当前位置:首页>文档>成人高考-专升本《高等数学(二)》考前模拟卷_成考本科-所有考试科目-近10年真题和答案+2026备考通关资料大全_高数二-近10年真题和答案+2026成考本科备考通关资料大全

成人高考-专升本《高等数学(二)》考前模拟卷_成考本科-所有考试科目-近10年真题和答案+2026备考通关资料大全_高数二-近10年真题和答案+2026成考本科备考通关资料大全

  • 2026-03-01 13:46:48 2026-02-28 19:12:27

文档预览

成人高考-专升本《高等数学(二)》考前模拟卷_成考本科-所有考试科目-近10年真题和答案+2026备考通关资料大全_高数二-近10年真题和答案+2026成考本科备考通关资料大全
成人高考-专升本《高等数学(二)》考前模拟卷_成考本科-所有考试科目-近10年真题和答案+2026备考通关资料大全_高数二-近10年真题和答案+2026成考本科备考通关资料大全
成人高考-专升本《高等数学(二)》考前模拟卷_成考本科-所有考试科目-近10年真题和答案+2026备考通关资料大全_高数二-近10年真题和答案+2026成考本科备考通关资料大全
成人高考-专升本《高等数学(二)》考前模拟卷_成考本科-所有考试科目-近10年真题和答案+2026备考通关资料大全_高数二-近10年真题和答案+2026成考本科备考通关资料大全
成人高考-专升本《高等数学(二)》考前模拟卷_成考本科-所有考试科目-近10年真题和答案+2026备考通关资料大全_高数二-近10年真题和答案+2026成考本科备考通关资料大全
成人高考-专升本《高等数学(二)》考前模拟卷_成考本科-所有考试科目-近10年真题和答案+2026备考通关资料大全_高数二-近10年真题和答案+2026成考本科备考通关资料大全
成人高考-专升本《高等数学(二)》考前模拟卷_成考本科-所有考试科目-近10年真题和答案+2026备考通关资料大全_高数二-近10年真题和答案+2026成考本科备考通关资料大全
成人高考-专升本《高等数学(二)》考前模拟卷_成考本科-所有考试科目-近10年真题和答案+2026备考通关资料大全_高数二-近10年真题和答案+2026成考本科备考通关资料大全
成人高考-专升本《高等数学(二)》考前模拟卷_成考本科-所有考试科目-近10年真题和答案+2026备考通关资料大全_高数二-近10年真题和答案+2026成考本科备考通关资料大全
成人高考-专升本《高等数学(二)》考前模拟卷_成考本科-所有考试科目-近10年真题和答案+2026备考通关资料大全_高数二-近10年真题和答案+2026成考本科备考通关资料大全
成人高考-专升本《高等数学(二)》考前模拟卷_成考本科-所有考试科目-近10年真题和答案+2026备考通关资料大全_高数二-近10年真题和答案+2026成考本科备考通关资料大全

文档信息

文档格式
pdf
文档大小
0.361 MB
文档页数
11 页
上传时间
2026-02-28 19:12:27

文档内容

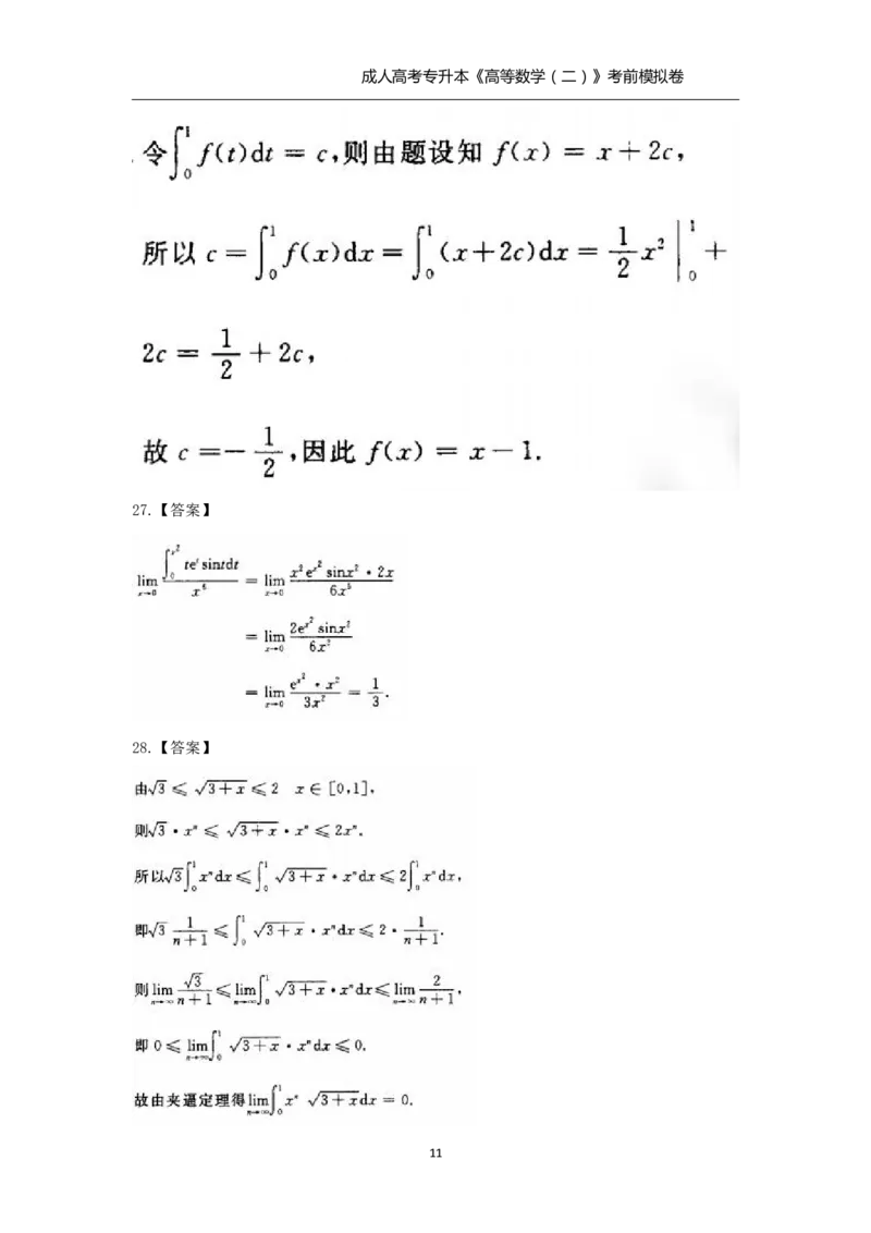
成人高考专升本《高等数学(二)》考前模拟卷 成人高考专升本《高等数学(二)》考前模拟卷 第Ⅰ卷 一、选择题(1-10小题,每小题4分,共40分,在每小题给出的四个选项中,只有一项是 符合题目要求的) sin2x  ,x0   1.设函数 f x  x ,在x0处连续,则a=() x0  a, A.-1 B.1 C.2 D.3 2.函数 y  xcosx在(0,2π)内() A.单调增加 B.单调减少 C.不单调 D.不连续  3.设 f  x  dx  x 2C,则2 f  sinx  cosxdx() 0 A.1 B.-1 2 C. 4 2 D. 4 4.设在(a,b)内有 f x  dx  g x  dx,则在(a,b)内必有()     A. f x g x 0     B. f x g x C 1成人高考专升本《高等数学(二)》考前模拟卷     C.df x dg x     D. f x dx  g x dx     f x 2h  f x   5.设f(x)是可导函数,且lim 0 0 1,则 f x () h0 h 0 A.1 B.0 C.2 1 D. 2 6. d  x2 sint 2 dt () dx 0 A.2xcosx 4 B.x 2 cosx 4 C.2xsinx 4 D.x 2 sinx 4 1x 7.当x1时, 是1 x的() 1x A. 高阶无穷小 B. 低阶无穷小 C. 等价无穷小 D. 不可比较 8.曲线 ye xln y 1,在点(0,1)处的切线方程为() x A.y1 2 1   B.y  x1 2 2成人高考专升本《高等数学(二)》考前模拟卷 x C.y1 3 x D.y1 4 9.曲线 y 3x 2x 3的凸区间为()   A. ,1   B. 1,   C. ,0   D. 0, 10.事件A,B满足AB=A,则A与B的关系为() A.A B B.A B C.A B D.A B 第Ⅱ卷 二、填空题( 11-20 小题,每小题 4分,共 40 分) x2  x 21   11.lim  = . x  x 21 t t 12.lim  . t1 t 1 1 13.y  ,则 y . 1tanx 10 14.设 y sinx,则 y  . 15.y  y  x  由方程xy e yx确定,则dy= . 2 16.已知ktan2xdx  lncos2x C ,则k= . 3 3成人高考专升本《高等数学(二)》考前模拟卷  1 17. dx  . 2 x 3 y z 18.设z arctan ,则  . x x 2 z 19.设z e sinx cosy,则  . yx e2 20. lnxdx  . e 三、解答题 (21-28 题,共 70 分。解答应写出推理、演算步骤) 21.(本题满分8分)  1 设 y  tan x x,求dy. 22. (本题满分8 分) 设x 1,x 2均为 y alnxbx 23x的极值点,求a,b. 1 2 23. (本题满分8 分) 2x e 计算 dx. 1e x 24. (本题满分8 分) 设z ln  x 2 y 2   ,其中 y e x,求 dz .   dx 25. (本题满分8 分) 某运动员投篮命中率为 0.3 ,求一次投篮时投中次数的概率分布及分布函数. 4成人高考专升本《高等数学(二)》考前模拟卷 26.(本题满分10分) 设 f  x  是连续函数,且 f  x   x2 1 f  t  dt,求 f  x  . 0 27.