判断. 【详解】对于选项A:因为0.99m<1m,即球体的直径小于正方体的棱长, 所以能够被整体放入正方体内,故A正确; 对于选项B:因为正方体的面对角线长为 2m,且 2 >1.4, 所以能够被整体放入正方体内,故B正确; 对于选项C:因为正方体的体对角线长为 3m,且 3 <1.8, 所以不能够被整体放入正方体内,故C正确; 对于选项D:因为正方体的体对角线长为 3m,且 3 >1.2, 设正方体ABCD-ABC D 的中心为O,以AC 为轴对称放置圆柱,设圆柱的底面圆心O 到正方体的表 1 1 1 1 1 1 面的最近的距离为hm, 1 3 3 如图,结合对称性可知:OC = C A= ,CO =OC -OO = -0.6, 1 2 1 2 1 1 1 1 2 第11页 | 共28页3 h CO -0.6 1 0.6 则 = 1 1 ,即h 2 ,解得h= - >0.34>0.01, AA C A = 2 3 1 1 1 3 所以能够被整体放入正方体内,故D正确; 故选:ABD. 【点睛】关键点睛:对于C、D:以正方体的体对角线为圆柱的轴,结合 正方体以及圆柱的性质分析判断. 三、填空题:本题共 4小题,每小题 5分,共 20 分. 13. 某学校开设了4门体育类选修课和4门艺术类选修课,学生需从这8门课中选修2门或3门课,并且每 类选修课至少选修1门,则不同的选课方案共有________种(用数字作答). 【答案】64 【解析】 【分析】分类讨论选修2门或3门课,对选修3门,再讨论具体选修课的分配,结合组合数运算求解. 【详解】(1)当从8门课中选修2门,则不同的选课方案共有C1C1 =16种; 4 4 (2)当从8门课中选修3门, ①若体育类选修课1门,则不同的选课方案共有C1C2 =24种; 4 4 ②若体育类选修课2门,则不同的选课方案共有C2C1 =24种; 4 4 综上所述:不同的选课方案共有16+24+24=64种. 故答案为:64. 14. 在正四棱台ABCD-ABC D 中,AB =2,AB =1,AA = 2,则该棱台的体积为________. 1 1 1 1 1 1 1 7 6 7 【答案】 ## 6 6 6 【解析】 【分析】结合图像,依次求得AO,AO,AM ,从而利用棱台的体积公式即可得解. 1 1 1 【详解】如图,过A作AM ^ AC,垂足为M ,易知AM 为四棱台ABCD-ABC D 的高, 1 1 1 1 1 1 1 第12页 | 共28页因为AB=2,AB =1,AA = 2, 1 1 1 1 1 2 1 1 则AO = AC = ´ 2AB = ,AO= AC = ´ 2AB= 2, 1 1 2 1 1 2 1 1 2 2 2 1 2 1 6 故AM = AC-AC = ,则AM = AA2 -AM2 = 2- = , 2 1 1 2 1 1 2 2 1 6 7 6 所以所求体积为V = ´(4+1+ 4´1)´ = . 3 2 6 7 6 故答案为: . 6 15. 已知函数 f x=coswx-1(w>0)在区间 0,2π 有且仅有3个零点,则w的取值范围是________. 【答案】[2,3) 【解析】 【分析】令 f(x)=0,得coswx=1有3个根,从而结合余弦函数的图像性质即可得解. 【详解】因为0≤x≤2π,所以0≤wx≤2wπ, 令 f(x)=coswx-1=0,则coswx=1有3个根, 令t =wx,则cost =1有3个根,其中tÎ[0,2wπ], 结合余弦函数y =cost的图像性质可得4π£2wπ<6π,故2£w<3, 故答案为:[2,3). x2 y2 16. 已知双曲线C: - =1(a>0,b>0)的左、右焦点分别为 F,F .点A在C上,点 B在 y轴上, a2 b2 1 2 uuur uuur uuuur 2uuuur FA^ FB,F A=- F B,则C的离心率为________. 1 1 2 3 2 第13页 | 共28页3 5 3 【答案】 ## 5 5 5 【解析】 【分析】方法一:利用双曲线的定义与向量数积的几何意义得到 AF , BF , BF , AF 关于a,m的表达式, 2 2 1 1 从而利用勾股定理求得a =m,进而利用余弦定理得到a,c的齐次方程,从而得解. 5 2 方法二:依题意设出各点坐标,从而由向量坐标运算求得x = c,y =- t ,t2 =4c2,将点A代入双曲 0 3 0 3 线C得到关于a,b,c的齐次方程,从而得解; 【详解】方法一: 依题意,设 AF =2m,则 BF =3m= BF , AF =2a+2m, 2 2 1 1 在Rt V ABF 1 中,9m2 +(2a+2m)2 =25m2,则(a+3m)(a-m)=0,故a =m或a =-3m(舍去), 所以 AF =4a, AF =2a, BF = BF =3a,则 AB =5a, 1 2 2 1 AF 4a 4 故cosÐFAF = 1 = = , 1 2 AB 5a 5 16a2 +4a2 -4c2 4 所以在△AFF 中,cosÐFAF = = ,整理得5c2 =9a2, 1 2 1 2 2´4a´2a 5 c 3 5 故e= = . a 5 方法二: 依题意,得F(-c,0),F (c,0),令Ax ,y ,B(0,t), 1 2 0 0 uuuur 2uuuur 2 5 2 因为F A=- F B,所以x -c,y =- -c,t,则x = c,y =- t , 2 3 2 0 0 3 0 3 0 3 uuur uuur uuur uuur æ8 2 ö 8 2 又FA^ FB,所以FA×FB= ç c,- t ÷ c,t = c2 - t2 =0,则t2 =4c2, 1 1 1 1 è3 3 ø 3 3 第14页 | 共28页25 4 c2 t2 25c2 4t2 25c2 16c2 又点A 在C上,则 9 9 ,整理得 - =1,则 - =1, - =1 9a2 9b2 9a2 9b2 a2 b2 所以25c2b2 -16c2a2 =9a2b2,即25c2 c2 -a2 -16a2c2 =9a2 c2 -a2 , 整理得25c4 -50c2 +9a4 =0,则  5c2 -9a2 5c2 -a2 =0,解得5c2 =9a2或5c2 =a2, 3 5 5 3 5 又e>1,所以e= 或e= (舍去),故e= . 5 5 5 3 5 故答案为: . 5 【点睛】关键点睛:双曲线过焦点的三角形的解决关键是充分利用双曲线的定义,结合勾股定理与余弦定 理得到关于a,b,c的齐次方程,从而得解. 四、解答题:本题共 6小题,共 70分.解答应写出文字说明、证明过程或演算步骤. 17. 已知在 ABC中,A+B =3C,2sinA-C=sinB. V (1)求sinA; (2)设AB=5,求AB边上的高. 3 10 【答案】(1) 10 (2)6 【解析】 【分析】(1)根据角的关系及两角和差正弦公式,化简即可得解; (2)利用同角之间的三角函数基本关系及两角和的正弦公式求sinB,再由正弦定理求出b,根据等面积法 求解即可. 【小问1详解】 A+B=3C, Q π \π-C =3C ,即C = , 4 又2sin(A-C)=sinB=sin(A+C), \2sinAcosC-2cosAsinC =sinAcosC+cosAsinC, \sin AcosC =3cosAsinC, \sin A=3cosA, 第15页 | 共28页π 即tanA=3,所以0< A< , 2 3 3 10 \sin A= = . 10 10 【小问2详解】 1 10 由(1)知,cosA= = , 10 10 2 3 10 10 2 5 由sinB =sin(A+C) =sinAcosC+cosAsinC = ( + )= , 2 10 10 5 2 5 5´ c b 5 由正弦定理, = ,可得b= =2 10 , sinC sinB 2 2 1 1 \ AB×h= AB×AC×sin A, 2 2 3 10 \h=b×sinA=2 10´ =6. 10 18. 如 图 , 在 正 四 棱 柱 ABCD-ABC D 中 , AB =2,AA =4. 点 A ,B ,C ,D 分 别 在 棱 1 1 1 1 1 2 2 2 2 AA,BB,CC ,DD 上,AA =1,BB = DD =2,CC =3. 1 1 1 1 2 2 2 2 (1)证明:B C ∥A D ; 2 2 2 2 (2)点P在棱BB 上,当二面角P- AC -D 为150°时,求B P. 1 2 2 2 2 【答案】(1)证明见解析; (2)1 【解析】 第16页 | 共28页【分析】(1)建立空间直角坐标系,利用向量坐标相等证明; (2)设P(0,2,l)(0£l£4),利用向量法求二面角,建立方程求出l即可得解. 