当前位置:首页>文档>专练60_2025高中教辅(后续还会更新新习题试卷)_2025高中全科《微专题·小练习》_2025高中全科《微专题小练习》_2025版·微专题小练习·生物学·不定项

专练60_2025高中教辅(后续还会更新新习题试卷)_2025高中全科《微专题·小练习》_2025高中全科《微专题小练习》_2025版·微专题小练习·生物学·不定项

  • 2026-04-09 06:35:51 2026-02-02 04:55:49

文档预览

专练60_2025高中教辅(后续还会更新新习题试卷)_2025高中全科《微专题·小练习》_2025高中全科《微专题小练习》_2025版·微专题小练习·生物学·不定项
专练60_2025高中教辅(后续还会更新新习题试卷)_2025高中全科《微专题·小练习》_2025高中全科《微专题小练习》_2025版·微专题小练习·生物学·不定项
专练60_2025高中教辅(后续还会更新新习题试卷)_2025高中全科《微专题·小练习》_2025高中全科《微专题小练习》_2025版·微专题小练习·生物学·不定项
专练60_2025高中教辅(后续还会更新新习题试卷)_2025高中全科《微专题·小练习》_2025高中全科《微专题小练习》_2025版·微专题小练习·生物学·不定项
专练60_2025高中教辅(后续还会更新新习题试卷)_2025高中全科《微专题·小练习》_2025高中全科《微专题小练习》_2025版·微专题小练习·生物学·不定项
专练60_2025高中教辅(后续还会更新新习题试卷)_2025高中全科《微专题·小练习》_2025高中全科《微专题小练习》_2025版·微专题小练习·生物学·不定项

