让大模型读 PDF、表格、图片混排文档,难点到底在哪
让大模型读 PDF、表格、图片混排文档,难点到底在哪
一、引言:混排文档理解为什么这么难
在企业日常运营中,员工每天需要处理大量包含文字、表格、图片、图表等多种元素混合排列的文档。这些文档形态包括但不限于:财务报表中密布着数据表格和趋势图,产品说明书里穿插着实物照片和参数表,研究报告中图文并茂地呈现实验数据和分析结论,合同文本中嵌入了签章图片和条款表格。这类混排文档在信息密度和表达形式上都远超纯文本文档,人类读者可以自然地在不同元素之间切换理解,但对大语言模型而言,准确读懂一份混排文档却是一个极具挑战的技术难题。
近几年来,以GPT-4V、Gemini、Claude等为代表的多模态大语言模型取得了令人瞩目的进步,在图像理解和文本生成方面展现出了强大的能力。然而,当我们把一份真实的企业混排文档交给这些模型处理时,往往会发现效果远不如预期。模型可能会读错表格中的数据,将图片中的信息张冠李戴,忽略文档中的关键版式信息,甚至无法正确理解文字与图表之间的引用关系。这种”看起来什么都能做,实际上处处有坑”的现象,让很多试图将大模型应用于文档处理的工程团队感到困惑。
混排文档理解之所以困难,根本原因在于它不是一个单一的技术问题,而是涵盖了文档解析、版面分析、光学字符识别、表格结构识别、图像理解、跨模态关联推理等多个子任务的系统工程。任何一个子任务的失误都会通过误差传播影响最终的理解效果。本文将从文档解析的底层困难出发,逐层剖析混排文档理解的技术挑战,介绍当前的主流解决方案及其局限性,并展望未来的技术演进方向。希望能帮助读者建立对混排文档理解这一领域的系统性认知,在实际项目中做出更合理的技术决策。
二、混排文档的结构复杂性分析
2.1 文档元素的多样性
一份典型的混排文档可能包含以下几类核心元素:正文文本、标题与小标题、有序和无序列表、数据表格(包括简单表格和复杂的合并单元格表格)、图片(照片、插图、截图等)、统计图表(柱状图、折线图、饼图、散点图等)、数学公式、脚注与尾注、页眉页脚、目录索引、水印以及各种特殊标记。这些元素不仅在视觉表现上千差万别,在语义角色上也各不相同。正文承载叙述性信息,表格承载结构化数据,图表承载可视化趋势,图片承载实物或场景信息。大模型需要识别每一种元素的类型,理解其内容,并把握它们之间的语义关联。
更复杂的情况是元素之间的嵌套和交错。一段正文中可能引用了某个表格中的数据,而这个表格旁边又有一张图片作为补充说明。一个大型表格可能跨越多个页面,中间还穿插着页眉页脚和分页符。图表的标题可能在图表上方,也可能在下方,甚至可能以脚注的形式出现在页面底部。这些复杂的排列关系使得文档的逻辑结构与视觉呈现之间存在显著的差异。人类可以凭借阅读经验和常识轻松地跨越这些排列差异,但对于机器来说,还原文档的逻辑结构是一项极具挑战的任务。
2.2 格式编码的多样性
混排文档的物理存储格式本身就构成了第一层障碍。PDF是最常见的文档格式,但PDF本质上是一种页面描述语言,它记录的是”在页面的某个坐标位置绘制某个字符或图形”这样的低层渲染指令,而不是文档的逻辑结构。PDF中没有”段落”、”表格”、”标题”的概念,只有一系列独立的文字绘制命令。两行看起来属于同一段的文字,在PDF底层可能是完全独立的两个文本对象。一个看起来完整的表格,在PDF中可能只是一组精确定位的线条和文字,没有任何结构化的表格信息。
Word文档(DOCX格式)基于XML结构化存储,保留了比PDF更丰富的逻辑结构信息,但不同版本的Word、不同的模板和样式设置会导致相同视觉效果的文档在底层XML结构上差异巨大。HTML文档虽然有明确的标签语义,但实际的网页往往大量使用DIV嵌套和CSS样式来实现视觉布局,语义标签的使用远不规范。扫描件和图片格式的文档则完全丧失了任何结构信息,一切都需要从像素级别重新识别。
2.3 版面布局的复杂性
