当前位置:首页>文档>湖南省衡阳市第八中学2023-2024学年高三上学期开学考试数学答案_2023年8月_01每日更新_29号_2024届湖南省衡阳市第八中学高三上学期开学检测

湖南省衡阳市第八中学2023-2024学年高三上学期开学考试数学答案_2023年8月_01每日更新_29号_2024届湖南省衡阳市第八中学高三上学期开学检测

  • 2026-02-19 04:18:51 2026-02-13 08:12:58

文档预览

湖南省衡阳市第八中学2023-2024学年高三上学期开学考试数学答案_2023年8月_01每日更新_29号_2024届湖南省衡阳市第八中学高三上学期开学检测
湖南省衡阳市第八中学2023-2024学年高三上学期开学考试数学答案_2023年8月_01每日更新_29号_2024届湖南省衡阳市第八中学高三上学期开学检测
湖南省衡阳市第八中学2023-2024学年高三上学期开学考试数学答案_2023年8月_01每日更新_29号_2024届湖南省衡阳市第八中学高三上学期开学检测
湖南省衡阳市第八中学2023-2024学年高三上学期开学考试数学答案_2023年8月_01每日更新_29号_2024届湖南省衡阳市第八中学高三上学期开学检测
湖南省衡阳市第八中学2023-2024学年高三上学期开学考试数学答案_2023年8月_01每日更新_29号_2024届湖南省衡阳市第八中学高三上学期开学检测
湖南省衡阳市第八中学2023-2024学年高三上学期开学考试数学答案_2023年8月_01每日更新_29号_2024届湖南省衡阳市第八中学高三上学期开学检测
湖南省衡阳市第八中学2023-2024学年高三上学期开学考试数学答案_2023年8月_01每日更新_29号_2024届湖南省衡阳市第八中学高三上学期开学检测
湖南省衡阳市第八中学2023-2024学年高三上学期开学考试数学答案_2023年8月_01每日更新_29号_2024届湖南省衡阳市第八中学高三上学期开学检测
湖南省衡阳市第八中学2023-2024学年高三上学期开学考试数学答案_2023年8月_01每日更新_29号_2024届湖南省衡阳市第八中学高三上学期开学检测

文档信息

文档格式
docx
文档大小
0.773 MB
文档页数
9 页
上传时间
2026-02-13 08:12:58

文档内容

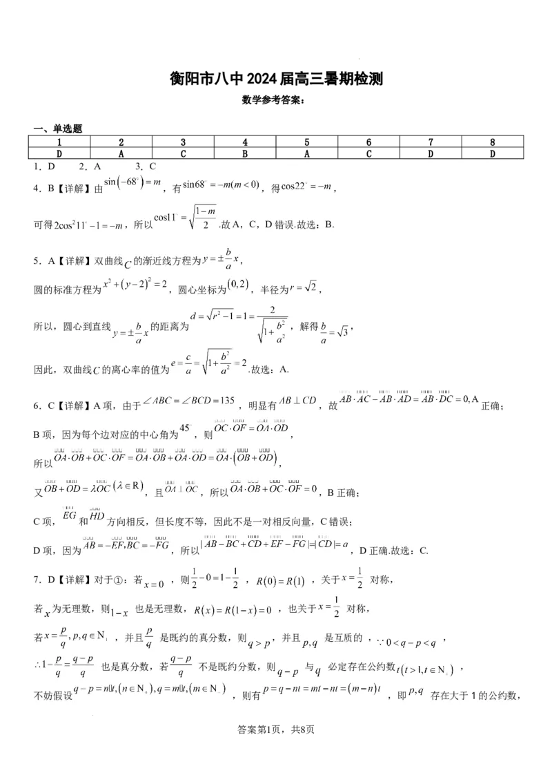
衡阳市八中 2024 届高三暑期检测 数学参考答案: 一、单选题 1 2 3 4 5 6 7 8 D A C B A C D D 1.D 2.A 3.C 4.B【详解】由 ,有 ,得 , 可得 ,所以 .故A,C,D错误.故选:B. 5.A【详解】双曲线 的渐近线方程为 , 圆的标准方程为 ,圆心坐标为 ,半径为 , 所以,圆心到直线 的距离为 ,解得 , 因此,双曲线 的离心率的值为 .故选:A. 6.C【详解】A项,由于 ,明显有 ,故 正确; B项,因为每个边对应的中心角为 ,则 , 所以 , 又 ,且 ,所以 ,B正确; C项, 和 方向相反,但长度不等,因此不是一对相反向量,C错误; D项,因为 ,所以 ,D正确.故选:C. 7.D【详解】对于①:若 ,则 , ,关于 对称, 若 为无理数,则 也是无理数, ,也关于 对称, 若 ,并且 是既约的真分数,则 ,并且 是互质的 , , 也是真分数,若 不是既约分数,则 与 必定存在公约数 , 不妨假设 ,则有 ,即 存在大于1的公约数, 答案第1页,共8页 学科网(北京)股份有限公司与题设矛盾,故 也是既约分数, ,即关于 对称, 故①正确; 对于②, 时, ,故②错误; 对于③,当 时,有 , ,但当 时 ,故③错误; 对于④, , , 构造函数 , ,则 , 单调递增, ,即 当 时 , , , 当 时, , , ,故④正确; 对于⑤, ,故⑤正确; 故选:D. 8.D【详解】不等式 可整理为 , 令 ,定义域为 ,则原不等式可看成 , ,令 ,解得 ,令 ,解得 ,所以 在 上单调递减, 上 单调递增, 令 ,则 ,令 ,则 ,令 ,则 , 所以 在 上单调递增, 上单调递减,且 ,所以 ,即 ,即 , 当 时, , ,所以 ,解得 ; 答案第2页,共8页当 时, , ,所以 ,不成立; 综上可得,不等式 的解集为 .故选:D. 二、多选题 9 10 11 12 ABC ACD BC AB 9.ABC【详解】对选项A,从2010-2019年,我国研究生在校女生人数逐渐增加,故A正确; 对选项B,由于2010-2019年,我国研究生在校女生人数逐年增加,且2019年人数为144.8万,故B正确; 对选项C,2017年我国研究生在校女生人数所占比重为48.4%,不足一半,故C正确; 对选项D, ,故2019年我国研究生在校总人数超过285万,故D项错误. 故选:ABC 10.ACD【详解】由函数的图象可知, , ,则 , , 由 ,解得 ,因为 ,所以 , , 所以A正确. 令 ,解得 ,故B错误. 令 ,解得 ,所以C正确. 对于D, ,则 ,值域为 , 所以 ,解得 ,即实数 的取值范围为 ,故D正确. 11.BC 【详解】对于A,连接 , 由题意可知 ,因为 ,所以 ,所以 共面, 故选项A错误; 对于B,连接 , 由题意可知 , 所以 ,故选项B正确; 对于C,连接 , 答案第3页,共8页 学科网(北京)股份有限公司由正方体的性质可知 平面 ,所以 即为直线 与平面 所成的角,则 ,故选项C正确; 对于D,连接 ,根据正方体的性质可得 ,且 , 所以平面 即为过点B,E,F的平面截正方体的截面,该四边形为梯形,其上底 , 下底为 ,高为 ,所以截面面积为 ,故选项D错误; 12.AB【详解】由题意,对于选项A,因为 ,所以 的中垂线 与双曲线有交点,即有 , 解得 ,故选项A正确;对于选项B,因为 ,解得 ,所以 ,所以 ,故选项B正确;对于选项C,由题意可得 显然不等,故选项C错误; 对于选项D,若 为右顶点时,则 为坐标原点,此时 ,故选项D错误. 三、填空题 13. 【详解】由已知条件可知二项式系数和为 ,可得 , 令 ,则 .故答案为: . 14. 【详解】由题得 在 方向上的投影为 ,又因为 , 为单位向量,则 ,所以 ,所以 ,即 .故答案为: . 15.1【详解】由抛物线 可得准线方程为 , 设 ,由余弦定理可得 , 由抛物线定义可得P到准线的距离等于 ,Q到准线的距离等于 , M为 的中点,由梯形的中位线定理可得M到准线 的距离为 , 则弦 的中点M到y轴的距离 , 故 , 又 , 答案第4页,共8页则 ,当且仅当 时,等号成立, 所以 的最小值为1,故答案为:1 16. .