【小问1详解】 以C为坐标原点,CD,CB,CC 所在直线为x,y,z轴建立空间直角坐标系,如图, 1 则C(0,0,0),C (0,0,3),B (0,2,2),D (2,0,2),A (2,2,1), 2 2 2 2 uuuuur uuuuur \B C =(0,-2,1),A D =(0,-2,1), 2 2 2 2 uuuuur uuuuur \B C ∥A D , 2 2 2 2 又B C,A D 不在同一条直线上, 2 2 2 2 \B C ∥A D . 2 2 2 2 【小问2详解】 设P(0,2,l)(0£l£4), uuuuur uuuur uuuuur 则AC =(-2,-2,2),PC =(0,-2,3-l),D C =(-2,0,1), 2 2 2 2 2 设平面PAC 的法向量n r =(x,y,z), 2 2 uuuuur ì ïn r ×AC =-2x-2y+2z =0 2 2 则í uuuur , r ïî n×PC =-2y+(3-l)z =0 2 令 z =2,得y =3-l,x=l-1, r \n=(l-1,3-l,2), ur 设平面AC D 的法向量m=(a,b,c), 2 2 2 第17页 | 共28页uuuuur ì ïm r ×AC =-2a-2b+2c=0 2 2 则í uuuuur , r ïî m×D C =-2a+c=0 2 2 令 a =1,得b=1,c =2, ur \m=(1,1,2), r ur n×m r ur 6 3 \cos n,m = = = cos150° = , r ur n m 6 4+(l-1)2 +(3-l)2 2 化简可得,l2 -4l+3=0, 解得l=1或l=3, \P(0,2,1)或P(0,2,3), \B P=1. 2 19. 已知函数 f x=a  ex +a  -x. (1)讨论 f x 的单调性; 3 (2)证明:当a>0时, f x>2lna+ . 2 【答案】(1)答案见解析 (2)证明见解析 【解析】 【分析】(1)先求导,再分类讨论a£0与a>0两种情况,结合导数与函数单调性的关系即可得解; 1 (2)方法一:结合(1)中结论,将问题转化为 a2 - -lna>0的恒成立问题,构造函数 2 1 ga=a2 - -lnaa>0,利用导数证得ga>0即可. 2 方法二:构造函数hx=ex -x-1,证得ex ³ x+1,从而得到 f(x)³ x+lna+1+a2 -x,进而将问题 1 转化为a2 - -lna>0的恒成立问题,由此得证. 2 【小问1详解】 因为 f(x)=a  ex +a  -x,定义域为R ,所以 f¢x=aex -1, 当a£0时,由于ex >0,则aex £0,故 f¢x=aex -1<0恒成立, 所以 f x 在R 上单调递减; 第18页 | 共28页当a>0时,令 f¢x=aex -1=0,解得x =-lna, 当x<-lna时, f¢x<0,则 f x 在 -¥,-lna 上单调递减; 当x >-lna时, f¢(x)>0,则 f x 在 -lna,+¥ 上单调递增; 综上:当a£0时, f x 在R 上单调递减; 当a>0时, f x 在 -¥,-lna 上单调递减, f x 在 -lna,+¥ 上单调递增. 【小问2详解】 方法一: 由(1)得, f x = f -lna=a  e-lna +a  +lna =1+a2 +lna, min 3 3 1 要证 f(x)>2lna+ ,即证1+a2 +lna >2lna+ ,即证a2 - -lna>0恒成立, 2 2 2 1 1 2a2 -1 令ga=a2 - -lnaa>0,则g¢a=2a- = , 2 a a 2 2 令g¢a<0,则00,则a> ; 2 2 æ 2 ö æ 2 ö 所以ga 在ç0, ÷上单调递减,在ç ,+¥÷上单调递增, ç ÷ ç ÷ 2 2 è ø è ø 2 æ 2 ö æ 2 ö 1 2 所以ga = gç ÷=ç ÷ - -ln =ln 2 >0,则ga>0恒成立, min ç 2 ÷ ç 2 ÷ 2 2 è ø è ø 3 所以当a>0时, f(x)>2lna+ 恒成立,证毕. 2 方法二: 令hx=ex -x-1,则h¢x=ex -1, 由于y=ex在R 上单调递增,所以h¢x=ex -1在R 上单调递增, 又h¢0=e0 -1=0, 所以当x <0时,h¢x<0;当x>0时,h¢x>0; 所以hx 在 -¥,0 上单调递减,在 0,+¥ 上单调递增, 故hx³h0=0,则ex ³ x+1,当且仅当x=0时,等号成立, 因为 f(x)=a  ex +a  -x=aex +a2 -x=ex+lna +a2 -x³ x+lna+1+a2 -x, 第19页 | 共28页当且仅当x+lna =0,即x =-lna时,等号成立, 3 3 1 所以要证 f(x)>2lna+ ,即证x+lna+1+a2 -x>2lna+ ,即证a2 - -lna>0, 2 2 2 1 1 2a2 -1 令ga=a2 - -lnaa>0,则g¢a=2a- = , 2 a a 2 2 令g¢a<0,则00,则a> ; 2 2 æ 2 ö æ 2 ö 所以ga 在ç0, ÷上单调递减,在ç ,+¥÷上单调递增, ç ÷ ç ÷ 2 2 è ø è ø 2 æ 2 ö æ 2 ö 1 2 所以ga = gç ÷=ç ÷ - -ln =ln 2 >0,则ga>0恒成立, min ç 2 ÷ ç 2 ÷ 2 2 è ø è ø 3 所以当a>0时, f(x)>2lna+ 恒成立,证毕. 2 n2 +n 20. 设等差数列 a  的公差为d,且d >1.令b = ,记S ,T 分别为数列 a ,b  的前n项和. n n a n n n n n (1)若3a =3a +a ,S +T =21,求 a  的通项公式; 2 1 3 3 3 n (2)若 b  为等差数列,且S -T =99,求d. n 99 99 【答案】(1)a =3n n 51 (2)d = 50 【解析】 【分析】(1)根据等差数列的通项公式建立方程求解即可; (2)由{b }为等差数列得出a =d 或a =2d,再由等差数列的性质可得a -b =1,分类讨论即可得解. n 1 1 50 50 【小问1详解】 Q 3a 2 =3a 1 +a 3 ,\3d =a 1 +2d ,解得a 1 =d , \S =3a =3(a +d)=6d , 3 2 1 2 6 12 9 又T =b +b +b = + + = , 3 1 2 3 d 2d 3d d 9 \S +T =6d + =21, 3 3 d 1 即2d2 -7d +3=0,解得d =3或d = (舍去), 2 第20页 | 共28页\a =a +(n-1)×d =3n. n 1 【小问2详解】 {b }为等差数列, Q n 12 2 12 \2b =b +b ,即 = + , 2 1 3 a a a 2 1 3 1 1 6d 1 \6( - )= = ,即a2 -3ad +2d2 =0,解得a =d 或a =2d, a a a a a 1 1 1 1 2 3 2 3 1 d >1,\a >0, Q n 又S -T =99,由等差数列性质知,99a -99b =99,即a -b =1, 99 99 50 50 50 50 2550 \a - =1,即a2 -a -2550=0,解得a =51或a =-50(舍去) 50 a 50 50 50 50 50 当a =2d时,a =a +49d =51d =51,解得d =1,与d >1矛盾,无解; 1 50 1 51 当a =d 时,a =a +49d =50d =51,解得d = . 1 50 1 50 51 综上,d = . 50 21. 甲、乙两人投篮,每次由其中一人投篮,规则如下:若命中则此人继续投籃,若末命中则换为对方投 篮.无论之前投篮情况如何,甲每次投篮的命中率均为0.6,乙每次投篮的命中率均为0.8.由抽签确定第1 次投篮的人选,第1次投篮的人是甲、乙的概率各为0.5. (1)求第2次投篮的人是乙的概率; (2)求第i次投篮的人是甲的概率; (3)已知:若随机变量X 服从两点分布,且PX =1=1-PX =0=q,i =1,2,×××,n,则 i i i i æ n ö n E ç åX ÷ =åq .