当前位置:首页>文档>精品解析:2022年四川省绵阳市中考历史真题(原卷版)_中考真题_6.历史中考真题2015-2024年_2022中考历史真题104份18

精品解析:2022年四川省绵阳市中考历史真题(原卷版)_中考真题_6.历史中考真题2015-2024年_2022中考历史真题104份18

  • 2026-04-14 18:41:02 2026-02-09 00:29:45

文档预览

精品解析:2022年四川省绵阳市中考历史真题(原卷版)_中考真题_6.历史中考真题2015-2024年_2022中考历史真题104份18
精品解析:2022年四川省绵阳市中考历史真题(原卷版)_中考真题_6.历史中考真题2015-2024年_2022中考历史真题104份18
精品解析:2022年四川省绵阳市中考历史真题(原卷版)_中考真题_6.历史中考真题2015-2024年_2022中考历史真题104份18
精品解析:2022年四川省绵阳市中考历史真题(原卷版)_中考真题_6.历史中考真题2015-2024年_2022中考历史真题104份18
精品解析:2022年四川省绵阳市中考历史真题(原卷版)_中考真题_6.历史中考真题2015-2024年_2022中考历史真题104份18
精品解析:2022年四川省绵阳市中考历史真题(原卷版)_中考真题_6.历史中考真题2015-2024年_2022中考历史真题104份18
精品解析:2022年四川省绵阳市中考历史真题(原卷版)_中考真题_6.历史中考真题2015-2024年_2022中考历史真题104份18
精品解析:2022年四川省绵阳市中考历史真题(原卷版)_中考真题_6.历史中考真题2015-2024年_2022中考历史真题104份18
精品解析:2022年四川省绵阳市中考历史真题(原卷版)_中考真题_6.历史中考真题2015-2024年_2022中考历史真题104份18
精品解析:2022年四川省绵阳市中考历史真题(原卷版)_中考真题_6.历史中考真题2015-2024年_2022中考历史真题104份18