【详解】因为 , 当 时, 时, 单调递增,不合题意; 当 时, 时, ,函数 在区间 上是严格减函数, 则 ,即 ; 当 时, 时, ,函数 在区间 上是严格减函数,则 ,即 ; 当 时, , ,因此 在 是单调递增,不合题意; 综上, 的范围是 .故答案为: . 四、解答题 17.(1) (2)证明见解析 【详解】(1)因为 ,则 化为 , 即 ,所以 ,所以 是首项为 ,公差为 的等差数列, 所以 ,解得 , 当 时, , 不满足上式,所以 . (2)结合(1)得, , 所以 ,因为 ,所以 . 18.(1)3 (2) 【详解】(1)因为平面四边形 存在外接圆, 答案第5页,共8页 学科网(北京)股份有限公司所以 , , 又 ,所以 , 所以 的面积 . (2)在 中,由余弦定理得 ,解得 . 在 中,由余弦定理得 , 即 . 由此得 ,当且仅当 时,等号成立, 所以 ,故 的周长 . 19.(1)证明见解析 (2) 【详解】(1)证明:因为侧面 底面ABCD, , 所以 底面ABCD,所以 .又因为 ,即 , 因此可以D为原点建立如图所示的空间直角坐标系, 则 , , 所以 ,所以 .由 底面ABCD,可得 , 又因为 ,所以 平面 . (2)因为 ,又 ,设 ,则 , 所以 .设平面EBD的法向量为 , 因为 ,由 ,得 , 令 ,则可得平面EBD的一个法向量为 , , , , 代入 ,化简得 ,解得 或 ,又由题意知 ,故 . 答案第6页,共8页20.(1) (2)分布列见解析, 【详解】(1)用事件 分别表示每局比赛“甲获胜”,“乙获胜”或“平局”,则 , 记“进行4局比赛后甲学员赢得比赛”为事件 ,则事件 包括事件 共5种, 所以 . (2)因为 ,所以每局比赛结果仅有“甲获胜”和“乙获胜”,即 , 由题意得 的所有可能取值为 ,则 , , . 所以 的分布列为 2 4 5 所以 的期望 , 因为 ,所以 ,当且仅当 时等号成立,所以 , 所以 ,故 的最大值为 . 21.(1) (2) . 答案第7页,共8页 学科网(北京)股份有限公司【详解】(1)依题意 ,解得 ,所以 的方程为 . (2)因为 不与 轴重合,所以设 的方程为 , 设点 ,则 联立 ,得 , 则 因为点 三点共线且斜率一定存在,所以 , 所以 ,将 代入 化简可得 ,故 ,解得 ,满足 所以直线 过定点 ,且 为椭圆右焦点 设所求内切圆半径为 ,因为 , 所以 令 ,则 ,所以 , 因为 ,对勾函数 在 上单调递增,所以 ,则 . 所以内切圆半径 的范围为 . 22.(1)答案见解析 (2) ,理由见解析 【详解】(1)由 ,得 ,又 ,所以 , 则 ,所以 , . 当 时,令 ,得 或 ;令 ,得 ; 所以 在 和 上单调递增,在 上单调递减; 当 时,令 ,得 ;令 ,得 或 ; 答案第8页,共8页所以 在 与 上单调递减,在 上单调递增. (2) ,理由如下:因为 , 由 ,得 ,解得 或 . 因为 ,所以 , , 是 的正根,则 , 又 ,所以 , , 两式相减得 . 令 , ,则 ,得 ,则 . 令 ,则 , 所以 , ,可得 . 设 ,则 ,再设 ,则 , 所以 在 上为增函数,则 , 即 ,则 在 上为增函数, 从而 ,所以 ,即 , 所以 ,即 . 【点睛】关键点睛:本题第2小题的解决关键是利用换元法,将 转化为 ,从而再利用导数处理双变量的方法求解即可. 答案第9页,共8页 学科网(北京)股份有限公司
基本 文件 流程 错误 SQL 调试
  1. 请求信息 : 2026-03-03 02:17:00 HTTP/1.1 GET : https://www.yeyulingfeng.com/wendang/217833.html
  2. 运行时间 : 0.217670s [ 吞吐率:4.59req/s ] 内存消耗:5,539.30kb 文件加载:144
  3. 缓存信息 : 0 reads,0 writes
  4. 会话信息 : SESSION_ID=5bef77eb983bd3d0be1bf681718defc5
  1. /yingpanguazai/ssd/ssd1/www/wwww.yeyulingfeng.com/public/index.php ( 0.79 KB )
  2. /yingpanguazai/ssd/ssd1/www/wwww.yeyulingfeng.com/vendor/autoload.php ( 0.17 KB )
  3. /yingpanguazai/ssd/ssd1/www/wwww.yeyulingfeng.com/vendor/composer/autoload_real.php ( 2.49 KB )
  4. /yingpanguazai/ssd/ssd1/www/wwww.yeyulingfeng.com/vendor/composer/platform_check.php ( 0.90 KB )
  5. /yingpanguazai/ssd/ssd1/www/wwww.yeyulingfeng.com/vendor/composer/ClassLoader.php ( 14.03 KB )
  6. /yingpanguazai/ssd/ssd1/www/wwww.yeyulingfeng.com/vendor/composer/autoload_static.php ( 6.05 KB )
  7. /yingpanguazai/ssd/ssd1/www/wwww.yeyulingfeng.com/vendor/topthink/think-helper/src/helper.php ( 8.34 KB )
  8. /yingpanguazai/ssd/ssd1/www/wwww.yeyulingfeng.com/vendor/topthink/think-validate/src/helper.php ( 2.19 KB )
  9. /yingpanguazai/ssd/ssd1/www/wwww.yeyulingfeng.com/vendor/ralouphie/getallheaders/src/getallheaders.php ( 1.60 KB )
