当前位置:首页>文档>精品解析:湖北省仙桃中学2025-2026学年高三上学期期中考试数学试题(解析版)_251110湖北省仙桃中学2026届高三上学期期中考试(全科)

精品解析:湖北省仙桃中学2025-2026学年高三上学期期中考试数学试题(解析版)_251110湖北省仙桃中学2026届高三上学期期中考试(全科)

  • 2026-03-09 20:25:26 2026-02-08 23:04:25

文档预览

精品解析:湖北省仙桃中学2025-2026学年高三上学期期中考试数学试题(解析版)_251110湖北省仙桃中学2026届高三上学期期中考试(全科)
精品解析:湖北省仙桃中学2025-2026学年高三上学期期中考试数学试题(解析版)_251110湖北省仙桃中学2026届高三上学期期中考试(全科)
精品解析:湖北省仙桃中学2025-2026学年高三上学期期中考试数学试题(解析版)_251110湖北省仙桃中学2026届高三上学期期中考试(全科)
精品解析:湖北省仙桃中学2025-2026学年高三上学期期中考试数学试题(解析版)_251110湖北省仙桃中学2026届高三上学期期中考试(全科)
精品解析:湖北省仙桃中学2025-2026学年高三上学期期中考试数学试题(解析版)_251110湖北省仙桃中学2026届高三上学期期中考试(全科)
精品解析:湖北省仙桃中学2025-2026学年高三上学期期中考试数学试题(解析版)_251110湖北省仙桃中学2026届高三上学期期中考试(全科)
精品解析:湖北省仙桃中学2025-2026学年高三上学期期中考试数学试题(解析版)_251110湖北省仙桃中学2026届高三上学期期中考试(全科)
精品解析:湖北省仙桃中学2025-2026学年高三上学期期中考试数学试题(解析版)_251110湖北省仙桃中学2026届高三上学期期中考试(全科)
精品解析:湖北省仙桃中学2025-2026学年高三上学期期中考试数学试题(解析版)_251110湖北省仙桃中学2026届高三上学期期中考试(全科)
精品解析:湖北省仙桃中学2025-2026学年高三上学期期中考试数学试题(解析版)_251110湖北省仙桃中学2026届高三上学期期中考试(全科)
精品解析:湖北省仙桃中学2025-2026学年高三上学期期中考试数学试题(解析版)_251110湖北省仙桃中学2026届高三上学期期中考试(全科)
精品解析:湖北省仙桃中学2025-2026学年高三上学期期中考试数学试题(解析版)_251110湖北省仙桃中学2026届高三上学期期中考试(全科)
精品解析:湖北省仙桃中学2025-2026学年高三上学期期中考试数学试题(解析版)_251110湖北省仙桃中学2026届高三上学期期中考试(全科)
精品解析:湖北省仙桃中学2025-2026学年高三上学期期中考试数学试题(解析版)_251110湖北省仙桃中学2026届高三上学期期中考试(全科)
精品解析:湖北省仙桃中学2025-2026学年高三上学期期中考试数学试题(解析版)_251110湖北省仙桃中学2026届高三上学期期中考试(全科)
精品解析:湖北省仙桃中学2025-2026学年高三上学期期中考试数学试题(解析版)_251110湖北省仙桃中学2026届高三上学期期中考试(全科)
精品解析:湖北省仙桃中学2025-2026学年高三上学期期中考试数学试题(解析版)_251110湖北省仙桃中学2026届高三上学期期中考试(全科)
精品解析:湖北省仙桃中学2025-2026学年高三上学期期中考试数学试题(解析版)_251110湖北省仙桃中学2026届高三上学期期中考试(全科)
精品解析:湖北省仙桃中学2025-2026学年高三上学期期中考试数学试题(解析版)_251110湖北省仙桃中学2026届高三上学期期中考试(全科)
精品解析:湖北省仙桃中学2025-2026学年高三上学期期中考试数学试题(解析版)_251110湖北省仙桃中学2026届高三上学期期中考试(全科)
精品解析:湖北省仙桃中学2025-2026学年高三上学期期中考试数学试题(解析版)_251110湖北省仙桃中学2026届高三上学期期中考试(全科)
精品解析:湖北省仙桃中学2025-2026学年高三上学期期中考试数学试题(解析版)_251110湖北省仙桃中学2026届高三上学期期中考试(全科)
精品解析:湖北省仙桃中学2025-2026学年高三上学期期中考试数学试题(解析版)_251110湖北省仙桃中学2026届高三上学期期中考试(全科)

文档信息

文档格式
docx
文档大小
1.148 MB
文档页数
23 页
上传时间
2026-02-08 23:04:25

文档内容

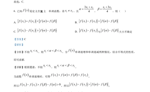
湖北省仙桃中学 2025-2026 学年度上学期期中考试 数学 命题冉成平 审题李辉 满分150分 时间120分钟 注意事项: 1.答题前,先将自己的姓名、准考证号、考场号、座位号填写在试卷和答题卡上,并认真核 准准考证号条形码上的以上信息,将条形码粘贴在答题卡上的指定位置. 2.请按题号顺序在答题卡上各题目的答题区域内作答,写在试卷、草稿纸和答题卡上的非答 题区域均无效. 3.选择题用2B铅笔在答题卡上把所选答案的标号涂黑;非选择题用黑色签字笔在答题卡上作 答;字体工整,笔迹清楚. 4.考试结束后,请将试卷和答题卡一并上交. 一、单项选择题:本题共8小题,每小题5分,共40分.在每小题给出的四个选项中,只有一 项是符合题目要求的. 1. 若集合 , ,则 ( ) A. B. C. D. 【答案】A 【解析】 【分析】先解出集合A、B,再求 . 【详解】因 , ,所以 为 . 故选:A. 2. 设 ,则“ ”是“ ”的( ) A. 充分不必要条件 B. 必要不充分条件 C. 充要条件 D. 既不充分也不必要条件 【答案】B 第1页/共23页 学科网(北京)股份有限公司【解析】 【分析】将对数不等式进行等价变换,结合 , ,可判断 , 的取值范围,从而判断 与 的关系. 【详解】因 为 ,又 , 所以 ,当且仅当 时取等号,即 , 又 , 所以 不能推出 ,所以 是 的不充分条件; 又 ,所以 是 必的要条件, 所以 是 的必要不充分条件. 故选:B. 3. 函数 的图像是( ) A. B. C. D. 【答案】B 【解析】 【分析】根据函数的零点和区间内的值域,利用排除法选择图像. 第2页/共23页 学科网(北京)股份有限公司【详解】图像过点 , ,排除AD;当 时, ,排除C. 故选:B. 4. 平面内,动点 的坐标 满足方程 ,则动点 的轨迹方 程为( ) A. B. C. D. 【答案】B 【解析】 【分析】根据椭圆的定义求解即可. 【详解】由题意,点 到两个定点 , 的距离之和等于常数 , 故根据椭圆的定义可知:此点的轨迹为焦点在 轴上的椭圆,且 , , 故 ,故椭圆的标准方程为 . 故选:B 5. 若函数 的图象在点 处的切线与直线 垂直,则 ( ) A. B. 0 C. D. 【答案】C 【解析】 【分析】函数求导得 ,由题意可得 ,解得 的值,代入所求式计算 即得,. 第3页/共23页 学科网(北京)股份有限公司【详解】由 求导得: , 依题意,有 ,解得 , 则 . 故选:C. 6. 已知 是定义在 上 的单调函数,若 ,且 , ,则( ) A. B. C. D. 与 大小不确定 【答案】C 【解析】 【分析】不妨 ,则 ,分 单调递增和单调递减两种情况,结合不等式的性质, 即可求解. 【详解】根据题意,不妨 ,则 , 当函数 单调递增时,可得 , 所以 ,所以 ; 当函数 单调递减时, , 所以 ,所以 ; 综上可得, . 