文档的版面布局直接决定了阅读顺序和元素关系。单栏布局相对简单,但双栏或多栏布局就会带来阅读顺序的歧义:左栏的内容是否在右栏之前?跨越双栏的大标题应该如何归属?侧边栏的内容与主文区域的关系是什么?杂志、学术论文、财务报告等不同类型的文档,有着完全不同的版面设计传统和阅读规范。
浮动元素是版面布局中最令人头疼的问题。图片和表格通常不是固定嵌在文本流中的,而是”浮动”到页面的某个位置。一张图片可能被放置在引用它的文字后面两页的位置,因为原始位置放不下。一个大型表格可能被移到页面顶部,与它在文本中的引用位置相隔甚远。这种浮动排列的存在意味着文档的物理排列顺序与逻辑阅读顺序可能完全不同。正确地将浮动元素与引用它们的文本关联起来,需要综合考虑版面布局、文本引用关系和领域惯例。

图1:混排文档在元素多样性、格式编码和版面布局三个维度的结构复杂性
三、核心技术难点逐一拆解
3.1 难点一:PDF文本提取的精度陷阱
PDF文本提取是混排文档处理的第一步,也是最容易被低估的环节。表面上看,PDFPlumber、PyMuPDF等工具可以一键提取PDF中的文字,但实际提取的结果往往令人失望。首先是文本顺序问题:PDF中的文本对象没有明确的顺序关系,提取工具需要根据坐标信息推断阅读顺序,而在多栏布局中这种推断经常出错。两栏文档中左栏第一行和右栏第一行在PDF底层可能是相邻的文本对象,提取工具可能会将它们错误地拼接在一起。
其次是字符编码问题。部分PDF使用了自定义的字体编码映射,提取出来的不是实际的文字而是一串乱码。有些PDF的字体是以曲线路径的形式嵌入的,根本无法通过常规方式提取文字,只能回退到OCR方案。再者是格式信息的丢失:PDF中的加粗、斜体、上下标、字号变化等格式信息在提取时往往被忽略,但这些信息对于理解文档结构至关重要。标题之所以是标题,很大程度上是因为它使用了更大的字号和加粗样式。如果这些格式信息在提取时丢失了,后续的结构解析就失去了最重要的线索。
3.2 难点二:版面分析与区域分割
版面分析(Layout Analysis)的目标是将文档页面分割为不同的功能区域:正文区、标题区、表格区、图片区、页眉页脚区等。这是连接低层像素信息与高层语义理解的关键桥梁。当前主流的版面分析方法基于目标检测框架,如LayoutLMv3、DocTR、PaddleOCR的版面分析模块等,它们将版面分析建模为一个目标检测任务,使用标注好的文档版面数据训练检测模型。
但版面分析在真实场景中面临诸多挑战。第一是训练数据与真实文档的分布差异:公开的版面分析数据集(如PubLayNet、DocBank等)主要来自学术论文和专利文档,其版面设计相对规范和单一。但企业真实文档的版面设计千变万化,财务报告、产品手册、合同文件、会议记录等不同类型的文档,版面风格差异巨大。在学术论文上训练的版面分析模型,直接应用于企业文档时准确率往往大幅下降。第二是边界模糊性:文档中不同区域之间的边界并不总是清晰的,一个表格的标题可能紧贴在表格上方却不在表格的边界框内,图片的说明文字可能与正文区域无缝衔接,很难通过几何关系来精确区分。
3.3 难点三:表格结构识别
表格是混排文档中信息密度最高的元素,也是大模型理解的重灾区。表格结构识别包含两个子任务:一是确定表格的行列结构(有多少行、多少列、哪些单元格合并了),二是将每个单元格中的文字与其行列坐标正确对应。对于简单的有线框表格,这两个任务相对直接。但真实文档中充斥着各种复杂表格:无线框表格(仅用间距来区分行列)、多层表头(表头本身分为多级)、合并单元格(横跨多行或多列的大单元格)、嵌套表格(表格中嵌套了子表格)、跨页表格(一个逻辑表格被分页符切成了两部分)。
合并单元格是表格识别中最棘手的问题。一个财务报表的表头可能有三层:第一层是大类(如”营业收入”),第二层是子类(如”主营业务收入”和”其他业务收入”),第三层是具体的会计期间(如”2024年”和”2023年”)。大类单元格横跨了下方所有子类和期间列,子类单元格又横跨了对应的期间列。如果合并关系识别错误,数据就会被错误地归类到错误的行列中,导致下游的信息提取完全失准。当前最先进的表格识别模型在简单表格上的F1值可以达到百分之九十以上,但在包含复杂合并单元格的表格上,F1值往往降到百分之七十以下。