  10. /yingpanguazai/ssd/ssd1/www/wwww.yeyulingfeng.com/vendor/topthink/think-orm/src/helper.php ( 1.47 KB )
  11. /yingpanguazai/ssd/ssd1/www/wwww.yeyulingfeng.com/vendor/topthink/think-orm/stubs/load_stubs.php ( 0.16 KB )
  12. /yingpanguazai/ssd/ssd1/www/wwww.yeyulingfeng.com/vendor/topthink/framework/src/think/Exception.php ( 1.69 KB )
  13. /yingpanguazai/ssd/ssd1/www/wwww.yeyulingfeng.com/vendor/topthink/think-container/src/Facade.php ( 2.71 KB )
  14. /yingpanguazai/ssd/ssd1/www/wwww.yeyulingfeng.com/vendor/symfony/deprecation-contracts/function.php ( 0.99 KB )
  15. /yingpanguazai/ssd/ssd1/www/wwww.yeyulingfeng.com/vendor/symfony/polyfill-mbstring/bootstrap.php ( 8.26 KB )
  16. /yingpanguazai/ssd/ssd1/www/wwww.yeyulingfeng.com/vendor/symfony/polyfill-mbstring/bootstrap80.php ( 9.78 KB )
  17. /yingpanguazai/ssd/ssd1/www/wwww.yeyulingfeng.com/vendor/symfony/var-dumper/Resources/functions/dump.php ( 1.49 KB )
  18. /yingpanguazai/ssd/ssd1/www/wwww.yeyulingfeng.com/vendor/topthink/think-dumper/src/helper.php ( 0.18 KB )
  19. /yingpanguazai/ssd/ssd1/www/wwww.yeyulingfeng.com/vendor/symfony/var-dumper/VarDumper.php ( 4.30 KB )
  20. /yingpanguazai/ssd/ssd1/www/wwww.yeyulingfeng.com/vendor/guzzlehttp/guzzle/src/functions_include.php ( 0.16 KB )
  21. /yingpanguazai/ssd/ssd1/www/wwww.yeyulingfeng.com/vendor/guzzlehttp/guzzle/src/functions.php ( 5.54 KB )
  22. /yingpanguazai/ssd/ssd1/www/wwww.yeyulingfeng.com/vendor/topthink/framework/src/think/App.php ( 15.30 KB )
  23. /yingpanguazai/ssd/ssd1/www/wwww.yeyulingfeng.com/vendor/topthink/think-container/src/Container.php ( 15.76 KB )
  24. /yingpanguazai/ssd/ssd1/www/wwww.yeyulingfeng.com/vendor/psr/container/src/ContainerInterface.php ( 1.02 KB )
  25. /yingpanguazai/ssd/ssd1/www/wwww.yeyulingfeng.com/app/provider.php ( 0.19 KB )
  26. /yingpanguazai/ssd/ssd1/www/wwww.yeyulingfeng.com/vendor/topthink/framework/src/think/Http.php ( 6.04 KB )
  27. /yingpanguazai/ssd/ssd1/www/wwww.yeyulingfeng.com/vendor/topthink/think-helper/src/helper/Str.php ( 7.29 KB )
  28. /yingpanguazai/ssd/ssd1/www/wwww.yeyulingfeng.com/vendor/topthink/framework/src/think/Env.php ( 4.68 KB )
  29. /yingpanguazai/ssd/ssd1/www/wwww.yeyulingfeng.com/app/common.php ( 0.03 KB )
  30. /yingpanguazai/ssd/ssd1/www/wwww.yeyulingfeng.com/vendor/topthink/framework/src/helper.php ( 18.78 KB )
  31. /yingpanguazai/ssd/ssd1/www/wwww.yeyulingfeng.com/vendor/topthink/framework/src/think/Config.php ( 5.54 KB )
  32. /yingpanguazai/ssd/ssd1/www/wwww.yeyulingfeng.com/config/alipay.php ( 3.59 KB )
  33. /yingpanguazai/ssd/ssd1/www/wwww.yeyulingfeng.com/vendor/topthink/framework/src/think/facade/Env.php ( 1.67 KB )
  34. /yingpanguazai/ssd/ssd1/www/wwww.yeyulingfeng.com/config/app.php ( 0.95 KB )
  35. /yingpanguazai/ssd/ssd1/www/wwww.yeyulingfeng.com/config/cache.php ( 0.78 KB )