故选:C. 第4页/共23页 学科网(北京)股份有限公司7. 设 分别为双曲线 的左右焦点,点 为双曲线上的一点,若 的重心和内心的连线与x轴垂直,则双曲线的离心率为( ) A. B. C. D. 【答案】A 【解析】 【分析】先求出 的重心坐标,再根据双曲线定义及切线长定理求出 的内心横坐标,根据重 心与内心横坐标相同得到方程,求出离心率. 【详解】将 代入,解得: ,即 ,不妨令 ,则 , ,所以重心坐标为 ,设 的内心为D,内切圆与 , 的切点分别为 A,B,与x轴切点为C,则PA=PB, , ,且点D与点C横坐标相同,又由双曲线定 义知: ,从而 ,设 ,则 ,解得: , 故点C为双曲线的右顶点,故D点的横坐标为a,因为 的重心和内心的连线与x轴垂直,所以 ,解得: ,即 ,解得: . 第5页/共23页 学科网(北京)股份有限公司故选:A 8. 已知函数 的值域与函数 的值域相同,则实数 的取值 范围是( ) A. B. C. D. 【答案】D 【解析】 【分析】先利用导数求出函数 的值域,再根据条件列不等式,解得结果. 【详解】因为 , ,定义域为 . 所以 . 当 时, ,即 在 上单调递增, 当 时, ,即 在 上单调递减, 所以当 时, 取得最大值为 . 当 ,所以函数 的值域为 . 要使函数 的值域为 , 第6页/共23页 学科网(北京)股份有限公司则 ,解得 , 故选:D. 二、多项选择题:本题共3小题,每小题6分,共18分.在每小题给出的四个选项中,有多项 符合题目要求.全部选对得6分,部分选对的得部分分,有选错的得0分. 9. 若函数 的图象上存在四点共圆,则满足条件的 可以是( ) A. B. C. D. 【答案】ACD 【解析】 【分析】结合函数的性质和图象,数形结合,一一判断各选项中函数是否符合题意,即得答案. 【详解】对于A,函数 的图象为抛物线,关于y轴对称, 不妨取 ,则四边形 为等腰梯形, 则 四点共圆,A符合题意; 对于B, ,定义域为 ,在 上单调递增, 该函数图象上升比较平缓,图象上没有剧烈变化的分界点, 第7页/共23页 学科网(北京)股份有限公司故不可能存在某个圆与 的图象有4个交点, 即 的图象上不可能存在四点共圆,B不符合题意; 对于C,作出 的图象,公众号;高中试卷君 必存在圆与 的图象有4个交点的情况,C符合题意; 对于D,作出 的图象,由反比例函数与圆的中心对称性, 作图如下(圆心为原点), 必存在圆与 的图象有4个交点的情况,D符合题意. 故选:ACD 10. 已知曲线 ,点 , ,则下列结论正确的是( ) 第8页/共23页 学科网(北京)股份有限公司A. 曲线 关于直线 对称 B. 曲线 上存在点 ,使得 C. 直线 与曲线 只有一个交点 D. 曲线 上第一象限内的点到直线 与 的距离之积为定值 【答案】BCD 【解析】 【分析】数形结合并由双曲线的性质、定义结合直线与双曲线的位置关系和点到直线的距离即可依次求解 判断各选项. 【详解】由题当 , 时,曲线 ; 当 , 时,曲线 ; 当 , 时,曲线 不存在; 当 , 时,曲线 ,故作出曲线 如图所示: 选项A:法一:由图可知,曲线 不关于直线 对称,故A错误; 法二:将 中的 替换为 替换为 ,得 , 与 不相同,故曲线 不关于直线 对称,故A错误; 第9页/共23页 学科网(北京)股份有限公司选项B:易知 , 为双曲线 的上、下焦点, 所以当点 在第三象限时,根据双曲线的定义可知 ,故B正确; 选项C:易知直线 为双曲线 与双曲线 的一条共同渐近线, 直线 的斜率小于直线 的斜率, 故直线 与曲线 在第一、四象限内没有交点,在第三象限内只有一个交点,故C正确; 选项D:设曲线 上第一象限内的点为 , 则 ,即 , 所以点 到直线 的距离 , 点 到直线 的距离 , 所以 ,故D正确. 故选:BCD. 11. 若 ,则下列结论正确的有( ) A. B. 第10页/共23页 学科网(北京)股份有限公司C. 的最小值为 D. 的最小值为 【答案】ABD 【解析】 【分析】对于A:利用基本不等式,结合已知条件求解 的取值范围:对于B:利用不等式 可判断;对于C:变形 ,然后利用基本不等式求解其最 小值;对于D:令 ,且 ,于是 ,然后利用基 本不等式求解其最小值. 【详解】因为 ,所以有 . 对于A:因为 , 所以 ,可得 , 当且仅当 ,即 时取等号,故A正确; 对于B:因为 , 所以 ,即 ,所以 , 当且仅当 ,即 时取等号,故B正确; 对于C:因为 , 所以 , 第11页/共23页 学科网(北京)股份有限公司当且仅当 ,即 时取等号,故C错误; 对于D:令 ,所以 ,且 ,于是 4 , 当且仅当 ,即 时取等号,故D正确. 故选:ABD. 三、填空题:本题共3小题,每小题5分,共15分. 12. 双曲线 的渐近线与抛物线 的准线围成的封闭图形面积为________. 【答案】 【解析】 【分析】作出双曲线的渐近线和抛物线的准线,求出交点坐标即可求解. 【详解】双曲线 的渐近线方程为 ,抛物线 的准线方程为 , 如图所示,由 得 , 由对称性可得 ,所以 , 又 , ,所以 . 故答案为: 第12页/共23页 学科网(北京)股份有限公司13. 函数 的最大值是_______. 【答案】 【解析】 【分析】令 ,从而将问题转化成求二次函数 在 上的最大值,利用二 次函数的性质,即可求解. 【详解】由 ,得到 ,所以函数 的定义域为 , 令 ,则 ,所以 ,对称轴为 ,其图象开口向下, 所以当 时, 取到最大值,最大值为 , 故答案为: . 14. 函数 的图象关于点 成中心对称的充要条件是函数 为奇函数.请用这一 结论回答:函数 的图象的对称中心坐标是______. 【答案】 【解析】 【分析】根据函数的奇函数特性求出 即可求出其对称中心坐标. 第13页/共23页 学科网(北京)股份有限公司【详解】根据题意可知,要求函数 的对称中心坐标, 需使 为奇函数, 因为 ,所以 ,即 ,解得 . 所以 . 因 是奇函数,则 , 化简得 ,即 , 也即 , 则得 ,即 , 因 ,则 ,即 ,可得 ,解得 , 故 , 所以函数 的图象的对称中心坐标为 . 故答案为: . 四、解答题:本题共5小题,共77分.解答应写出文字说明、证明过程或演算步骤. 15. 已知 中, , ,动点 满足 . (1)求动点 的轨迹 的方程; (2)设 所在直线与轨迹 的另一个交点为 ,当 的面积最大且点 在第一象限时,求 的值.公众号;高中试卷君 第14页/共23页 学科网(北京)股份有限公司【答案】(1) (2) 【解析】 【分析】(1)设 ,根据条件得 ,化简即可求解; (2)根据条件得 ,进而求出直线 的方程,再利用弦长公式,即可求解. 【小问1详解】 设 ,由 ,得 , 整理得到 ,又点 不能在 轴上, 所以点 的轨迹 的方程为 . 【小问2详解】 由题意可得 ,当 到x轴距离最大时,即纵坐标最大时满足题意, 此时 ,所以 , 所在直线方程为 ,即 , 又圆心 到直线 的距离 ,半径 , 可得 . 第15页/共23页 学科网(北京)股份有限公司16. 已知函数 , . (1)当 时,求函数 的单调区间; (2)若 在 内的最大值为2,求 的值. 【答案】(1)单调递增区间为 , ,单调递减区间为 . (2) 【解析】 【分析】(1)利用导数求函数的单调区间; (2)由函数在区间内的单调性求解函数的最大值,可得 的值. 【小问1详解】 函数 的定义域为 , 则 , 当 时, 令 ,解得: ;令 ,解得: , 所以函数 的单调递增区间为 和 ,单调递减区间为 . 