当前位置:首页>文档>甘肃省武威市凉州区2023-2024学年高三上学期第一次诊断考试化学答案(1)_2023年9月_029月合集_2024届甘肃省武威市凉州区高三上学期第一次诊断考试

甘肃省武威市凉州区2023-2024学年高三上学期第一次诊断考试化学答案(1)_2023年9月_029月合集_2024届甘肃省武威市凉州区高三上学期第一次诊断考试

  • 2026-04-09 22:21:56 2026-02-13 09:52:17

文档预览

甘肃省武威市凉州区2023-2024学年高三上学期第一次诊断考试化学答案(1)_2023年9月_029月合集_2024届甘肃省武威市凉州区高三上学期第一次诊断考试
甘肃省武威市凉州区2023-2024学年高三上学期第一次诊断考试化学答案(1)_2023年9月_029月合集_2024届甘肃省武威市凉州区高三上学期第一次诊断考试
甘肃省武威市凉州区2023-2024学年高三上学期第一次诊断考试化学答案(1)_2023年9月_029月合集_2024届甘肃省武威市凉州区高三上学期第一次诊断考试
甘肃省武威市凉州区2023-2024学年高三上学期第一次诊断考试化学答案(1)_2023年9月_029月合集_2024届甘肃省武威市凉州区高三上学期第一次诊断考试

文档信息

文档格式
pdf
文档大小
0.149 MB
文档页数
2 页
上传时间
2026-02-13 09:52:17

文档内容

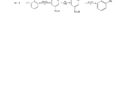
高三化学测试卷答案 一、选择题: 1. C 2. D 3. D 4.A 5.D 6.B 7. D 8. D 9. B 10. A 11. C 12. C 13. C 14. A 二、非选择题: 15.(1)BD ABC BCD E (2)E ABC 16.(1) 环己烷 (2)碳溴键(溴原子) (3)取代反应 加成反应 乙 醇 (4) +2NaOH ― ― → +2NaBr+2H O △ 2 17. (1)邻硝基甲苯(2-硝基甲苯) (2) +Cl 2 FeCl 3 +HCl (3)b (4)羧基 (5)消去反应 (6) (7) ①. d ②.18. (1) (2) ①. 消去反应 ②. 加成反应 (3) ①. 碳碳双键 ②. 醚键 (4) (5)③>①>② (6)4 (7)  浓  H 2 SO 4 Br 2 H2 O/H+     FeBr 3 