  36. /yingpanguazai/ssd/ssd1/www/wwww.yeyulingfeng.com/config/console.php ( 0.23 KB )
  37. /yingpanguazai/ssd/ssd1/www/wwww.yeyulingfeng.com/config/cookie.php ( 0.56 KB )
  38. /yingpanguazai/ssd/ssd1/www/wwww.yeyulingfeng.com/config/database.php ( 2.48 KB )
  39. /yingpanguazai/ssd/ssd1/www/wwww.yeyulingfeng.com/config/filesystem.php ( 0.61 KB )
  40. /yingpanguazai/ssd/ssd1/www/wwww.yeyulingfeng.com/config/lang.php ( 0.91 KB )
  41. /yingpanguazai/ssd/ssd1/www/wwww.yeyulingfeng.com/config/log.php ( 1.35 KB )
  42. /yingpanguazai/ssd/ssd1/www/wwww.yeyulingfeng.com/config/middleware.php ( 0.19 KB )
  43. /yingpanguazai/ssd/ssd1/www/wwww.yeyulingfeng.com/config/route.php ( 1.89 KB )
  44. /yingpanguazai/ssd/ssd1/www/wwww.yeyulingfeng.com/config/session.php ( 0.57 KB )
  45. /yingpanguazai/ssd/ssd1/www/wwww.yeyulingfeng.com/config/trace.php ( 0.34 KB )
  46. /yingpanguazai/ssd/ssd1/www/wwww.yeyulingfeng.com/config/view.php ( 0.82 KB )
  47. /yingpanguazai/ssd/ssd1/www/wwww.yeyulingfeng.com/app/event.php ( 0.25 KB )
  48. /yingpanguazai/ssd/ssd1/www/wwww.yeyulingfeng.com/vendor/topthink/framework/src/think/Event.php ( 7.67 KB )
  49. /yingpanguazai/ssd/ssd1/www/wwww.yeyulingfeng.com/app/service.php ( 0.13 KB )
  50. /yingpanguazai/ssd/ssd1/www/wwww.yeyulingfeng.com/app/AppService.php ( 0.26 KB )
  51. /yingpanguazai/ssd/ssd1/www/wwww.yeyulingfeng.com/vendor/topthink/framework/src/think/Service.php ( 1.64 KB )
  52. /yingpanguazai/ssd/ssd1/www/wwww.yeyulingfeng.com/vendor/topthink/framework/src/think/Lang.php ( 7.35 KB )
  53. /yingpanguazai/ssd/ssd1/www/wwww.yeyulingfeng.com/vendor/topthink/framework/src/lang/zh-cn.php ( 13.70 KB )
  54. /yingpanguazai/ssd/ssd1/www/wwww.yeyulingfeng.com/vendor/topthink/framework/src/think/initializer/Error.php ( 3.31 KB )
  55. /yingpanguazai/ssd/ssd1/www/wwww.yeyulingfeng.com/vendor/topthink/framework/src/think/initializer/RegisterService.php ( 1.33 KB )
  56. /yingpanguazai/ssd/ssd1/www/wwww.yeyulingfeng.com/vendor/services.php ( 0.14 KB )
  57. /yingpanguazai/ssd/ssd1/www/wwww.yeyulingfeng.com/vendor/topthink/framework/src/think/service/PaginatorService.php ( 1.52 KB )
  58. /yingpanguazai/ssd/ssd1/www/wwww.yeyulingfeng.com/vendor/topthink/framework/src/think/service/ValidateService.php ( 0.99 KB )
  59. /yingpanguazai/ssd/ssd1/www/wwww.yeyulingfeng.com/vendor/topthink/framework/src/think/service/ModelService.php ( 2.04 KB )
  60. /yingpanguazai/ssd/ssd1/www/wwww.yeyulingfeng.com/vendor/topthink/think-trace/src/Service.php ( 0.77 KB )
  61. /yingpanguazai/ssd/ssd1/www/wwww.yeyulingfeng.com/vendor/topthink/framework/src/think/Middleware.php ( 6.72 KB )
  62. /yingpanguazai/ssd/ssd1/www/wwww.yeyulingfeng.com/vendor/topthink/framework/src/think/initializer/BootService.php ( 0.77 KB )