【小问2详解】 ①当 时, 在 内恒成立, 在 内单调递增, 则 ,解得 与 矛盾; 第16页/共23页 学科网(北京)股份有限公司②当 时,有 , 时 ; 时 , 所以 在 上单调递增,在 上单调递减, ∴ ,即 , 令 ,则 , 则 在 上单调递减, 又 ,故 ; 综上, . 17. 已知函数 是 上 的奇函数,函数 . (1)求实数 的值; (2)设函数 ,若对任意的 ,总存在 ,使得 ,求实 数m的取值范围. 【答案】(1) (2) 【解析】 【分析】(1)根据函数 是奇函数求出 即可. (2)先化简 ,判断其单调性求出最小值,然后求出 的最小值,根据 ,进 而求得 的范围. 【小问1详解】 第17页/共23页 学科网(北京)股份有限公司依题意, ,即 ,整理得 , 因为 ,所以 ,解得 , 则 ,经检验 ,符合题意,所以 . 【小问2详解】 由题知 , 若对 ,总 ,使得 ,可得 , 由复合函数单调性可得: 函数 在区间 上单调递减,在区间 上单调递增, 所以当 时, 有最小值 . 设 ,函数 在 单增,所以 , 所以 在 上恒成立,即 在 上恒成立, 函数 在 上单调递减,所以 , 所以 ,解得 , 所以实数 的取值范围为 . 18. 已知抛物线 : 的准线与半椭圆 : 相交于A,B两点,且 ,点P是半椭圆 上一动点. 第18页/共23页 学科网(北京)股份有限公司(1)求抛物线 的方程; (2)过点P作抛物线 的两条切线,切点分别为C、D,记 的中点为E.求证: 轴. 【答案】(1) (2)证明见解析 【解析】 【分析】(1)由抛物线准线与椭圆相交的弦长构建方程求得值即可; (2)设 ,设出两条切线的直线方程,与抛物线方程联立,由相切关系及韦达定理构建方程,结 合导数求两切线斜率,得E点的横坐标等于 ,即可得证; 【小问1详解】 由题可知,抛物线 : 的准线为 , 因为抛物线 的准线与半椭圆 : 相交于A,B两点,且 , 不妨设 ,则 ,解得 , 所以抛物线 的方程为 . 【小问2详解】 证明: 法一:设点 、 、 ,且满足 . 由题意可知两条切线的斜率均存在, 第19页/共23页 学科网(北京)股份有限公司设切线的方程为: , ,消y得: , 由 可得: .① 两条切线的斜率为方程①的两个根,所以: . 抛物线 即为: ,两边对x求导数得: , 所以切线 的斜率为 ,切线 的斜率为 . 所以: ,即 ,所以 轴. 法二:设点 、 、 ,且满足 . 则直线 的方程为: ,与 联立可得: . 所以 ,即 ,即 ,所以 轴. 19. 已知函数 , . (1)若 ,函数 ,对任意 ,不等式 恒成立, 求实数 的取值范围; (2)当 , 时,求证: . 【答案】(1) ; (2)证明见解析. 第20页/共23页 学科网(北京)股份有限公司【解析】 【分析】(1)将 , ,转化为 ,设 , 求出 , 设 ,求出 ,设 ,求出 ,从而得到 在 单调 递 增 , 则 , 即 , 得 到 在 单 调 递 增 , 则 ,且当 , ,对 和 讨论求解即可得到 的取值范围. (2)由(1)可知,当 ,即 时, ,当且仅当 时取“=”.即 时 , , 则 . 设 , 利 用 放 缩 法 和 裂 项 法 得 到 ,求和即可得到证明. 【小问1详解】 , , 因 ,不等式可化为 , 设 , , , 第21页/共23页 学科网(北京)股份有限公司则 , 设 ,则 , 设 ,则 , 所以 在 单调递增,则 , 即 ,所以 在 上单调递增, 所以 ,且当 , , ①当 时,即 时, ,即 , 则 在 单调递增,所以 恒成立,符合题意; ②当 时,即 时, , 若取 ,则 , 所以存在 ,使 , 则当 时, ,即 ,即函数 在 上单调递减, 此时 ,与原题 矛盾,不符合题意. 综上, 的取值范围是 . 【小问2详解】 要证 , 第22页/共23页 学科网(北京)股份有限公司即证 . 由(1)可知,当 ,即 时, ,当且仅当 时取等. 即 时, ,则 . 令 ,则 , 则 , ,…, , 各式相加,得 . 所以当 , 时, 成立. 公众号;高中试卷君 第23页/共23页 学科网(北京)股份有限公司
基本 文件 流程 错误 SQL 调试
  1. 请求信息 : 2026-03-10 13:12:50 HTTP/1.1 GET : https://www.yeyulingfeng.com/wendang/160282.html
  2. 运行时间 : 0.089228s [ 吞吐率:11.21req/s ] 内存消耗:5,792.80kb 文件加载:144
  3. 缓存信息 : 0 reads,0 writes
  4. 会话信息 : SESSION_ID=ba2a512bf4b0f38fe4b498b1243612f2
  1. /yingpanguazai/ssd/ssd1/www/wwww.yeyulingfeng.com/public/index.php ( 0.79 KB )
  2. /yingpanguazai/ssd/ssd1/www/wwww.yeyulingfeng.com/vendor/autoload.php ( 0.17 KB )
  3. /yingpanguazai/ssd/ssd1/www/wwww.yeyulingfeng.com/vendor/composer/autoload_real.php ( 2.49 KB )
  4. /yingpanguazai/ssd/ssd1/www/wwww.yeyulingfeng.com/vendor/composer/platform_check.php ( 0.90 KB )
  5. /yingpanguazai/ssd/ssd1/www/wwww.yeyulingfeng.com/vendor/composer/ClassLoader.php ( 14.03 KB )
  6. /yingpanguazai/ssd/ssd1/www/wwww.yeyulingfeng.com/vendor/composer/autoload_static.php ( 6.05 KB )
  7. /yingpanguazai/ssd/ssd1/www/wwww.yeyulingfeng.com/vendor/topthink/think-helper/src/helper.php ( 8.34 KB )
  8. /yingpanguazai/ssd/ssd1/www/wwww.yeyulingfeng.com/vendor/topthink/think-validate/src/helper.php ( 2.19 KB )
  9. /yingpanguazai/ssd/ssd1/www/wwww.yeyulingfeng.com/vendor/ralouphie/getallheaders/src/getallheaders.php ( 1.60 KB )
  10. /yingpanguazai/ssd/ssd1/www/wwww.yeyulingfeng.com/vendor/topthink/think-orm/src/helper.php ( 1.47 KB )
  11. /yingpanguazai/ssd/ssd1/www/wwww.yeyulingfeng.com/vendor/topthink/think-orm/stubs/load_stubs.php ( 0.16 KB )
  12. /yingpanguazai/ssd/ssd1/www/wwww.yeyulingfeng.com/vendor/topthink/framework/src/think/Exception.php ( 1.69 KB )