(本题满分10分)  x2 te t sintdt 求lim 0 . x0 x 6 28.(本题满分10分) 适用夹逼定理证明:lim 1 x n 3xdx 0. n 0 5成人高考专升本《高等数学(二)》考前模拟卷 成人高考专升本《高等数学(二)》考前模拟卷参考答案 一、选择题 1.【答案】C     【解析】 f x 在 x0 处连续,则 f x 在 x0 处既左连续又右连续,所以 sin2x         lim f x  lim f x lim f x lim 2 f 0 a,故a=2. x0 x0 x0 x0 x 2.【答案】A 【解析】由 y  xcosx,所以 y1sinx0  0<x<2  ,故y在(0,2π)内单调增 加。 3.【答案】B 【解析】由 f  x  dx  x 2C,知  f  sinx  cosxdx  f  sinx  dsinx  f  sinx  d  sinx    sin x 2 C sin 2 xC   所以2 f  sinx  cosxdx sin 2 x 2 1. 0 0 4.【答案】B 【解析】由 f x  dx  g x  dx,得  f x  g x  dx 0,即 f x  g x  0,又   f x  g x  dx  0dx 0,故 f  x  g  x  C 0,所以 f  x  g  x  C. 5.【答案】D         f x 2h  f x   f x x  f x 【解析】lim 0 0 1与 f x  lim 0 0 相比较,可得 h0 h 0 x0 x       f x 2h  f x f x lim 0 0 0 h0 2h     1 f x 2h  f x 1  lim 0 0  . 2 h0 h 2 6.【答案】C 6成人高考专升本《高等数学(二)》考前模拟卷 【解析】 d  x2 sint 2 dt sin  x 2  2   x 2  2xsinx 4. dx 0 7.【答案】C 1x 1x 1 x 1x 【解析】由lim lim 1,所以当x1时, 与1 x是等价无穷小。 x11 x x1 1x 1x 8.【答案】A 1  ye x 【解析】由 ye xln y 1,两边对x求导得 ye x ye x y0,即 y ,所 y e x 1 y 1 x 以 y  ,故切线方程为y1 . 0,1 2 2 9.【答案】B 【解析】y 3x 2x 3,y6x3x 2,y66x6  1x  ,显然当x>1时,y<0; 而当x>1时, y>0,故在  1,  内曲线为凸弧。 10.【答案】B   【解析】AB=A,则 A AB AB A,按积的定义是当然的 ,即当∈A 时,必有 ∈AB,因而∈B,故A B. 二、填空题 11.【答案】e 2 x2  1  x2 1   x 21  x 2  e 【解析】lim    lim  e 2. x  x 21 x  1  x2 e 1 1  2  x  12.【答案】1   t t t t 1 【解析】lim lim 1 t1 t 1 t1 t 1 1 13.【答案】  cos xsin x 2 7成人高考专升本《高等数学(二)》考前模拟卷 1 【解析】 y  ,则 1tanx sec 2 x sec 2 x 1 y    1tan x 2  cos xsin x 2  cos xsin x 2 2 cos x 14.【答案】sinx n    【解析】由 y sinx,且 y sinn x,则  2  y 10 sin  10  x  sin  5x  sin  x  sinx.  2  ye yx 15.【答案】 dx e yxx 【解析】方程xy e yx两边对x求导,y为x的函数,有yxye yx  y1  ye yx 解得dy  dx e yxx 4 16.【答案】 3 2sinx k sin2x k dcos2x 【解析】ktan2xdx k dx   d  2x    cos2x 2 cos2x 2 cos2x k 2 4  lncos2x C,与 lncos2x C 比较,得k  . 2 3 3 1 17.【答案】 8  a   【解析】  1 dx  lim  a 1 dx  lim     1   1   lim  1  1  1   1 . 2 x 3 a 2 x 3 a 2 x 2  a  8 2 a 2 8    2 1 y 18.【答案】   2 x y x   z 1 1 y 1 y   【解析】      x y y  x 2 2  x y  x 1 2   x x 19.【答案】e sinx cosxsin y 8成人高考专升本《高等数学(二)》考前模拟卷 z 2 z 【解析】由z e sinx cosy,则 e sinx sin y, e sinx cosxsin y y yx 20.【答案】e 2 【解析】 e2 lnxdxxlnx e2  e2 x 1 dx 2e 2ex e2 2e 2ee 2ee 2 e e e x e 三、解答题 21.【答案】 a 22.【答案】由 y alnxbx 23x,则y 2bx3,因为x 1,x 2是极值点, x 1 2 a2b30  所以 y 0, y 0,即a x1 x2  4b30 2 1 解得a 2,b . 2 e 2x e x e x11 23.【答案】 dx   de x   de x 1e x 1e x 1e x   1   1  de x  1e x     e xln1e x C. 9成人高考专升本《高等数学(二)》考前模拟卷 24.【答案】 25.【答案】 26.【答案】 10成人高考专升本《高等数学(二)》考前模拟卷 27.【答案】 28.【答案】 11
基本 文件 流程 错误 SQL 调试
  1. 请求信息 : 2026-03-03 03:10:29 HTTP/1.1 GET : https://www.yeyulingfeng.com/wendang/329025.html
  2. 运行时间 : 0.104411s [ 吞吐率:9.58req/s ] 内存消耗:6,474.95kb 文件加载:144
  3. 缓存信息 : 0 reads,0 writes
  4. 会话信息 : SESSION_ID=5c76b2ef051b3a56fad64580e4f9b017
  1. /yingpanguazai/ssd/ssd1/www/wwww.yeyulingfeng.com/public/index.php ( 0.79 KB )
  2. /yingpanguazai/ssd/ssd1/www/wwww.yeyulingfeng.com/vendor/autoload.php ( 0.17 KB )