  63. /yingpanguazai/ssd/ssd1/www/wwww.yeyulingfeng.com/vendor/topthink/think-orm/src/Paginator.php ( 11.86 KB )
  64. /yingpanguazai/ssd/ssd1/www/wwww.yeyulingfeng.com/vendor/topthink/think-validate/src/Validate.php ( 63.20 KB )
  65. /yingpanguazai/ssd/ssd1/www/wwww.yeyulingfeng.com/vendor/topthink/think-orm/src/Model.php ( 23.55 KB )
  66. /yingpanguazai/ssd/ssd1/www/wwww.yeyulingfeng.com/vendor/topthink/think-orm/src/model/concern/Attribute.php ( 21.05 KB )
  67. /yingpanguazai/ssd/ssd1/www/wwww.yeyulingfeng.com/vendor/topthink/think-orm/src/model/concern/AutoWriteData.php ( 4.21 KB )
  68. /yingpanguazai/ssd/ssd1/www/wwww.yeyulingfeng.com/vendor/topthink/think-orm/src/model/concern/Conversion.php ( 6.44 KB )
  69. /yingpanguazai/ssd/ssd1/www/wwww.yeyulingfeng.com/vendor/topthink/think-orm/src/model/concern/DbConnect.php ( 5.16 KB )
  70. /yingpanguazai/ssd/ssd1/www/wwww.yeyulingfeng.com/vendor/topthink/think-orm/src/model/concern/ModelEvent.php ( 2.33 KB )
  71. /yingpanguazai/ssd/ssd1/www/wwww.yeyulingfeng.com/vendor/topthink/think-orm/src/model/concern/RelationShip.php ( 28.29 KB )
  72. /yingpanguazai/ssd/ssd1/www/wwww.yeyulingfeng.com/vendor/topthink/think-helper/src/contract/Arrayable.php ( 0.09 KB )
  73. /yingpanguazai/ssd/ssd1/www/wwww.yeyulingfeng.com/vendor/topthink/think-helper/src/contract/Jsonable.php ( 0.13 KB )
  74. /yingpanguazai/ssd/ssd1/www/wwww.yeyulingfeng.com/vendor/topthink/think-orm/src/model/contract/Modelable.php ( 0.09 KB )
  75. /yingpanguazai/ssd/ssd1/www/wwww.yeyulingfeng.com/vendor/topthink/framework/src/think/Db.php ( 2.88 KB )
  76. /yingpanguazai/ssd/ssd1/www/wwww.yeyulingfeng.com/vendor/topthink/think-orm/src/DbManager.php ( 8.52 KB )
  77. /yingpanguazai/ssd/ssd1/www/wwww.yeyulingfeng.com/vendor/topthink/framework/src/think/Log.php ( 6.28 KB )
  78. /yingpanguazai/ssd/ssd1/www/wwww.yeyulingfeng.com/vendor/topthink/framework/src/think/Manager.php ( 3.92 KB )
  79. /yingpanguazai/ssd/ssd1/www/wwww.yeyulingfeng.com/vendor/psr/log/src/LoggerTrait.php ( 2.69 KB )
  80. /yingpanguazai/ssd/ssd1/www/wwww.yeyulingfeng.com/vendor/psr/log/src/LoggerInterface.php ( 2.71 KB )
  81. /yingpanguazai/ssd/ssd1/www/wwww.yeyulingfeng.com/vendor/topthink/framework/src/think/Cache.php ( 4.92 KB )
  82. /yingpanguazai/ssd/ssd1/www/wwww.yeyulingfeng.com/vendor/psr/simple-cache/src/CacheInterface.php ( 4.71 KB )
  83. /yingpanguazai/ssd/ssd1/www/wwww.yeyulingfeng.com/vendor/topthink/think-helper/src/helper/Arr.php ( 16.63 KB )
  84. /yingpanguazai/ssd/ssd1/www/wwww.yeyulingfeng.com/vendor/topthink/framework/src/think/cache/driver/File.php ( 7.84 KB )
  85. /yingpanguazai/ssd/ssd1/www/wwww.yeyulingfeng.com/vendor/topthink/framework/src/think/cache/Driver.php ( 9.03 KB )