  13. /yingpanguazai/ssd/ssd1/www/wwww.yeyulingfeng.com/vendor/topthink/think-container/src/Facade.php ( 2.71 KB )
  14. /yingpanguazai/ssd/ssd1/www/wwww.yeyulingfeng.com/vendor/symfony/deprecation-contracts/function.php ( 0.99 KB )
  15. /yingpanguazai/ssd/ssd1/www/wwww.yeyulingfeng.com/vendor/symfony/polyfill-mbstring/bootstrap.php ( 8.26 KB )
  16. /yingpanguazai/ssd/ssd1/www/wwww.yeyulingfeng.com/vendor/symfony/polyfill-mbstring/bootstrap80.php ( 9.78 KB )
  17. /yingpanguazai/ssd/ssd1/www/wwww.yeyulingfeng.com/vendor/symfony/var-dumper/Resources/functions/dump.php ( 1.49 KB )
  18. /yingpanguazai/ssd/ssd1/www/wwww.yeyulingfeng.com/vendor/topthink/think-dumper/src/helper.php ( 0.18 KB )
  19. /yingpanguazai/ssd/ssd1/www/wwww.yeyulingfeng.com/vendor/symfony/var-dumper/VarDumper.php ( 4.30 KB )
  20. /yingpanguazai/ssd/ssd1/www/wwww.yeyulingfeng.com/vendor/guzzlehttp/guzzle/src/functions_include.php ( 0.16 KB )
  21. /yingpanguazai/ssd/ssd1/www/wwww.yeyulingfeng.com/vendor/guzzlehttp/guzzle/src/functions.php ( 5.54 KB )
  22. /yingpanguazai/ssd/ssd1/www/wwww.yeyulingfeng.com/vendor/topthink/framework/src/think/App.php ( 15.30 KB )
  23. /yingpanguazai/ssd/ssd1/www/wwww.yeyulingfeng.com/vendor/topthink/think-container/src/Container.php ( 15.76 KB )
  24. /yingpanguazai/ssd/ssd1/www/wwww.yeyulingfeng.com/vendor/psr/container/src/ContainerInterface.php ( 1.02 KB )
  25. /yingpanguazai/ssd/ssd1/www/wwww.yeyulingfeng.com/app/provider.php ( 0.19 KB )
  26. /yingpanguazai/ssd/ssd1/www/wwww.yeyulingfeng.com/vendor/topthink/framework/src/think/Http.php ( 6.04 KB )
  27. /yingpanguazai/ssd/ssd1/www/wwww.yeyulingfeng.com/vendor/topthink/think-helper/src/helper/Str.php ( 7.29 KB )
  28. /yingpanguazai/ssd/ssd1/www/wwww.yeyulingfeng.com/vendor/topthink/framework/src/think/Env.php ( 4.68 KB )
  29. /yingpanguazai/ssd/ssd1/www/wwww.yeyulingfeng.com/app/common.php ( 0.03 KB )
  30. /yingpanguazai/ssd/ssd1/www/wwww.yeyulingfeng.com/vendor/topthink/framework/src/helper.php ( 18.78 KB )
  31. /yingpanguazai/ssd/ssd1/www/wwww.yeyulingfeng.com/vendor/topthink/framework/src/think/Config.php ( 5.54 KB )
  32. /yingpanguazai/ssd/ssd1/www/wwww.yeyulingfeng.com/config/alipay.php ( 3.59 KB )
  33. /yingpanguazai/ssd/ssd1/www/wwww.yeyulingfeng.com/vendor/topthink/framework/src/think/facade/Env.php ( 1.67 KB )
  34. /yingpanguazai/ssd/ssd1/www/wwww.yeyulingfeng.com/config/app.php ( 0.95 KB )
  35. /yingpanguazai/ssd/ssd1/www/wwww.yeyulingfeng.com/config/cache.php ( 0.78 KB )
  36. /yingpanguazai/ssd/ssd1/www/wwww.yeyulingfeng.com/config/console.php ( 0.23 KB )
  37. /yingpanguazai/ssd/ssd1/www/wwww.yeyulingfeng.com/config/cookie.php ( 0.56 KB )
  38. /yingpanguazai/ssd/ssd1/www/wwww.yeyulingfeng.com/config/database.php ( 2.48 KB )
  39. /yingpanguazai/ssd/ssd1/www/wwww.yeyulingfeng.com/config/filesystem.php ( 0.61 KB )
  40. /yingpanguazai/ssd/ssd1/www/wwww.yeyulingfeng.com/config/lang.php ( 0.91 KB )
  41. /yingpanguazai/ssd/ssd1/www/wwww.yeyulingfeng.com/config/log.php ( 1.35 KB )
  42. /yingpanguazai/ssd/ssd1/www/wwww.yeyulingfeng.com/config/middleware.php ( 0.19 KB )
  43. /yingpanguazai/ssd/ssd1/www/wwww.yeyulingfeng.com/config/route.php ( 1.89 KB )
  44. /yingpanguazai/ssd/ssd1/www/wwww.yeyulingfeng.com/config/session.php ( 0.57 KB )
