当前位置:首页>文档>2008年高考数学试卷(理)(陕西)(解析卷)_数学历年高考真题_新·PDF版2008-2025·高考数学真题_数学(按试卷类型分类)2008-2025_自主命题卷·数学(2008-2025)

2008年高考数学试卷(理)(陕西)(解析卷)_数学历年高考真题_新·PDF版2008-2025·高考数学真题_数学(按试卷类型分类)2008-2025_自主命题卷·数学(2008-2025)

  • 2026-04-09 14:33:13 2026-02-11 17:23:12

文档预览

2008年高考数学试卷(理)(陕西)(解析卷)_数学历年高考真题_新·PDF版2008-2025·高考数学真题_数学(按试卷类型分类)2008-2025_自主命题卷·数学(2008-2025)
2008年高考数学试卷(理)(陕西)(解析卷)_数学历年高考真题_新·PDF版2008-2025·高考数学真题_数学(按试卷类型分类)2008-2025_自主命题卷·数学(2008-2025)
2008年高考数学试卷(理)(陕西)(解析卷)_数学历年高考真题_新·PDF版2008-2025·高考数学真题_数学(按试卷类型分类)2008-2025_自主命题卷·数学(2008-2025)
2008年高考数学试卷(理)(陕西)(解析卷)_数学历年高考真题_新·PDF版2008-2025·高考数学真题_数学(按试卷类型分类)2008-2025_自主命题卷·数学(2008-2025)
2008年高考数学试卷(理)(陕西)(解析卷)_数学历年高考真题_新·PDF版2008-2025·高考数学真题_数学(按试卷类型分类)2008-2025_自主命题卷·数学(2008-2025)
2008年高考数学试卷(理)(陕西)(解析卷)_数学历年高考真题_新·PDF版2008-2025·高考数学真题_数学(按试卷类型分类)2008-2025_自主命题卷·数学(2008-2025)
2008年高考数学试卷(理)(陕西)(解析卷)_数学历年高考真题_新·PDF版2008-2025·高考数学真题_数学(按试卷类型分类)2008-2025_自主命题卷·数学(2008-2025)
2008年高考数学试卷(理)(陕西)(解析卷)_数学历年高考真题_新·PDF版2008-2025·高考数学真题_数学(按试卷类型分类)2008-2025_自主命题卷·数学(2008-2025)
2008年高考数学试卷(理)(陕西)(解析卷)_数学历年高考真题_新·PDF版2008-2025·高考数学真题_数学(按试卷类型分类)2008-2025_自主命题卷·数学(2008-2025)
2008年高考数学试卷(理)(陕西)(解析卷)_数学历年高考真题_新·PDF版2008-2025·高考数学真题_数学(按试卷类型分类)2008-2025_自主命题卷·数学(2008-2025)
2008年高考数学试卷(理)(陕西)(解析卷)_数学历年高考真题_新·PDF版2008-2025·高考数学真题_数学(按试卷类型分类)2008-2025_自主命题卷·数学(2008-2025)
2008年高考数学试卷(理)(陕西)(解析卷)_数学历年高考真题_新·PDF版2008-2025·高考数学真题_数学(按试卷类型分类)2008-2025_自主命题卷·数学(2008-2025)
