当前位置:首页>文档>期末测试卷B-2021-2022学年高二生物上学期期末测试必杀卷(人教版2019选择性必修1和2)(原卷版)_E015高中全科试卷_生物试题_选修2_4.期末试卷

期末测试卷B-2021-2022学年高二生物上学期期末测试必杀卷(人教版2019选择性必修1和2)(原卷版)_E015高中全科试卷_生物试题_选修2_4.期末试卷

  • 2026-03-25 08:57:07 2026-02-15 21:11:13

文档预览

期末测试卷B-2021-2022学年高二生物上学期期末测试必杀卷(人教版2019选择性必修1和2)(原卷版)_E015高中全科试卷_生物试题_选修2_4.期末试卷
期末测试卷B-2021-2022学年高二生物上学期期末测试必杀卷(人教版2019选择性必修1和2)(原卷版)_E015高中全科试卷_生物试题_选修2_4.期末试卷
期末测试卷B-2021-2022学年高二生物上学期期末测试必杀卷(人教版2019选择性必修1和2)(原卷版)_E015高中全科试卷_生物试题_选修2_4.期末试卷
期末测试卷B-2021-2022学年高二生物上学期期末测试必杀卷(人教版2019选择性必修1和2)(原卷版)_E015高中全科试卷_生物试题_选修2_4.期末试卷
期末测试卷B-2021-2022学年高二生物上学期期末测试必杀卷(人教版2019选择性必修1和2)(原卷版)_E015高中全科试卷_生物试题_选修2_4.期末试卷
期末测试卷B-2021-2022学年高二生物上学期期末测试必杀卷(人教版2019选择性必修1和2)(原卷版)_E015高中全科试卷_生物试题_选修2_4.期末试卷
期末测试卷B-2021-2022学年高二生物上学期期末测试必杀卷(人教版2019选择性必修1和2)(原卷版)_E015高中全科试卷_生物试题_选修2_4.期末试卷
期末测试卷B-2021-2022学年高二生物上学期期末测试必杀卷(人教版2019选择性必修1和2)(原卷版)_E015高中全科试卷_生物试题_选修2_4.期末试卷
期末测试卷B-2021-2022学年高二生物上学期期末测试必杀卷(人教版2019选择性必修1和2)(原卷版)_E015高中全科试卷_生物试题_选修2_4.期末试卷
期末测试卷B-2021-2022学年高二生物上学期期末测试必杀卷(人教版2019选择性必修1和2)(原卷版)_E015高中全科试卷_生物试题_选修2_4.期末试卷
期末测试卷B-2021-2022学年高二生物上学期期末测试必杀卷(人教版2019选择性必修1和2)(原卷版)_E015高中全科试卷_生物试题_选修2_4.期末试卷
期末测试卷B-2021-2022学年高二生物上学期期末测试必杀卷(人教版2019选择性必修1和2)(原卷版)_E015高中全科试卷_生物试题_选修2_4.期末试卷

文档信息

文档格式
doc
文档大小
0.632 MB
文档页数
12 页
上传时间
2026-02-15 21:11:13

文档内容

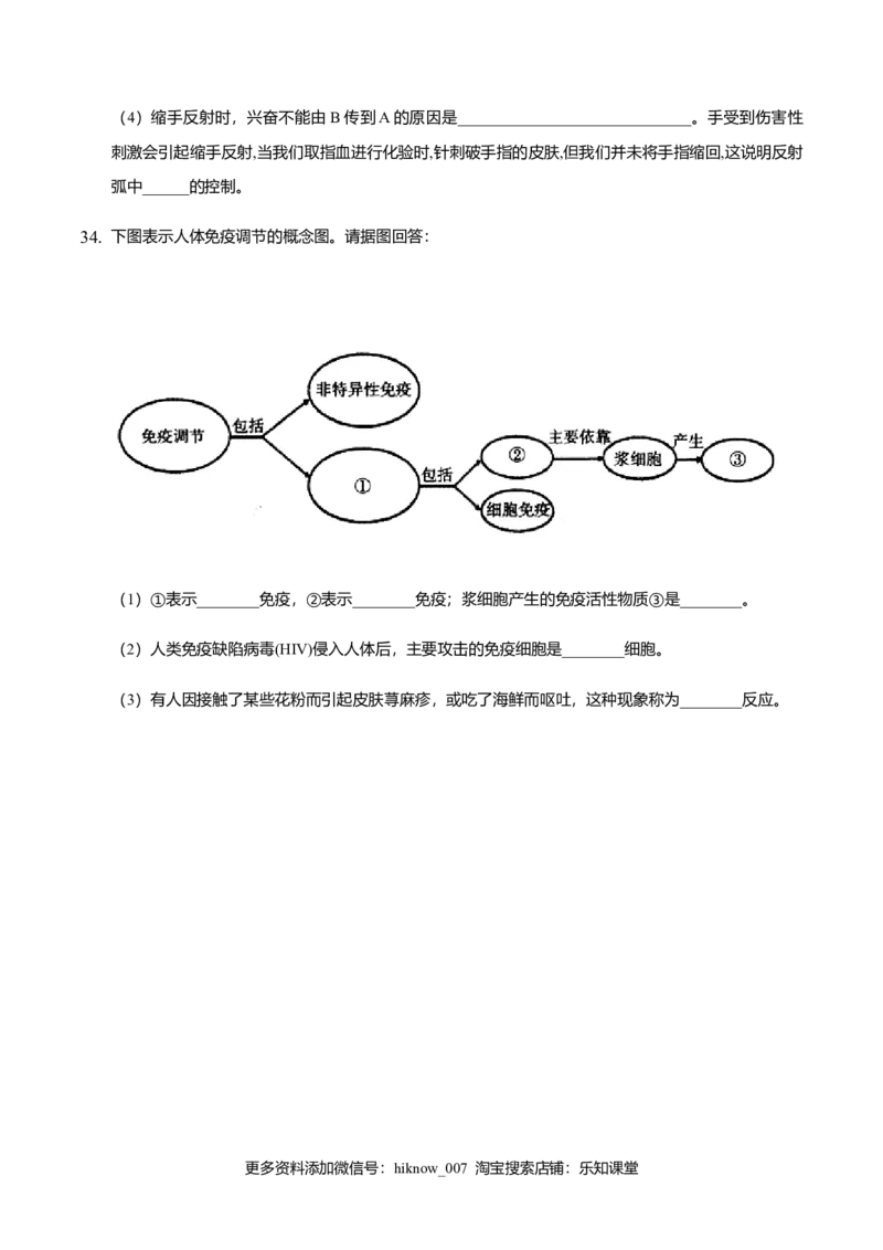