  45. /yingpanguazai/ssd/ssd1/www/wwww.yeyulingfeng.com/config/trace.php ( 0.34 KB )
  46. /yingpanguazai/ssd/ssd1/www/wwww.yeyulingfeng.com/config/view.php ( 0.82 KB )
  47. /yingpanguazai/ssd/ssd1/www/wwww.yeyulingfeng.com/app/event.php ( 0.25 KB )
  48. /yingpanguazai/ssd/ssd1/www/wwww.yeyulingfeng.com/vendor/topthink/framework/src/think/Event.php ( 7.67 KB )
  49. /yingpanguazai/ssd/ssd1/www/wwww.yeyulingfeng.com/app/service.php ( 0.13 KB )
  50. /yingpanguazai/ssd/ssd1/www/wwww.yeyulingfeng.com/app/AppService.php ( 0.26 KB )
  51. /yingpanguazai/ssd/ssd1/www/wwww.yeyulingfeng.com/vendor/topthink/framework/src/think/Service.php ( 1.64 KB )
  52. /yingpanguazai/ssd/ssd1/www/wwww.yeyulingfeng.com/vendor/topthink/framework/src/think/Lang.php ( 7.35 KB )
  53. /yingpanguazai/ssd/ssd1/www/wwww.yeyulingfeng.com/vendor/topthink/framework/src/lang/zh-cn.php ( 13.70 KB )
  54. /yingpanguazai/ssd/ssd1/www/wwww.yeyulingfeng.com/vendor/topthink/framework/src/think/initializer/Error.php ( 3.31 KB )
  55. /yingpanguazai/ssd/ssd1/www/wwww.yeyulingfeng.com/vendor/topthink/framework/src/think/initializer/RegisterService.php ( 1.33 KB )
  56. /yingpanguazai/ssd/ssd1/www/wwww.yeyulingfeng.com/vendor/services.php ( 0.14 KB )
  57. /yingpanguazai/ssd/ssd1/www/wwww.yeyulingfeng.com/vendor/topthink/framework/src/think/service/PaginatorService.php ( 1.52 KB )
  58. /yingpanguazai/ssd/ssd1/www/wwww.yeyulingfeng.com/vendor/topthink/framework/src/think/service/ValidateService.php ( 0.99 KB )
  59. /yingpanguazai/ssd/ssd1/www/wwww.yeyulingfeng.com/vendor/topthink/framework/src/think/service/ModelService.php ( 2.04 KB )
  60. /yingpanguazai/ssd/ssd1/www/wwww.yeyulingfeng.com/vendor/topthink/think-trace/src/Service.php ( 0.77 KB )
  61. /yingpanguazai/ssd/ssd1/www/wwww.yeyulingfeng.com/vendor/topthink/framework/src/think/Middleware.php ( 6.72 KB )
  62. /yingpanguazai/ssd/ssd1/www/wwww.yeyulingfeng.com/vendor/topthink/framework/src/think/initializer/BootService.php ( 0.77 KB )
  63. /yingpanguazai/ssd/ssd1/www/wwww.yeyulingfeng.com/vendor/topthink/think-orm/src/Paginator.php ( 11.86 KB )
  64. /yingpanguazai/ssd/ssd1/www/wwww.yeyulingfeng.com/vendor/topthink/think-validate/src/Validate.php ( 63.20 KB )
  65. /yingpanguazai/ssd/ssd1/www/wwww.yeyulingfeng.com/vendor/topthink/think-orm/src/Model.php ( 23.55 KB )
  66. /yingpanguazai/ssd/ssd1/www/wwww.yeyulingfeng.com/vendor/topthink/think-orm/src/model/concern/Attribute.php ( 21.05 KB )
  67. /yingpanguazai/ssd/ssd1/www/wwww.yeyulingfeng.com/vendor/topthink/think-orm/src/model/concern/AutoWriteData.php ( 4.21 KB )
  68. /yingpanguazai/ssd/ssd1/www/wwww.yeyulingfeng.com/vendor/topthink/think-orm/src/model/concern/Conversion.php ( 6.44 KB )
  69. /yingpanguazai/ssd/ssd1/www/wwww.yeyulingfeng.com/vendor/topthink/think-orm/src/model/concern/DbConnect.php ( 5.16 KB )
  70. /yingpanguazai/ssd/ssd1/www/wwww.yeyulingfeng.com/vendor/topthink/think-orm/src/model/concern/ModelEvent.php ( 2.33 KB )
  71. /yingpanguazai/ssd/ssd1/www/wwww.yeyulingfeng.com/vendor/topthink/think-orm/src/model/concern/RelationShip.php ( 28.29 KB )
  72. /yingpanguazai/ssd/ssd1/www/wwww.yeyulingfeng.com/vendor/topthink/think-helper/src/contract/Arrayable.php ( 0.09 KB )
