当前位置:首页>文档>1999年数学一解析_数学一真题+解析[87-25]_数学一解析

1999年数学一解析_数学一真题+解析[87-25]_数学一解析

  • 2026-04-12 07:58:41 2026-02-04 17:49:28

文档预览

1999年数学一解析_数学一真题+解析[87-25]_数学一解析
1999年数学一解析_数学一真题+解析[87-25]_数学一解析
1999年数学一解析_数学一真题+解析[87-25]_数学一解析
1999年数学一解析_数学一真题+解析[87-25]_数学一解析
1999年数学一解析_数学一真题+解析[87-25]_数学一解析
1999年数学一解析_数学一真题+解析[87-25]_数学一解析
1999年数学一解析_数学一真题+解析[87-25]_数学一解析
1999年数学一解析_数学一真题+解析[87-25]_数学一解析
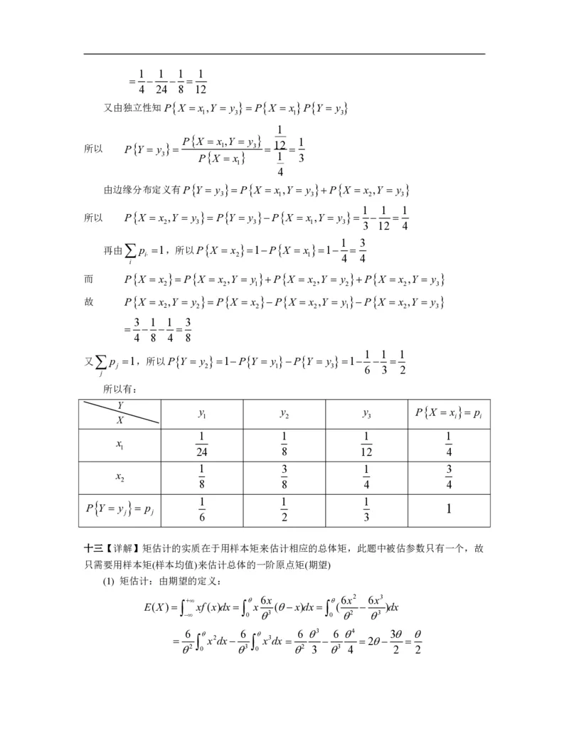
1999年数学一解析_数学一真题+解析[87-25]_数学一解析
1999年数学一解析_数学一真题+解析[87-25]_数学一解析
1999年数学一解析_数学一真题+解析[87-25]_数学一解析
1999年数学一解析_数学一真题+解析[87-25]_数学一解析
1999年数学一解析_数学一真题+解析[87-25]_数学一解析
1999年数学一解析_数学一真题+解析[87-25]_数学一解析
1999年数学一解析_数学一真题+解析[87-25]_数学一解析
1999年数学一解析_数学一真题+解析[87-25]_数学一解析
1999年数学一解析_数学一真题+解析[87-25]_数学一解析
1999年数学一解析_数学一真题+解析[87-25]_数学一解析

文档信息

文档格式
pdf
文档大小
0.309 MB
文档页数
14 页
上传时间
2026-02-04 17:49:28

文档内容

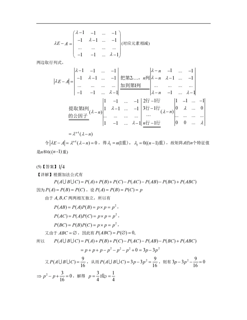
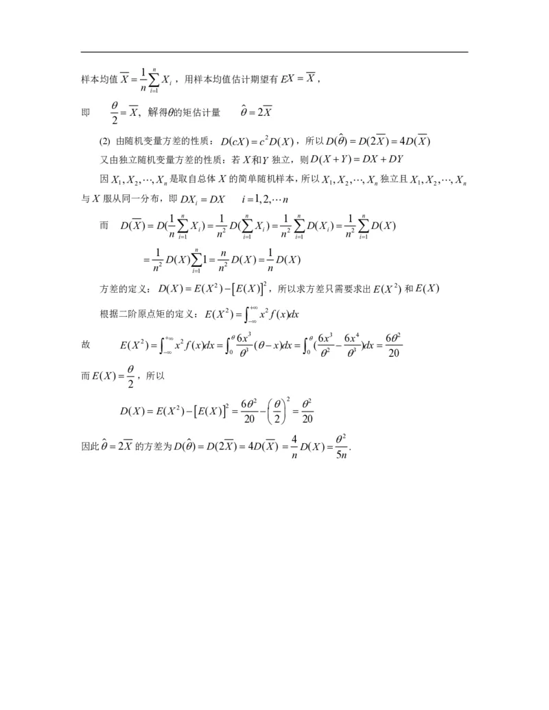
1999年全国硕士研究生入学统一考试数一试题解析 一、填空题(本题共5个小题,每小题3分,满分15分.把正确答案填写在题中横线上.) 1 (1)【答案】 . 3 【分析】利用x0的等价变换和洛必达法则求函数极限. 【详解】  1 1  tanxx tanxx 方法1:lim    lim tanx xlim x0 x2 xtanx x0 x2 tanx x0 x3 sec2 x1 tan2 x x2 1 洛lim lim tanx xlim  x0 3x2 x0 3x2 x03x2 3  1 1   1 cosx  sinxxcosx 方法2:lim    lim    lim x0 x2 xtanx x0 x2 xsinx x0 x2sinx sinxxcosx cosxcosxxsinx sinx 1 sinx xlim 洛lim lim  x0 x3 x0 3x2 x0 3x 3 (2)【答案】sinx2 d b 【分析】欲求  (x,t)dt ,唯一的办法是作变换,使含有(x,t)中的x“转移”到之外 dx a 【详解】令u xt,则dt du,所以有 d  x sin(xt)2dt  d  0 sinu2 du  d  x sinu2du sinx2 dx 0 dx x dx 0  1  (3)【答案】 y Ce2x   C  x  e2x,其中C ,C 为任意常数. 1  2 4  1 2 【分析】先求出对应齐次方程的通解,再求出原方程的一个特解. 