  86. /yingpanguazai/ssd/ssd1/www/wwww.yeyulingfeng.com/vendor/topthink/framework/src/think/contract/CacheHandlerInterface.php ( 1.99 KB )
  87. /yingpanguazai/ssd/ssd1/www/wwww.yeyulingfeng.com/app/Request.php ( 0.09 KB )
  88. /yingpanguazai/ssd/ssd1/www/wwww.yeyulingfeng.com/vendor/topthink/framework/src/think/Request.php ( 55.78 KB )
  89. /yingpanguazai/ssd/ssd1/www/wwww.yeyulingfeng.com/app/middleware.php ( 0.25 KB )
  90. /yingpanguazai/ssd/ssd1/www/wwww.yeyulingfeng.com/vendor/topthink/framework/src/think/Pipeline.php ( 2.61 KB )
  91. /yingpanguazai/ssd/ssd1/www/wwww.yeyulingfeng.com/vendor/topthink/think-trace/src/TraceDebug.php ( 3.40 KB )
  92. /yingpanguazai/ssd/ssd1/www/wwww.yeyulingfeng.com/vendor/topthink/framework/src/think/middleware/SessionInit.php ( 1.94 KB )
  93. /yingpanguazai/ssd/ssd1/www/wwww.yeyulingfeng.com/vendor/topthink/framework/src/think/Session.php ( 1.80 KB )
  94. /yingpanguazai/ssd/ssd1/www/wwww.yeyulingfeng.com/vendor/topthink/framework/src/think/session/driver/File.php ( 6.27 KB )
  95. /yingpanguazai/ssd/ssd1/www/wwww.yeyulingfeng.com/vendor/topthink/framework/src/think/contract/SessionHandlerInterface.php ( 0.87 KB )
  96. /yingpanguazai/ssd/ssd1/www/wwww.yeyulingfeng.com/vendor/topthink/framework/src/think/session/Store.php ( 7.12 KB )
  97. /yingpanguazai/ssd/ssd1/www/wwww.yeyulingfeng.com/vendor/topthink/framework/src/think/Route.php ( 23.73 KB )
  98. /yingpanguazai/ssd/ssd1/www/wwww.yeyulingfeng.com/vendor/topthink/framework/src/think/route/RuleName.php ( 5.75 KB )
  99. /yingpanguazai/ssd/ssd1/www/wwww.yeyulingfeng.com/vendor/topthink/framework/src/think/route/Domain.php ( 2.53 KB )
  100. /yingpanguazai/ssd/ssd1/www/wwww.yeyulingfeng.com/vendor/topthink/framework/src/think/route/RuleGroup.php ( 22.43 KB )
  101. /yingpanguazai/ssd/ssd1/www/wwww.yeyulingfeng.com/vendor/topthink/framework/src/think/route/Rule.php ( 26.95 KB )
  102. /yingpanguazai/ssd/ssd1/www/wwww.yeyulingfeng.com/vendor/topthink/framework/src/think/route/RuleItem.php ( 9.78 KB )
  103. /yingpanguazai/ssd/ssd1/www/wwww.yeyulingfeng.com/route/app.php ( 3.63 KB )
  104. /yingpanguazai/ssd/ssd1/www/wwww.yeyulingfeng.com/vendor/topthink/framework/src/think/facade/Route.php ( 4.70 KB )
  105. /yingpanguazai/ssd/ssd1/www/wwww.yeyulingfeng.com/vendor/topthink/framework/src/think/route/dispatch/Controller.php ( 4.74 KB )
  106. /yingpanguazai/ssd/ssd1/www/wwww.yeyulingfeng.com/vendor/topthink/framework/src/think/route/Dispatch.php ( 10.44 KB )
  107. /yingpanguazai/ssd/ssd1/www/wwww.yeyulingfeng.com/app/controller/Index.php ( 9.50 KB )
  108. /yingpanguazai/ssd/ssd1/www/wwww.yeyulingfeng.com/app/BaseController.php ( 2.05 KB )
  109. /yingpanguazai/ssd/ssd1/www/wwww.yeyulingfeng.com/vendor/topthink/think-orm/src/facade/Db.php ( 0.93 KB )