2008年高考数学试卷(理)(陕西)(解析卷)_数学历年高考真题_新·PDF版2008-2025·高考数学真题_数学(按试卷类型分类)2008-2025_自主命题卷·数学(2008-2025)
2008年高考数学试卷(理)(陕西)(解析卷)_数学历年高考真题_新·PDF版2008-2025·高考数学真题_数学(按试卷类型分类)2008-2025_自主命题卷·数学(2008-2025)
2008年高考数学试卷(理)(陕西)(解析卷)_数学历年高考真题_新·PDF版2008-2025·高考数学真题_数学(按试卷类型分类)2008-2025_自主命题卷·数学(2008-2025)

文档信息

文档格式
pdf
文档大小
0.223 MB
文档页数
11 页
上传时间
2026-02-11 17:23:12

文档内容

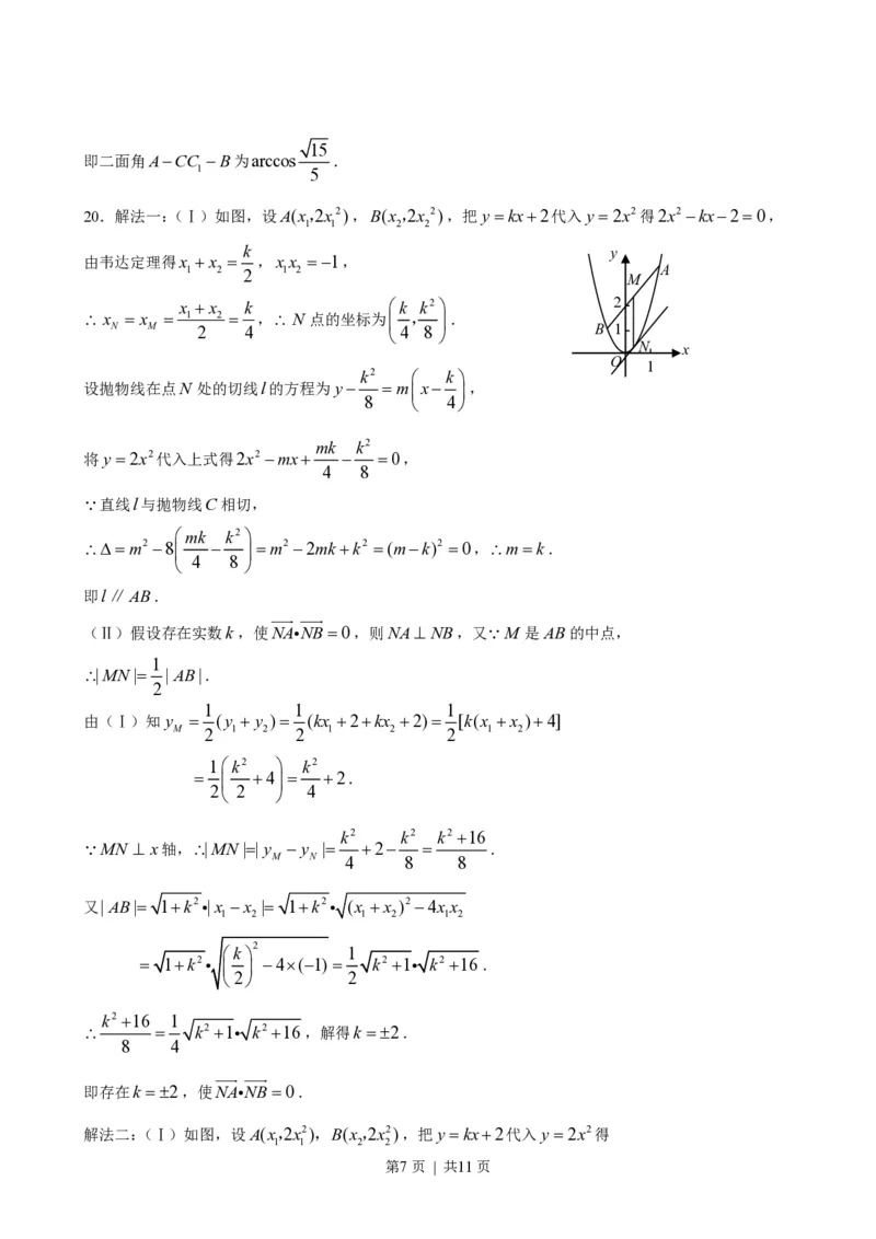
2008 年普通高等学校招生全国统一考试(陕西卷) 理科数学(必修+选修Ⅱ) 一、选择题:在每小题给出的四个选项中,只有一项是符合题目要求的(本大题共12小题,每小题5分, 共60分). i(2+i) 1.复数 等于( ) 1-2i A.i B.-i C.1 D.-1 2.已知全集U ={1,2,3,4,5},集合A={x|x2 -3x+2=0},B={x|x=2a,aÎA},则集合ð (A B) U U 中元素的个数为( ) A.1 B.2 C.3 D.4 3.△ABC的内角A,B,C的对边分别为a,b,c,若c= 2,b= 6,B=120o,则a等于( ) A. 6 B.2 C. 3 D. 2 4.已知{a }是等差数列,a +a =4,a +a =28,则该数列前10项和S 等于( ) n 1 2 7 8 10 A.64 B.100 C.110 D.120 5.直线 3x- y+m=0与圆x2 + y2 -2x-2=0相切,则实数m等于( ) A. 3或- 3 B.- 3或3 3 C.-3 3或 3 D.-3 3或3 3 1 a 6.“a= ”是“对任意的正数x,2x+ ≥1”的( ) 8 x A.充分不必要条件 B.必要不充分条件 C.充要条件 D.既不充分也不必要条件 7.已知函数 f(x)=2x+3, f -1(x)是 f(x)的反函数,若mn=16(m,nÎR+),则 f -1(m)+ f -1(n)的 值为( ) A.-2 B.1 C.4 D.10 x2 y2 8.双曲线 - =1(a>0,b>0)的左、右焦点分别是F,F ,过F 作倾斜角为30o的直线交双曲 a2 b2 1 2 1 线右支于M 点,若MF 垂直于x轴,则双曲线的离心率为( ) 2 3 A. 6 B. 3 C. 2 D. 3 9.如图,a^b,a b=l,AÎa,BÎb,A,B到l的距离分别是a和b,AB与a,b所成的角分 I 别是q和j,AB在a,b内的射影分别是m和n,若a>b,则( ) 第1页 | 共11页A.q>j,m>n B.q>j,mn a B b l ìy≥1, ï 10.已知实数x,y满足íy≤2x-1,如果目标函数z = x- y的最小值为-1,则实数m等于( ) ï x+ y≤m. î A.7 B.5 C.4 D.3 11.定义在R上的函数 f(x)满足 f(x+ y)= f(x)+ f(y)+2xy(x,yÎR), f(1)=2,则 f(-3)等 于( ) A.2 B.3 C.6 D.9 12.