记前n次(即从第1次到第n次投篮)中甲投篮的次数为Y ,求EY . i i è ø i=1 i=1 【答案】(1)0.6 i-1 1 æ2ö 1 (2) ´ ç ÷ + 6 è5ø 3 5 é æ2ö nù n (3)E(Y)= ê1- ç ÷ ú+ 18êë è5ø úû 3 【解析】 第21页 | 共28页【分析】(1)根据全概率公式即可求出; (2)设PA= p ,由题意可得 p =0.4p +0.2,根据数列知识,构造等比数列即可解出; i i i+1 i (3)先求出两点分布的期望,再根据题中的结论以及等比数列的求和公式即可求出. 【小问1详解】 记“第i次投篮的人是甲”为事件A,“第i次投篮的人是乙”为事件B , i i 所以,PB = PAB +PBB = PA PB | A +PB PB |B  2 1 2 1 2 1 2 1 1 2 1 =0.5´1-0.6+0.5´0.8=0.6. 【小问2详解】 设PA= p ,依题可知,PB =1- p ,则 i i i i PA = PAA +PB A = PAPA | A+PB PA |B  , i+1 i i+1 i i+1 i i+1 i i i+1 i 即 p =0.6p +1-0.8´1- p =0.4p +0.2, i+1 i i i 构造等比数列 p +l , i 2 1 1 2æ 1ö 设 p +l= p +l,解得l=- ,则 p - = ç p - ÷, i+1 5 i 3 i+1 3 5è i 3ø 1 1 1 ì 1ü 1 2 又 p = , p - = ,所以íp - ý是首项为 ,公比为 的等比数列, 1 2 1 3 6 î i 3þ 6 5 i-1 i-1 1 1 æ2ö 1 æ2ö 1 即 p - = ´ ,p = ´ + . ç ÷ ç ÷ i 3 6 è5ø i 6 è5ø 3 【小问3详解】 i-1 1 æ2ö 1 因为 p = ´ + ,i =1,2,×××,n, ç ÷ i 6 è5ø 3 n æ2ö 1- 1 ç è5 ÷ ø n 5 é æ2ö nù n 所以当nÎN*时,EY= p 1 + p 2 + L + p n = 6 ´ 1- 2 + 3 = 18 ê êë 1- ç è5 ÷ ø ú úû + 3 , 5 5 é æ2ö nù n 故E(Y)= ê1- ç ÷ ú+ . 18êë è5ø úû 3 【点睛】本题第一问直接考查全概率公式的应用,后两问的解题关键是根据题意找到递推式,然后根据数 列的基本知识求解. 第22页 | 共28页æ 1ö 22. 在直角坐标系xOy中,点P到x轴的距离等于点P到点ç 0, ÷的距离,记动点P的轨迹为W . è 2ø (1)求W 的方程; (2)已知矩形ABCD有三个顶点在W 上,证明:矩形ABCD的周长大于3 3. 1 【答案】(1)y= x2 + 4 (2)见解析 【解析】 2 æ 1ö 【分析】(1)设P(x,y),根据题意列出方程x2 + ç y- ÷ = y2,化简即可; è 2ø æ 1ö æ 1ö æ 1ö (2)法一:设矩形的三个顶点 A ç a,a2 + ÷ ,B ç b,b2 + ÷ ,C ç c,c2 + ÷,且 a0,且mn=-1,利用放缩法得 C ³ ç n+ ÷ 1+n2 ,设函数 AB BC 2 è nø 2 f(x)= æ ç x+ 1ö ÷  1+x2 ,利用导数求出其最小值,则得C的最小值,再排除边界值即可. è xø 1 法二:设直线 AB的方程为 y =k(x-a)+a2 + ,将其与抛物线方程联立,再利用弦长公式和放缩法得 4  1+k23 ,利用换元法和求导即可求出周长最值,再排除边界值即可. AB + AD ³ k2 法三:利用平移坐标系法,再设点,利用三角换元再对角度分类讨论,结合基本不等式即可证明. 【小问1详解】 æ 1ö 2 1 设P(x,y),则 y = x2 + y- ,两边同平方化简得y= x2 + , ç ÷ è 2ø 4 1 故W : y = x2 + . 4 【小问2详解】 æ 1ö æ 1ö æ 1ö 法一:设矩形的三个顶点A ç a,a2 + ÷ ,B ç b,b2 + ÷ ,C ç c,c2 + ÷在W 上,且a0,且mn=-1,则m = - , BC n 1 设矩形周长为C,由对称性不妨设|m|³|n|,k -k =c-a =n-m=n+ , BC AB n 1 æ 1ö 则 C =| AB|+|BC|=(b-a) 1+m2 +(c-b) 1+n2 ³(c-a) 1+n2 = ç n+ ÷ 1+n2 .n>0,易知 2 è nø æ 1ö n+ 1+n2 >0 ç ÷ è nø 2 2 则令 f(x)= æ ç x+ 1ö ÷  1+x2 ,x>0, f¢(x)=2 æ ç x+ 1ö ÷ æ ç 2x- 1ö ÷, è xø è xø è xø 2 令 f¢(x)=0,解得x= , 2 æ 2 ö 当xÎç0, ÷时, f¢(x)<0,此时 f(x)单调递减, ç ÷ 2 è ø æ 2 ö 当xÎç ,+¥÷, f¢(x)>0,此时 f(x)单调递增, ç ÷ 2 è ø æ 2 ö 27 则 f(x) = f ç ÷= , min ç 2 ÷ 4 è ø 1 27 3 3 故 C ³ = ,即C ³3 3. 2 4 2 2 当C =3 3时,n= ,m=- 2 ,且(b-a) 1+m2 =(b-a) 1+n2 ,即m=n时等号成立,矛盾,故 2 C >3 3, 得证. 第24页 | 共28页法二:不妨设A,B,D在W 上,且BA^ DA, æ 1ö 依题意可设A ç a,a2 + ÷,易知直线BA,DA的斜率均存在且不为0, è 4ø 1 则设BA,DA的斜率分别为k和- ,由对称性,不妨设 k £1, k 1 直线AB的方程为y =k(x-a)+a2 + , 4 ì 1 y = x2 + ï ï 4 则联立í 得x2 -kx+ka-a2 =0, 1 ï y =k(x-a)+a2 + ïî 4 D=k2 -4  ka-a2 =k-2a2 >0,则k ¹2a 则| AB|= 1+k2 |k-2a|, 1 1 同理| AD|= 1+ +2a , k2 k 1 1 \| AB|+| AD|= 1+k2 |k-2a|+ 1+ +2a k2 k æ 1 ö 1  1+k23 ³ 1+k2 k-2a + +2a ³ 1+k2 k+ = ç ÷ è k ø k k2 (m+1)3 1 令k2 =m,则mÎ0,1 ,设 f(m)= =m2 +3m+ +3, m m 1 (2m-1)(m+1)2 1 则 f¢(m)=2m+3- = ,令 f¢(m)=0,解得m= , m2 m2 2 æ 1ö 当mÎ ç 0, ÷时, f¢(m)<0,此时 f(m)单调递减, è 2ø æ1 ö 当mÎ ç ,+¥ ÷, f¢(m)>0,此时 f(m)单调递增, è2 ø 第25页 | 共28页æ1ö 27 则 f(m) = f ç ÷ = , min è2ø 4 3 3 \| AB|+| AD|³ , 2 1 1 æ 1 ö 但 1+k2 |k-2a|+ 1+ +2a ³ 1+k2 ç |k-2a|+ +2a ÷,此处取等条件为k=1,与最终取等 k2 k è k ø 2 3 3 时k = 不一致,故 AB + AD > . 2 2 1 法三:为了计算方便,我们将抛物线向下移动 个单位得抛物线W¢: y = x2, 4 矩形ABCD变换为矩形A¢B¢C¢D¢,则问题等价于矩形A¢B¢C¢D¢的周长大于3 3. 设 B¢ t ,t2 ,A¢ t ,t2 ,C¢ t ,t2 , 根据对称性不妨设 t ³0. 0 0 1 1 2 2 0 则 k =t +t ,k =t +t , 由于 A¢B¢^ B¢C¢, 则 t +t t +t =-1. A¢B¢ 1 0 B¢C¢ 2 0 1 0 2 0 由于 A¢B¢ = 1+t +t 2 t -t , B¢C¢ = 1+t +t 2 t -t , 且 t 介于 t ,t 之间, 1 0 1 0 2 0 2 0 0 1 2 则 A¢B¢ + B¢C¢ = 1+t +t 2 t -t + 1+t +t 2 t -t . 令 t +t =tanq, 1 0 1 0 2 0 2 0 2 0 æ πö t +t =-cotq,qÎ ç 0, ÷,则t =tanq-t ,t =-cotq-t ,从而 1 0 è 2ø 2 0 1 0 A¢B¢ + B¢C¢ = 1+cot2q2t +cotq+ 1+tan2qtanq-2t  0 0 æ 1 1 ö sinq cosq 2t (cosq-sinq) sin3q+cos3q 故 A¢B¢ + B¢C¢ =2t ç - ÷ + + = 0 + 0 èsinq cosqø cos2q sin2q sinqcosq sin2qcos2q æ πù ①当qÎ ç 0, ú 时, è 4û sin3q+cos3q sinq cosq 1 2 A¢B¢ + B¢C¢ ³ = + ³2 =2 ³2 2 sin2qcos2q cos2q sin2q sinqcosq sin2q æπ πö ②当 qÎ ç , ÷ 时,由于t + = + sin2qcos3q sin2qcos2q cosq sin2q 2 2 = = sin2qsin2q×2cos2q  1-cos2q  1-cos2q  ×2cos2q 2 2 3 3 ³ ³ = æ 1-cos2q  +  1-cos2q  +2cos2qö 3 æ2ö 3 2 , ç ÷ ç ÷ ç 3 ÷ è3ø è ø 3 3 3 当且仅当cosq = 时等号成立,故 A¢B¢ + B¢C¢ > ,故矩形周长大于3 2. 3 2 . 1 æ 1ö 【点睛】关键点睛:本题的第二个的关键是通过放缩得 C =| AB|+|BC|³ ç n+ ÷ 1+n2 ,同时为了简 2 è nø 便运算,对右边的式子平方后再设新函数求导,最后再排除边界值即可. 第27页 | 共28页第28页 | 共28页