3.4 难点四:图像内容理解与关联
混排文档中的图片类型多种多样:实物照片、设计图纸、流程框图、统计图表、截图、手写内容等。每一种类型都需要不同的理解策略。统计图表需要识别坐标轴、图例、数据点和趋势;流程框图需要识别节点、连线和逻辑关系;实物照片需要识别物体和场景。多模态大语言模型虽然具备通用的图像理解能力,但在精确读取图表数据方面仍然存在显著不足。模型可能能够描述一张柱状图的总体趋势,但很难准确读出每根柱子的具体数值,尤其是当数值需要从坐标轴刻度中精确推算时。
比图像内容理解更困难的是图文关联推理。文档中的一段文字可能写道”如图3所示,该指标在第二季度出现了明显的拐点”,模型需要将这段文字中的”图3″与文档中实际的图3建立引用关系,然后在图3中找到第二季度的数据,验证是否确实存在拐点。这种跨模态的引用解析和事实验证,需要模型同时具备文本理解、图像理解和跨模态推理三重能力。在当前的技术水平下,这类任务的可靠性仍然相当有限。
3.5 难点五:跨页连续性与全局语义
真实文档通常有数十甚至数百页,信息分布在多个页面上。一段论述可能跨越两页,一个表格可能被分页符切成两半,前文提到的概念可能在几十页后才出现详细解释。大语言模型的上下文窗口虽然在不断扩大,但直接将整份文档的全部内容输入模型仍然面临巨大的挑战。即使上下文窗口足够大,模型对长文本中间部分的信息利用效率也会显著下降,出现所谓的”中间遗忘”现象。
跨页表格的处理是一个典型的痛点。当一个大型表格被分页时,第二页通常不会重复表头信息,只有数据行。如果在解析时将两部分独立处理,第二页的数据就会丧失其行列语义。正确处理跨页表格需要检测分页边界、识别表格的连续性标记、合并两部分的行列结构,然后重建完整的表格。类似地,跨页段落的合并也需要检测段落在页面边界的截断点,将分散的段落片段重新拼接为完整的语义单元。

图2:混排文档理解面临的五大核心技术难点及其层级关系
四、当前主流技术方案深度解析
4.1 管线式方案:分模块串联处理
最传统也是最成熟的技术方案是管线式方案(Pipeline Approach),将混排文档理解拆分为多个独立的子模块,按照固定的流程串联执行。典型的处理流水线包括:首先用PDF解析工具提取文本和图片,然后用版面分析模型检测各区域的类型和位置,接着对表格区域使用专门的表格识别模型解析行列结构和单元格内容,对图片区域使用图像理解模型生成文字描述或提取关键信息,最后将所有解析结果按照阅读顺序整合为结构化的文档表示。
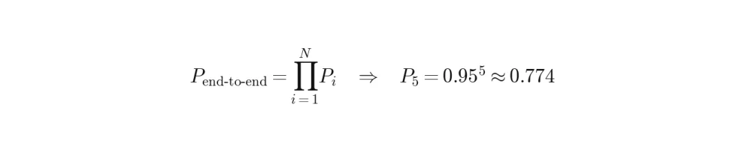
管线式方案的优势在于每个子模块可以独立优化、独立替换,工程实现清晰,调试方便。当某个环节出现问题时,可以精确地定位到具体的模块进行修复。但管线式方案的致命弱点是误差累积:前一个模块的错误会传递到后续所有模块中,且无法被纠正。如果版面分析将一块表格区域错误地识别为正文区域,那么后续的表格识别模块根本不会被触发,表格中的数据就会被当作普通文本处理,结构信息完全丢失。在一条包含五个模块的流水线中,即使每个模块的准确率都达到了百分之九十五,最终的端到端准确率也只有百分之七十七左右。

式1:管线式方案的端到端准确率等于各模块准确率的乘积,N个模块的误差累积效应显著
4.2 多模态大模型方案:端到端视觉理解
多模态大语言模型提供了一种全新的思路:将文档页面作为图片直接输入模型,让模型端到端地理解文档内容,无需显式的中间解析步骤。GPT-4V、Gemini Pro Vision、Claude 3等模型已经展现出了令人印象深刻的文档理解能力。它们可以直接从文档图片中读取文字、理解表格、描述图片,甚至进行跨元素的推理。这种端到端的方式天然避免了管线式方案的误差累积问题。