  3. /yingpanguazai/ssd/ssd1/www/wwww.yeyulingfeng.com/vendor/composer/autoload_real.php ( 2.49 KB )
  4. /yingpanguazai/ssd/ssd1/www/wwww.yeyulingfeng.com/vendor/composer/platform_check.php ( 0.90 KB )
  5. /yingpanguazai/ssd/ssd1/www/wwww.yeyulingfeng.com/vendor/composer/ClassLoader.php ( 14.03 KB )
  6. /yingpanguazai/ssd/ssd1/www/wwww.yeyulingfeng.com/vendor/composer/autoload_static.php ( 6.05 KB )
  7. /yingpanguazai/ssd/ssd1/www/wwww.yeyulingfeng.com/vendor/topthink/think-helper/src/helper.php ( 8.34 KB )
  8. /yingpanguazai/ssd/ssd1/www/wwww.yeyulingfeng.com/vendor/topthink/think-validate/src/helper.php ( 2.19 KB )
  9. /yingpanguazai/ssd/ssd1/www/wwww.yeyulingfeng.com/vendor/ralouphie/getallheaders/src/getallheaders.php ( 1.60 KB )
  10. /yingpanguazai/ssd/ssd1/www/wwww.yeyulingfeng.com/vendor/topthink/think-orm/src/helper.php ( 1.47 KB )
  11. /yingpanguazai/ssd/ssd1/www/wwww.yeyulingfeng.com/vendor/topthink/think-orm/stubs/load_stubs.php ( 0.16 KB )
  12. /yingpanguazai/ssd/ssd1/www/wwww.yeyulingfeng.com/vendor/topthink/framework/src/think/Exception.php ( 1.69 KB )
  13. /yingpanguazai/ssd/ssd1/www/wwww.yeyulingfeng.com/vendor/topthink/think-container/src/Facade.php ( 2.71 KB )
  14. /yingpanguazai/ssd/ssd1/www/wwww.yeyulingfeng.com/vendor/symfony/deprecation-contracts/function.php ( 0.99 KB )
  15. /yingpanguazai/ssd/ssd1/www/wwww.yeyulingfeng.com/vendor/symfony/polyfill-mbstring/bootstrap.php ( 8.26 KB )
  16. /yingpanguazai/ssd/ssd1/www/wwww.yeyulingfeng.com/vendor/symfony/polyfill-mbstring/bootstrap80.php ( 9.78 KB )
  17. /yingpanguazai/ssd/ssd1/www/wwww.yeyulingfeng.com/vendor/symfony/var-dumper/Resources/functions/dump.php ( 1.49 KB )
  18. /yingpanguazai/ssd/ssd1/www/wwww.yeyulingfeng.com/vendor/topthink/think-dumper/src/helper.php ( 0.18 KB )
  19. /yingpanguazai/ssd/ssd1/www/wwww.yeyulingfeng.com/vendor/symfony/var-dumper/VarDumper.php ( 4.30 KB )
  20. /yingpanguazai/ssd/ssd1/www/wwww.yeyulingfeng.com/vendor/guzzlehttp/guzzle/src/functions_include.php ( 0.16 KB )
  21. /yingpanguazai/ssd/ssd1/www/wwww.yeyulingfeng.com/vendor/guzzlehttp/guzzle/src/functions.php ( 5.54 KB )
  22. /yingpanguazai/ssd/ssd1/www/wwww.yeyulingfeng.com/vendor/topthink/framework/src/think/App.php ( 15.30 KB )
  23. /yingpanguazai/ssd/ssd1/www/wwww.yeyulingfeng.com/vendor/topthink/think-container/src/Container.php ( 15.76 KB )
  24. /yingpanguazai/ssd/ssd1/www/wwww.yeyulingfeng.com/vendor/psr/container/src/ContainerInterface.php ( 1.02 KB )
  25. /yingpanguazai/ssd/ssd1/www/wwww.yeyulingfeng.com/app/provider.php ( 0.19 KB )
  26. /yingpanguazai/ssd/ssd1/www/wwww.yeyulingfeng.com/vendor/topthink/framework/src/think/Http.php ( 6.04 KB )
  27. /yingpanguazai/ssd/ssd1/www/wwww.yeyulingfeng.com/vendor/topthink/think-helper/src/helper/Str.php ( 7.29 KB )