基本 文件 流程 错误 SQL 调试
  1. 请求信息 : 2026-03-10 13:32:58 HTTP/1.1 GET : https://www.yeyulingfeng.com/wendang/85902.html
  2. 运行时间 : 0.126483s [ 吞吐率:7.91req/s ] 内存消耗:5,120.08kb 文件加载:144
  3. 缓存信息 : 0 reads,0 writes
  4. 会话信息 : SESSION_ID=5cd1946af195ba734f6c0c6525e90ab3
  1. /yingpanguazai/ssd/ssd1/www/wwww.yeyulingfeng.com/public/index.php ( 0.79 KB )
  2. /yingpanguazai/ssd/ssd1/www/wwww.yeyulingfeng.com/vendor/autoload.php ( 0.17 KB )
  3. /yingpanguazai/ssd/ssd1/www/wwww.yeyulingfeng.com/vendor/composer/autoload_real.php ( 2.49 KB )
  4. /yingpanguazai/ssd/ssd1/www/wwww.yeyulingfeng.com/vendor/composer/platform_check.php ( 0.90 KB )
  5. /yingpanguazai/ssd/ssd1/www/wwww.yeyulingfeng.com/vendor/composer/ClassLoader.php ( 14.03 KB )
  6. /yingpanguazai/ssd/ssd1/www/wwww.yeyulingfeng.com/vendor/composer/autoload_static.php ( 6.05 KB )
  7. /yingpanguazai/ssd/ssd1/www/wwww.yeyulingfeng.com/vendor/topthink/think-helper/src/helper.php ( 8.34 KB )
  8. /yingpanguazai/ssd/ssd1/www/wwww.yeyulingfeng.com/vendor/topthink/think-validate/src/helper.php ( 2.19 KB )
  9. /yingpanguazai/ssd/ssd1/www/wwww.yeyulingfeng.com/vendor/ralouphie/getallheaders/src/getallheaders.php ( 1.60 KB )
  10. /yingpanguazai/ssd/ssd1/www/wwww.yeyulingfeng.com/vendor/topthink/think-orm/src/helper.php ( 1.47 KB )
  11. /yingpanguazai/ssd/ssd1/www/wwww.yeyulingfeng.com/vendor/topthink/think-orm/stubs/load_stubs.php ( 0.16 KB )
  12. /yingpanguazai/ssd/ssd1/www/wwww.yeyulingfeng.com/vendor/topthink/framework/src/think/Exception.php ( 1.69 KB )
  13. /yingpanguazai/ssd/ssd1/www/wwww.yeyulingfeng.com/vendor/topthink/think-container/src/Facade.php ( 2.71 KB )
  14. /yingpanguazai/ssd/ssd1/www/wwww.yeyulingfeng.com/vendor/symfony/deprecation-contracts/function.php ( 0.99 KB )
  15. /yingpanguazai/ssd/ssd1/www/wwww.yeyulingfeng.com/vendor/symfony/polyfill-mbstring/bootstrap.php ( 8.26 KB )
  16. /yingpanguazai/ssd/ssd1/www/wwww.yeyulingfeng.com/vendor/symfony/polyfill-mbstring/bootstrap80.php ( 9.78 KB )
  17. /yingpanguazai/ssd/ssd1/www/wwww.yeyulingfeng.com/vendor/symfony/var-dumper/Resources/functions/dump.php ( 1.49 KB )
  18. /yingpanguazai/ssd/ssd1/www/wwww.yeyulingfeng.com/vendor/topthink/think-dumper/src/helper.php ( 0.18 KB )
  19. /yingpanguazai/ssd/ssd1/www/wwww.yeyulingfeng.com/vendor/symfony/var-dumper/VarDumper.php ( 4.30 KB )
  20. /yingpanguazai/ssd/ssd1/www/wwww.yeyulingfeng.com/vendor/guzzlehttp/guzzle/src/functions_include.php ( 0.16 KB )
  21. /yingpanguazai/ssd/ssd1/www/wwww.yeyulingfeng.com/vendor/guzzlehttp/guzzle/src/functions.php ( 5.54 KB )
  22. /yingpanguazai/ssd/ssd1/www/wwww.yeyulingfeng.com/vendor/topthink/framework/src/think/App.php ( 15.30 KB )
  23. /yingpanguazai/ssd/ssd1/www/wwww.yeyulingfeng.com/vendor/topthink/think-container/src/Container.php ( 15.76 KB )
  24. /yingpanguazai/ssd/ssd1/www/wwww.yeyulingfeng.com/vendor/psr/container/src/ContainerInterface.php ( 1.02 KB )
  25. /yingpanguazai/ssd/ssd1/www/wwww.yeyulingfeng.com/app/provider.php ( 0.19 KB )
  26. /yingpanguazai/ssd/ssd1/www/wwww.yeyulingfeng.com/vendor/topthink/framework/src/think/Http.php ( 6.04 KB )