但多模态大模型方案同样面临着严峻的挑战。首先是分辨率限制:当前的视觉编码器(如ViT)通常将图片缩放到固定分辨率进行处理,而文档页面中的表格数据和小号文字需要很高的分辨率才能准确识别。将一整页A4文档缩放到ViT的标准分辨率后,小号字体的文字可能变得模糊不清。其次是结构化输出的困难:大模型擅长生成自然语言文本,但准确地输出表格的行列结构、坐标信息等结构化数据并非其强项。模型可能会”看到”表格中的数据,但在输出时将数据归到错误的行列中。第三是成本和延迟:多模态大模型的推理成本远高于传统的OCR和版面分析模型,对于需要批量处理大量文档的企业场景来说,成本是一个不可忽视的约束。
4.3 混合方案:传统解析加大模型增强
在实际工程中,越来越多的团队选择混合方案:用传统的文档解析工具完成基础的文本提取、版面分析和表格识别,然后用大语言模型在解析结果的基础上进行语义理解、信息整合和问答推理。这种方案将传统方法的精确性与大模型的语义理解能力结合起来,取长补短。例如,先用PaddleOCR进行精确的文字识别和版面分析,用TableTransformer进行表格结构识别,然后将解析结果转换为Markdown或HTML格式的结构化文本,再输入大语言模型进行下游的问答或摘要任务。
混合方案的关键在于中间表示格式的设计。如何将解析结果转换为大语言模型能够有效理解的文本格式?Markdown是一种常用的中间格式,因为它既保留了一定的结构信息(如标题层级、表格、列表等),又是纯文本形式,大语言模型在预训练中已经见过大量的Markdown文本。但Markdown对于复杂表格(如合并单元格)的表达能力有限。HTML可以表达更复杂的结构,但消耗的token数量远多于Markdown。JSON格式可以精确地表达任意复杂的结构,但大语言模型对JSON的理解能力取决于预训练数据中JSON文本的比例。选择何种中间格式,需要根据文档的复杂度和模型的特性来综合决定。

图3:管线式、端到端多模态、混合方案三种主流技术路线的架构和优劣势对比
五、表格理解的深层困难与前沿方法
5.1 表格的语义层次
表格理解不仅仅是识别行列结构,更重要的是理解表格的语义层次。一个数据表格至少包含三个语义层次:结构层(行、列、单元格的物理排列关系)、标注层(行标题、列标题和数据值的角色区分)、以及语义层(每个数据值的业务含义,例如”第三行第四列的数字1250.6″代表的是”2024年第二季度主营业务收入为1250.6万元”)。当前的表格识别技术主要解决了结构层的问题,标注层的自动识别准确率还不够高,而语义层的理解几乎完全依赖于大语言模型的推理能力。
表格语义理解的一个核心挑战是表头的复杂性。简单表格的表头只有一行,每列一个标题,语义清晰。但真实的财务报表、统计表格中,表头可能有两到四层,涉及类别嵌套、时间维度、数据类型等多个维度的交叉组合。理解这种多层表头需要解析表头单元格之间的层级包含关系,以及每个数据单元格与其对应的多层表头之间的属性映射关系。这种结构化的语义解析远比简单的行列坐标映射复杂得多。
5.2 表格问答与推理
表格问答(Table QA)是混排文档理解中最有商业价值的任务之一。用户可能会问”去年哪个业务线的毛利率最高”、”近五年营收的年均复合增长率是多少”、”研发支出占营业收入的比例在过去三年是上升还是下降趋势”。这些问题不仅需要从表格中提取正确的数据,还需要进行计算、比较、趋势分析等推理操作。大语言模型在数学计算方面并不可靠,尤其是涉及多步计算和精确数值比较时,容易出现计算错误。
一种有效的解决方案是将表格问答转化为程序生成任务。当用户提出问题时,大语言模型不是直接从表格中查找答案,而是生成一段Python或SQL代码来查询和计算。例如,对于”年均复合增长率”这个问题,模型可以生成计算CAGR的Python代码,然后在沙箱中执行代码来得到精确的结果。这种”让模型写代码而不是算数”的策略有效地回避了大模型在精确计算方面的弱点,将数值计算交给确定性的程序来完成。

式2:年均复合增长率CAGR公式,表格问答中常见的数值推理需求