期末测试卷 B 一、单选题(本大题共30小题,共60.0分) 1. 如图表示人体内的细胞与外界环境进行物质交换的过程,下列叙述正确的是() A. 若某人患肾小球肾炎,将会导致②中蛋白质减少,形成组织水肿 B. 从外界摄入的K+进入细胞的途径为:外界环境→消化系统→A→①→②→组织细胞 C. ①中若Ca2+浓度过高,易引起肌肉抽搐 D. 淋巴细胞生活的内环境只有③ 2. 下列有关细胞结构与功能的叙述,正确的是() A. 所有细胞都有核糖体这种细胞器 B. 没有原生质层的细胞也能发生渗透作用 C. 精原细胞变为初级精母细胞会提高细胞的物质运输的效率 D. 神经元的树突末梢的分支形成突触小体利于兴奋的传导 3. 小明的手指不小心碰到一个很烫的物品而立刻将手收回,然后感到疼痛。下列对缩手反射中枢与疼痛 感觉中枢的说法正确的是( ) A. 都在脊髓灰质 B. 前者在脊髓灰质,后者在大脑皮层躯体感觉中枢 C. 前者在大脑皮层躯体运动中枢,后者在大脑皮层躯体感觉中枢 D. 前者由下丘脑神经元支配,后者由大脑皮层神经元支配 4. 当人体体表痛和内脏痛共用一个神经元时,神经中枢无法判断刺激的来源,但神经中枢更习惯于识别 体表信息,将内脏痛误认为是体表痛,这种现象称为牵涉痛。参与牵涉痛的神经结构如图所示,下列 叙述正确的是 更多资料添加微信号:hiknow_007 淘宝搜索店铺:乐知课堂A. 图中a和c分别是传入神经和传出神经 B. 由内脏痛引起体表牵涉痛时a没有参与 C. 牵涉痛痛觉的形成部位在人体的脊髓中 D. 牵涉痛是在后天环境中形成的条件反射 5. 下列关于神经兴奋的叙述,正确的是( ) A. 兴奋在反射弧中的传导是双向的 B. 神经递质不能引起腺体分泌 C. 神经递质在两个神经元之间的移动,不消耗能量 D. 突触后膜膜电位的变化与膜的流动性密切相关 6. 给奶牛挤奶时其乳头上的感受器会受到刺激,产生的兴奋沿着传入神经传到脊髓能反射性地引起乳腺 排乳;同时该兴奋还能上传到下丘脑促使其合成催产素,催产素使乳腺腺泡周围的肌上皮样细胞收缩 进而促进乳腺排乳。下列说法不正确的是() A. 兴奋在一个神经元和另一个神经元之间是通过突触来传递的 B. 催产素是一种动物激素,通过血液运输,催化乳腺细胞中快速合成并分泌乳汁 C. 奶牛听到乳牛嘶鸣后也会排乳,体现了神经系统的分级调节 D. 排乳调节过程中,存在神经调节和体液调节,前者反应速度快,后者作用时间长 7. 如图为人体某神经调节示意图,有关说法正确的是() A. 针刺肌肉后,图中电流计发生两次方向相反的偏转 B. 图中反射弧的效应器是肌肉 更多资料添加微信号:hiknow_007 淘宝搜索店铺:乐知课堂C. 针刺手指皮肤后,兴奋到达脊髓中枢,经过分析综合产生痛觉 D. 针刺取血时未出现缩手反射,与脊髓中枢内突触的抑制有关 8. 如图表示两细胞间发生某种信息传递的过程。细胞Ⅰ、Ⅱ以及物质M、N的名称与图示含义相符的是 () ①胰岛A细胞、肝细胞、胰高血糖素、肝糖原 ②下丘脑细胞、垂体细胞、促甲状腺激素释放激素、受体 ③甲状腺细胞、垂体细胞、甲状腺激素、受体 ④胰腺细胞、胰腺细胞、促胰液素、受体 A. ①③ B. ①④ C. ②③ D. ②④ 9. 下图为人体内某些信息分子作用的示意图,a、b、c、d表示信息分子,据图分析,下列叙述错误的是 () A. 