文档信息

文档格式
docx
文档大小
0.080 MB
文档页数
3 页
上传时间
2026-02-02 04:55:49

文档内容

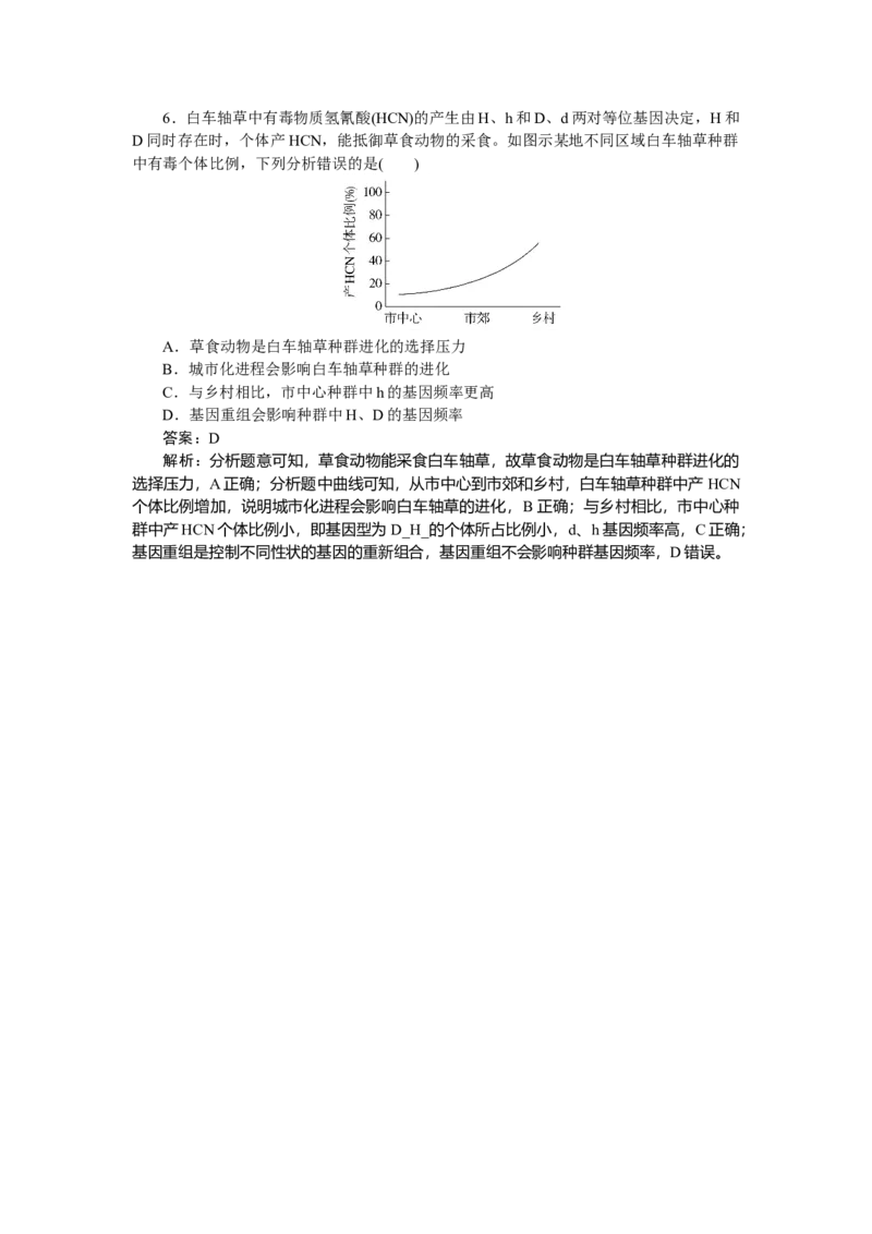
专练 60 种群基因组成的变化与物种的形成 授课提示:对应学生用书75页 1.[2024·湖北卷]某二倍体动物的性别决定方式为ZW型,雌性和雄性个体数的比例为 1∶1。该动物种群处于遗传平衡,雌性个体中有 1/10患甲病(由Z染色体上h基因决定)。 下列叙述正确的是( ) A.该种群有11%的个体患该病 B.该种群h基因的频率是10% C.只考虑该对基因,种群繁殖一代后基因型共有6种 D.若某病毒使该种群患甲病雄性个体减少10%,H基因频率不变 答案:B 解析:由于该动物种群处于遗传平衡,其性别决定方式为 ZW型,雌性和雄性个体数 的比例为1∶1,雌性个体有1/10患甲病(由Z染色体上h基因决定),所以雌性中ZhW个体 占1/10,ZHW个体占9/10,见下表。 精子 1/10Zh 9/10ZH 卵细胞 1/20Zh 1/200ZhZh 9/200ZHZh 9/20ZH 9/200ZHZh 81/200ZHZH 1/2W 1/20ZhW 9/20ZHW 该种群患病个体为ZhZh和ZhW,所占比例为5.5%,A错误;该种群h基因的频率与雌 性个体中ZhW的基因型频率相同,都是10%,B正确;只考虑该对基因,种群繁殖一代后 基因型共有5种,C错误;若某病毒使该种群患甲病雄性个体减少 10%,则H基因频率增 加,D错误。 2.下列有关种群和物种的叙述,错误的是( ) A.种群是生物进化的基本单位,也是生物繁殖的基本单位 B.种群的范围大于物种,一个种群可包含几个不同的物种 C.物种的形成不一定经过地理隔离,但一定形成生殖隔离 D.种群之间不存在生殖隔离,一旦种群间存在生殖隔离,就成了不同的物种 答案:B 解析:种群是生物进化的基本单位,也是生物繁殖的基本单位,A正确;物种的范围 大于种群,一个物种可包含几个不同的种群,B错误;物种的形成不一定经过地理隔离, 但一定形成生殖隔离,C正确;种群之间不存在生殖隔离,如果两个种群之间存在生殖隔 离,就属于两个物种了,D正确。 3.北京冬奥会吉祥物“冰墩墩”,大熊猫是其设计原型。大熊猫最初是食肉动物,经 过进化,其99%的食物都来源于竹子。现有一个较大的熊猫种群中雌雄数量相等,且雌雄 之间可以自由交配,若该种群中B的基因频率为60%,b的基因频率为40%,不考虑突变、 迁移及自然选择,则下列有关说法正确的是( ) A.若该对等位基因位于常染色体上,则BB雌熊猫概率约为48% B.若该对等位基因只位于 X染色体上,则XBXB、XBY的基因型频率分别为 8%、 20%C.大熊猫种群中所有个体的B和b基因构成了该种群的基因库 D.大熊猫由以肉为食进化为以竹子为食的实质是种群基因型频率的定向改变 答案:B 解析:若该对等位基因位于常染色体上,则BB雌熊猫概率约为60%×60%/2=18%, A错误;若该对等位基因只位于X染色体上,在雌性个体中,XBXB为40%×40%=16%, 在雄性个体中,XBY为40%,而雌雄数量相等,所以该种群中XBXB、XBY的基因型频率分 别为8%、20%,B正确;该动物种群中全部基因的总和构成其基因库,而不仅仅是该动物 种群中全部B和b的总和,C错误;生物进化的实质是种群基因频率的改变,自然选择是 定向的,所以大熊猫由以肉为食进化为以竹子为食的实质是种群基因频率的定向改变,D 错误。 