  27. /yingpanguazai/ssd/ssd1/www/wwww.yeyulingfeng.com/vendor/topthink/think-helper/src/helper/Str.php ( 7.29 KB )
  28. /yingpanguazai/ssd/ssd1/www/wwww.yeyulingfeng.com/vendor/topthink/framework/src/think/Env.php ( 4.68 KB )
  29. /yingpanguazai/ssd/ssd1/www/wwww.yeyulingfeng.com/app/common.php ( 0.03 KB )
  30. /yingpanguazai/ssd/ssd1/www/wwww.yeyulingfeng.com/vendor/topthink/framework/src/helper.php ( 18.78 KB )
  31. /yingpanguazai/ssd/ssd1/www/wwww.yeyulingfeng.com/vendor/topthink/framework/src/think/Config.php ( 5.54 KB )
  32. /yingpanguazai/ssd/ssd1/www/wwww.yeyulingfeng.com/config/alipay.php ( 3.59 KB )
  33. /yingpanguazai/ssd/ssd1/www/wwww.yeyulingfeng.com/vendor/topthink/framework/src/think/facade/Env.php ( 1.67 KB )
  34. /yingpanguazai/ssd/ssd1/www/wwww.yeyulingfeng.com/config/app.php ( 0.95 KB )
  35. /yingpanguazai/ssd/ssd1/www/wwww.yeyulingfeng.com/config/cache.php ( 0.78 KB )
  36. /yingpanguazai/ssd/ssd1/www/wwww.yeyulingfeng.com/config/console.php ( 0.23 KB )
  37. /yingpanguazai/ssd/ssd1/www/wwww.yeyulingfeng.com/config/cookie.php ( 0.56 KB )
  38. /yingpanguazai/ssd/ssd1/www/wwww.yeyulingfeng.com/config/database.php ( 2.48 KB )
  39. /yingpanguazai/ssd/ssd1/www/wwww.yeyulingfeng.com/config/filesystem.php ( 0.61 KB )
  40. /yingpanguazai/ssd/ssd1/www/wwww.yeyulingfeng.com/config/lang.php ( 0.91 KB )
  41. /yingpanguazai/ssd/ssd1/www/wwww.yeyulingfeng.com/config/log.php ( 1.35 KB )
  42. /yingpanguazai/ssd/ssd1/www/wwww.yeyulingfeng.com/config/middleware.php ( 0.19 KB )
  43. /yingpanguazai/ssd/ssd1/www/wwww.yeyulingfeng.com/config/route.php ( 1.89 KB )
  44. /yingpanguazai/ssd/ssd1/www/wwww.yeyulingfeng.com/config/session.php ( 0.57 KB )
  45. /yingpanguazai/ssd/ssd1/www/wwww.yeyulingfeng.com/config/trace.php ( 0.34 KB )
  46. /yingpanguazai/ssd/ssd1/www/wwww.yeyulingfeng.com/config/view.php ( 0.82 KB )
  47. /yingpanguazai/ssd/ssd1/www/wwww.yeyulingfeng.com/app/event.php ( 0.25 KB )
  48. /yingpanguazai/ssd/ssd1/www/wwww.yeyulingfeng.com/vendor/topthink/framework/src/think/Event.php ( 7.67 KB )
  49. /yingpanguazai/ssd/ssd1/www/wwww.yeyulingfeng.com/app/service.php ( 0.13 KB )
  50. /yingpanguazai/ssd/ssd1/www/wwww.yeyulingfeng.com/app/AppService.php ( 0.26 KB )
  51. /yingpanguazai/ssd/ssd1/www/wwww.yeyulingfeng.com/vendor/topthink/framework/src/think/Service.php ( 1.64 KB )
  52. /yingpanguazai/ssd/ssd1/www/wwww.yeyulingfeng.com/vendor/topthink/framework/src/think/Lang.php ( 7.35 KB )
  53. /yingpanguazai/ssd/ssd1/www/wwww.yeyulingfeng.com/vendor/topthink/framework/src/lang/zh-cn.php ( 13.70 KB )
  54. /yingpanguazai/ssd/ssd1/www/wwww.yeyulingfeng.com/vendor/topthink/framework/src/think/initializer/Error.php ( 3.31 KB )
  55. /yingpanguazai/ssd/ssd1/www/wwww.yeyulingfeng.com/vendor/topthink/framework/src/think/initializer/RegisterService.php ( 1.33 KB )
  56. /yingpanguazai/ssd/ssd1/www/wwww.yeyulingfeng.com/vendor/services.php ( 0.14 KB )
  57. /yingpanguazai/ssd/ssd1/www/wwww.yeyulingfeng.com/vendor/topthink/framework/src/think/service/PaginatorService.php ( 1.52 KB )
  58. /yingpanguazai/ssd/ssd1/www/wwww.yeyulingfeng.com/vendor/topthink/framework/src/think/service/ValidateService.php ( 0.99 KB )
  59. /yingpanguazai/ssd/ssd1/www/wwww.yeyulingfeng.com/vendor/topthink/framework/src/think/service/ModelService.php ( 2.04 KB )
  60. /yingpanguazai/ssd/ssd1/www/wwww.yeyulingfeng.com/vendor/topthink/think-trace/src/Service.php ( 0.77 KB )
  61. /yingpanguazai/ssd/ssd1/www/wwww.yeyulingfeng.com/vendor/topthink/framework/src/think/Middleware.php ( 6.72 KB )
  62. /yingpanguazai/ssd/ssd1/www/wwww.yeyulingfeng.com/vendor/topthink/framework/src/think/initializer/BootService.php ( 0.77 KB )