信息分子参与的a、c、d调节过程均存在反馈调节 B. c激素是下丘脑分泌的,e表示水的重吸收过程 C. d表示胰岛素,通过促进葡萄糖的利用和转化来降低血糖浓度 D. a、b、c、d都是通过血液循环定向运输到靶细胞,与受体结合来发挥作用 10.如图所示为人体的生命活动调节示意图。下列说法错误的是() 更多资料添加微信号:hiknow_007 淘宝搜索店铺:乐知课堂A. 体温调节的过程可以通过A→C→D→E来实现,属于体液调节 B. 体温调节的过程也可以通过A→B→C→D→E来实现,属于神经-体液调节 C. 水盐平衡调节的过程可以通过A→B→C→D→E来实现,E为肾小管和集合管 D. 当人的手被针扎时,其调节过程可通过A→B→E来实现,属于神经调节 11.下列不属于免疫活性物质的是 A. 疫苗 B. 免疫球蛋白 C. 干扰素 D. 溶菌酶 12. 下列有关人体免疫的叙述,正确的有几项 ( ) ①抗原都是外来异物 ②血浆中溶菌酶的杀菌作用属于人体的第二道防线 ③吞噬细胞可参与特异性免疫 ④人体分泌的乳汁中含有某些抗体 ⑤特异性免疫过程中免疫细胞都具有特异性识别抗体的能力 ⑥过敏反应一定会破坏组织细胞 ⑦ HIV主要攻击人体的 T细胞,引起免疫缺陷病 ⑧对移植器官的排斥主要是通过体液免疫进行的 A. 三项 B. 四项 C. 五项 D. 六项 13.下列关于免疫失调的说法正确的是() A. 艾滋病患者最终常常死于严重感染或者肿瘤而非艾滋病病毒的侵染 B. 艾滋病、类风湿性关节炎、风湿性心脏病等都属于免疫缺陷病 C. 因为过敏不会破坏组织细胞,也不会引起组织严重损伤,所以不危及生命 D. 自身免疫病是由于机体的监控和清除功能过强导致的 14.下列关于科学发展史的叙述中不正确的是() A. 我国是世界上最早用免疫的方法预防传染病的国家 B. 斯他林和贝利斯的实验的巧妙之处是:给狗注射小肠黏膜加盐酸磨碎后的提取物,排除了神经调节 对实验结果的干扰 C. 班廷之前,科学家试图通过制备胰腺提取物治疗糖尿病却收效甚微,是因为胰岛素分泌量太少 更多资料添加微信号:hiknow_007 淘宝搜索店铺:乐知课堂D. 在睾丸分泌雄激素的研究中,摘除睾丸和移植睾丸实验分别运用了“减法原理”和“加法原理” 15.下列关于生长素及其作用的叙述,正确的是() A. 植物的生长是由单侧光引起的 B. 生长素在细胞内可由色氨酸合成 C. 生长素由苗尖端产生并促进苗尖端的伸长 D. 不同浓度的生长素对植物同一器官的作用效果一定不同 16.下列叙述中与所涉及的植物激素对应关系一致的是() A. 适时摘除棉花的顶芽,提高棉花产量——生长素 B. 酿制啤酒时,人工处理大麦种子促进淀粉水解——脱落酸 C. 移栽番茄的根系比非移栽番茄的根系发达——细胞分裂素 D. 秋天成熟的柑橘掉落下来——乙烯 17. 日本花卉协会一项调查报告显示,日本至少18个县的樱花因感染了能分泌细胞分裂素类似物的霉菌而 染上了“扫帚病”,得病的树木顶芽生长受到抑制,而侧枝却生长迅速,消耗大量营养。这种病害能导 致樱花树不开花,甚至10年内死亡。下列说法正确的是() A. 该现象说明细胞分裂素能解除植物的顶端优势 B. 该病原体分泌的是一种能调节植物生长发育的植物激素 C. 樱花侧芽生长失控是因为该部位生长素与细胞分裂素的比值增大 D. 顶端优势是因为顶芽产生的生长素扩散到侧芽处积累所致 18. 