当前位置:首页>文档>四川省绵阳市高中2022级第二次诊断性考试化学答案_2025年1月_250117四川省绵阳市高中2022级第二次诊断性考试(全科)_四川省绵阳市高中2022级第二次诊断性考试化学

四川省绵阳市高中2022级第二次诊断性考试化学答案_2025年1月_250117四川省绵阳市高中2022级第二次诊断性考试(全科)_四川省绵阳市高中2022级第二次诊断性考试化学

  • 2026-04-10 07:39:37 2026-02-11 01:20:28

文档预览

四川省绵阳市高中2022级第二次诊断性考试化学答案_2025年1月_250117四川省绵阳市高中2022级第二次诊断性考试(全科)_四川省绵阳市高中2022级第二次诊断性考试化学
四川省绵阳市高中2022级第二次诊断性考试化学答案_2025年1月_250117四川省绵阳市高中2022级第二次诊断性考试(全科)_四川省绵阳市高中2022级第二次诊断性考试化学
四川省绵阳市高中2022级第二次诊断性考试化学答案_2025年1月_250117四川省绵阳市高中2022级第二次诊断性考试(全科)_四川省绵阳市高中2022级第二次诊断性考试化学
四川省绵阳市高中2022级第二次诊断性考试化学答案_2025年1月_250117四川省绵阳市高中2022级第二次诊断性考试(全科)_四川省绵阳市高中2022级第二次诊断性考试化学

文档信息

文档格式
doc
文档大小
0.062 MB
文档页数
2 页
上传时间
2026-02-11 01:20:28

文档内容

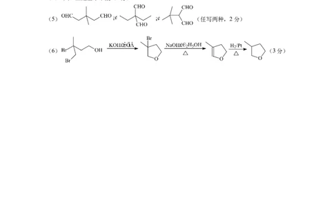
绵阳市高 2022 级第二次诊断考试 化学参考答案和评分标准 一、选择题: 1. C 2. A 3. D 4. C 5. B 6. D 7. A 8. A 9. C 10. B 11. C 12. D 13. B 14. B 15. C 二、非选择题: 16.(13分) (1)Ar(1分) CE(2分) (2)2Fe2++HO+2H+==2Fe3++2HO(2分) 2 2 2 (3)4.7~6.2(2分) Fe(OH) 、Al(OH) (2分) 3 3 (4)4×10-4(2分) (5)LaNiH–6e-+6OH-==LaNi+6HO(2分) 5 6 5 2 17.(15分) (1)干燥氯气(1分) 球形冷凝管(1分) (2)AC(2分) (3)排出装置内空气,防止空气中水蒸气使VOCl 水解(2分) 3 通冷凝水(1分) 球形冷凝管中不再有黄色液体流出(2分) (4)VOCl+2HO+4NH== NHVO ↓+3NHCl(2分) 3 2 3 4 3 4 (5)B(2分) 86.45(2分) 18.(13分) (1)+49.8(2分) 不能(1分) (2)①反应I、III均为吸热反应,升高温度,平衡向正反应方向移动(2分) ②38%(2分) (2分) (3)反应I的活化能大于反应III,温度升高,其速率增加的倍数更大。520 K后反应I占优,CO的物 质的量分数增大(2分) (4)HCOOCH +HO === CH OH+HCOOH(2分) 3 2 3 19.(14分) 化学参考答案 第1页(共2页)(1) (2分) (2) (2分) (3)还原反应(1分) 氨基、酯基(2分) (4)2,4,6-三羟基苯甲酸(2分) (5) (任写两种,2分) (6) (3分) 化学参考答案 第2页(共2页)