当前位置:首页>文档>新疆2024-2025学年高二下学期7月联考试卷化学答案_2025年7月_250725金太阳·新疆2024-2025学年高二下学期7月联考试卷(金太阳25-584B)(全科)

新疆2024-2025学年高二下学期7月联考试卷化学答案_2025年7月_250725金太阳·新疆2024-2025学年高二下学期7月联考试卷(金太阳25-584B)(全科)

  • 2026-03-29 15:32:10 2026-02-08 19:47:39

文档预览

新疆2024-2025学年高二下学期7月联考试卷化学答案_2025年7月_250725金太阳·新疆2024-2025学年高二下学期7月联考试卷(金太阳25-584B)(全科)
新疆2024-2025学年高二下学期7月联考试卷化学答案_2025年7月_250725金太阳·新疆2024-2025学年高二下学期7月联考试卷(金太阳25-584B)(全科)
新疆2024-2025学年高二下学期7月联考试卷化学答案_2025年7月_250725金太阳·新疆2024-2025学年高二下学期7月联考试卷(金太阳25-584B)(全科)
新疆2024-2025学年高二下学期7月联考试卷化学答案_2025年7月_250725金太阳·新疆2024-2025学年高二下学期7月联考试卷(金太阳25-584B)(全科)

文档信息

文档格式
pdf
文档大小
0.391 MB
文档页数
2 页
上传时间
2026-02-08 19:47:39

文档内容

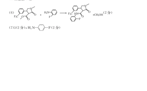
高二化学试卷参考答案 !#$!"#%!&#’!(#)!*#)!+#$!,#’!-#%!.#)!!/#’!!!#%!!"#$!!&#$!!(#% !*#!!"恒压滴!或分"液漏斗!!分"#能维持气压稳定$使液体顺利滴下!"分" "" 01 浓硫酸 !"" %%%$ !高二化学"参考答案!第!!!!!页#共"页$% !"#"$%& 书书书 && ’210!"分"#消去反应!!分"#作催化剂和脱水剂!填对!个 " # 给!分$"分" !&" && ’1 & "" 引发剂 ! %%%$ (’1 %%’) !未写反应条件不扣分$"分" 3**4 " "" ’1 & !("’50和6501!填对!个给!分$"分" !*""7!/(或"////!"分" !+#!!"!检查是否漏液!!分" "放气!!分" #内壁!!分" !""作萃取剂$将废水中的苯酚萃取出来!"分" 01 065 ** ** !&""" **++ 26501%%$""**++ 21 " 0!"分" !("651’0 2’5!01"&&&’5’0 ,26501210!或其他合理答案$"分" & " & " !*"!!&!"分" "取少量废水于试管中$往试管中加入89’: 溶液$若出现紫色$则有$反之$则无!"分" & .(" # !"分" &&!# !,#!!"!能量越低越稳定!"分" "&;!/(