如图表示利用碗莲种子所做的探究实验(其他条件适宜且相同),下列叙述不正确的是( ) 实验结果: 一周后, B组、D组的大部分种子萌发, A组、C组和E组的种子不萌发。 A. 该实验的目的是探究光照、破壳处理和水分对碗莲种子萌发的影响 B. A组和B组对照可以说明种子萌发需要水分 C. C组和E组对照可以说明光照对种子萌发没有影响 D. 该实验结果说明碗莲种子萌发需要水分和破壳处理 19. 科研人员研究了喷洒某种农药对棉花蚜虫种群密度动态变化的影响,结果如下图所示。相关叙述错误 更多资料添加微信号:hiknow_007 淘宝搜索店铺:乐知课堂的是( ) A. 通常采用样方法调查棉花蚜虫的种群密度 B. 施药后第1天内蚜虫数量急剧下降可能与药物毒力和种群迁出有关 C. 施药后第3到9天内,蚜虫种群增长速率先增加后减小 D. 研究表明,该农药防治不仅污染环境,而且药效维持时间短 20. 下列有关群落的叙述,正确的是() A. 区别不同群落的重要特征是丰富度 B. 根瘤菌与豆科植物的种间关系属于寄生 C. 发生在冰川泥上的演替属于次生演替 D. 光照强度的不同等因素使得不同地段分布着不同的种群,体现了群落的水平结构 21. 下列有关群落演替的叙述,正确的是( ) A. 群落的演替是不同种生物之间、生物与无机环境之间相互影响的结果 B. 在群落演替过程中,不同时期群落中的优势种群在发生更替 C. 初生演替形成的群落内无竞争现象,次生演替形成的群落内竞争明显 D. 人类活动对群落演替的影响与自然演替的方向、速度基本相同 22. 如图曲线表示某生态系统中三个不同种群的生长繁衍情况。已知种群c是自养生物,下列说法不正确 的是( ) A. 该生态系统简单食物链可表示为c→b→a B. 种群b在第3~7年时间内个体数下降是由于a的增加和c的减少 C. b和a的存在能加快该生态系统的物质循环 D. 一定自然区域内,a、b、c三个种群中全部的生物构成生物群落 23. 某生态系统中存在食物链“马尾松→松毛虫→杜鹃”,下图表示松毛虫摄入能量的流动方向,下列叙述 正确的是() 更多资料添加微信号:hiknow_007 淘宝搜索店铺:乐知课堂A. 该食物链中的生物在数量上呈正金字塔模型 B. 松毛虫和杜鹃之间的能量传递效率可用E/A表示 C. 由松毛虫流入分解者的能量可用C+D+F表示 D. 若迁走全部杜鹃,松毛虫的种群数量将呈“J”型增长 24. 如图为某生态系统中碳循环的模式图,其中甲、乙、丙表示生态系统的生物成 分,字母表示生理过程。下列相关叙正确的是( ) A. b代表呼吸作用,d代表光合作用 B. 碳循环进行的同时伴随着能量流动 C. 丁所示的营养级在食物链中占有的碳元素最多 D. 碳是以二氧化碳的形式在生物群落与无机环境之间及生物群落内部往复循环 25. 下列关于生态系统中信息传递的叙述,错误的是( ) A. 生态系统中的信息传递一般是双向的 B. 生态系统中的信息来源于无机环境和生物 C. 植物激素对植物生长的调节不属于生态系统的信息传递 D. 动物的信息传递只可通过特殊的行为在同种生物间进行 26. 