为提高信息在传输中的抗干扰能力,通常在原信息中按一定规则加入相关数据组成传输信息.设定原 信息为a aa,a Î{0,1}(i =0,1,2),传输信息为h a aa h ,其中h =a Åa,h =h Åa ,Å运算 0 1 2 i 0 0 1 2 1 0 0 1 1 0 2 规则为:0Å0=0,0Å1=1,1Å0=1,1Å1=0,例如原信息为111,则传输信息为01111.传输信 息在传输过程中受到干扰可能导致接收信息出错,则下列接收信息一定有误的是( ) A.11010 B.01100 C.10111 D.00011 二、填空题:把答案填在答题卡相应题号后的横线上(本大题共4小题,每小题4分,共16分). (1+a)n+1 13.lim =2,则a= . n→¥ n+a 14.长方体ABCD-ABC D 的各顶点都在球O的球面上,其中AB:AD:AA =1:1: 2.A,B两点 1 1 1 1 1 m 的球面距离记为m,A,D 两点的球面距离记为n,则 的值为 . 1 n 15.关于平面向量a,b,c.有下列三个命题: ①若a b=a c,则b=c.②若a =(1,k),b=(-2,6),a∥b,则k =-3. g g ③非零向量a和b满足|a|=|b|=|a-b|,则a与a+b的夹角为60o. 其中真命题的序号为 .(写出所有真命题的序号) 16.某地奥运火炬接力传递路线共分6段,传递活动分别由6名火炬手完成.如果第一棒火炬手只能从甲、 乙、丙三人中产生,最后一棒火炬手只能从甲、乙两人中产生,则不同的传递方案共有 种.(用 数字作答). 三、解答题:解答应写出文字说明,证明过程或演算步骤(本大题共6小题,共74分) 17.(本小题满分12分) x x x 已知函数 f(x)=2sin cos -2 3sin2 + 3. 4 4 4 (Ⅰ)求函数 f(x)的最小正周期及最值; æ πö (Ⅱ)令g(x)= f ç x+ ÷,判断函数g(x)的奇偶性,并说明理由. è 3ø 第2页 | 共11页18.(本小题满分12分) 某射击测试规则为:每人最多射击3次,击中目标即终止射击,第i次击中目标得1~i (i =1,2,3)分,3次 均未击中目标得0分.已知某射手每次击中目标的概率为0.8,其各次射击结果互不影响. (Ⅰ)求该射手恰好射击两次的概率; (Ⅱ)该射手的得分记为x,求随机变量x的分布列及数学期望. 19.(本小题满分12分) 三棱锥被平行于底面ABC的平面所截得的几何体如图所示,截面为ABC ,ÐBAC =90o,AA^平面 1 1 1 1 BD 1 ABC,AA= 3,AB= 2 ,AC =2,AC =1, = . 1 1 1 DC 2 (Ⅰ)证明:平面AAD^平面BCC B ; 1 1 1 A 1 C 1 B 1 (Ⅱ)求二面角A-CC -B的大小. 1 A C B D 20.(本小题满分12分) 已知抛物线C: y =2x2,直线 y =kx+2交C于A,B两点,M 是线段AB的中点,过M 作x轴的垂 线交C于点N . (Ⅰ)证明:抛物线C在点N 处的切线与AB平行; uuur uuur (Ⅱ)是否存在实数k使NA NB=0,若存在,求k的值;若不存在,说明理由. g 21.