4.如表所示为某物种迁入新环境后,某对等位基因的基因频率变化情况,由这些数据 不能得出的结论是( ) 年份 1900 1910 1920 1930 1940 1950 1960 1970 项目 A基因的频率 0.99 0.81 0.64 0.49 0.36 0.25 0.16 0.10 a基因的频率 0.01 0.19 0.36 0.51 0.64 0.75 0.84 0.90 A.由于种群基因频率发生了改变,该种群发生了进化 B.a基因控制的性状可能更适应新环境 C.1970年,该种群中Aa的基因型频率一定为0.18 D.基因频率的改变是通过环境对生物个体性状的选择实现的 答案:C 解析:由题表中数据可知,A基因的频率不断减小,a基因的频率不断增加,即种群 基因频率发生了改变,该种群发生了进化,A正确;a基因的频率不断增加,说明a基因控 制的性状可能更适应新环境,B 正确;理论上,1970 年该种群 Aa 的基因型频率为 2×0.10×0.90=0.18,但如果该物种受到某些因素的影响,如该物种个体之间不能自由交 配并产生后代或者A(或a)基因产生突变等,则Aa的基因型频率不一定是0.18,C错误; 基因频率的改变是通过环境对生物个体性状的选择实现的,D正确。 5.甲海岛的某种鸟部分迁徙到相互隔绝的乙、丙两海岛上,如图为刚迁入时和多年后 决定羽毛颜色相关基因的调查结果(B-黑色、B -黄色、b-灰色)。下列推测正确的是( 1 ) A.三个海岛上的这种鸟因长期地理隔离导致生殖隔离 B.基因B、B 、b构成了种群基因库 1 C.甲、丙两个海岛环境决定羽毛颜色朝不同方向进化 D.乙岛上B 基因的出现是羽毛颜色基因发生定向突变的结果 1 答案:C 解析:结合图示可知,乙和丙岛上的这种鸟都发生了进化,据此可推测三个海岛上的 这种鸟因长期地理隔离可能导致生殖隔离,但是不一定存在生殖隔离,A错误;基因库是 指种群内所有个体含有的全部基因,因此,基因 B、B 、b不能构成该种群的基因库,B错 1 误;自然选择决定生物进化的方向,即甲、丙两个海岛上的这种鸟的羽毛颜色朝不同方向 进化,是由环境决定的,C正确;基因突变是不定向的,D错误。6.白车轴草中有毒物质氢氰酸(HCN)的产生由H、h和D、d两对等位基因决定,H和 D同时存在时,个体产HCN,能抵御草食动物的采食。如图示某地不同区域白车轴草种群 中有毒个体比例,下列分析错误的是( ) A.草食动物是白车轴草种群进化的选择压力 B.城市化进程会影响白车轴草种群的进化 C.与乡村相比,市中心种群中h的基因频率更高 D.基因重组会影响种群中H、D的基因频率 答案:D 解析:分析题意可知,草食动物能采食白车轴草,故草食动物是白车轴草种群进化的 选择压力,A正确;分析题中曲线可知,从市中心到市郊和乡村,白车轴草种群中产 HCN 个体比例增加,说明城市化进程会影响白车轴草的进化,B正确;与乡村相比,市中心种 群中产HCN个体比例小,即基因型为D_H_的个体所占比例小,d、h基因频率高,C正确; 基因重组是控制不同性状的基因的重新组合,基因重组不会影响种群基因频率,D错误。