5.3 前沿表格理解模型
在表格理解领域,一系列专门化的模型正在不断推进技术边界。TableFormer和TUTA通过设计专门针对表格结构的预训练任务(如单元格位置预测、行列关系预测),使模型学到了对表格结构的深层理解。UniTable尝试用统一的框架处理表格检测、结构识别和内容提取三个任务,减少了多模型串联的误差累积。在工业级的解决方案中,Document AI领域的模型如LayoutLMv3和DocFormer通过联合建模文本、版面和视觉三种信息,在文档理解的多个子任务上都取得了显著进步。
特别值得关注的是基于视觉的表格识别方案。传统的表格识别依赖于先提取文字再识别结构的流水线,而基于视觉的方案(如Table Transformer、LORE等)直接从表格图像中预测行列分割线或单元格边界框,避免了文字提取错误对结构识别的干扰。在扫描件和图片格式的文档中,这种纯视觉的方案通常比传统的基于文字坐标的方案效果更好。但纯视觉方案也有局限性:它无法区分两个视觉上完全相同但内容不同的单元格,在处理内容丰富的大型表格时效率也不如基于文字坐标的方案。
六、多模态文档理解模型的技术演进
6.1 第一代:基于OCR的文本特征模型
最早的文档理解模型本质上是将文档视为结构化文本来处理的。典型代表是LayoutLM系列。LayoutLM的核心思想是在BERT的基础上增加二维位置编码:不仅编码每个token在序列中的位置,还编码其在文档页面上的XY坐标。通过这种方式,模型可以同时学习文本语义和空间布局信息。LayoutLMv2进一步引入了视觉特征,将文档图像的CNN特征与文本特征进行融合。LayoutLMv3则采用了统一的图像-文本预训练框架,在Word Patch Alignment等创新预训练任务上取得了更好的效果。
这一代模型的根本限制在于它们仍然高度依赖OCR的结果。如果OCR提取的文字有误,或者版面分析遗漏了某个区域,模型后续的理解就会建立在错误的输入之上。此外,这些模型的输入长度通常限制在512个token左右,对于内容丰富的长文档页面,需要进行截断或分块处理,可能丢失重要的上下文信息。
6.2 第二代:视觉-语言联合编码模型
第二代文档理解模型试图减少对OCR的依赖,通过直接处理文档图像来理解内容。Donut(Document Understanding Transformer)是这一方向的代表性工作,它完全抛弃了OCR模块,用一个视觉编码器直接从文档图像中提取特征,然后用一个文本解码器生成结构化的输出。这种端到端的架构避免了OCR错误的传播,但在处理密集文本页面时,纯视觉编码的信息损失比较严重。Pix2Struct在Donut的基础上引入了更细粒度的视觉编码策略,通过可变分辨率的图像输入来适应不同密度的文档页面。
这一代模型的突破在于证明了”不需要OCR也能理解文档”的可行性,但在精确度上仍然不如OCR加后处理的传统方案。主要原因是文档中的文字信息量远大于自然图像中的视觉信息量:一页A4文档可能包含数千个字符,而视觉编码器的特征图通常只有几百到几千个特征向量,信息压缩比过高导致不可避免的信息损失。
6.3 第三代:通用多模态大模型
以GPT-4V、Gemini、InternVL、Qwen-VL等为代表的通用多模态大语言模型,凭借海量的预训练数据和超大的模型参数,在文档理解任务上展现出了前所未有的通用能力。这些模型可以理解各种类型的文档元素,回答关于文档内容的开放式问题,甚至进行跨页面的推理。在DocVQA、InfographicVQA等文档理解基准上,这些模型已经达到或超过了人类的水平。
但通用大模型在企业级文档理解中仍然面临几个关键挑战。第一是幻觉问题:模型可能”看到”文档中不存在的内容,或者将一个表格中的数据错误地归到另一个表格。在财务报告分析等对准确性要求极高的场景中,幻觉是不可接受的。第二是一致性问题:对同一份文档提出相同的问题,模型在不同时间可能给出不同的答案。第三是可控性问题:用户很难精确地控制模型从文档中提取哪些信息、以什么格式输出。这些问题使得通用大模型在企业级应用中更适合作为理解和推理的增强工具,而不是端到端的文档处理引擎。