  73. /yingpanguazai/ssd/ssd1/www/wwww.yeyulingfeng.com/vendor/topthink/think-helper/src/contract/Jsonable.php ( 0.13 KB )
  74. /yingpanguazai/ssd/ssd1/www/wwww.yeyulingfeng.com/vendor/topthink/think-orm/src/model/contract/Modelable.php ( 0.09 KB )
  75. /yingpanguazai/ssd/ssd1/www/wwww.yeyulingfeng.com/vendor/topthink/framework/src/think/Db.php ( 2.88 KB )
  76. /yingpanguazai/ssd/ssd1/www/wwww.yeyulingfeng.com/vendor/topthink/think-orm/src/DbManager.php ( 8.52 KB )
  77. /yingpanguazai/ssd/ssd1/www/wwww.yeyulingfeng.com/vendor/topthink/framework/src/think/Log.php ( 6.28 KB )
  78. /yingpanguazai/ssd/ssd1/www/wwww.yeyulingfeng.com/vendor/topthink/framework/src/think/Manager.php ( 3.92 KB )
  79. /yingpanguazai/ssd/ssd1/www/wwww.yeyulingfeng.com/vendor/psr/log/src/LoggerTrait.php ( 2.69 KB )
  80. /yingpanguazai/ssd/ssd1/www/wwww.yeyulingfeng.com/vendor/psr/log/src/LoggerInterface.php ( 2.71 KB )
  81. /yingpanguazai/ssd/ssd1/www/wwww.yeyulingfeng.com/vendor/topthink/framework/src/think/Cache.php ( 4.92 KB )
  82. /yingpanguazai/ssd/ssd1/www/wwww.yeyulingfeng.com/vendor/psr/simple-cache/src/CacheInterface.php ( 4.71 KB )
  83. /yingpanguazai/ssd/ssd1/www/wwww.yeyulingfeng.com/vendor/topthink/think-helper/src/helper/Arr.php ( 16.63 KB )
  84. /yingpanguazai/ssd/ssd1/www/wwww.yeyulingfeng.com/vendor/topthink/framework/src/think/cache/driver/File.php ( 7.84 KB )
  85. /yingpanguazai/ssd/ssd1/www/wwww.yeyulingfeng.com/vendor/topthink/framework/src/think/cache/Driver.php ( 9.03 KB )
  86. /yingpanguazai/ssd/ssd1/www/wwww.yeyulingfeng.com/vendor/topthink/framework/src/think/contract/CacheHandlerInterface.php ( 1.99 KB )
  87. /yingpanguazai/ssd/ssd1/www/wwww.yeyulingfeng.com/app/Request.php ( 0.09 KB )
  88. /yingpanguazai/ssd/ssd1/www/wwww.yeyulingfeng.com/vendor/topthink/framework/src/think/Request.php ( 55.78 KB )
  89. /yingpanguazai/ssd/ssd1/www/wwww.yeyulingfeng.com/app/middleware.php ( 0.25 KB )
  90. /yingpanguazai/ssd/ssd1/www/wwww.yeyulingfeng.com/vendor/topthink/framework/src/think/Pipeline.php ( 2.61 KB )
  91. /yingpanguazai/ssd/ssd1/www/wwww.yeyulingfeng.com/vendor/topthink/think-trace/src/TraceDebug.php ( 3.40 KB )
  92. /yingpanguazai/ssd/ssd1/www/wwww.yeyulingfeng.com/vendor/topthink/framework/src/think/middleware/SessionInit.php ( 1.94 KB )
  93. /yingpanguazai/ssd/ssd1/www/wwww.yeyulingfeng.com/vendor/topthink/framework/src/think/Session.php ( 1.80 KB )
  94. /yingpanguazai/ssd/ssd1/www/wwww.yeyulingfeng.com/vendor/topthink/framework/src/think/session/driver/File.php ( 6.27 KB )
  95. /yingpanguazai/ssd/ssd1/www/wwww.yeyulingfeng.com/vendor/topthink/framework/src/think/contract/SessionHandlerInterface.php ( 0.87 KB )
  96. /yingpanguazai/ssd/ssd1/www/wwww.yeyulingfeng.com/vendor/topthink/framework/src/think/session/Store.php ( 7.12 KB )
  97. /yingpanguazai/ssd/ssd1/www/wwww.yeyulingfeng.com/vendor/topthink/framework/src/think/Route.php ( 23.73 KB )
  98. /yingpanguazai/ssd/ssd1/www/wwww.yeyulingfeng.com/vendor/topthink/framework/src/think/route/RuleName.php ( 5.75 KB )
  99. /yingpanguazai/ssd/ssd1/www/wwww.yeyulingfeng.com/vendor/topthink/framework/src/think/route/Domain.php ( 2.53 KB )
  100. /yingpanguazai/ssd/ssd1/www/wwww.yeyulingfeng.com/vendor/topthink/framework/src/think/route/RuleGroup.php ( 22.43 KB )