【详解】原方程对应齐次方程y"4y 0的特征方程为:2 40,解得 2, 2,故 1 2 y"4y 0的通解为y Ce2x C e2x, 1 1 2 由于非齐次项为 f(x)e2x,因此原方程的特解可设为y*  Axe2x,代入原方程可求得 1  1  A ,故所求通解为y  y  y* Ce2x   C  x  e2x 4 1 1  2 4  (4)【详解】因为1 1 ... 1    1 1 ... 1 E A    (对应元素相减)  ... ... ... ...     1 1 ... 1 两边取行列式, 1 1 ... 1 n 1 ... 1 1 1 ... 1 把第2,,n列n 1 ... 1 EA  ... ... ... ... 加到第1列 ... ... ... ... 1 1 ... 1 n 1 ... 1 1 1 ... 1 2行1行 1 1 ... 1 提取第1列 1 1 ... 1 3行1行 0  ... 0 (n) (n) 的公因子 ... ... ... ...  ... ... ... ... 1 1 ... 1 n行1行 0 0 ...  n-1(n) 令EA n-1(n)0,得n(1重), 0((n1)重),故矩阵A的n个特征值 1 2 是n和0((n-1)重) (5)【答案】1 4 【详解】根据加法公式有 P(ABC) P(A)P(B)P(C)P(AC)P(AB)P(BC)P(ABC) 因为P(A) P(B) P(C),设P(A) P(B) P(C) p 由于A,B,C两两相互独立,所以有 P(AB) P(A)P(B) p p  p2, P(AC) P(A)P(C) p p  p2, P(BC) P(B)P(C) p p  p2, 又由于ABC ,因此有P(ABC) P()0, 所以 P(ABC) P(A)P(B)P(C)P(AC)P(AB)P(BC)P(ABC)  p p p p2 p2  p2 0  3p3p2 9 9 9 又P(ABC) ,从而P(ABC)3p3p2  ,则有3p3p2 0 16 16 16 3 3 1  p2  p 0,解得 p 或p 16 4 41 1 1 因P(A) P(B) P(C) p ,故 p ,即P(A) 2 4 4 二、选择题 (1)【答案】(A) 【详解】应用函数定义判定函数的奇偶性、周期性和单调性. x f (x)的原函数F(x)可以表示为F(x) f(t)dtC,于是 0 x ut x F(x) f(t)dtC   f(u)duC. 0 0 当 f (x)为奇函数时, f (u)f(u),从而有 x x F(x) f(u)duC  f(t)dtC  F(x) 0 0 即 F(x) 为偶函数. 故(A)为正确选项. (B)、(C)、(D)可分别举反例如下: 1 f(x) x2是偶函数,但其原函数F(x) x31不是奇函数,可排除(B); 3 1 1 f(x)cos2 x是周期函数,但其原函数F(x) x sin2x不是周期函数,可排除(C); 2 4 1 f (x) x在区间(,)内是单调增函数,但其原函数F(x) x2在区间(,)内 2 非单调增函数,可排除(D). (2)【答案】(D) 【详解】由于可导必连续,连续则极限必存在,可以从函数可导性入手. 1 x2 f(x) f(0) 1cosx 2 因为 f(0) lim  lim  lim 0,  x0 x0 x0 x x x0 x x f(x) f(0) x2g(x) f(0) lim  lim  lim xg(x)0,  x0 x0 x0 x x0 从而, f(0)存在,且 f(0)0,故正确选项为(D). (3)【答案】(C) 【详解】由题设知,应先将 f (x)从[0,1)作偶延拓,使之成为区间[−1,1]上的偶函数,然后再作 周期(周期2)延拓,进一步展开为傅里叶级数, 5 1 1 1 S( )S(2 )S( )S( ) 2 2 2 21 而x 是 f (x)的间断点,按狄利克雷定理有, 2 1 1 1 f( 0) f( 0) 1 1 3 2 2 2 S( )   . 