(本小题满分12分) kx+1 已知函数 f(x)= (c>0且c¹1,kÎR)恰有一个极大值点和一个极小值点,其中一个是 x2 +c x=-c. (Ⅰ)求函数 f(x)的另一个极值点; (Ⅱ)求函数 f(x)的极大值M 和极小值m,并求M -m≥1时k的取值范围. 第3页 | 共11页22.(本小题满分14分) 3 3a 已知数列{a }的首项a = ,a = n ,n=1,2, . n 1 5 n+1 2a +1 L n (Ⅰ)求{a }的通项公式; n 1 1 æ 2 ö (Ⅱ)证明:对任意的x>0,a n ≥ 1+x - (1+x)2 ç è3n -x ÷ ø ,n=1,2, L ; n2 (Ⅲ)证明:a +a + +a > . 1 2 L n n+1 2008 年普通高等学校招生全国统一考试(陕西卷) 理科数学(必修+选修Ⅱ)参考答案 一、1.D 2.B 3.D 4.B 5.C 6.A 7.A 8.B 9.D 10.B 11.C 12.C 1 二、13.1 14. 15.② 16.96 2 x x x x æ x πö 三、17.解:(Ⅰ) Q f(x)=sin + 3(1-2sin2 ) =sin + 3cos =2sin ç + ÷. 2 4 2 2 è2 3ø 2π \ f(x)的最小正周期T = =4π. 1 2 æ x πö æ x πö 当sin ç + ÷ =-1时, f(x)取得最小值-2;当sin ç + ÷ =1时, f(x)取得最大值2. è2 3ø è2 3ø æ x πö æ πö (Ⅱ)由(Ⅰ)知 f(x)=2sin ç + ÷.又g(x)= f ç x+ ÷. è2 3ø è 3ø é1æ πö πù æ x πö x \ g(x)=2sin ê ç x+ ÷ + ú =2sin ç + ÷ =2cos . ë2è 3ø 3û è2 2ø 2 第4页 | 共11页æ xö x Q g(-x)=2cos ç - ÷ =2cos = g(x). è 2ø 2 \函数g(x)是偶函数. 18.(Ⅰ)设该射手第i次击中目标的事件为A(i =1,2,3),则P(A)=0.8,P(A)=0.2, i i i P(AA)= P(A)P(A)=0.2´0.8=0.16. i i i i (Ⅱ)x可能取的值为0,1,2,3. x的分布列为 x 0 1 2 3 P 0.008 0.032 0.16 0.8 E =0´0.008+1´0.032+2´0.16+3´0.8=2.752. x 19.解法一:(Ⅰ) AA^平面ABC,BC Ì平面ABC, Q 1 \ AA^ BC .在Rt△ABC 中,AB= 2,AC =2,\BC = 6, 1 6 BD 3 AB BD:DC =1:2,\BD= ,又 = = , Q 3 AB 3 BC \△DBA∽△ABC,\ÐADB=ÐBAC =90o,即AD^ BC. 又AA AD= A,\BC ^平面AAD, 1 I 1 BC Ì平面BCC B ,\平面AAD ^平面BCC B . Q 1 1 1 1 1 (Ⅱ)如图,作AE ^CC交CC 于E点,连接BE, 1 1 由已知得AB^平面ACC A . 1 1 A C 1 1 B \AE 是BE在面ACC A 内的射影. 1 1 1 E 由三垂线定理知BE ^CC , A 1 C F \ÐAEB为二面角A-CC -B的平面角. B D 1 (第19题,解法一) 过C 作C F ^ AC 交AC于F 点, 1 1 则CF = AC-AF =1,C F = AA= 3, 1 1 第5页 | 共11页\ÐCCF =60o. 1 3 在Rt△AEC 中,AE = ACsin60o =2´ = 3. 