当前位置:首页>文档>化学答案(1)_2023年10月_0210月合集_2024届重庆市铜梁一中等三校高三上学期10月联考_重庆市铜梁一中等三校2024届高三上学期10月联考化学

化学答案(1)_2023年10月_0210月合集_2024届重庆市铜梁一中等三校高三上学期10月联考_重庆市铜梁一中等三校2024届高三上学期10月联考化学

  • 2026-04-09 14:04:57 2026-02-12 16:11:21

文档预览

化学答案(1)_2023年10月_0210月合集_2024届重庆市铜梁一中等三校高三上学期10月联考_重庆市铜梁一中等三校2024届高三上学期10月联考化学
化学答案(1)_2023年10月_0210月合集_2024届重庆市铜梁一中等三校高三上学期10月联考_重庆市铜梁一中等三校2024届高三上学期10月联考化学
化学答案(1)_2023年10月_0210月合集_2024届重庆市铜梁一中等三校高三上学期10月联考_重庆市铜梁一中等三校2024届高三上学期10月联考化学
化学答案(1)_2023年10月_0210月合集_2024届重庆市铜梁一中等三校高三上学期10月联考_重庆市铜梁一中等三校2024届高三上学期10月联考化学

文档信息

文档格式
docx
文档大小
0.180 MB
文档页数
2 页
上传时间
2026-02-12 16:11:21

文档内容

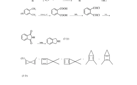
高 2024 级高三上期 10 月适应性联考化学答案 题号 1 2 3 4 5 6 7 答案 B D A C C C D 题号 8 9 10 11 12 13 14 答案 B D D B C B D 15.(14分,除特殊标注外,每空2分) (1) 0.4 (1分) 5.1(1分) (2) ① +1(1分) 氧化(1分) ② Ag-e-=Ag+ ③OH-+H PO =H PO -+H O 3 2 2 2 2 (3)① BaSO、Mg(OH) (写对一个一分,写错不给分) 4 2 ② 、 、 、Mg2+ (未写完一分,写错不给分) 16.(14分,除特殊标注外,每空2分) (1) 【Ar】3d104S1 (1分) (2) 将灼烧后的矿石粉碎(适当升温或适当增大稀硫酸的浓度等合理答案) (1分) (3) NH Cu2++Cu+2Cl-=2CuCl↓ 3 (4) c 加速乙醇的挥发,防止CuCl被氧化 (5)4CuCl+O +4H O=2Cu (OH) Cl+2HCl 2 2 2 3 17.(16分,除特殊标注外,每空2分) (1) 冷凝管 (1分) (2) 温度过高,SCl 容易分解 (1分) 装置D中淡黄色粉末消失,烧瓶F中无液体滴下 2 2 (3) 极性 (1分) sp3 (1分) (4) SCl 能与水反应,需要防止装置G中的水蒸气进入装置F中,可在G与F间连接装有 2 2 碱石灰的干燥管(合理即可) (5)①2SCl+2H O=SO ↑+4HCl+3S↓ 2 2 2 2 ②滴入最后半滴NaSCN溶液,溶液变成浅红色,且30s不褪色 ③ 防止生成的AgCl与NaSCN反应导致V 偏高,使SCl 2 2 2 含量偏低 18.(14分,除特殊标注外,每空2分) (1)羧基 (1分) 取代反应 (1分) 学科网(北京)股份有限公司(2) D (3) (4) (4) (3分) (5) 、 、 、 、 (3分) 学科网(北京)股份有限公司