  63. /yingpanguazai/ssd/ssd1/www/wwww.yeyulingfeng.com/vendor/topthink/think-orm/src/Paginator.php ( 11.86 KB )
  64. /yingpanguazai/ssd/ssd1/www/wwww.yeyulingfeng.com/vendor/topthink/think-validate/src/Validate.php ( 63.20 KB )
  65. /yingpanguazai/ssd/ssd1/www/wwww.yeyulingfeng.com/vendor/topthink/think-orm/src/Model.php ( 23.55 KB )
  66. /yingpanguazai/ssd/ssd1/www/wwww.yeyulingfeng.com/vendor/topthink/think-orm/src/model/concern/Attribute.php ( 21.05 KB )
  67. /yingpanguazai/ssd/ssd1/www/wwww.yeyulingfeng.com/vendor/topthink/think-orm/src/model/concern/AutoWriteData.php ( 4.21 KB )
  68. /yingpanguazai/ssd/ssd1/www/wwww.yeyulingfeng.com/vendor/topthink/think-orm/src/model/concern/Conversion.php ( 6.44 KB )
  69. /yingpanguazai/ssd/ssd1/www/wwww.yeyulingfeng.com/vendor/topthink/think-orm/src/model/concern/DbConnect.php ( 5.16 KB )
  70. /yingpanguazai/ssd/ssd1/www/wwww.yeyulingfeng.com/vendor/topthink/think-orm/src/model/concern/ModelEvent.php ( 2.33 KB )
  71. /yingpanguazai/ssd/ssd1/www/wwww.yeyulingfeng.com/vendor/topthink/think-orm/src/model/concern/RelationShip.php ( 28.29 KB )
  72. /yingpanguazai/ssd/ssd1/www/wwww.yeyulingfeng.com/vendor/topthink/think-helper/src/contract/Arrayable.php ( 0.09 KB )
  73. /yingpanguazai/ssd/ssd1/www/wwww.yeyulingfeng.com/vendor/topthink/think-helper/src/contract/Jsonable.php ( 0.13 KB )
  74. /yingpanguazai/ssd/ssd1/www/wwww.yeyulingfeng.com/vendor/topthink/think-orm/src/model/contract/Modelable.php ( 0.09 KB )
  75. /yingpanguazai/ssd/ssd1/www/wwww.yeyulingfeng.com/vendor/topthink/framework/src/think/Db.php ( 2.88 KB )
  76. /yingpanguazai/ssd/ssd1/www/wwww.yeyulingfeng.com/vendor/topthink/think-orm/src/DbManager.php ( 8.52 KB )
  77. /yingpanguazai/ssd/ssd1/www/wwww.yeyulingfeng.com/vendor/topthink/framework/src/think/Log.php ( 6.28 KB )
  78. /yingpanguazai/ssd/ssd1/www/wwww.yeyulingfeng.com/vendor/topthink/framework/src/think/Manager.php ( 3.92 KB )
  79. /yingpanguazai/ssd/ssd1/www/wwww.yeyulingfeng.com/vendor/psr/log/src/LoggerTrait.php ( 2.69 KB )
  80. /yingpanguazai/ssd/ssd1/www/wwww.yeyulingfeng.com/vendor/psr/log/src/LoggerInterface.php ( 2.71 KB )
  81. /yingpanguazai/ssd/ssd1/www/wwww.yeyulingfeng.com/vendor/topthink/framework/src/think/Cache.php ( 4.92 KB )
  82. /yingpanguazai/ssd/ssd1/www/wwww.yeyulingfeng.com/vendor/psr/simple-cache/src/CacheInterface.php ( 4.71 KB )
  83. /yingpanguazai/ssd/ssd1/www/wwww.yeyulingfeng.com/vendor/topthink/think-helper/src/helper/Arr.php ( 16.63 KB )
  84. /yingpanguazai/ssd/ssd1/www/wwww.yeyulingfeng.com/vendor/topthink/framework/src/think/cache/driver/File.php ( 7.84 KB )
  85. /yingpanguazai/ssd/ssd1/www/wwww.yeyulingfeng.com/vendor/topthink/framework/src/think/cache/Driver.php ( 9.03 KB )
  86. /yingpanguazai/ssd/ssd1/www/wwww.yeyulingfeng.com/vendor/topthink/framework/src/think/contract/CacheHandlerInterface.php ( 1.99 KB )
  87. /yingpanguazai/ssd/ssd1/www/wwww.yeyulingfeng.com/app/Request.php ( 0.09 KB )
  88. /yingpanguazai/ssd/ssd1/www/wwww.yeyulingfeng.com/vendor/topthink/framework/src/think/Request.php ( 55.78 KB )
  89. /yingpanguazai/ssd/ssd1/www/wwww.yeyulingfeng.com/app/middleware.php ( 0.25 KB )
  90. /yingpanguazai/ssd/ssd1/www/wwww.yeyulingfeng.com/vendor/topthink/framework/src/think/Pipeline.php ( 2.61 KB )
  91. /yingpanguazai/ssd/ssd1/www/wwww.yeyulingfeng.com/vendor/topthink/think-trace/src/TraceDebug.php ( 3.40 KB )
  92. /yingpanguazai/ssd/ssd1/www/wwww.yeyulingfeng.com/vendor/topthink/framework/src/think/middleware/SessionInit.php ( 1.94 KB )
  93. /yingpanguazai/ssd/ssd1/www/wwww.yeyulingfeng.com/vendor/topthink/framework/src/think/Session.php ( 1.80 KB )
  94. /yingpanguazai/ssd/ssd1/www/wwww.yeyulingfeng.com/vendor/topthink/framework/src/think/session/driver/File.php ( 6.27 KB )
