当前位置:首页>文档>数学(山东济南卷)(参考答案及评分标准)_2数学总复习_赠送:2024中考模拟题数学_二模_数学(山东济南卷)-:2024年中考第二次模拟考试

数学(山东济南卷)(参考答案及评分标准)_2数学总复习_赠送:2024中考模拟题数学_二模_数学(山东济南卷)-:2024年中考第二次模拟考试

  • 2026-04-11 09:25:27 2026-02-05 23:49:44

文档预览

数学(山东济南卷)(参考答案及评分标准)_2数学总复习_赠送:2024中考模拟题数学_二模_数学(山东济南卷)-:2024年中考第二次模拟考试
数学(山东济南卷)(参考答案及评分标准)_2数学总复习_赠送:2024中考模拟题数学_二模_数学(山东济南卷)-:2024年中考第二次模拟考试
数学(山东济南卷)(参考答案及评分标准)_2数学总复习_赠送:2024中考模拟题数学_二模_数学(山东济南卷)-:2024年中考第二次模拟考试
数学(山东济南卷)(参考答案及评分标准)_2数学总复习_赠送:2024中考模拟题数学_二模_数学(山东济南卷)-:2024年中考第二次模拟考试
数学(山东济南卷)(参考答案及评分标准)_2数学总复习_赠送:2024中考模拟题数学_二模_数学(山东济南卷)-:2024年中考第二次模拟考试
数学(山东济南卷)(参考答案及评分标准)_2数学总复习_赠送:2024中考模拟题数学_二模_数学(山东济南卷)-:2024年中考第二次模拟考试
数学(山东济南卷)(参考答案及评分标准)_2数学总复习_赠送:2024中考模拟题数学_二模_数学(山东济南卷)-:2024年中考第二次模拟考试
数学(山东济南卷)(参考答案及评分标准)_2数学总复习_赠送:2024中考模拟题数学_二模_数学(山东济南卷)-:2024年中考第二次模拟考试
数学(山东济南卷)(参考答案及评分标准)_2数学总复习_赠送:2024中考模拟题数学_二模_数学(山东济南卷)-:2024年中考第二次模拟考试
数学(山东济南卷)(参考答案及评分标准)_2数学总复习_赠送:2024中考模拟题数学_二模_数学(山东济南卷)-:2024年中考第二次模拟考试
数学(山东济南卷)(参考答案及评分标准)_2数学总复习_赠送:2024中考模拟题数学_二模_数学(山东济南卷)-:2024年中考第二次模拟考试
数学(山东济南卷)(参考答案及评分标准)_2数学总复习_赠送:2024中考模拟题数学_二模_数学(山东济南卷)-:2024年中考第二次模拟考试
数学(山东济南卷)(参考答案及评分标准)_2数学总复习_赠送:2024中考模拟题数学_二模_数学(山东济南卷)-:2024年中考第二次模拟考试
数学(山东济南卷)(参考答案及评分标准)_2数学总复习_赠送:2024中考模拟题数学_二模_数学(山东济南卷)-:2024年中考第二次模拟考试
数学(山东济南卷)(参考答案及评分标准)_2数学总复习_赠送:2024中考模拟题数学_二模_数学(山东济南卷)-:2024年中考第二次模拟考试
数学(山东济南卷)(参考答案及评分标准)_2数学总复习_赠送:2024中考模拟题数学_二模_数学(山东济南卷)-:2024年中考第二次模拟考试