  28. /yingpanguazai/ssd/ssd1/www/wwww.yeyulingfeng.com/vendor/topthink/framework/src/think/Env.php ( 4.68 KB )
  29. /yingpanguazai/ssd/ssd1/www/wwww.yeyulingfeng.com/app/common.php ( 0.03 KB )
  30. /yingpanguazai/ssd/ssd1/www/wwww.yeyulingfeng.com/vendor/topthink/framework/src/helper.php ( 18.78 KB )
  31. /yingpanguazai/ssd/ssd1/www/wwww.yeyulingfeng.com/vendor/topthink/framework/src/think/Config.php ( 5.54 KB )
  32. /yingpanguazai/ssd/ssd1/www/wwww.yeyulingfeng.com/config/alipay.php ( 3.59 KB )
  33. /yingpanguazai/ssd/ssd1/www/wwww.yeyulingfeng.com/vendor/topthink/framework/src/think/facade/Env.php ( 1.67 KB )
  34. /yingpanguazai/ssd/ssd1/www/wwww.yeyulingfeng.com/config/app.php ( 0.95 KB )
  35. /yingpanguazai/ssd/ssd1/www/wwww.yeyulingfeng.com/config/cache.php ( 0.78 KB )
  36. /yingpanguazai/ssd/ssd1/www/wwww.yeyulingfeng.com/config/console.php ( 0.23 KB )
  37. /yingpanguazai/ssd/ssd1/www/wwww.yeyulingfeng.com/config/cookie.php ( 0.56 KB )
  38. /yingpanguazai/ssd/ssd1/www/wwww.yeyulingfeng.com/config/database.php ( 2.48 KB )
  39. /yingpanguazai/ssd/ssd1/www/wwww.yeyulingfeng.com/config/filesystem.php ( 0.61 KB )
  40. /yingpanguazai/ssd/ssd1/www/wwww.yeyulingfeng.com/config/lang.php ( 0.91 KB )
  41. /yingpanguazai/ssd/ssd1/www/wwww.yeyulingfeng.com/config/log.php ( 1.35 KB )
  42. /yingpanguazai/ssd/ssd1/www/wwww.yeyulingfeng.com/config/middleware.php ( 0.19 KB )
  43. /yingpanguazai/ssd/ssd1/www/wwww.yeyulingfeng.com/config/route.php ( 1.89 KB )
  44. /yingpanguazai/ssd/ssd1/www/wwww.yeyulingfeng.com/config/session.php ( 0.57 KB )
  45. /yingpanguazai/ssd/ssd1/www/wwww.yeyulingfeng.com/config/trace.php ( 0.34 KB )
  46. /yingpanguazai/ssd/ssd1/www/wwww.yeyulingfeng.com/config/view.php ( 0.82 KB )
  47. /yingpanguazai/ssd/ssd1/www/wwww.yeyulingfeng.com/app/event.php ( 0.25 KB )
  48. /yingpanguazai/ssd/ssd1/www/wwww.yeyulingfeng.com/vendor/topthink/framework/src/think/Event.php ( 7.67 KB )
  49. /yingpanguazai/ssd/ssd1/www/wwww.yeyulingfeng.com/app/service.php ( 0.13 KB )
  50. /yingpanguazai/ssd/ssd1/www/wwww.yeyulingfeng.com/app/AppService.php ( 0.26 KB )
  51. /yingpanguazai/ssd/ssd1/www/wwww.yeyulingfeng.com/vendor/topthink/framework/src/think/Service.php ( 1.64 KB )
  52. /yingpanguazai/ssd/ssd1/www/wwww.yeyulingfeng.com/vendor/topthink/framework/src/think/Lang.php ( 7.35 KB )
  53. /yingpanguazai/ssd/ssd1/www/wwww.yeyulingfeng.com/vendor/topthink/framework/src/lang/zh-cn.php ( 13.70 KB )
  54. /yingpanguazai/ssd/ssd1/www/wwww.yeyulingfeng.com/vendor/topthink/framework/src/think/initializer/Error.php ( 3.31 KB )
  55. /yingpanguazai/ssd/ssd1/www/wwww.yeyulingfeng.com/vendor/topthink/framework/src/think/initializer/RegisterService.php ( 1.33 KB )
  56. /yingpanguazai/ssd/ssd1/www/wwww.yeyulingfeng.com/vendor/services.php ( 0.14 KB )