  101. /yingpanguazai/ssd/ssd1/www/wwww.yeyulingfeng.com/vendor/topthink/framework/src/think/route/Rule.php ( 26.95 KB )
  102. /yingpanguazai/ssd/ssd1/www/wwww.yeyulingfeng.com/vendor/topthink/framework/src/think/route/RuleItem.php ( 9.78 KB )
  103. /yingpanguazai/ssd/ssd1/www/wwww.yeyulingfeng.com/route/app.php ( 3.82 KB )
  104. /yingpanguazai/ssd/ssd1/www/wwww.yeyulingfeng.com/vendor/topthink/framework/src/think/facade/Route.php ( 4.70 KB )
  105. /yingpanguazai/ssd/ssd1/www/wwww.yeyulingfeng.com/vendor/topthink/framework/src/think/route/dispatch/Controller.php ( 4.74 KB )
  106. /yingpanguazai/ssd/ssd1/www/wwww.yeyulingfeng.com/vendor/topthink/framework/src/think/route/Dispatch.php ( 10.44 KB )
  107. /yingpanguazai/ssd/ssd1/www/wwww.yeyulingfeng.com/app/controller/Index.php ( 9.68 KB )
  108. /yingpanguazai/ssd/ssd1/www/wwww.yeyulingfeng.com/app/BaseController.php ( 2.05 KB )
  109. /yingpanguazai/ssd/ssd1/www/wwww.yeyulingfeng.com/vendor/topthink/think-orm/src/facade/Db.php ( 0.93 KB )
  110. /yingpanguazai/ssd/ssd1/www/wwww.yeyulingfeng.com/vendor/topthink/think-orm/src/db/connector/Mysql.php ( 5.44 KB )
  111. /yingpanguazai/ssd/ssd1/www/wwww.yeyulingfeng.com/vendor/topthink/think-orm/src/db/PDOConnection.php ( 52.47 KB )
  112. /yingpanguazai/ssd/ssd1/www/wwww.yeyulingfeng.com/vendor/topthink/think-orm/src/db/Connection.php ( 8.39 KB )
  113. /yingpanguazai/ssd/ssd1/www/wwww.yeyulingfeng.com/vendor/topthink/think-orm/src/db/ConnectionInterface.php ( 4.57 KB )
  114. /yingpanguazai/ssd/ssd1/www/wwww.yeyulingfeng.com/vendor/topthink/think-orm/src/db/builder/Mysql.php ( 16.58 KB )
  115. /yingpanguazai/ssd/ssd1/www/wwww.yeyulingfeng.com/vendor/topthink/think-orm/src/db/Builder.php ( 24.06 KB )
  116. /yingpanguazai/ssd/ssd1/www/wwww.yeyulingfeng.com/vendor/topthink/think-orm/src/db/BaseBuilder.php ( 27.50 KB )
  117. /yingpanguazai/ssd/ssd1/www/wwww.yeyulingfeng.com/vendor/topthink/think-orm/src/db/Query.php ( 15.71 KB )
  118. /yingpanguazai/ssd/ssd1/www/wwww.yeyulingfeng.com/vendor/topthink/think-orm/src/db/BaseQuery.php ( 45.13 KB )
  119. /yingpanguazai/ssd/ssd1/www/wwww.yeyulingfeng.com/vendor/topthink/think-orm/src/db/concern/TimeFieldQuery.php ( 7.43 KB )
  120. /yingpanguazai/ssd/ssd1/www/wwww.yeyulingfeng.com/vendor/topthink/think-orm/src/db/concern/AggregateQuery.php ( 3.26 KB )
  121. /yingpanguazai/ssd/ssd1/www/wwww.yeyulingfeng.com/vendor/topthink/think-orm/src/db/concern/ModelRelationQuery.php ( 20.07 KB )
  122. /yingpanguazai/ssd/ssd1/www/wwww.yeyulingfeng.com/vendor/topthink/think-orm/src/db/concern/ParamsBind.php ( 3.66 KB )
  123. /yingpanguazai/ssd/ssd1/www/wwww.yeyulingfeng.com/vendor/topthink/think-orm/src/db/concern/ResultOperation.php ( 7.01 KB )
  124. /yingpanguazai/ssd/ssd1/www/wwww.yeyulingfeng.com/vendor/topthink/think-orm/src/db/concern/WhereQuery.php ( 19.37 KB )
  125. /yingpanguazai/ssd/ssd1/www/wwww.yeyulingfeng.com/vendor/topthink/think-orm/src/db/concern/JoinAndViewQuery.php ( 7.11 KB )
  126. /yingpanguazai/ssd/ssd1/www/wwww.yeyulingfeng.com/vendor/topthink/think-orm/src/db/concern/TableFieldInfo.php ( 2.63 KB )
  127. /yingpanguazai/ssd/ssd1/www/wwww.yeyulingfeng.com/vendor/topthink/think-orm/src/db/concern/Transaction.php ( 2.77 KB )