2 2 2 4 (4)【答案】B 【详解】 方法1:A是mn矩阵,B是nm矩阵,则AB是m阶方阵,因 r(AB)minr(A),r(B)minm,n . 当mn时,有r(AB)min[r(A),r(B)]nm.((AB)x0的系数矩阵的秩小于未知 数的个数),故有行列式 AB 0,故应选(B). 方法2:B是nm矩阵, 当mn时, 则r(B)n (系数矩阵的秩小于未知数的个数) ,方程 组Bx0必有非零解,即存在x 0,使得Bx  0,两边左乘 A,得 ABx 0,即 0 0 0 ABx0有非零解,从而 AB 0,故选(B). 方法3:用排除法 1 0 0 (A)mn,取A    ,B 0 0, AB   , AB 0,(A)不成立 mn 0 nm 0 0 0 (C)nm,取A 1 0,B    , AB 0, AB 0,(C)不成立 mn nm 1 1 (D)nm,取A 1 0,B    , AB 1, AB 1,(D)不成立,故选(B). mn nm 0 (5)【答案】B 【详解】 根据正态分布的性质:服从正态分布的独立随机变量的线性组合仍服从正态分布. 因X和Y 相互独立,且X ~ N(0,1),Y ~ N(1,1),所以 T  X Y ~ N(u ,2), T  X Y ~ N(u ,2) 1 1 1 2 2 2 其中u  E(X Y),2 D(X Y),u  E(X Y) ,2 D(X Y) 1 1 2 2 由期望的性质:E(T) E(X Y) EX EY 011, 1 E(T ) E(X Y) EX EY 011 2 由独立随机变量方差的性质:D(T) D(X Y) DX DY 112 1 D(T ) D(X Y) DX DY 112 2所以 T  X Y ~ N(1,2),T  X Y ~ N(1,2) 1 2 (一般来说遇到正态分布的小题,主要就考两点,标准化和对称性,考虑问题也是从这两点 出发) 1 A选项:PX Y 0 . 因T  X Y ~ N(1,2) 2 1 X u 由标准化的定义:若X ~ N(u,2),则 ~ N(0,1)  X Y 1 所以,  N(0,1),将其标准化有 2 X Y 1 01 X Y 1 1  PX Y 0 P   P    2 2   2 2 (保证变换过程中概率不变,所以不等号的左边怎么变,右边也同样的变化) 又因为标准正态分布图像是关于 y轴对称,所以 X Y 1  1 X Y 1 1  1 P 0 ,而P   ,所以A错.  2  2  2 2 2 1 B选项:PX Y 1 . 2 X Y 1 11 X Y 1  1 将其标准化有:P   P 0 (根据标准正态分布的对称性)  2 2   2  2 故B正确. 1 C选项:PX Y 0 . 2 X Y (1) 0(1) X Y 1 1  1 将其标准化有:P   P   ,故C错.  2 2   2 2 2 1 D选项:PX Y 1 . 2 X Y (1) 1(1) X Y 1 2  1 将其标准化有:P   P   ,故D错.  2 2   2 2 2 三【详解】分别在z  xf (x y)和F(x,y,z)0的两端对x求导数,得 dz  dy  f (x,y)x 1 f(x,y)    dx  dx   FF dy F dz 0  x y dx z dx dy dz xf(x,y)   f(x,y)xf(x,y)   dx dx 整理后得  dy dz  F F F  y dx z dx x 解此方程组,得 xf f xf dz F F (f xf)FxfF   y x  y z ,(FxfF 0) dx xf 1 FxfF  y z y z F F y z 四【详解】 方法1:凑成闭合曲线,应用格林公式. 