文档信息

文档格式
docx
文档大小
2.885 MB
文档页数
6 页
上传时间
2026-02-09 00:29:45

文档内容

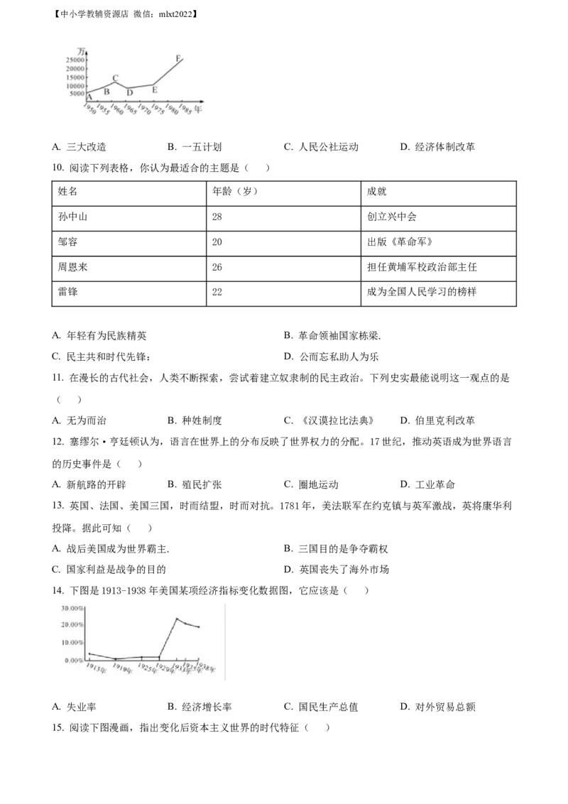
【中小学教辅资源店 微信:mlxt2022】 绵阳市 2022 年高中阶段学校招生暨初中学业水平考试历史与社会 历史试题 一、选择题 1. 文物是我们研究历史的第一手资料,下列文物都可以用来研究( ) A. 贵族等级制度 B. 军事技术 C. 小农经济 D. 冶炼铸造 2. 《后汉书·华佗传》记载:“人体欲得劳动,但不当使极耳。动摇则谷气得销,血脉流通,病不得生, 譬犹户枢,终不朽也。”据此可知华佗( ) A. 发明“麻沸散” B. 发展“治未病”思想 C. 提倡劳动锻炼 D. 总结中国药物学成就 3. “春风得意马蹄疾,一日看尽长安花”体现了孟郊从社会下层一跃而人上层社会的喜悦。导致这种社会 阶层流动的制度因素是( ) A. 分封制 B. 察举制 C. 科举制 D. 三省六部制 的 4. 文字是文化 载体,是民族联系的纽带。下列“国”字是汉字不同时期的写法。对“国”字正确解读是 ( ) A. 最早起源夏朝 B. 在中国对外文明交往中产生 C. 体现儒家思想 D. 是中华文明发展创新的见证 5. 张海鹏教授在《近代中国历史进程概说》中写道:“近代中国社会的发展轨迹像个元宝形,开始是下降, 降到谷底,然后上升,升出一片光明……”发展轨迹如下图。图中A段下降的主要原因是( ) . A 列强侵华 B. 洋务运动 C. 义和团运动 D. 北洋军阀统治【中小学教辅资源店 微信:mlxt2022】 6. 随着社会经济和文化的发展,人们的风俗习惯也发生着变化。观察下图,你认为导致变化的历史事件是 ( ) . A 戊戌变法 B. 辛亥革命 C. 新文化运动 D. 新中国建立 7. 孙连仲将军命令:“士兵打完了你就自己上前填进去。你填过了,我就来填进去。’中国军人用勇气和 生命取得了抗战以来正面战场最大的一场胜利。这一壮举发生在( ) A. B. C. D. 8. 20世纪60——70年代,为了加强国防安全,中国开展了大规模的三线建设运动。同学们熟知的九院等 军工企业纷纷迁人绵阳。据此可推知当时绵阳成为( ) A. 中国的工业中心 B. 国防建设的基地 C. 改革开放的前沿 D. 教育发展的先锋 9. 阅读下图《中国城镇人口数量变化情况》,指出图中E-F点变化的原因是( )【中小学教辅资源店 微信:mlxt2022】 A. 三大改造 B. 一五计划 C. 人民公社运动 D. 经济体制改革 10. 阅读下列表格,你认为最适合的主题是( ) 姓名 年龄(岁) 成就 孙中山 28 创立兴中会 邹容 20 出版《革命军》 周恩来 26 担任黄埔军校政治部主任 雷锋 22 成为全国人民学习的榜样 A. 年轻有为民族精英 B. 革命领袖国家栋梁. C. 民主共和时代先锋: D. 公而忘私助人为乐 11. 在漫长的古代社会,人类不断探索,尝试着建立奴隶制的民主政治。下列史实最能说明这一观点的是 ( ) A. 无为而治 B. 种姓制度 C. 《汉谟拉比法典》 D. 伯里克利改革 12. 塞缪尔·亨廷顿认为,语言在世界上的分布反映了世界权力的分配。17世纪,推动英语成为世界语言 的历史事件是( ) A. 新航路的开辟 B. 殖民扩张 C. 圈地运动 D. 工业革命 13. 英国、法国、美国三国,时而结盟,时而对抗。1781年,美法联军在约克镇与英军激战,英将康华利 投降。据此可知( ) A. 战后美国成为世界霸主. B. 三国目的是争夺霸权 C. 国家利益是战争的目的 D. 英国丧失了海外市场 14. 下图是1913-1938年美国某项经济指标变化数据图,它应该是( ) A. 失业率 B. 经济增长率 C. 国民生产总值 D. 对外贸易总额 15. 阅读下图漫画,指出变化后资本主义世界的时代特征( )【中小学教辅资源店 微信:mlxt2022】 . A 美国援助遏制苏联 B. 欧日崛起三足鼎立 C. 美苏争霸抱团取暖 D. 欧日同盟对抗美国 16. 2022 年3月23日下午,神舟十三号航天员翟志刚、王亚平、叶光富在中国空间站开讲天宫课堂”, 给同学们展示科技 发展的魅力。这堂课主要得益于( ) A. 航天技术与通信技术 B. 核能技术与通信技术 C. 生物技术与航天技术 D. 基因技术与核能技术 17. 马克思主义是科学的理论,是人民的理论,是实践的理论,是发展的理论。阅读下列材料,回答问题。 【理论诞生曙光初现】 材料一 工业革命改变了世界,同时也造成了新的社会矛盾。19世纪三四十年代,工人运动在欧洲蓬 勃兴起,表明无产阶级开始作为独立的政治力量登上了历史舞台 ——摘编自人教版初中教材九年级(上册) (1)根据材料- -并结合所学知识,指出《共产党宣言》发表的背景和无产阶级建立政权的第一次伟大尝 试。 【实践成功光耀世界】 材料二 1929-1933年,整个资本主义世界的工业产量下降了40%以上,贸易額减少了2/3,失业人数 超过了3000万。1928-1937年,苏联的工业总产值已跃居欧洲第一位、世界第二位。【中小学教辅资源店 微信:mlxt2022】 ——摘编自人教版初中教材九年级(下册) 二战前后部分地区社会主义国家统计表 时间 二战前 二战后 欧洲 苏联 苏联、东欧等9国 亚洲 ____ 中国、朝鲜、越南等 拉美 ____ 古巴 的 (2)根据材料二并结合所学知识,指出资本主义世界和苏联经济发展差异 原因。分析指出二战前后社 会主义国家数量变化的意义。 【中国智慧传承创新】 材料三 (3)根据材料三并结合所学知识,指出“站起来”的标志事件和中国共产党对马克思主义理论的发展创 新。 (4)综合以上材料并结合所学知识,谈谈你对社会主义运动发展的认识。【中小学教辅资源店 微信:mlxt2022】