当前位置:首页>文档>湖南省衡阳市第八中学2023-2024学年高三上学期第二次月考化学答案(1)_2023年10月_01每日更新_26号_2024届湖南省衡阳市第八中学高三上学期第二次月考

湖南省衡阳市第八中学2023-2024学年高三上学期第二次月考化学答案(1)_2023年10月_01每日更新_26号_2024届湖南省衡阳市第八中学高三上学期第二次月考

  • 2026-04-11 06:59:27 2026-02-13 08:16:22

文档预览

湖南省衡阳市第八中学2023-2024学年高三上学期第二次月考化学答案(1)_2023年10月_01每日更新_26号_2024届湖南省衡阳市第八中学高三上学期第二次月考
湖南省衡阳市第八中学2023-2024学年高三上学期第二次月考化学答案(1)_2023年10月_01每日更新_26号_2024届湖南省衡阳市第八中学高三上学期第二次月考
湖南省衡阳市第八中学2023-2024学年高三上学期第二次月考化学答案(1)_2023年10月_01每日更新_26号_2024届湖南省衡阳市第八中学高三上学期第二次月考
湖南省衡阳市第八中学2023-2024学年高三上学期第二次月考化学答案(1)_2023年10月_01每日更新_26号_2024届湖南省衡阳市第八中学高三上学期第二次月考

文档信息

文档格式
docx
文档大小
0.106 MB
文档页数
2 页
上传时间
2026-02-13 08:16:22

文档内容

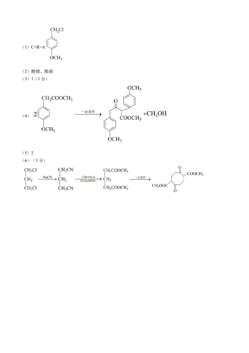
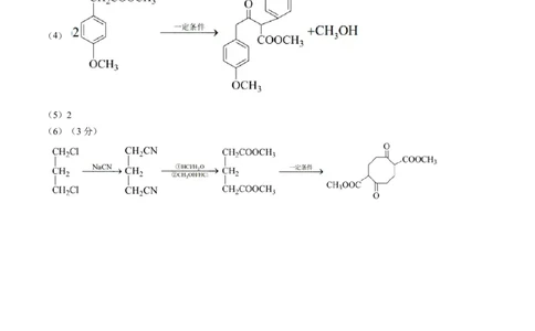
2024 届衡阳市八中高三第二次月考 化学参考答案 题号 1 2 3 4 5 6 7 8 9 10 11 12 13 14 答案 A C A A B C C D C A A D B C 15.(14分,除特殊标注外,每空2分) (1) (1分) (1分) (2) (3) 过高, 会转化为 , 过低, 与 反应 (4)降低甘氨酸亚铁溶解度,便于从溶液中析出 (5)b(1分) c(1分) (6) (7)6 16.(14分,每空2分) (1) (2)适当降低温度(或适当增大压强) (3)BC(选一个给一分,选错不给分) (4)b ii 0.04 625 17.(16分,每空2分) (1) (2)分离废催化剂中 和 (3)是 可氧化 且不影响产品的纯度 (4)AD (5) (6) 18.(14分,除特殊标注外,每空2分) 学科网(北京)股份有限公司(1)C>B>A (2)醚键、酯基 (3)1(1分) (4) (5)2 (6)(3分) 学科网(北京)股份有限公司