式3:视觉编码器的信息损失估算,文档信息熵远大于视觉特征的信息承载容量

图4:多模态文档理解模型从OCR依赖到端到端视觉理解的三代技术演进
七、工程实践中的关键策略
7.1 文档预处理的精细化策略
文档预处理的质量直接决定了后续所有环节的效果上限。在PDF处理中,建议先用pdfinfo或PyMuPDF判断PDF的类型:原生PDF(由Word等软件直接导出)还是扫描PDF(由扫描仪生成)。原生PDF中包含可直接提取的文字信息,可以优先使用文本提取方案;扫描PDF则完全依赖OCR,需要先进行图像预处理(去噪、纠偏、二值化等)来提升OCR的准确率。混合型PDF(部分页面是原生的、部分页面是扫描的)需要逐页判断并采用不同的处理策略。
分页处理策略也至关重要。对于超长文档,不建议一次性处理全部页面,而应该先进行目录解析和章节分割,确定文档的逻辑结构。然后按章节或段落为单位进行处理,在每个单元内部维护完整的上下文信息。对于跨页元素的检测,可以在分页处理后增加一个合并步骤:检查每一页的末尾和下一页的开头是否存在未完成的段落、表格或列表,如果存在则进行合并。这种”先分后合”的策略可以在保证处理效率的同时,最大程度地减少跨页信息的丢失。
7.2 表格提取的工程优化
表格提取在实际项目中需要多种方法的配合使用。对于原生PDF中的有线框表格,Camelot和Tabula等基于线条检测的工具效果很好。对于无线框表格,需要使用基于机器学习的表格检测和结构识别模型。建议的工程实践是:先用线条检测方法提取有线框表格,然后用深度学习模型检测是否存在遗漏的无线框表格,两种方法互为补充。对于识别结果,增加一个后处理的校验步骤:检查提取出的表格数据行数是否合理、每行的列数是否一致、数值单元格的格式是否正确等。
合并单元格的处理需要特别注意。在将表格转换为大语言模型可理解的文本格式时,合并单元格有两种处理策略:一是”展开”策略,将合并单元格的内容复制到其覆盖的每一个逻辑单元格中,使表格变为规则的矩形结构;二是”层级”策略,将表头的合并关系转换为层级化的属性描述(如”营业收入-主营业务收入-2024年”)。展开策略简单直接但可能引入冗余,层级策略信息紧凑但需要模型具备解析层级结构的能力。在实践中,建议对于简单表格使用展开策略,对于复杂的多层表头表格使用层级策略。
7.3 图文关联的实用方法
图文关联是将文档中的图片、图表与引用它们的正文文字建立对应关系。在工程实现中,可以采用基于规则和基于模型的混合方法。基于规则的方法利用图片标题中的编号(如”图3″、”Figure 5″)与正文中的引用标记进行匹配。基于模型的方法则使用大语言模型来理解图片内容和正文语义,判断它们之间的关联关系。对于规范的学术论文和技术报告,基于规则的方法通常就足够了;对于格式不规范的企业文档,可能需要模型辅助判断。
图表数据的提取是另一个实际需求。对于统计图表(柱状图、折线图、饼图等),可以使用专门的图表理解模型(如ChartQA、DePlot等)来提取图表中的数据。DePlot的思路特别值得借鉴:它将图表到数据的转换视为一个”图像到文本”的翻译任务,用训练好的视觉语言模型将图表图像直接翻译为描述数据的文本表格。这种方式避免了传统的图表元素检测和坐标映射的复杂流程,在很多场景下效果更好。
7.4 面向RAG的文档结构化
当混排文档的解析结果需要接入RAG系统进行问答时,文档的结构化表示直接影响检索和生成的效果。推荐的做法是将文档解析为”元素级”的结构化表示:每个文档元素(段落、表格、图片描述等)作为一个独立的检索单元,同时保留元素之间的顺序关系和引用关系。表格应该保持完整,不应该被拆分到多个检索块中。每个检索单元附带元数据信息,包括所属章节、页码、元素类型等,以便在检索时进行过滤。