2 AB 2 6 在Rt△BAE中,tanAEB= = = . AE 3 3 z 6 \ÐAEB=arctan , A 1 C 1 3 B 1 6 即二面角A-CC -B为arctan . A 1 3 y C B D 解法二:(Ⅰ)如图,建立空间直角坐标系, x 则A(0,0,0),B( 2,0,0),C(0,2,0),A(0,0,3),C (0,1,3), (第19题,解法二) 1 1 uuur 1uuur BD:DC =1:2,\BD= BC. Q 3 æ2 2 2 ö \D点坐标为ç ,,0÷. ç ÷ 3 3 è ø uuur æ2 2 2 ö uuur uuur \ AD=ç ,,0÷,BC =(- 2,2,0),AA =(0,0,3). ç 3 3 ÷ 1 è ø uuur uuur uuur uuur BC AA =0,BC AD=0,\BC ^ AA ,BC ^ AD,又AA AD= A, Q g 1 g 1 1 I \BC ^平面AAD,又BC Ì平面BCC B ,\平面AAD^平面BCC B . 1 1 1 1 1 1 uuur (Ⅱ) BA^平面ACC A ,取m = AB=( 2,0,0)为平面ACC A 的法向量, Q 1 1 1 1 uuur uuuur 设平面BCC B 的法向量为n=(l,m,n),则BC n=0,CC n=0. 1 1 g 1g ì ï- 2l+2m=0, 3 \í \l = 2m,n= m, ïî-m+ 3n=0, 3 æ 3ö 如图,可取m=1,则n=ç 2,1, ÷, ç ÷ 3 è ø 3 2´ 2+0´1+0´ 3 15 cos= = , 2 5 æ 3ö ( 2)2 +02 +02 g ( 2)2 +12 +ç ÷ 3 è ø 第6页 | 共11页15 即二面角A-CC -B为arccos . 1 5 20.解法一:(Ⅰ)如图,设A(x,2x2),B(x,2x 2),把y =kx+2代入y =2x2得2x2 -kx-2=0, 1 1 2 2 k y 由韦达定理得x +x = ,x x =-1, 1 2 2 1 2 M A x +x k æk k2 ö 2 \ x = x = 1 2 = ,\ N 点的坐标为ç , ÷. N M 2 4 è4 8 ø B 1 N x O 1 k2 æ k ö 设抛物线在点N 处的切线l的方程为y- =m ç x- ÷, 8 è 4ø mk k2 将y =2x2代入上式得2x2 -mx+ - =0, 4 8 直线l与抛物线C相切, Q æmk k2 ö \D=m2 -8ç - ÷=m2 -2mk+k2 =(m-k)2 =0,\m=k. è 4 8 ø 即l∥AB. uuur uuur (Ⅱ)假设存在实数k,使NA NB=0,则NA^ NB,又 M 是AB的中点, g Q 1 \|MN |= | AB|. 2 1 1 1 由(Ⅰ)知y = (y + y )= (kx +2+kx +2)= [k(x +x )+4] M 2 1 2 2 1 2 2 1 2 1æk2 ö k2 = ç +4÷= +2. 