添加从点O(0,0)沿 y 0到点A2a,0的有向直 线段L , 如图,则 1 I   exsin yb(x y)  dx  excosyax  dy LL 1   exsin yb(x y)  dx  excosyax  dy L 1 利用格林公式,前一积分 Q P  I   dxdy (ba)dxdy  a2(ba)   1  x y  2 D D 其中D为L +L所围成的半圆域,后一积分选择x为参数,得L : 1 1 x x  ,0 x2a, y 0 2a    可直接积分 I  (bx)dx2a2b,故 I  I I   2  a2b a3. 2 0 1 2  2  2 方法2:将曲线积分分成两部分,其中一部分与路径无关,余下的积分利用曲线的参数方程计算. I   exsin yb(x y)  dx  excosyax  dy L  exsin ydxexcosydy b(x y)dxaxdy L L 前一积分与路径无关,所以 (0,0)  exsin ydxexcosydy exsin y 0 L (2a,0) 对后一积分,取L的参数方程xaacost dxasintdt  ,则 ,t从0到,得  y asint dy acostdt  b(x y)dxaxdy L   (a2bsinta2bsintcosta2bsin2ta3costa3cos2t)dt 0 1 1 2a2b a2b a3 2 2 1 1    从而 I 0(2a2b a2b a3)  2  a2b a3 2 2  2  2 五【详解】如图,曲线 y  y(x)上点P(x,y)处的切线方程为Y  y(x) y(x)(X x)  y  所以切线与x轴的交点为 x ,0    y'  由于y'(x)0,y(0)1,因此y(x)0 (x0) 1  y  y2 于是 S  y x  x   . 1 2  y' 2y' x 又S  y(t)dt, 2 0 根据题设2S S 1, 即 2 y2  x y(t)dt 1,两边对x求导并化简得 yy"y'2 1 2 2y' 0 dp dp dy dp 这是可降阶得二阶常微分方程,令 p y,则y    p , dx dy dx dy dp dp dy dy 则上述方程可化为 yp  p2,分离变量得  ,解得 p C y,即 C y, dy p y 1 dx 1 从而有 y Cex C ,根据 y(0)1,y'(0)1,可得C 1,C 0, 1 2 1 2 故所求曲线得方程为 y ex 六【详解】构造函数,利用函数的单调性, 证法1:令 f (x)  x21  lnxx12 .易知 f (1)0 1 又 f(x)2xlnxx2 , f(1)0 x 1 f(x)2lnx1 , f(1)20 x22(x2 1) f(x) x3 f(x)0 f(x)0 可见,当0 x1时, ;当1 x 时,  f(x)  f(x) 因此, f(1)2为 f(x)的最小值,即当0 x时, f(x) f(1)20,所 以 f(x)为单调增函数. 又因为 f(1)0,所以有 0 x1时 f(x)0 ;1 x 时 f(x)0, 所以利用函数单调性可知, (f 1)为 f (x)的最小值,即 f(x) f(1)0 所以有x0时,  x2 1  lnxx12 . 