对于表格的向量化,建议采用”表格标题加表格内容摘要”的形式进行向量化,而不是将整个表格的原始数据用于向量化。因为表格的原始数据(如一长串数字)在语义向量空间中的表示通常缺乏区分度,但表格的标题和内容摘要可以提供清晰的语义信号。在检索到相关的表格后,再将完整的表格数据提供给大语言模型进行精确的信息提取和推理。这种”摘要检索,全量推理”的策略可以有效地平衡检索精度和信息完整性。

式4:基于余弦相似度的语义检索公式,文档元素的向量化质量决定了检索效果
八、前沿方向与未来展望
8.1 高分辨率文档理解
当前多模态大模型在文档理解上的核心瓶颈之一是分辨率限制。标准的ViT视觉编码器通常处理224×224或448×448分辨率的图像,但一页A4文档在300 DPI下的分辨率约为2480×3508像素。巨大的分辨率差距导致了不可避免的信息损失。解决这一问题的前沿方向有几个:一是动态分辨率编码,如InternVL的Dynamic Resolution方案,根据文档内容的密度自适应地分配视觉token数量;二是区域裁切策略,将高分辨率文档裁切为多个局部区域分别编码,然后在高层进行融合;三是专门针对文档设计的高效视觉编码器,在较低的计算开销下保持更高的信息保真度。
ColPali是一个值得关注的新方向,它将文档页面理解建模为一个密集检索任务。不同于传统的先OCR再文本检索的流水线,ColPali直接对文档页面图像进行视觉编码,在视觉特征层面进行查询匹配。这种”视觉优先”的检索方式天然地保留了文档的版面信息和视觉上下文,对于包含大量图表和复杂版面的文档特别有效。在多个文档检索基准上,ColPali已经展示了优于传统文本检索方案的效果。
8.2 结构化输出的可靠性提升
大语言模型在生成自然语言文本方面表现优异,但在输出结构化数据(如JSON、HTML表格等)时往往不够可靠。格式错误、字段遗漏、数据错位等问题频繁出现。结构化输出的可靠性提升是当前研究的热点方向。受约束的解码策略(Constrained Decoding)通过在解码过程中施加语法约束,确保输出始终符合预定义的结构化格式。JSON Mode、Function Calling等大模型API特性正是这一方向的工程实现。
另一个方向是”生成加校验”的循环策略。模型首先生成一个结构化输出的初稿,然后用程序化的校验器检查输出的格式正确性和数据一致性,将校验发现的问题反馈给模型进行修正。这种循环可以迭代多次,直到输出满足所有约束条件。在表格数据提取中,校验规则可以包括:每行的列数是否一致、数值格式是否正确、汇总行的数据是否等于明细行的合计等。这种基于领域知识的校验可以有效地捕获模型的输出错误。
8.3 文档智能体
未来的混排文档理解系统很可能会演化为文档智能体(Document Agent)的形态。文档智能体不仅仅是被动地接收文档和问题然后给出答案,而是能够主动地进行多步文档分析。面对一份复杂的财务报告,智能体可以自主决定:先浏览目录确定文档结构,然后翻到特定的章节提取关键数据,接着跳转到附注核实数据来源,最后综合多个章节的信息给出完整的分析报告。这种多步、自主、目标导向的文档分析能力,是当前单次问答范式所无法达到的。
文档智能体的核心技术栈包括:文档页面导航(模型能够在多页文档中定位到需要查看的特定页面)、工具调用(调用OCR工具、表格提取工具、计算器等完成子任务)、记忆管理(在多步分析过程中管理中间结果和上下文信息)、以及规划推理(根据用户的分析目标制定合理的分析步骤)。这种智能体范式将混排文档理解从一个”输入-输出”的单点任务升级为一个”规划-执行-总结”的复杂认知过程。
九、典型应用场景与案例分析
9.1 金融领域:财报分析自动化
金融领域是混排文档理解需求最强烈的行业之一。一份上市公司的年度报告通常有两三百页,包含数十个复杂的财务表格、各种趋势图表和大量的文字说明。分析师需要从中提取关键财务指标、比较不同期间的数据变化、分析业务板块的表现。传统做法完全依赖人工阅读和手动录入,一份报告的分析可能需要数小时。自动化的混排文档理解系统可以将这个过程缩短到几分钟。