  95. /yingpanguazai/ssd/ssd1/www/wwww.yeyulingfeng.com/vendor/topthink/framework/src/think/contract/SessionHandlerInterface.php ( 0.87 KB )
  96. /yingpanguazai/ssd/ssd1/www/wwww.yeyulingfeng.com/vendor/topthink/framework/src/think/session/Store.php ( 7.12 KB )
  97. /yingpanguazai/ssd/ssd1/www/wwww.yeyulingfeng.com/vendor/topthink/framework/src/think/Route.php ( 23.73 KB )
  98. /yingpanguazai/ssd/ssd1/www/wwww.yeyulingfeng.com/vendor/topthink/framework/src/think/route/RuleName.php ( 5.75 KB )
  99. /yingpanguazai/ssd/ssd1/www/wwww.yeyulingfeng.com/vendor/topthink/framework/src/think/route/Domain.php ( 2.53 KB )
  100. /yingpanguazai/ssd/ssd1/www/wwww.yeyulingfeng.com/vendor/topthink/framework/src/think/route/RuleGroup.php ( 22.43 KB )
  101. /yingpanguazai/ssd/ssd1/www/wwww.yeyulingfeng.com/vendor/topthink/framework/src/think/route/Rule.php ( 26.95 KB )
  102. /yingpanguazai/ssd/ssd1/www/wwww.yeyulingfeng.com/vendor/topthink/framework/src/think/route/RuleItem.php ( 9.78 KB )
  103. /yingpanguazai/ssd/ssd1/www/wwww.yeyulingfeng.com/route/app.php ( 3.82 KB )
  104. /yingpanguazai/ssd/ssd1/www/wwww.yeyulingfeng.com/vendor/topthink/framework/src/think/facade/Route.php ( 4.70 KB )
  105. /yingpanguazai/ssd/ssd1/www/wwww.yeyulingfeng.com/vendor/topthink/framework/src/think/route/dispatch/Controller.php ( 4.74 KB )
  106. /yingpanguazai/ssd/ssd1/www/wwww.yeyulingfeng.com/vendor/topthink/framework/src/think/route/Dispatch.php ( 10.44 KB )
  107. /yingpanguazai/ssd/ssd1/www/wwww.yeyulingfeng.com/app/controller/Index.php ( 9.68 KB )
  108. /yingpanguazai/ssd/ssd1/www/wwww.yeyulingfeng.com/app/BaseController.php ( 2.05 KB )
  109. /yingpanguazai/ssd/ssd1/www/wwww.yeyulingfeng.com/vendor/topthink/think-orm/src/facade/Db.php ( 0.93 KB )
  110. /yingpanguazai/ssd/ssd1/www/wwww.yeyulingfeng.com/vendor/topthink/think-orm/src/db/connector/Mysql.php ( 5.44 KB )
  111. /yingpanguazai/ssd/ssd1/www/wwww.yeyulingfeng.com/vendor/topthink/think-orm/src/db/PDOConnection.php ( 52.47 KB )
  112. /yingpanguazai/ssd/ssd1/www/wwww.yeyulingfeng.com/vendor/topthink/think-orm/src/db/Connection.php ( 8.39 KB )
  113. /yingpanguazai/ssd/ssd1/www/wwww.yeyulingfeng.com/vendor/topthink/think-orm/src/db/ConnectionInterface.php ( 4.57 KB )
  114. /yingpanguazai/ssd/ssd1/www/wwww.yeyulingfeng.com/vendor/topthink/think-orm/src/db/builder/Mysql.php ( 16.58 KB )
  115. /yingpanguazai/ssd/ssd1/www/wwww.yeyulingfeng.com/vendor/topthink/think-orm/src/db/Builder.php ( 24.06 KB )
  116. /yingpanguazai/ssd/ssd1/www/wwww.yeyulingfeng.com/vendor/topthink/think-orm/src/db/BaseBuilder.php ( 27.50 KB )
  117. /yingpanguazai/ssd/ssd1/www/wwww.yeyulingfeng.com/vendor/topthink/think-orm/src/db/Query.php ( 15.71 KB )
  118. /yingpanguazai/ssd/ssd1/www/wwww.yeyulingfeng.com/vendor/topthink/think-orm/src/db/BaseQuery.php ( 45.13 KB )
  119. /yingpanguazai/ssd/ssd1/www/wwww.yeyulingfeng.com/vendor/topthink/think-orm/src/db/concern/TimeFieldQuery.php ( 7.43 KB )
  120. /yingpanguazai/ssd/ssd1/www/wwww.yeyulingfeng.com/vendor/topthink/think-orm/src/db/concern/AggregateQuery.php ( 3.26 KB )
  121. /yingpanguazai/ssd/ssd1/www/wwww.yeyulingfeng.com/vendor/topthink/think-orm/src/db/concern/ModelRelationQuery.php ( 20.07 KB )
  122. /yingpanguazai/ssd/ssd1/www/wwww.yeyulingfeng.com/vendor/topthink/think-orm/src/db/concern/ParamsBind.php ( 3.66 KB )
  123. /yingpanguazai/ssd/ssd1/www/wwww.yeyulingfeng.com/vendor/topthink/think-orm/src/db/concern/ResultOperation.php ( 7.01 KB )
  124. /yingpanguazai/ssd/ssd1/www/wwww.yeyulingfeng.com/vendor/topthink/think-orm/src/db/concern/WhereQuery.php ( 19.37 KB )