2è 2 ø 4 k2 k2 k2 +16 MN ^ x轴,\|MN |=| y - y |= +2- = . Q M N 4 8 8 又| AB|= 1+k2 |x -x |= 1+k2 (x +x )2 -4x x g 1 2 g 1 2 1 2 2 æk ö 1 = 1+k2 g ç ÷ -4´(-1) = k2 +1 g k2 +16. è2ø 2 k2 +16 1 \ = k2 +1 k2 +16,解得k =±2. g 8 4 uuur uuur 即存在k =±2,使NA NB=0. g 解法二:(Ⅰ)如图,设A(x,2x2),B(x,2x2),把y =kx+2代入y =2x2得 1 1 2 2 第7页 | 共11页k 2x2 -kx-2=0.由韦达定理得x +x = ,x x =-1. 1 2 2 1 2 x +x k æk k2 ö \ x N = x M = 1 2 2 = 4 ,\ N 点的坐标为ç è4 , 8 ÷ ø . Q y =2x2,\y¢=4x, k \抛物线在点N 处的切线l的斜率为4´ =k ,\l∥AB. 4 uuur uuur (Ⅱ)假设存在实数k,使NA NB=0. g uuur æ k k2 ö uuur æ k k2 ö 由(Ⅰ)知NA=çx - ,2x2 - ÷ ,NB=çx - ,2x2 - ÷,则 è 1 4 1 8 ø è 2 4 2 8 ø uuur uuur æ k öæ k ö æ k2 öæ k2 ö NA g NB= ç è x 1 - 4 ÷ ø ç è x 2 - 4 ÷ ø +ç è 2x 1 2 - 8 ÷ ø ç è 2x 2 2 - 8 ÷ ø æ k öæ k ö æ k2 öæ k2 ö = ç x - ÷ç x - ÷ +4çx2 - ÷çx2 - ÷ è 1 4øè 2 4ø è 1 16øè 2 16ø æ k öæ k ö é æ k öæ k öù = x - x - 1+4 x + x + ç è 1 4 ÷ ø ç è 2 4 ÷ ø gê ë ç è 1 4 ÷ ø ç è 2 4 ÷ ø ú û é k k2ù é k2ù = x x - x +x + 1+4x x +k(x +x )+ ê ë 1 2 4 1 2 16 ú û gê ë 1 2 1 2 4 ú û æ k k k2 ö é k k2ù =ç-1- ´ + ÷gê 1+4´(-1)+k´ + ú è 4 2 16ø ë 2 4 û æ k2 öæ 3 ö =ç-1- ÷ç -3+ k2 ÷ è 16øè 4 ø =0, k2 3 -1- <0,\-3+ k2 =0,解得k =±2. Q 16 4 uuur uuur 即存在k =±2,使NA NB=0. g k(x2 +c)-2x(kx+1) -kx2 -2x+ck 21.解:(Ⅰ) f¢(x)= = ,由题意知 f¢(-c)=0, (x2 +c)2 (x2 +c)2 即得c2k-2c-ck =0,(*) c¹0,\k ¹0. Q 由 f¢(x)=0得-kx2 -2x+ck =0, 第8页 | 共11页2 由韦达定理知另一个极值点为x=1(或x=c- ). k 2 2 (Ⅱ)由(*)式得k = ,即c=1+ . c-1 k 当c>1时,k >0;当00时, f(x)在(-¥,-c)和(1,+¥)内是减函数,在(-c,1)内是增函数. k+1 k \M = f(1)= = >0, c+1 2 -kc+1 -k2 m= f(-c)= = <0, c2 +c 2(k+2) k k2 由M -m= + ≥1及k >0,解得k≥ 2. 