文档信息

文档格式
docx
文档大小
0.698 MB
文档页数
12 页
上传时间
2026-02-05 23:49:44

文档内容

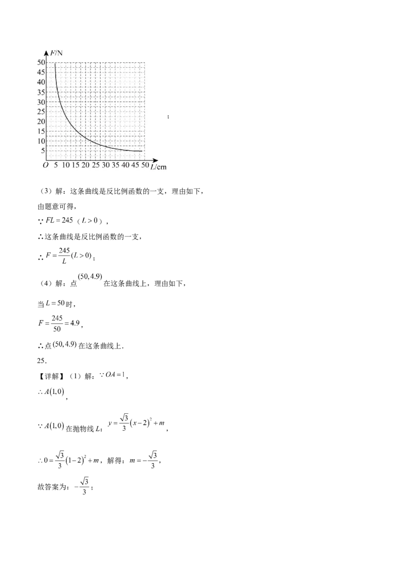
2024 年中考第二次模拟考试(山东济南卷) 数学·参考答案 第Ⅰ卷 一、选择题(本大题共10个小题,每小题4分,共40分.在每个小题给出的四个选项中,只有一项符合 题目要求,请选出并在答题卡上将该项涂黑) 1 2 3 4 5 6 7 8 9 10 D B A C C D A D D C 第Ⅱ卷 二、填空题(本大题共6小题,每小题4分,共24分) 11. / 12.14 13. 14.8 15. 16. 三、解答题(本大题共10个小题,共86分.解答应写出文字说明,证明过程或演算步骤) 17. 【详解】解: 18.【详解】解: 解不等式①得: , 解不等式②得: , ∴不等式组的解集为 , ∴不等式组的最小整数解为2. 19. 【详解】 证明:∵四边形 为平行四边形, ∴ , , ∴ , ∵O为 的中点, ∴ , 在 和 中 , ∴ , ∴ , ∴ , 即 . 20. 【详解】(1) 解:过点C作 于点F,过点A作 于点G,在 中, , ∴ , ∴ , ∴ , ∵ , ∴ , ∴ , ∴ , ∴ , 在 中, , ∴ , , ∴ , ∴ , ∵平行线间的距离处处相等, ∴点A到直线 的距离是 . (2) 解:旋转后如图所示, , 在 中,, ∴ , ∴ , ∴ 旋转40°. 21. 【详解】(1)解:七年级的中位数为第 和第 个数据的平均数, ∴ ; 第三组的频数为 (人), 补全频数分布直方图如下 故答案为: . (2)解:菲菲的说法不正确, 理由:77 分虽然高于本年级测试成绩的平均数,但低于中位数,所以他的成绩低于本年级一半学生的成 绩; (3)解: (人), 答:估算该校七年级学生的总人数有 990 人. 22. 【详解】(1)解:设B等级茶叶的每盒进价为x元,则A等级茶叶的每盒进价为 元, 根据题意得: 10, 解得: , 经检验, 是所列方程的解,且符合题意, ∴ . 答:A等级茶叶的每盒进价为800元,B等级茶叶的每盒进价为200元; (2)设茶店再次购进m盒A等级茶叶,则购进 盒B等级茶叶,根据题意得: , 解得: , 设茶店再次购进的两种等级茶叶全部售出后获得的总利润为w元,则 , 即 , ∵ , ∴w随m的增大而增大, ∴当 时,w取得最大值,最大值为 ,此时 . 答:再次购进A等级茶叶40盒,B等级茶叶20盒时,可使所获利润最大,最大利润是5000元. 23. 【详解】(1)证明:连接 , ∵ 是 的直径, ∴ , 又∵ , ∴ , ∴点D是 的中点; (2)证明:连接 , ∵ , ∴ 是 的中位线, ∴ , 又∵ , ∴ , ∵ 是 的半径, ∵ 是 的切线;(3) 解:∵ , ∴ , ∴ , ∵ , , ∴ , ∴ , ∵ , ∴ , 在 中, . 24. 【详解】(1)解:由题意可得, ∵ , , , , , , , ∴第六组数据错误, 当 时, , 故修正后的数据为: 第二 第五 第七 第一组 第三组 第四组 第六组 组 组 组 … 5 … … 7 … (2)解:由(1)描点,划线如下,; (3)解:这条曲线是反比例函数的一支,理由如下, 由题意可得, ∵ ( ), ∴这条曲线是反比例函数的一支, ∴ ; (4)解:点 在这条曲线上,理由如下, 当 时, , ∴点 在这条曲线上. 25. 【详解】(1)解: , , 在抛物线L: , ,解得: , 故答案为: ;(2)令 , 解得: 或 , , 令 ,则 , , ; 过点D作y轴的平行线 于点G, 设 ,则 , , , 当 时, 的面积最大, , ;(3)证明:如图,连接 , , , , 是 的中点,, : , 在 中, , , 过点F作 于点H, , 点 是 的中点, 是 的中位线, , 轴, 将抛物线L向右平移1个单位长度后得到抛物线M, 则: , 令 ,解得: , ,, 轴, ,即 是直角三角形. 26. 【详解】(1) ,理由如下: 如图1,过点A作 交 于点M,作 交 的延长线于点N, ∵四边形 是正方形, ∴ , ∴ , ∵ , ∴ , ∴ , 在 和 中, , ∴ , ∴ ,即 , ∴ . 故答案为:1; (2)如图2,过点A作 交 于点M,作 交 的延长线于点N,∴ , 在长方形 中, , ∵ , ∴ , ∴ , ∴ , ∴ , ∵ , ∴ ; (3)如图3,过点C作 于点M,设 交 于点O, ∵ , ∴ , ∴ , ∵ , ∴ ,∴ , ∴ , 又 , ∴ , ∴ , ∵ , ∴ .