  110. /yingpanguazai/ssd/ssd1/www/wwww.yeyulingfeng.com/vendor/topthink/think-orm/src/db/connector/Mysql.php ( 5.44 KB )
  111. /yingpanguazai/ssd/ssd1/www/wwww.yeyulingfeng.com/vendor/topthink/think-orm/src/db/PDOConnection.php ( 52.47 KB )
  112. /yingpanguazai/ssd/ssd1/www/wwww.yeyulingfeng.com/vendor/topthink/think-orm/src/db/Connection.php ( 8.39 KB )
  113. /yingpanguazai/ssd/ssd1/www/wwww.yeyulingfeng.com/vendor/topthink/think-orm/src/db/ConnectionInterface.php ( 4.57 KB )
  114. /yingpanguazai/ssd/ssd1/www/wwww.yeyulingfeng.com/vendor/topthink/think-orm/src/db/builder/Mysql.php ( 16.58 KB )
  115. /yingpanguazai/ssd/ssd1/www/wwww.yeyulingfeng.com/vendor/topthink/think-orm/src/db/Builder.php ( 24.06 KB )
  116. /yingpanguazai/ssd/ssd1/www/wwww.yeyulingfeng.com/vendor/topthink/think-orm/src/db/BaseBuilder.php ( 27.50 KB )
  117. /yingpanguazai/ssd/ssd1/www/wwww.yeyulingfeng.com/vendor/topthink/think-orm/src/db/Query.php ( 15.71 KB )
  118. /yingpanguazai/ssd/ssd1/www/wwww.yeyulingfeng.com/vendor/topthink/think-orm/src/db/BaseQuery.php ( 45.13 KB )
  119. /yingpanguazai/ssd/ssd1/www/wwww.yeyulingfeng.com/vendor/topthink/think-orm/src/db/concern/TimeFieldQuery.php ( 7.43 KB )
  120. /yingpanguazai/ssd/ssd1/www/wwww.yeyulingfeng.com/vendor/topthink/think-orm/src/db/concern/AggregateQuery.php ( 3.26 KB )
  121. /yingpanguazai/ssd/ssd1/www/wwww.yeyulingfeng.com/vendor/topthink/think-orm/src/db/concern/ModelRelationQuery.php ( 20.07 KB )
  122. /yingpanguazai/ssd/ssd1/www/wwww.yeyulingfeng.com/vendor/topthink/think-orm/src/db/concern/ParamsBind.php ( 3.66 KB )
  123. /yingpanguazai/ssd/ssd1/www/wwww.yeyulingfeng.com/vendor/topthink/think-orm/src/db/concern/ResultOperation.php ( 7.01 KB )
  124. /yingpanguazai/ssd/ssd1/www/wwww.yeyulingfeng.com/vendor/topthink/think-orm/src/db/concern/WhereQuery.php ( 19.37 KB )
  125. /yingpanguazai/ssd/ssd1/www/wwww.yeyulingfeng.com/vendor/topthink/think-orm/src/db/concern/JoinAndViewQuery.php ( 7.11 KB )
  126. /yingpanguazai/ssd/ssd1/www/wwww.yeyulingfeng.com/vendor/topthink/think-orm/src/db/concern/TableFieldInfo.php ( 2.63 KB )
  127. /yingpanguazai/ssd/ssd1/www/wwww.yeyulingfeng.com/vendor/topthink/think-orm/src/db/concern/Transaction.php ( 2.77 KB )
  128. /yingpanguazai/ssd/ssd1/www/wwww.yeyulingfeng.com/vendor/topthink/framework/src/think/log/driver/File.php ( 5.96 KB )
  129. /yingpanguazai/ssd/ssd1/www/wwww.yeyulingfeng.com/vendor/topthink/framework/src/think/contract/LogHandlerInterface.php ( 0.86 KB )
  130. /yingpanguazai/ssd/ssd1/www/wwww.yeyulingfeng.com/vendor/topthink/framework/src/think/log/Channel.php ( 3.89 KB )
  131. /yingpanguazai/ssd/ssd1/www/wwww.yeyulingfeng.com/vendor/topthink/framework/src/think/event/LogRecord.php ( 1.02 KB )
