当前位置:首页>文档>四川省宜宾市第四中学校2024届高三上学期一诊模拟考试文科数学答案(1)_2023年11月_0211月合集_2024届四川省宜宾市第四中学校高三上学期一诊模拟考试

四川省宜宾市第四中学校2024届高三上学期一诊模拟考试文科数学答案(1)_2023年11月_0211月合集_2024届四川省宜宾市第四中学校高三上学期一诊模拟考试

  • 2026-03-29 16:57:55 2026-02-18 01:18:38

文档预览

四川省宜宾市第四中学校2024届高三上学期一诊模拟考试文科数学答案(1)_2023年11月_0211月合集_2024届四川省宜宾市第四中学校高三上学期一诊模拟考试
四川省宜宾市第四中学校2024届高三上学期一诊模拟考试文科数学答案(1)_2023年11月_0211月合集_2024届四川省宜宾市第四中学校高三上学期一诊模拟考试
四川省宜宾市第四中学校2024届高三上学期一诊模拟考试文科数学答案(1)_2023年11月_0211月合集_2024届四川省宜宾市第四中学校高三上学期一诊模拟考试
四川省宜宾市第四中学校2024届高三上学期一诊模拟考试文科数学答案(1)_2023年11月_0211月合集_2024届四川省宜宾市第四中学校高三上学期一诊模拟考试
四川省宜宾市第四中学校2024届高三上学期一诊模拟考试文科数学答案(1)_2023年11月_0211月合集_2024届四川省宜宾市第四中学校高三上学期一诊模拟考试

文档信息

文档格式
docx
文档大小
0.337 MB
文档页数
5 页
上传时间
2026-02-18 01:18:38

文档内容

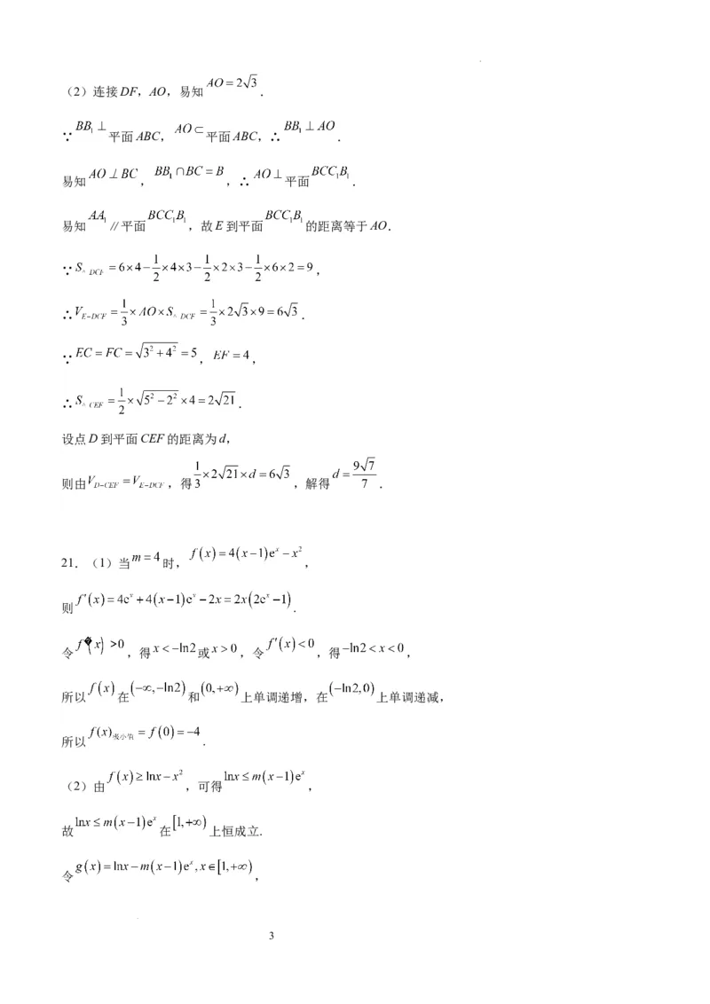
宜宾市四中高2021级高三一诊模拟考试 数学(文史类)参考答案 1.B 2.B 3.D 4.C 5.B 6.D 7.B 8.D 9.C 10.C 11.D 12.A 13. 14. 15. 16. 17.(1)由已知得 , 即有 , 因为 , . 由 ,且 , 得 . (2)由(1)可知 ,由余弦定理, 有 . 因为 , , 有 ,又 , 18.(1) , 由题意知, 的最小正周期为 ,所以 ,解得 ,∴ , 令 , ,解得 , 1 学科网(北京)股份有限公司所以 在R上的单调递增区间为 (2) , ,得 , ∵ ,∴ ,∴ , ∴ 19.(1)函数 ,求导得 , 由 在 处取得极值,得 ,解得 , 此时 ,当 时, ,当 时, , 即函数 在 处取得极值,所以 . (2)由(1)知 , ,当 时, ,函数 单调递增, 当 时, ,函数 单调递减, 当 时, ,而 ,即 , 所以函数 在 上的值域为 . 20.(1)如图,取BC的中点O,连接DO,取CD的中点Q,连接PQ,EQ. ∵ ,∴ , ∴ , . ∵ , ,∴ , . ∴四边形AEQP为平行四边形,∴ , ∵ 平面DCE, 平面DCE,∴ 平面DCE; 2 学科网(北京)股份有限公司(2)连接DF,AO,易知 . ∵ 平面ABC, 平面ABC,∴ . 易知 , ,∴ 平面 . 易知 ∥平面 ,故E到平面 的距离等于AO. ∵ , ∴ . ∵ , , ∴ . 设点D到平面CEF的距离为d, 则由 ,得 ,解得 . 21.(1)当 时, , 则 . 令 ,得 或 ,令 ,得 , 所以 在 和 上单调递增,在 上单调递减, 所以 . (2)由 ,可得 , 故 在 上恒成立. 令 , 3 学科网(北京)股份有限公司若 ,则 恒成立,不合题意. 若 ,则 . 令 , 则 在 上恒成立, 所以 在 上单调递减. 当 时, ,即 , 所以 在 上单调递减, 故 , 即 在 上恒成立,满足题意. 当 时, , 所以存在 ,使得 , 当 时, ,当 时, , 所以 在 上单调递增,在 上单调递减, 所以存在 ,使得 ,不合题意. 综上,实数 的取值范围是 . 22.(1)由 ,消去参数 可得 普通方程为 , , 4 学科网(北京)股份有限公司由 ,得曲线 的直角坐标方程为 ; (2)由(1)得曲线 ,由 , 可得其极坐标方程为 由题意设 , , 则 . , , , . 23.(1)因为 故由 得: 或 或 解得原不等式解集为: . (2)由(1)可知 的值域为 ,显然 的值域为 . 依题意得: ∴ 解得 所以实数 的取值范围为 . 5 学科网(北京)股份有限公司