证法2:先对要证的不等式作适当变形,当x1时,原不等式显然成立; x1 当0 x1时,原不等式等价于lnx ; x1 x1 当1 x时,原不等式等价于lnx ; x1 x1 令 f(x)lnx x1 1 2 x2 1 则 f(x)   0x0 x x12 xx12 又因为 f (1)0,利用函数单调性可知 x1 x1 当0 x1时,f(x)0,即lnx ;当1 x 时,f(x)0,即lnx ; x1 x1 综上所述,当x0时,  x2 1  lnxx12 . 七【详解】建立坐标轴如图所示, 解法1:将抓起污泥的抓斗提升至井口需做功W W W W ,其中W 是克服抓斗自重所作 1 2 3 1 的功;W 是克服缆绳重力作的功;W 为提出污泥所作的功. 由题意知 2 3 W 400N30m12000J. 1 将抓斗由x处提升到xdx处,克服缆绳重力所作的功为 dW = 缆绳每米重×缆绳长×提升高度 2 50(30x)dx, 30 从而 W  50(30x)dx22500J. 2 0 在时间间隔[t,tdt]内提升污泥需做功为dW (原始污泥重漏掉污泥重)提升高度(3dt) 3 (200020t)3dt 30m 将污泥从井底提升至井口共需时间 10s, 3m/s 10 所以 W  3(200020t)dt 57000J. 3 0 因此,共需做功 W W W W (120002250057000)J 91500J 1 2 3 解法2:将抓起污泥的抓斗提升至井口需做功记为W ,当抓斗运动到x处时,作用力 f (x) 包括 x 抓斗的自重400N , 缆绳的重力50(30x)N, 污泥的重力(2000 20)N, 3 20 170 即 f(x)40050(30x)2000 x3900 x, 3 3 30 170  85 于是 W   3900 x  dx3900x x2 30 1170002450091500J 0  3  3 0 八【分析】先写出切平面方程,然后求(x,y,z),最后将曲面积分化成二重积分.  【详解】点P(x,y,z)S ,S 在点P处的法向量为nx,y,2z,设(X,Y,Z)为上任意一 点,则的方程为 x y x(X x) y(Y  y)2z(Z z)0,化简得 X  Y zZ 1 2 2 由点到平面的公式,O(0,0,0)到的距离 x y x yzz 1  AxByCz 2 2  x2 y2  2 (x,y,z)    z2  A2 B2 C2 x y  4 4  ( )2 ( )2 z2 2 2 z x2 y2 从而  dS z  z2dS (x,y,z) 4 4 S S 用投影法计算此第一类曲面积分,将S 投影到xOy平面,其投影域为D  (x,y)|x2  y2 2   x2 y2  由曲面方程知z  1  ,(x,y)D, 于是  2 2  z x z y  ,  , x  x2 y2  y  x2 y2  2 1  2 1       2 2   2 2 z 2 z 2 4x2 y2 因此 dS  1      d d x y  x2 y2  2 1     2 2  z x2 y2 故有  dS z  z2dS (x,y,z) 4 4 S S  1   4x2  y2 d极坐标 1  2 d 2 (4r2)rdr  3 . 4 4 0 0 2 D 1 1  1  九【详解】(1) 因为 a a   4tann x(1tan2 x)dx 4tann xsec2 xdx n n n2 n 0 n 0 1  tanxt 1 1 1  4tann xd tanx   tndt  n 0 n 0 n(n1) 又由部分和数列 n 1 n 1 n 1 1 1 S  a a  (  )1 , n i i i2 i(i1) i i1 n1 i1 i1 i1 有 limS 1, n n  1 因此  a a 1. n n n2 n1 (2) 先估计a 的值,因为 n  dt a 4tann xdx,令t  tanx,则dt sec2 xdx,即dx n 0 1t2 1 tn 1 1 所以 a   tndt  , n 01t2 0 n1 a 1 1 所以 n   , n n(n1) n1  1  a 由于10,所以 收敛,从而 n 也收敛. n1 n n1 n1 十【详解】根据题设,A*有一个特征值,属于的一个特征向量为(1,1,1)T, 根据 0 0 特征值和特征向量的概念,有 A*, 0 把 A 1代入AA*  A E中,得AA*  A E E,则AA*E. 