森林生态系统能长期维持相对稳定状态的原因是() ①生物多样性是自我调节能力的基础 ②其恢复力稳定性要比农田生态系统高 ③其抵抗力稳定性要比草原生态系统高 ④有比较复杂的营养结构 ⑤太阳能是维持生态系统正常运转的动力 ⑥一种生物大量减少后,其位置可由同一营养级的多种生物取代 ⑦能量可以随着季节的变化而产生波动 更多资料添加微信号:hiknow_007 淘宝搜索店铺:乐知课堂A. ①③⑤⑥⑦ B. ①②④⑤⑦ C. ①③④⑤⑥⑦ D. ②③④⑥⑦ 27.下列关于人类与环境的叙述,错误的是() A. 控制人口是使人口在低出生率和低死亡率的基础上保持平衡 B. “低碳生活”中的“低碳”指大气中二氧化碳浓度过低 C. 家庭污水、微生物病原体、化学肥料等都能引起水体污染 D. 每一种野生生物都是一个独一无二的基因库,因此必须维持野生生物的多样性 28.下列关于生物进化和生物多样性的叙述,正确的是 A. 热带任何地区的物种多样性一定高于温带 B. 外来物种一定会导致本地物种多样性降低 C. 共同进化既存在于食植动物和食肉动物之间,也存在于植物和食植动物之间 D. 生物多样性会随群落演替的进程而逐渐增加,但该群落中不会发生生物进化 29. 某生态工程的设计过程中,四位工程师依次表达了自己的设计理念。 甲:进行生态工程建设时,不仅要考虑自然生态系统的规律,更要考虑经济和社会等系统的影响力; 乙:进行生态工程建设时,需要处理好生物与生物、生物与环境的平衡与适应,需要考虑环境容纳量; 丙:生态工程建设时,应尽量提高生物多样性的程度,构建复合群落,有效选择生物组分并合理布设。 丁:通过系统设计,使前一环节产生的废物尽可能被后一环节利用,以减少整个生产环节中废物的产 生。 请问甲、乙、丙、丁四位工程师分别从哪个原理提出自己的理念? A. 整体、协调、自生、循环 B. 整体、自生、协调、循环 C. 循环、协调、自生、整体 D. 循环、自生、协调、整体 30. 据下图判断,下列叙述不符合生态学原理的是( ) A. 物质经过多级利用实现良性循环 B. 每一级生产环节都获得产品,提高了生态经济效益 C. 由于食物链延长,能量逐级损耗,系统总能量利用效率降低 更多资料添加微信号:hiknow_007 淘宝搜索店铺:乐知课堂D. 由于各级产物都可以利用,减少了废物和污染 二、识图作答题(本大题共4小题,共40.0分) 31. 为研究退耕对山区生态的影响,实验小组将同一山区分为退耕区和非退耕区,一段时间后测得两区域 内不同植被类型的有机物总量,结果如图1所示。在退耕区域的群落演替过程中,统计了不同时期群 落的丰富度指数,结果如图2所示。回答下列问题: (1)据图1分析,科研人员在两组区域随机选取多块样地,收获全部植物,按照________分类后,测 定有机物总量。图1中代表退耕区域有机物总量的是________(填“S”或“S”)。 1 2 (2)科研人员对林地植被的种群密度进行调查时采用的方法为________。山区生物群落具有一定的 空间结构,其意义是________。 (3)退耕区域发生的群落演替类型为________演替,随着演替的进行,物种丰富度指数变大,物种 丰富度是指________________;随着演替的发展,物种数量增多,群落内不同植物种群之间的 ________关系明显加剧。请依据图2,描述退耕区域物种丰富度在50a内的变化:________________。 32. 