  128. /yingpanguazai/ssd/ssd1/www/wwww.yeyulingfeng.com/vendor/topthink/framework/src/think/log/driver/File.php ( 5.96 KB )
  129. /yingpanguazai/ssd/ssd1/www/wwww.yeyulingfeng.com/vendor/topthink/framework/src/think/contract/LogHandlerInterface.php ( 0.86 KB )
  130. /yingpanguazai/ssd/ssd1/www/wwww.yeyulingfeng.com/vendor/topthink/framework/src/think/log/Channel.php ( 3.89 KB )
  131. /yingpanguazai/ssd/ssd1/www/wwww.yeyulingfeng.com/vendor/topthink/framework/src/think/event/LogRecord.php ( 1.02 KB )
  132. /yingpanguazai/ssd/ssd1/www/wwww.yeyulingfeng.com/vendor/topthink/think-helper/src/Collection.php ( 16.47 KB )
  133. /yingpanguazai/ssd/ssd1/www/wwww.yeyulingfeng.com/vendor/topthink/framework/src/think/facade/View.php ( 1.70 KB )
  134. /yingpanguazai/ssd/ssd1/www/wwww.yeyulingfeng.com/vendor/topthink/framework/src/think/View.php ( 4.39 KB )
  135. /yingpanguazai/ssd/ssd1/www/wwww.yeyulingfeng.com/vendor/topthink/framework/src/think/Response.php ( 8.81 KB )
  136. /yingpanguazai/ssd/ssd1/www/wwww.yeyulingfeng.com/vendor/topthink/framework/src/think/response/View.php ( 3.29 KB )
  137. /yingpanguazai/ssd/ssd1/www/wwww.yeyulingfeng.com/vendor/topthink/framework/src/think/Cookie.php ( 6.06 KB )
  138. /yingpanguazai/ssd/ssd1/www/wwww.yeyulingfeng.com/vendor/topthink/think-view/src/Think.php ( 8.38 KB )
  139. /yingpanguazai/ssd/ssd1/www/wwww.yeyulingfeng.com/vendor/topthink/framework/src/think/contract/TemplateHandlerInterface.php ( 1.60 KB )
  140. /yingpanguazai/ssd/ssd1/www/wwww.yeyulingfeng.com/vendor/topthink/think-template/src/Template.php ( 46.61 KB )
  141. /yingpanguazai/ssd/ssd1/www/wwww.yeyulingfeng.com/vendor/topthink/think-template/src/template/driver/File.php ( 2.41 KB )
  142. /yingpanguazai/ssd/ssd1/www/wwww.yeyulingfeng.com/vendor/topthink/think-template/src/template/contract/DriverInterface.php ( 0.86 KB )
  143. /yingpanguazai/ssd/ssd1/www/wwww.yeyulingfeng.com/runtime/temp/10a0c909b6afa23b5a52a2e2d58c3c0f.php ( 21.72 KB )
  144. /yingpanguazai/ssd/ssd1/www/wwww.yeyulingfeng.com/vendor/topthink/think-trace/src/Html.php ( 4.42 KB )
  1. CONNECT:[ UseTime:0.000517s ] mysql:host=127.0.0.1;port=3306;dbname=wenku;charset=utf8mb4
  2. SHOW FULL COLUMNS FROM `fenlei` [ RunTime:0.000741s ]
  3. SELECT * FROM `fenlei` WHERE `fid` = 0 [ RunTime:0.000292s ]
  4. SELECT * FROM `fenlei` WHERE `fid` = 63 [ RunTime:0.000251s ]
  5. SHOW FULL COLUMNS FROM `set` [ RunTime:0.000477s ]
  6. SELECT * FROM `set` [ RunTime:0.000246s ]
  7. SHOW FULL COLUMNS FROM `wendang` [ RunTime:0.000575s ]
  8. SELECT * FROM `wendang` WHERE `id` = 160282 LIMIT 1 [ RunTime:0.000559s ]
  9. UPDATE `wendang` SET `liulancishu` = 8 WHERE `id` = 160282 [ RunTime:0.005711s ]
  10. UPDATE `wendang` SET `lasttime` = 1773119570 WHERE `id` = 160282 [ RunTime:0.000565s ]
  11. SELECT * FROM `wendang` WHERE `id` < 160282 ORDER BY `id` DESC LIMIT 1 [ RunTime:0.000563s ]
  12. SELECT * FROM `wendang` WHERE `id` > 160282 ORDER BY `id` ASC LIMIT 1 [ RunTime:0.000413s ]
  13. SELECT * FROM `wendang` WHERE `id` <> 160282 ORDER BY `id` DESC LIMIT 10 [ RunTime:0.002729s ]
  14. SELECT * FROM `wendang` WHERE `id` <> 160282 ORDER BY `id` DESC LIMIT 10,10 [ RunTime:0.001600s ]
  15. SELECT * FROM `wendang` WHERE `id` <> 160282 ORDER BY `id` DESC LIMIT 20,10 [ RunTime:0.003636s ]
0.090889s