  57. /yingpanguazai/ssd/ssd1/www/wwww.yeyulingfeng.com/vendor/topthink/framework/src/think/service/PaginatorService.php ( 1.52 KB )
  58. /yingpanguazai/ssd/ssd1/www/wwww.yeyulingfeng.com/vendor/topthink/framework/src/think/service/ValidateService.php ( 0.99 KB )
  59. /yingpanguazai/ssd/ssd1/www/wwww.yeyulingfeng.com/vendor/topthink/framework/src/think/service/ModelService.php ( 2.04 KB )
  60. /yingpanguazai/ssd/ssd1/www/wwww.yeyulingfeng.com/vendor/topthink/think-trace/src/Service.php ( 0.77 KB )
  61. /yingpanguazai/ssd/ssd1/www/wwww.yeyulingfeng.com/vendor/topthink/framework/src/think/Middleware.php ( 6.72 KB )
  62. /yingpanguazai/ssd/ssd1/www/wwww.yeyulingfeng.com/vendor/topthink/framework/src/think/initializer/BootService.php ( 0.77 KB )
  63. /yingpanguazai/ssd/ssd1/www/wwww.yeyulingfeng.com/vendor/topthink/think-orm/src/Paginator.php ( 11.86 KB )
  64. /yingpanguazai/ssd/ssd1/www/wwww.yeyulingfeng.com/vendor/topthink/think-validate/src/Validate.php ( 63.20 KB )
  65. /yingpanguazai/ssd/ssd1/www/wwww.yeyulingfeng.com/vendor/topthink/think-orm/src/Model.php ( 23.55 KB )
  66. /yingpanguazai/ssd/ssd1/www/wwww.yeyulingfeng.com/vendor/topthink/think-orm/src/model/concern/Attribute.php ( 21.05 KB )
  67. /yingpanguazai/ssd/ssd1/www/wwww.yeyulingfeng.com/vendor/topthink/think-orm/src/model/concern/AutoWriteData.php ( 4.21 KB )
  68. /yingpanguazai/ssd/ssd1/www/wwww.yeyulingfeng.com/vendor/topthink/think-orm/src/model/concern/Conversion.php ( 6.44 KB )
  69. /yingpanguazai/ssd/ssd1/www/wwww.yeyulingfeng.com/vendor/topthink/think-orm/src/model/concern/DbConnect.php ( 5.16 KB )
  70. /yingpanguazai/ssd/ssd1/www/wwww.yeyulingfeng.com/vendor/topthink/think-orm/src/model/concern/ModelEvent.php ( 2.33 KB )
  71. /yingpanguazai/ssd/ssd1/www/wwww.yeyulingfeng.com/vendor/topthink/think-orm/src/model/concern/RelationShip.php ( 28.29 KB )
  72. /yingpanguazai/ssd/ssd1/www/wwww.yeyulingfeng.com/vendor/topthink/think-helper/src/contract/Arrayable.php ( 0.09 KB )
  73. /yingpanguazai/ssd/ssd1/www/wwww.yeyulingfeng.com/vendor/topthink/think-helper/src/contract/Jsonable.php ( 0.13 KB )
  74. /yingpanguazai/ssd/ssd1/www/wwww.yeyulingfeng.com/vendor/topthink/think-orm/src/model/contract/Modelable.php ( 0.09 KB )
  75. /yingpanguazai/ssd/ssd1/www/wwww.yeyulingfeng.com/vendor/topthink/framework/src/think/Db.php ( 2.88 KB )
  76. /yingpanguazai/ssd/ssd1/www/wwww.yeyulingfeng.com/vendor/topthink/think-orm/src/DbManager.php ( 8.52 KB )
  77. /yingpanguazai/ssd/ssd1/www/wwww.yeyulingfeng.com/vendor/topthink/framework/src/think/Log.php ( 6.28 KB )
  78. /yingpanguazai/ssd/ssd1/www/wwww.yeyulingfeng.com/vendor/topthink/framework/src/think/Manager.php ( 3.92 KB )
  79. /yingpanguazai/ssd/ssd1/www/wwww.yeyulingfeng.com/vendor/psr/log/src/LoggerTrait.php ( 2.69 KB )
  80. /yingpanguazai/ssd/ssd1/www/wwww.yeyulingfeng.com/vendor/psr/log/src/LoggerInterface.php ( 2.71 KB )