下图是某同学绘制的江南某湿地保护区的生态系统结构模型,表格是该研究性小组对该湿地的能量流 动的调查结果〔单位为103 kJ/(m2·y)〕,请分析回答: (1)生态系统结构包括生态系统的组成成分和_______________________________。 (2)太阳能主要通过图中______(填字母)生物的____________过程输入到由图中A、B、C、D等 生物构成的_____________中,E表示_________________________。 更多资料添加微信号:hiknow_007 淘宝搜索店铺:乐知课堂(3)若上图表示该湿地生态系统的碳循环示意图,则图中以CO 形式流动的是________(填图中序 2 号)。 (4)第二营养级到第三营养级的能量传递效率为___________。 (5)生态学上有“中度干扰”假说,即一个生态系统受到中等程度干扰时,由于它具备____________能 力,能够维持结构和功能的相对稳定,人类无需参与,______________调节是该能力的基础。 (6)该湿地中的某种小鱼取食大鱼身上的寄生虫,小鱼取食前,常在大鱼面前舞蹈一番,还分泌一 种化学物质,大鱼才让小鱼取食,据此分析,小鱼和大鱼之间传递的信息类型有________________。 33. 图1是神经元的结构示意图,A、B分别表示神经元的结构;图2是反射弧的组成示意图,①、②、③、 ④是反射弧的组成部分。根据图示信息回答下列问题: (1)图2中效应器为________________________________。灼烧刺激产生的信号传到 ____________ 会形成痛觉。若在②上某处给予一适宜的刺激,则该处兴奋时膜外的电位变化是_______________, 该刺激引起的反应不属于反射的原因是______________。若抑制该细胞的呼吸作用,发现神经纤维在 一次兴奋后,其细胞膜不能再恢复到静息状态,带电离子通过细胞膜的方式是_______________。 (2)从图1可知,神经细胞因具较多的________,使其细胞相对表面积大,从而使其与信息传递功能 相适应。 (3)研究表明,生活在刺激丰富的环境中的孩子,大脑皮层的厚度大,结构⑤_______(填结构名称) 的数量将_____(填“增加”或“减少”)。说明条件反射的形成过程能明显影响结构⑤的数量,从而有利于 智力开发。 更多资料添加微信号:hiknow_007 淘宝搜索店铺:乐知课堂(4)缩手反射时,兴奋不能由B传到A的原因是______________________________。手受到伤害性 刺激会引起缩手反射,当我们取指血进行化验时,针刺破手指的皮肤,但我们并未将手指缩回,这说明反射 弧中______的控制。 34. 下图表示人体免疫调节的概念图。请据图回答: (1)①表示________免疫,②表示________免疫;浆细胞产生的免疫活性物质③是________。 (2)人类免疫缺陷病毒(HIV)侵入人体后,主要攻击的免疫细胞是________细胞。 (3)有人因接触了某些花粉而引起皮肤荨麻疹,或吃了海鲜而呕吐,这种现象称为________反应。 更多资料添加微信号:hiknow_007 淘宝搜索店铺:乐知课堂更多资料添加微信号:hiknow_007 淘宝搜索店铺:乐知课堂