当前位置:首页>文档>第四单元检测卷3_小学1-6年级全部试卷_数学_六年级_3-11-3、小学六年级数学上册_3-11-3-2、练习题、作业、试题、试卷_人教版_单元测试卷

第四单元检测卷3_小学1-6年级全部试卷_数学_六年级_3-11-3、小学六年级数学上册_3-11-3-2、练习题、作业、试题、试卷_人教版_单元测试卷

  • 2026-03-25 02:18:38 2026-02-20 23:53:17

文档预览

第四单元检测卷3_小学1-6年级全部试卷_数学_六年级_3-11-3、小学六年级数学上册_3-11-3-2、练习题、作业、试题、试卷_人教版_单元测试卷
第四单元检测卷3_小学1-6年级全部试卷_数学_六年级_3-11-3、小学六年级数学上册_3-11-3-2、练习题、作业、试题、试卷_人教版_单元测试卷
第四单元检测卷3_小学1-6年级全部试卷_数学_六年级_3-11-3、小学六年级数学上册_3-11-3-2、练习题、作业、试题、试卷_人教版_单元测试卷
第四单元检测卷3_小学1-6年级全部试卷_数学_六年级_3-11-3、小学六年级数学上册_3-11-3-2、练习题、作业、试题、试卷_人教版_单元测试卷
第四单元检测卷3_小学1-6年级全部试卷_数学_六年级_3-11-3、小学六年级数学上册_3-11-3-2、练习题、作业、试题、试卷_人教版_单元测试卷
第四单元检测卷3_小学1-6年级全部试卷_数学_六年级_3-11-3、小学六年级数学上册_3-11-3-2、练习题、作业、试题、试卷_人教版_单元测试卷