  81. /yingpanguazai/ssd/ssd1/www/wwww.yeyulingfeng.com/vendor/topthink/framework/src/think/Cache.php ( 4.92 KB )
  82. /yingpanguazai/ssd/ssd1/www/wwww.yeyulingfeng.com/vendor/psr/simple-cache/src/CacheInterface.php ( 4.71 KB )
  83. /yingpanguazai/ssd/ssd1/www/wwww.yeyulingfeng.com/vendor/topthink/think-helper/src/helper/Arr.php ( 16.63 KB )
  84. /yingpanguazai/ssd/ssd1/www/wwww.yeyulingfeng.com/vendor/topthink/framework/src/think/cache/driver/File.php ( 7.84 KB )
  85. /yingpanguazai/ssd/ssd1/www/wwww.yeyulingfeng.com/vendor/topthink/framework/src/think/cache/Driver.php ( 9.03 KB )
  86. /yingpanguazai/ssd/ssd1/www/wwww.yeyulingfeng.com/vendor/topthink/framework/src/think/contract/CacheHandlerInterface.php ( 1.99 KB )
  87. /yingpanguazai/ssd/ssd1/www/wwww.yeyulingfeng.com/app/Request.php ( 0.09 KB )
  88. /yingpanguazai/ssd/ssd1/www/wwww.yeyulingfeng.com/vendor/topthink/framework/src/think/Request.php ( 55.78 KB )
  89. /yingpanguazai/ssd/ssd1/www/wwww.yeyulingfeng.com/app/middleware.php ( 0.25 KB )
  90. /yingpanguazai/ssd/ssd1/www/wwww.yeyulingfeng.com/vendor/topthink/framework/src/think/Pipeline.php ( 2.61 KB )
  91. /yingpanguazai/ssd/ssd1/www/wwww.yeyulingfeng.com/vendor/topthink/think-trace/src/TraceDebug.php ( 3.40 KB )
  92. /yingpanguazai/ssd/ssd1/www/wwww.yeyulingfeng.com/vendor/topthink/framework/src/think/middleware/SessionInit.php ( 1.94 KB )
  93. /yingpanguazai/ssd/ssd1/www/wwww.yeyulingfeng.com/vendor/topthink/framework/src/think/Session.php ( 1.80 KB )
  94. /yingpanguazai/ssd/ssd1/www/wwww.yeyulingfeng.com/vendor/topthink/framework/src/think/session/driver/File.php ( 6.27 KB )
  95. /yingpanguazai/ssd/ssd1/www/wwww.yeyulingfeng.com/vendor/topthink/framework/src/think/contract/SessionHandlerInterface.php ( 0.87 KB )
  96. /yingpanguazai/ssd/ssd1/www/wwww.yeyulingfeng.com/vendor/topthink/framework/src/think/session/Store.php ( 7.12 KB )
  97. /yingpanguazai/ssd/ssd1/www/wwww.yeyulingfeng.com/vendor/topthink/framework/src/think/Route.php ( 23.73 KB )
  98. /yingpanguazai/ssd/ssd1/www/wwww.yeyulingfeng.com/vendor/topthink/framework/src/think/route/RuleName.php ( 5.75 KB )
  99. /yingpanguazai/ssd/ssd1/www/wwww.yeyulingfeng.com/vendor/topthink/framework/src/think/route/Domain.php ( 2.53 KB )
  100. /yingpanguazai/ssd/ssd1/www/wwww.yeyulingfeng.com/vendor/topthink/framework/src/think/route/RuleGroup.php ( 22.43 KB )
  101. /yingpanguazai/ssd/ssd1/www/wwww.yeyulingfeng.com/vendor/topthink/framework/src/think/route/Rule.php ( 26.95 KB )
  102. /yingpanguazai/ssd/ssd1/www/wwww.yeyulingfeng.com/vendor/topthink/framework/src/think/route/RuleItem.php ( 9.78 KB )
  103. /yingpanguazai/ssd/ssd1/www/wwww.yeyulingfeng.com/route/app.php ( 3.63 KB )
  104. /yingpanguazai/ssd/ssd1/www/wwww.yeyulingfeng.com/vendor/topthink/framework/src/think/facade/Route.php ( 4.70 KB )
