当前位置:首页>文档>统计与概率过关检测卷_小学1-6年级全部试卷_数学_六年级_3-11-4、小学六年级数学下册_3-11-4-2、练习题、作业、试题、试卷_北师大版_专项练习

统计与概率过关检测卷_小学1-6年级全部试卷_数学_六年级_3-11-4、小学六年级数学下册_3-11-4-2、练习题、作业、试题、试卷_北师大版_专项练习

  • 2026-03-24 05:39:31 2026-02-21 01:07:54

文档预览

统计与概率过关检测卷_小学1-6年级全部试卷_数学_六年级_3-11-4、小学六年级数学下册_3-11-4-2、练习题、作业、试题、试卷_北师大版_专项练习
统计与概率过关检测卷_小学1-6年级全部试卷_数学_六年级_3-11-4、小学六年级数学下册_3-11-4-2、练习题、作业、试题、试卷_北师大版_专项练习
统计与概率过关检测卷_小学1-6年级全部试卷_数学_六年级_3-11-4、小学六年级数学下册_3-11-4-2、练习题、作业、试题、试卷_北师大版_专项练习
统计与概率过关检测卷_小学1-6年级全部试卷_数学_六年级_3-11-4、小学六年级数学下册_3-11-4-2、练习题、作业、试题、试卷_北师大版_专项练习
统计与概率过关检测卷_小学1-6年级全部试卷_数学_六年级_3-11-4、小学六年级数学下册_3-11-4-2、练习题、作业、试题、试卷_北师大版_专项练习

文档信息

文档格式
docx
文档大小
0.071 MB
文档页数
5 页
上传时间
2026-02-21 01:07:54

文档内容

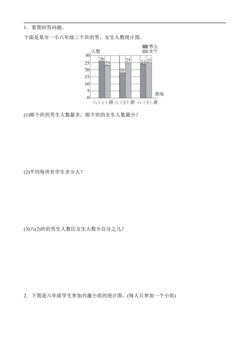
统计与概率过关检测卷 一、填空。(每空3分,共33分) 1.常用的统计图有( )统计图、( )统计图和( )统计图。 2.要记录某市城区某一天气温变化情况,应选用( )统计图。 3.在一幅条形统计图中,用 2 cm长的直条表示300人,则用( )cm长的直条表示 900人。 4.盒子里有5个蓝球和3个绿球,除颜色外完全相同,从中任意摸一个,摸到( )球的可 能性大。 5.盒子里有三种不同颜色的棋子,小路摸了20次,13次出现红色,5次出现蓝色,2次出 现黑色,根据出现的结果可以推测,盒子里( )色的棋子可能多一些。 6.右图是一件毛衣各种成分的统计图,这件毛 衣的含棉量是( )%,涤纶的含量比羊 毛的含量少总量的( )%。如果这件毛 衣重500 g,羊毛有( )g,棉有( )g。 二、判断。(对的画“√”,错的画“×”)(每题1分,共5分) 1.折线统计图不但能表示出数量的多少,而且能清楚地表示出数量的增减变化情况。 ( ) 2.小明的身高是1.5 m,他在平均水深1.35 m的池塘里游泳不会有危险。 ( ) 3.投掷硬币10次,一定会出现5次正面朝上,5次反面朝上。( ) 4.一粒骰子上有1~6这6个数字,晓彬和晓海玩游戏,如果掷出数字比 3大晓彬赢,掷出 数字比3小晓海赢。这样的游戏规则是公平的。 ( ) 5.几个数的平均数不可能比这几个数中最大的数大。 ( ) 三、选择。(将正确答案的字母填在括号里) (每题2分,共10分) 1.要统计两位跳绳参赛选手的训练成绩的变化情况,应选用( )。 A.条形统计图 B.折线统计图 C.扇形统计图 D.统计表 2.六(1)班统计数学期中考试平均成绩是84.1分,后来发现小红的成绩是96分,被错记成 69分,重新计算后,平均成绩是84.7分,那么这个班有( )名学生。 A.41 B.43 C.45 D.47 3.将1个黑球和9个白球放在一个口袋里,从口袋里任意摸一个 球,下列说法正确的是( )。 A.一定摸到黑球 B.摸到黑球的可能性大 C.一定摸到白球 D.摸到白球的可能性大 4.莉莉和媛媛做抛硬币游戏,莉莉第一次抛出的是正面,第二次抛出的是反面,莉莉第三 次抛出的( )。 A.一定是正面 B.一定是反面 C.可能是正面也可能是反面 5.王磊前3次打靶的平均数为5环,要使前4次的平均数不低于6环,则第4次至少应该打 出( )环。 A.7 B.8 C.9 D.10 四、动手操作。(1题9分,2题10分,共19分) 1.在转盘上按要求涂色。 (1)指针一定落在蓝色区域。 (2)指针可能落在红色、蓝色或黑色区域。 (3)指针不可能落在黄色区域。 2.下面是学校附近文化用品商店2013~2017年每年的营业额和支出情况。(单位:万元) 年份 2013 2014 2015 2016 2017 营业额 16 18 19 21 24 支出 7 8 7 10 12 请根据上面的统计表,绘制完下面的折线统计图。 五、解决问题。(1题15分,2题10分,3题8分,共33分)1.看图回答问题。 下面是某市一小六年级三个班的男、女生人数统计图。 (1)哪个班的男生人数最多,哪个班的女生人数最少? (2)平均每班有学生多少人? (3)六(2)班的男生人数比女生人数少百分之几? 2.下图是六年级学生参加兴趣小组的统计图。(每人只参加一个小组)(1)参加体育组的人数比电脑组的人数多百分之几? (2)如果书法组有学生56人,那么体育组有学生多少人? 3.下面是六年级四个班给希望小学捐书情况统计表。(单位:本) 班级 六(1) 六(2) 六(3) 六(4) 平均数 捐书数 65 57 █ 60 62 六(3)班捐书多少本?答案 一、1.条形 折线 扇形 2.折线 3.6 4.蓝 5.红 6.15 35 300 75 二、1.√ 2.× 3.× 4.× 5.√ 三、1.B 2.C 3.D 4.C 5.C 四、略。 五、1.(1)六(1)班的男生人数最多,六(1)班的女生人数最少。 (2)(26+23+18+25+24+25)÷3=47(人) 答:平均每班有学生47人。 (3)(25-18)÷25=28% 答:六(2)班的男生人数比女生人数少28%。 2.(1)(40%-32%)÷32%=25% 答:参加体育组的人数比电脑组的人数多25%。 (2)56÷28%×40%=80(人) 答:体育组有学生80人。 3.62×4-65-57-60=66(本) 答:六(3)班捐书66本。