文档信息

文档格式
doc
文档大小
10.213 MB
文档页数
6 页
上传时间
2026-02-20 23:53:17

文档内容

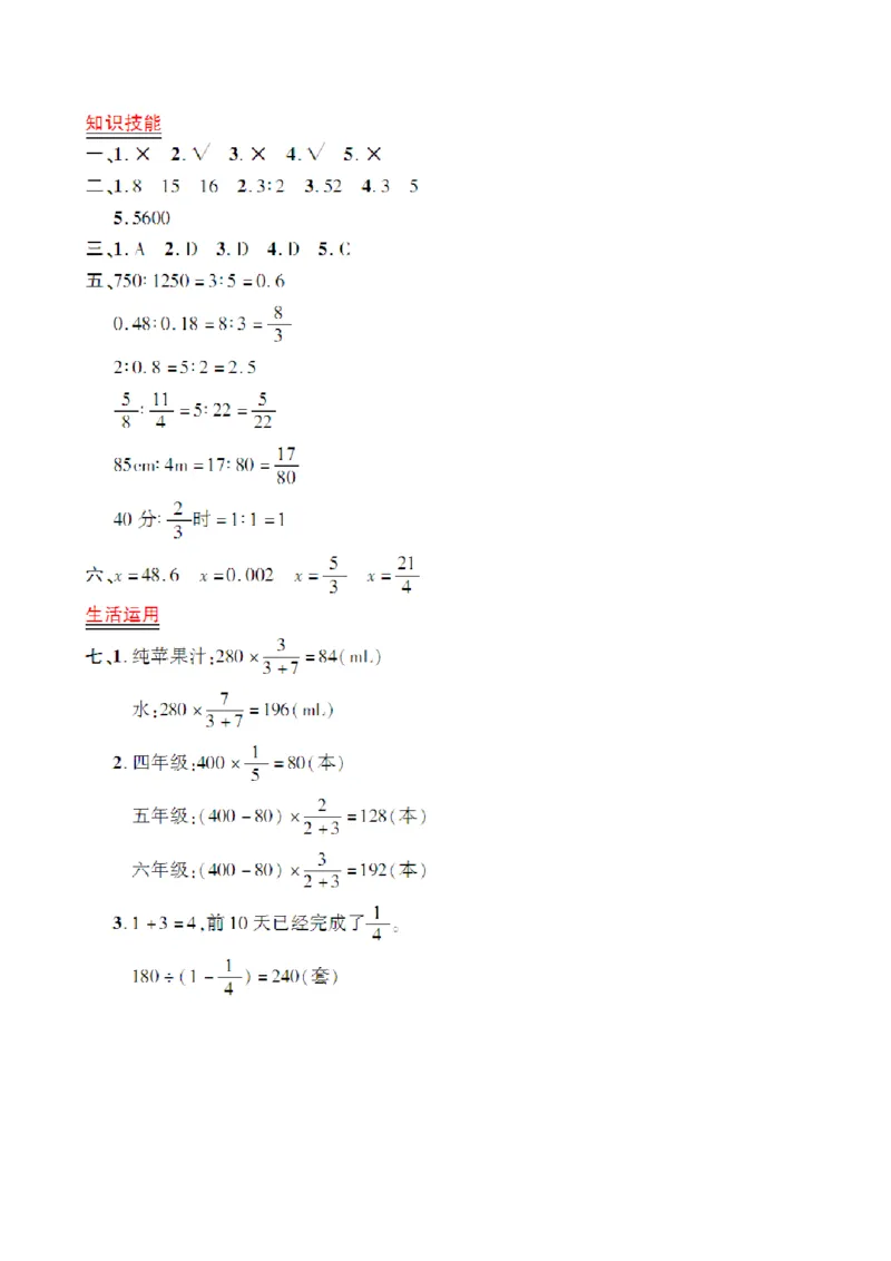
第四单元测试题 一、我是小法官。(对的画“√”,错的画“×”)(10分) 1.比的前项乘以2,比的后项除以2,比值不变。( ) 2.等底等高的三角形和平行四边形的面积比是1∶2。( ) 3. ∶ 化成最简单的整数比是8。( ) 4.一本作文书,小红已看了全书的 ,已看的页数和剩下页数的比是4∶3。( ) 5.六(1)班男、女生人数比是5∶4,男生比女生多 。( ) 二、认真填一填。(每空2分,共16分) 1.5∶( )= =0.625=10÷( )。 2.如图,把一个梯形分成一个平行四边形和一个三角形。梯形与平行 四边形面积的 最简单的整数比是( )。 3.学校合唱队人数在40至60人之间,男生与女生的人数比是7∶6, 合唱队共有( )人。 4.有两条丝带,当红丝带用去 ,黄丝带用去 时,它们剩下的部分一样长。原来红丝带的长度与黄丝带 的长度的比是( )∶( )。 5.小丽和小强共同打一份稿件,他们打字的速度比是5∶3,完成任务时,小丽比小强多打1400个字。这 份稿件共有( )个字。 三、仔细选一选。(10分) 1.把3∶8的前项缩小10倍,要使比值大小不变,后项应( )。 A.缩小10倍 B.扩大10倍 C.不变 D.缩小100倍 2.甲种笔3元钱买4支,乙种笔3支4元钱,甲、乙两种笔的单价比是( )。 A.4∶3 B.3∶4 C.4∶4 D.9∶16 3.如果甲数是乙数的3倍,那么下面哪种说法是不正确的( )。 A.乙数是甲数的 B.甲数是甲、乙两数和的 C.甲数与乙数的比是3∶1 D.甲数与甲、乙两数和的比是1∶44.学校体育室购进一批球,其中足球和篮球的个数比是2∶3,排球与足球的个数比是4∶ 5篮球比 排球多28个,这批球一共有( )个。 A.100 B.80 C.90 D.132 5.已知三角形的三个内角度数之比是2∶3∶4,这是一个 三角形,最小的角度数是 。( ) A.直角三角形 20° B.等腰三角形 20° C.锐角三角形 40° D.钝角三角形 30° 四、操作题。(5分) 在下面的方格纸(每个小方格的边长是1cm)中画一个长方形,周长是20cm,长和宽的比是3∶2。 五、化简下列各比并求比值。(12分) 750∶1250 0.48∶0.18 2∶0.8 ∶ 85cm∶4m 40分∶ 时 六、解方程。(12分) 5.4∶x= x∶0.1=0.02 x∶ = x∶ =1.5 七、解决问题。(共32分) 1.(6分)2.阳光小学买回400本故事书,其中的 分给四年级,剩下的故事书按2∶3分给五年级和六年级。三个 年级各分得多少本?(6分) 3.服装厂生产一批校服,前10天完成的套数与未完成套数的比是1∶3。如果再生产180套,正好可以完 成这批校服。这批校服共有多少套?(6分) 4.(2015年湖北樊城区新海卫中学小升初)某小学学生3天共植树150棵,第一天与第二天植树的棵数 比是5∶6,第二天与第三天植树的棵数比是3∶2。这3天每天各植树多少棵?(7分) 5.如下图所示,两个长方形重叠在一起,甲长方形没有重叠部分的面积为S,相当于甲长方形面积的 ; 乙长方形没有重叠部分的面积为S′,相当于乙长方形面积的 。那么S与S′的比是多少?(7分)第四单元测试题答案