  105. /yingpanguazai/ssd/ssd1/www/wwww.yeyulingfeng.com/vendor/topthink/framework/src/think/route/dispatch/Controller.php ( 4.74 KB )
  106. /yingpanguazai/ssd/ssd1/www/wwww.yeyulingfeng.com/vendor/topthink/framework/src/think/route/Dispatch.php ( 10.44 KB )
  107. /yingpanguazai/ssd/ssd1/www/wwww.yeyulingfeng.com/app/controller/Index.php ( 9.50 KB )
  108. /yingpanguazai/ssd/ssd1/www/wwww.yeyulingfeng.com/app/BaseController.php ( 2.05 KB )
  109. /yingpanguazai/ssd/ssd1/www/wwww.yeyulingfeng.com/vendor/topthink/think-orm/src/facade/Db.php ( 0.93 KB )
  110. /yingpanguazai/ssd/ssd1/www/wwww.yeyulingfeng.com/vendor/topthink/think-orm/src/db/connector/Mysql.php ( 5.44 KB )
  111. /yingpanguazai/ssd/ssd1/www/wwww.yeyulingfeng.com/vendor/topthink/think-orm/src/db/PDOConnection.php ( 52.47 KB )
  112. /yingpanguazai/ssd/ssd1/www/wwww.yeyulingfeng.com/vendor/topthink/think-orm/src/db/Connection.php ( 8.39 KB )
  113. /yingpanguazai/ssd/ssd1/www/wwww.yeyulingfeng.com/vendor/topthink/think-orm/src/db/ConnectionInterface.php ( 4.57 KB )
  114. /yingpanguazai/ssd/ssd1/www/wwww.yeyulingfeng.com/vendor/topthink/think-orm/src/db/builder/Mysql.php ( 16.58 KB )
  115. /yingpanguazai/ssd/ssd1/www/wwww.yeyulingfeng.com/vendor/topthink/think-orm/src/db/Builder.php ( 24.06 KB )
  116. /yingpanguazai/ssd/ssd1/www/wwww.yeyulingfeng.com/vendor/topthink/think-orm/src/db/BaseBuilder.php ( 27.50 KB )
  117. /yingpanguazai/ssd/ssd1/www/wwww.yeyulingfeng.com/vendor/topthink/think-orm/src/db/Query.php ( 15.71 KB )
  118. /yingpanguazai/ssd/ssd1/www/wwww.yeyulingfeng.com/vendor/topthink/think-orm/src/db/BaseQuery.php ( 45.13 KB )
  119. /yingpanguazai/ssd/ssd1/www/wwww.yeyulingfeng.com/vendor/topthink/think-orm/src/db/concern/TimeFieldQuery.php ( 7.43 KB )
  120. /yingpanguazai/ssd/ssd1/www/wwww.yeyulingfeng.com/vendor/topthink/think-orm/src/db/concern/AggregateQuery.php ( 3.26 KB )
  121. /yingpanguazai/ssd/ssd1/www/wwww.yeyulingfeng.com/vendor/topthink/think-orm/src/db/concern/ModelRelationQuery.php ( 20.07 KB )
  122. /yingpanguazai/ssd/ssd1/www/wwww.yeyulingfeng.com/vendor/topthink/think-orm/src/db/concern/ParamsBind.php ( 3.66 KB )
  123. /yingpanguazai/ssd/ssd1/www/wwww.yeyulingfeng.com/vendor/topthink/think-orm/src/db/concern/ResultOperation.php ( 7.01 KB )
  124. /yingpanguazai/ssd/ssd1/www/wwww.yeyulingfeng.com/vendor/topthink/think-orm/src/db/concern/WhereQuery.php ( 19.37 KB )
  125. /yingpanguazai/ssd/ssd1/www/wwww.yeyulingfeng.com/vendor/topthink/think-orm/src/db/concern/JoinAndViewQuery.php ( 7.11 KB )
  126. /yingpanguazai/ssd/ssd1/www/wwww.yeyulingfeng.com/vendor/topthink/think-orm/src/db/concern/TableFieldInfo.php ( 2.63 KB )
  127. /yingpanguazai/ssd/ssd1/www/wwww.yeyulingfeng.com/vendor/topthink/think-orm/src/db/concern/Transaction.php ( 2.77 KB )