2 2(k+2) (ii)当k <-2时, f(x)在(-¥,-c)和(1,+¥)内是增函数,在(-c,1)内是减函数. -k2 k \M = f(-c)= >0,m= f(1)= <0 2(k+2) 2 -k2 k (k+1)2 +1 M -m= - =1- ≥1恒成立. 2(k+2) 2 k+2 综上可知,所求k的取值范围为(-¥,-2) [ 2,+¥). U 3a 1 2 1 1 1æ 1 ö 22.解法一:(Ⅰ) Q a n+1 = 2a + n 1 ,\ a = 3 + 3a ,\ a -1= 3 ç a -1÷, è ø n n+1 n n+1 n 1 2 æ 1 ö 2 1 又 -1= ,\ç -1÷是以 为首项, 为公比的等比数列. a 3 a 3 3 è ø n n 1 2 1 2 3n \ -1= = ,\a = . a 3 g 3n-1 3n n 3n +2 n 3n (Ⅱ)由(Ⅰ)知a = >0, n 3n +2 1 1 æ 2 ö - -x ç ÷ 1+x (1+x)2 è3n ø 1 1 æ 2 ö = - +1-1-x ç ÷ 1+x (1+x)2 è3n ø 第9页 | 共11页1 1 é 1 ù = - -(1+x) ê ú 1+x (1+x)2 a ë û n 1 1 2 =- + g a (1+x)2 1+x n 2 1 æ 1 ö =- ç -a ÷ +a ≤a ,\原不等式成立. a è1+x n ø n n n (Ⅲ)由(Ⅱ)知,对任意的x>0,有 1 1 æ2 ö 1 1 æ 2 ö 1 1 æ 2 ö a +a + +a ≥ - -x + - -x + + - -x 1 2 L n 1+x (1+x)2 ç è3 ÷ ø 1+x (1+x)2 ç è32 ÷ ø L 1+x (1+x)2 ç è3n ÷ ø n 1 æ2 2 2 ö = - ç + + L + -nx ÷. 1+x (1+x)2 è3 32 3n ø 2æ 1 ö 1- ç ÷ 1æ2 2 2 ö 3è 3n ø 1æ 1 ö \取x= ç + + L + ÷ = = ç 1- ÷, nè3 32 3n ø æ 1ö nè 3n ø n 1- ç ÷ è 3ø n n2 n2 则a +a + +a ≥ = > . 1 2 L n 1æ 1 ö 1 n+1 1+ 1- n+1- ç ÷ nè 3n ø 3n \原不等式成立. 解法二:(Ⅰ)同解法一. 1 1 æ 2 ö (Ⅱ)设 f(x)= - ç -x ÷, 1+x (1+x)2 è3n ø æ 2 ö æ 2 ö -(1+x)2 - -x 2(1+x) 2 -x ç ÷g ç ÷ 1 è3n ø è3n ø 则 f¢(x)=- - = (1+x)2 (1+x)2 (1+x)2 x>0, Q 2 2 \当x< 时, f¢(x)>0;当x> 时, f¢(x)<0, 3n 3n 2 æ 2 ö 1 \当x= 时, f(x)取得最大值 f ç ÷ = =a . 3n è3n ø 2 n 1+ 3n \原不等式成立. (Ⅲ)同解法一. 第10页 | 共11页B卷选择题答案: 1.D 2.C 3.A 4.B 5.C 6.A 7.D 8.C 9.C 10.B 11.B 12.D 第11页 | 共11页