但金融场景对准确性的要求极高,一个数字的错误可能导致投资决策的失误。因此,金融场景的技术方案通常采用”自动提取加人工审核”的模式:系统自动解析文档并提取关键数据,同时标记置信度较低的数据项,由分析师对低置信度的结果进行人工核实。系统还需要提供数据溯源功能,让用户可以追溯每个提取数据的原始来源位置(具体到文档的第几页第几行),以便快速验证。
9.2 法律领域:合同审查智能化
合同文档是另一类典型的混排文档。一份复杂的商业合同可能包含正文条款、附件表格、签章图片、补充协议等多种元素。法律团队需要从中提取关键条款(如付款条件、违约责任、知识产权归属等)、识别潜在的风险点、比较不同版本之间的变更。混排文档理解技术可以自动完成条款提取和分类,标记出与标准模板不一致的条款,辅助律师进行合同审查。
合同审查场景的特殊挑战在于法律文本的专业性和精确性要求。”甲方应在收到乙方发票后三十个工作日内支付”与”甲方应在收到乙方发票后三十个日历日内支付”看似差异微小,但法律含义完全不同。模型需要精确地理解和区分这些细微的措辞差异。此外,合同中的表格(如价格表、服务清单等)通常与正文条款之间存在复杂的引用关系,正确解析这些引用关系是合同理解的关键挑战。
9.3 科研领域:论文自动解析
学术论文是混排文档的典型代表,通常包含双栏排版的正文、数学公式、实验数据表格、结果可视化图表和参考文献列表。科研人员每天需要阅读大量论文来了解领域前沿,但人工阅读的效率有限。自动化的论文解析系统可以提取论文的结构化信息(标题、摘要、章节、图表、参考文献等),生成内容摘要,甚至自动对比多篇论文之间的方法差异和实验结果。
Nougat是这个方向上的一个代表性工作,它使用端到端的视觉-语言模型将学术论文的PDF页面直接转换为Markdown格式的结构化文本,包括数学公式的LaTeX表示。Nougat在学术论文解析上展现了良好的效果,但在处理非学术类型的文档时效果会显著下降,说明专门化的模型在特定领域可能比通用大模型更有优势。这也暗示了一个重要的工程选择:在可以明确定义文档类型的场景中,训练领域专用的文档理解模型可能比使用通用大模型更加高效和可靠。

图5:金融、法律、科研、制造四大典型应用场景及其推荐技术方案
十、总结与未来展望
让大模型读懂PDF、表格、图片混排文档,难点不在任何单一的技术环节,而在于多层次复杂性的叠加效应。文档格式编码的底层差异、版面布局的多样性、表格结构的复杂性、图文关联的跨模态推理需求、以及长文档的全局连续性,这五大难点层层递进、相互交织,构成了一个远比纯文本理解或纯图像理解更加复杂的系统工程问题。
从技术方案来看,管线式方案成熟可控但受制于误差累积,端到端多模态大模型方案潜力巨大但在精确性和成本上仍有不足,混合方案在当前阶段是最务实的选择。在模型演进上,从依赖OCR的第一代模型到端到端视觉理解的第三代模型,文档理解能力在持续提升,但距离在所有场景下都达到人类水平仍有相当的差距。高分辨率视觉编码、结构化输出可靠性、文档智能体等前沿方向正在为这些差距提供解决路径。
对于正在做混排文档理解项目的工程师,我们的核心建议是:第一,充分理解目标文档的特征,不同类型的文档需要不同的处理策略;第二,重视文档预处理和中间表示的设计,这些”不起眼”的环节往往决定了整体效果的上限;第三,建立完善的评估体系,从文本提取准确率、表格识别F1值、问答准确率等多个维度来衡量系统的效果;第四,采用渐进式的技术路线,先用传统方法解决八十分的问题,再用大模型解决最后二十分的难题。
混排文档理解是一个正处于快速发展阶段的技术领域。随着多模态大模型能力的持续提升、高分辨率视觉编码技术的突破、以及文档智能体范式的成熟,我们有理由相信,让大模型真正读懂复杂混排文档的目标将在未来几年内取得实质性的进展。但在那之前,深入理解这些难点所在、选择合适的技术方案、做好工程细节的打磨,才是在当下取得好效果的正确路径。关注元驱智AI算法实验室,获取更多文档智能与多模态大模型的技术干货。
夜雨聆风