把A* 0 代入,于是 AA* AA, 即A 0 0 0 a 1 c 1 1  a1c  1          也即 5 b 3 1  1 , 5b3  1 0      0    1c 0 a 1   1  (1c)a  1            a1c    常数乘以矩阵 5b3 ,需用乘以矩阵的每一个元素 0   0 (1c)a    a1c  (a1c)  1 0        5b3  (5b3)  1 0   0    (1c)a [(1c)a]  1        0 矩阵相等,则矩阵的对应元素都相同,可得 (a1c)1(1) 0  (5b3)1(2) 0  (1ca)1 0 A 因 A 10, A的特征值0,A*的特征值*  0,故 0  0 由(1),(3)两式得 (a1c)(1ca), 0 0 两边同除,得 a1c(1ca) 0 整理得ac,代入(1)中,得 1. 再把 1代入(2)中得b3 0 0 又由 A 1,b3以及ac,有 a 1 a a 1 a a a1 a A  5 3 3 3行1行 5 3 3 2列1列 5 2 3 1a 0 a 1 1 0 1 0 0 a1 a 按第3行展开(1)31 (其中(1)31的指数3,1分别是1的行数和列数) 2 3 3(a1)2a a31 故 ac 2, 因此a2,b3,c2, 1. 0 十一【详解】 “必要性”. 设BTAB为正定矩阵,则由定义知,对任意的实n维列向量x0,有 xT  BTAB  x0, 即BxT ABx0,于是,Bx0,即对任意的实n维列向量x0,都有 Bx0.(若Bx0,则 A(Bx) A00矛盾). 因此,Bx0只有零解,故有rBn(Bx0有唯一零解的充要条件是rBn). “充分性”. 因A为m阶实对称矩阵,则AT  A,故  BTAB T  BTATB BTAB,根据 实对称矩阵的定义知BTAB也为实对称矩阵. 若rBn,则线性方程组Bx0只有零解, 从而对任意的实n维列向量x0,有Bx0. 又A为正定矩阵,所以对于Bx0有 BxT ABx xT  BTAB  x0, 故BTAB为正定矩阵(对任意的实n维列向量x0,有 xT  BTAB  x0). 十二【详解】离散型随机变量边缘分布律的定义: p  PX  xP  X  x,Y  y   p ,i 1,2, i i i j ij j j p  P  Y  y  P  X  x ,Y  y   p , j 1,2, j j i j ij i i (通俗点说就是在求关于X 的边缘分布时,就把对应x的所有y都加起来,同理求关于Y 的边 缘分布时,就把对应 y的所有x都加起来) 故 PY  y  p PX  x ,Y  y  p 即 1 1 i 1 i1  i i PY  y  PX  x ,Y  y PX  x ,Y  y  1 1 1 2 1 1 1 而由表知PY  y  ,PX  x ,Y  y  ,所以 1 6 2 1 8 1 1 1 PX  x ,Y  y  PY  y PX  x ,Y  y    1 1 1 2 1 6 8 24 又根据X和Y 相互独立,则有: P  X  x,Y  y   PX  xP  Y  y  即 p  p p