当前位置:首页>文档>2024届Z20名校联盟(浙江省名校新高考研究联盟)高三第一次联考化学答案(1)_2023年8月_028月合集_2024届浙江省名校新高考研究联盟(Z20名校联盟)高三第一次联考

2024届Z20名校联盟(浙江省名校新高考研究联盟)高三第一次联考化学答案(1)_2023年8月_028月合集_2024届浙江省名校新高考研究联盟(Z20名校联盟)高三第一次联考

  • 2026-04-19 17:14:34 2026-02-12 11:41:17

文档预览

2024届Z20名校联盟(浙江省名校新高考研究联盟)高三第一次联考化学答案(1)_2023年8月_028月合集_2024届浙江省名校新高考研究联盟(Z20名校联盟)高三第一次联考
2024届Z20名校联盟(浙江省名校新高考研究联盟)高三第一次联考化学答案(1)_2023年8月_028月合集_2024届浙江省名校新高考研究联盟(Z20名校联盟)高三第一次联考
2024届Z20名校联盟(浙江省名校新高考研究联盟)高三第一次联考化学答案(1)_2023年8月_028月合集_2024届浙江省名校新高考研究联盟(Z20名校联盟)高三第一次联考
2024届Z20名校联盟(浙江省名校新高考研究联盟)高三第一次联考化学答案(1)_2023年8月_028月合集_2024届浙江省名校新高考研究联盟(Z20名校联盟)高三第一次联考

文档信息

文档格式
pdf
文档大小
0.239 MB
文档页数
2 页
上传时间
2026-02-12 11:41:17

文档内容

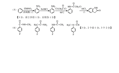
Z20 名校联盟(浙江省名校新高考研究联盟)2024 届高三第一次联考 化学参考答案 一、选择题(48分) 1 2 3 4 5 6 7 8 9 10 11 12 13 14 15 16 C B A B C B A D A B B A C D D C 二、非选择题(共52分) 17.[10分] (1)2s22p1【2分】 (2)B【2分】 (3)sp3 sp2【2分】 (4)AlF 是离子晶体而BF 是分子晶体,前者的离子键强于后者的范德华力【2分】 3 3 (5)①MgB 【1分】 ②6【1分】 2 18.[10分] 一定条件 (1)2S+3Cl +SO 3SOCl 【2分,未配平给1分,无条件不扣分】 2 3 2 (2)A【2分】 (3)CH COOH+SOCl CH COCl+SO ↑+HCl↑【2分,无↑不扣分】 3 2 3 2 (4)O、Cl的电负性比S大,(S=O和S-Cl的电子均偏离S),使S的正电性(δ+)较大; 水中O的负电性(δ-)较大,容易进攻S(且Cl的离去能力较好),从而发生反应。 【2分,说出S的正电性给1分,( )中内容不作要求】 (5)取样,加盐酸溶解,分成2份。一份滴加BaCl 溶液,产生白色沉淀说明有SO2ˉ; 2 4 另一份滴加K [Fe(CN) ]溶液,有蓝色沉淀,说明有Fe2+生成。 3 6 【2分,两种检验各1分,加水溶解,检验时加盐酸也给分】 19.[10分] (1)+115.4【2分】 (2)①C【2分】 ②70 2或99【2分】 ③变小【1分】 (3)①吹出体系中的O 【1分】 2 ②温度过低,反应速率小;温度过高,反应物在催化剂表面的吸附量减少成为主因,反应 速率小【2分】 20.[10分] (1)打开K ,关闭K 、K 【2分】 3 1 2 (2)生成H 排除装置内空气;加少量柠檬酸;E水封,整个装置密闭进行反应【2分,2种】 2 (3)pH 过高,Fe2+会生成 Fe(OH) 沉淀;pH 过低,不利于形成 H NCH COO-,导致生成的甘 2 2 2 氨酸亚铁偏少【2分】 (4)CD【2分,各1分】 (5)D、C、F、E【2分】 Z20名校联盟(浙江省名校新高考研究联盟)2024届高三第一次联考 化学参考答案 第 1 页 共 2 页 {#{QQABLYaAggAIABAAARgCAQFgCEMQkAAAAIgOxFAAMAIBCAFABAA=}#}21.[12分] (1)酰胺基【1分,写键也给分,写氨不给分】 (2)AB【2分,选对1个给1分】 (3) Z20名校联盟(浙江省名校新高考研究联盟)2024届高三第一次联考 化学参考答案 第 2 页 共 2 页 F O C N C l C l 【1分】 (4) F N H 2 + ( C H 3 C O ) 2 O F HN O + C H 3 C O O H 【2分,生成H O给1分】 2 (5) 浓 浓 硫 H N 酸 O / 3△ N O 2 F e /H C l N H 2 C l C H 9 2 0 O C ℃ C l H N O C C H 2 C lA lC △ l3 N H O 【3分,前2步给1分,后续各1分】 O O O O C NH CH 3 H 2 C C NH 2 NH C CH 3 H 3 C N CH (6) 【3分,2个给1分,3个2分】 F F F F {#{QQABLYaAggAIABAAARgCAQFgCEMQkAAAAIgOxFAAMAIBCAFABAA=}#}