  125. /yingpanguazai/ssd/ssd1/www/wwww.yeyulingfeng.com/vendor/topthink/think-orm/src/db/concern/JoinAndViewQuery.php ( 7.11 KB )
  126. /yingpanguazai/ssd/ssd1/www/wwww.yeyulingfeng.com/vendor/topthink/think-orm/src/db/concern/TableFieldInfo.php ( 2.63 KB )
  127. /yingpanguazai/ssd/ssd1/www/wwww.yeyulingfeng.com/vendor/topthink/think-orm/src/db/concern/Transaction.php ( 2.77 KB )
  128. /yingpanguazai/ssd/ssd1/www/wwww.yeyulingfeng.com/vendor/topthink/framework/src/think/log/driver/File.php ( 5.96 KB )
  129. /yingpanguazai/ssd/ssd1/www/wwww.yeyulingfeng.com/vendor/topthink/framework/src/think/contract/LogHandlerInterface.php ( 0.86 KB )
  130. /yingpanguazai/ssd/ssd1/www/wwww.yeyulingfeng.com/vendor/topthink/framework/src/think/log/Channel.php ( 3.89 KB )
  131. /yingpanguazai/ssd/ssd1/www/wwww.yeyulingfeng.com/vendor/topthink/framework/src/think/event/LogRecord.php ( 1.02 KB )
  132. /yingpanguazai/ssd/ssd1/www/wwww.yeyulingfeng.com/vendor/topthink/think-helper/src/Collection.php ( 16.47 KB )
  133. /yingpanguazai/ssd/ssd1/www/wwww.yeyulingfeng.com/vendor/topthink/framework/src/think/facade/View.php ( 1.70 KB )
  134. /yingpanguazai/ssd/ssd1/www/wwww.yeyulingfeng.com/vendor/topthink/framework/src/think/View.php ( 4.39 KB )
  135. /yingpanguazai/ssd/ssd1/www/wwww.yeyulingfeng.com/vendor/topthink/framework/src/think/Response.php ( 8.81 KB )
  136. /yingpanguazai/ssd/ssd1/www/wwww.yeyulingfeng.com/vendor/topthink/framework/src/think/response/View.php ( 3.29 KB )
  137. /yingpanguazai/ssd/ssd1/www/wwww.yeyulingfeng.com/vendor/topthink/framework/src/think/Cookie.php ( 6.06 KB )
  138. /yingpanguazai/ssd/ssd1/www/wwww.yeyulingfeng.com/vendor/topthink/think-view/src/Think.php ( 8.38 KB )
  139. /yingpanguazai/ssd/ssd1/www/wwww.yeyulingfeng.com/vendor/topthink/framework/src/think/contract/TemplateHandlerInterface.php ( 1.60 KB )
  140. /yingpanguazai/ssd/ssd1/www/wwww.yeyulingfeng.com/vendor/topthink/think-template/src/Template.php ( 46.61 KB )
  141. /yingpanguazai/ssd/ssd1/www/wwww.yeyulingfeng.com/vendor/topthink/think-template/src/template/driver/File.php ( 2.41 KB )
  142. /yingpanguazai/ssd/ssd1/www/wwww.yeyulingfeng.com/vendor/topthink/think-template/src/template/contract/DriverInterface.php ( 0.86 KB )
  143. /yingpanguazai/ssd/ssd1/www/wwww.yeyulingfeng.com/runtime/temp/10a0c909b6afa23b5a52a2e2d58c3c0f.php ( 21.72 KB )
  144. /yingpanguazai/ssd/ssd1/www/wwww.yeyulingfeng.com/vendor/topthink/think-trace/src/Html.php ( 4.42 KB )
  1. CONNECT:[ UseTime:0.000974s ] mysql:host=127.0.0.1;port=3306;dbname=wenku;charset=utf8mb4
  2. SHOW FULL COLUMNS FROM `fenlei` [ RunTime:0.001512s ]
  3. SELECT * FROM `fenlei` WHERE `fid` = 0 [ RunTime:0.000959s ]
  4. SELECT * FROM `fenlei` WHERE `fid` = 63 [ RunTime:0.011324s ]
  5. SHOW FULL COLUMNS FROM `set` [ RunTime:0.001747s ]
  6. SELECT * FROM `set` [ RunTime:0.000635s ]
  7. SHOW FULL COLUMNS FROM `wendang` [ RunTime:0.001979s ]
  8. SELECT * FROM `wendang` WHERE `id` = 85902 LIMIT 1 [ RunTime:0.009349s ]
  9. UPDATE `wendang` SET `liulancishu` = 8 WHERE `id` = 85902 [ RunTime:0.007018s ]
  10. UPDATE `wendang` SET `lasttime` = 1773120778 WHERE `id` = 85902 [ RunTime:0.000631s ]
  11. SELECT * FROM `wendang` WHERE `id` < 85902 ORDER BY `id` DESC LIMIT 1 [ RunTime:0.000674s ]
  12. SELECT * FROM `wendang` WHERE `id` > 85902 ORDER BY `id` ASC LIMIT 1 [ RunTime:0.000542s ]
  13. SELECT * FROM `wendang` WHERE `id` <> 85902 ORDER BY `id` DESC LIMIT 10 [ RunTime:0.001338s ]
  14. SELECT * FROM `wendang` WHERE `id` <> 85902 ORDER BY `id` DESC LIMIT 10,10 [ RunTime:0.004302s ]
  15. SELECT * FROM `wendang` WHERE `id` <> 85902 ORDER BY `id` DESC LIMIT 20,10 [ RunTime:0.007119s ]
0.128179s