i j i j ij i j 1 1 因PX  x ,Y  y  ,PY  y  ,而PX  x ,Y  y  PX  x PY  y  1 1 24 1 6 1 1 1 1 1 PX  x ,Y  y  1 所以PX  x 1 1  24  1 PY  y  1 4 1 6 再由边缘分布的定义有 PX  x PX  x ,Y  yPX  x ,Y  y PX  x ,Y  y 1 1 1 1 2 1 3 所以 PX  x ,Y  y  PX  xPX  x ,Y  y PX  x ,Y  y  1 3 1 1 1 1 21 1 1 1     4 24 8 12 又由独立性知PX  x ,Y  y  PX  xPY  y 1 3 1 3 1 PX  x ,Y  y  1 所以 PY  y   1 3  12  3 PX  x 1 3 1 4 由边缘分布定义有PY  y  PX  x ,Y  y PX  x ,Y  y  3 1 3 2 3 1 1 1 所以 PX  x ,Y  y  PY  y PX  x ,Y  y    2 3 3 1 3 3 12 4 1 3 再由 p 1,所以PX  x 1PX  x 1  i 2 1 4 4 i 而 PX  x  PX  x ,Y  y PX  x ,Y  y PX  x ,Y  y  2 2 1 2 2 2 3 故 PX  x ,Y  y  PX  x PX  x ,Y  y PX  x ,Y  y  2 2 2 2 1 2 3 3 1 1 3     4 8 4 8 1 1 1 又 p 1,所以PY  y 1PY  yPY  y 1   j 2 1 3 6 3 2 j 所以有: Y y y y PX  x p X 1 2 3 i i 1 1 1 1 x 1 24 8 12 4 1 3 1 3 x 2 8 8 4 4 1 1 1   P Y  y  p 1 j j 6 2 3 十三【详解】矩估计的实质在于用样本矩来估计相应的总体矩,此题中被估参数只有一个,故 只需要用样本矩(样本均值)来估计总体的一阶原点矩(期望) (1) 矩估计:由期望的定义:   6x  6x2 6x3 E(X) xf(x)dx x (x)dx (  )dx  0 3 0 2 3 6  6  6 3 6 4 3    x2dx  x3dx   2  2 0 3 0 2 3 3 4 2 21 n 样本均值X  X ,用样本均值估计期望有EX  X , n i i1   即  X, 解得θ的矩估计量 2X 2 (2) 由随机变量方差的性质:D(cX)c2D(X),所以D(  ) D(2X)4D(X) 又由独立随机变量方差的性质:若X和Y 独立,则D(X Y) DX DY 因X ,X ,,X 是取自总体X 的简单随机样本,所以X ,X ,,X 独立且X ,X ,,X 1 2 n 1 2 n 1 2 n 与X 服从同一分布,即DX  DX i 1,2,n i 1 n 1 n 1 n 1 n 而 D(X) D( X ) D(X ) D(X ) D(X) n i n2 i n2 i n2 i1 i1 i1 i1 1 n n 1  D(X)1 D(X) D(X) n2 n2 n i1 方差的定义:D(X) E(X2)E(X)2 ,所以求方差只需要求出E(X 2)和E(X)  根据二阶原点矩的定义:E(X2) x2f(x)dx   6x3  6x3 6x4 62 故 E(X2) x2f(x)dx (x)dx (  )dx  0 3 0 2 3 20  而E(X) ,所以 2 62  2 2 D(X) E(X2)E(X)2      20 2 20 4 2   因此2X 的方差为D() D(2X)4D(X)  D(X) . n 5n