  132. /yingpanguazai/ssd/ssd1/www/wwww.yeyulingfeng.com/vendor/topthink/think-helper/src/Collection.php ( 16.47 KB )
  133. /yingpanguazai/ssd/ssd1/www/wwww.yeyulingfeng.com/vendor/topthink/framework/src/think/facade/View.php ( 1.70 KB )
  134. /yingpanguazai/ssd/ssd1/www/wwww.yeyulingfeng.com/vendor/topthink/framework/src/think/View.php ( 4.39 KB )
  135. /yingpanguazai/ssd/ssd1/www/wwww.yeyulingfeng.com/vendor/topthink/framework/src/think/Response.php ( 8.81 KB )
  136. /yingpanguazai/ssd/ssd1/www/wwww.yeyulingfeng.com/vendor/topthink/framework/src/think/response/View.php ( 3.29 KB )
  137. /yingpanguazai/ssd/ssd1/www/wwww.yeyulingfeng.com/vendor/topthink/framework/src/think/Cookie.php ( 6.06 KB )
  138. /yingpanguazai/ssd/ssd1/www/wwww.yeyulingfeng.com/vendor/topthink/think-view/src/Think.php ( 8.38 KB )
  139. /yingpanguazai/ssd/ssd1/www/wwww.yeyulingfeng.com/vendor/topthink/framework/src/think/contract/TemplateHandlerInterface.php ( 1.60 KB )
  140. /yingpanguazai/ssd/ssd1/www/wwww.yeyulingfeng.com/vendor/topthink/think-template/src/Template.php ( 46.61 KB )
  141. /yingpanguazai/ssd/ssd1/www/wwww.yeyulingfeng.com/vendor/topthink/think-template/src/template/driver/File.php ( 2.41 KB )
  142. /yingpanguazai/ssd/ssd1/www/wwww.yeyulingfeng.com/vendor/topthink/think-template/src/template/contract/DriverInterface.php ( 0.86 KB )
  143. /yingpanguazai/ssd/ssd1/www/wwww.yeyulingfeng.com/runtime/temp/10a0c909b6afa23b5a52a2e2d58c3c0f.php ( 21.72 KB )
  144. /yingpanguazai/ssd/ssd1/www/wwww.yeyulingfeng.com/vendor/topthink/think-trace/src/Html.php ( 4.42 KB )
  1. CONNECT:[ UseTime:0.001093s ] mysql:host=127.0.0.1;port=3306;dbname=wenku;charset=utf8mb4
  2. SHOW FULL COLUMNS FROM `fenlei` [ RunTime:0.001498s ]
  3. SELECT * FROM `fenlei` WHERE `fid` = 0 [ RunTime:0.000736s ]
  4. SELECT * FROM `fenlei` WHERE `fid` = 63 [ RunTime:0.000663s ]
  5. SHOW FULL COLUMNS FROM `set` [ RunTime:0.001396s ]
  6. SELECT * FROM `set` [ RunTime:0.000594s ]
  7. SHOW FULL COLUMNS FROM `wendang` [ RunTime:0.001518s ]
  8. SELECT * FROM `wendang` WHERE `id` = 217833 LIMIT 1 [ RunTime:0.001741s ]
  9. UPDATE `wendang` SET `liulancishu` = 5 WHERE `id` = 217833 [ RunTime:0.010117s ]
  10. UPDATE `wendang` SET `lasttime` = 1772475420 WHERE `id` = 217833 [ RunTime:0.001288s ]
  11. SELECT * FROM `wendang` WHERE `id` < 217833 ORDER BY `id` DESC LIMIT 1 [ RunTime:0.001309s ]
  12. SELECT * FROM `wendang` WHERE `id` > 217833 ORDER BY `id` ASC LIMIT 1 [ RunTime:0.001136s ]
  13. SELECT * FROM `wendang` WHERE `id` <> 217833 ORDER BY `id` DESC LIMIT 10 [ RunTime:0.007577s ]
  14. SELECT * FROM `wendang` WHERE `id` <> 217833 ORDER BY `id` DESC LIMIT 10,10 [ RunTime:0.002463s ]
  15. SELECT * FROM `wendang` WHERE `id` <> 217833 ORDER BY `id` DESC LIMIT 20,10 [ RunTime:0.018533s ]
0.221629s