  128. /yingpanguazai/ssd/ssd1/www/wwww.yeyulingfeng.com/vendor/topthink/framework/src/think/log/driver/File.php ( 5.96 KB )
  129. /yingpanguazai/ssd/ssd1/www/wwww.yeyulingfeng.com/vendor/topthink/framework/src/think/contract/LogHandlerInterface.php ( 0.86 KB )
  130. /yingpanguazai/ssd/ssd1/www/wwww.yeyulingfeng.com/vendor/topthink/framework/src/think/log/Channel.php ( 3.89 KB )
  131. /yingpanguazai/ssd/ssd1/www/wwww.yeyulingfeng.com/vendor/topthink/framework/src/think/event/LogRecord.php ( 1.02 KB )
  132. /yingpanguazai/ssd/ssd1/www/wwww.yeyulingfeng.com/vendor/topthink/think-helper/src/Collection.php ( 16.47 KB )
  133. /yingpanguazai/ssd/ssd1/www/wwww.yeyulingfeng.com/vendor/topthink/framework/src/think/facade/View.php ( 1.70 KB )
  134. /yingpanguazai/ssd/ssd1/www/wwww.yeyulingfeng.com/vendor/topthink/framework/src/think/View.php ( 4.39 KB )
  135. /yingpanguazai/ssd/ssd1/www/wwww.yeyulingfeng.com/vendor/topthink/framework/src/think/Response.php ( 8.81 KB )
  136. /yingpanguazai/ssd/ssd1/www/wwww.yeyulingfeng.com/vendor/topthink/framework/src/think/response/View.php ( 3.29 KB )
  137. /yingpanguazai/ssd/ssd1/www/wwww.yeyulingfeng.com/vendor/topthink/framework/src/think/Cookie.php ( 6.06 KB )
  138. /yingpanguazai/ssd/ssd1/www/wwww.yeyulingfeng.com/vendor/topthink/think-view/src/Think.php ( 8.38 KB )
  139. /yingpanguazai/ssd/ssd1/www/wwww.yeyulingfeng.com/vendor/topthink/framework/src/think/contract/TemplateHandlerInterface.php ( 1.60 KB )
  140. /yingpanguazai/ssd/ssd1/www/wwww.yeyulingfeng.com/vendor/topthink/think-template/src/Template.php ( 46.61 KB )
  141. /yingpanguazai/ssd/ssd1/www/wwww.yeyulingfeng.com/vendor/topthink/think-template/src/template/driver/File.php ( 2.41 KB )
  142. /yingpanguazai/ssd/ssd1/www/wwww.yeyulingfeng.com/vendor/topthink/think-template/src/template/contract/DriverInterface.php ( 0.86 KB )
  143. /yingpanguazai/ssd/ssd1/www/wwww.yeyulingfeng.com/runtime/temp/10a0c909b6afa23b5a52a2e2d58c3c0f.php ( 21.72 KB )
  144. /yingpanguazai/ssd/ssd1/www/wwww.yeyulingfeng.com/vendor/topthink/think-trace/src/Html.php ( 4.42 KB )
  1. CONNECT:[ UseTime:0.000441s ] mysql:host=127.0.0.1;port=3306;dbname=wenku;charset=utf8mb4
  2. SHOW FULL COLUMNS FROM `fenlei` [ RunTime:0.000603s ]
  3. SELECT * FROM `fenlei` WHERE `fid` = 0 [ RunTime:0.000256s ]
  4. SELECT * FROM `fenlei` WHERE `fid` = 63 [ RunTime:0.000285s ]
  5. SHOW FULL COLUMNS FROM `set` [ RunTime:0.000549s ]
  6. SELECT * FROM `set` [ RunTime:0.000197s ]
  7. SHOW FULL COLUMNS FROM `wendang` [ RunTime:0.000566s ]
  8. SELECT * FROM `wendang` WHERE `id` = 329025 LIMIT 1 [ RunTime:0.000393s ]
  9. UPDATE `wendang` SET `liulancishu` = 5 WHERE `id` = 329025 [ RunTime:0.004488s ]
  10. UPDATE `wendang` SET `lasttime` = 1772478629 WHERE `id` = 329025 [ RunTime:0.002140s ]
  11. SELECT * FROM `wendang` WHERE `id` < 329025 ORDER BY `id` DESC LIMIT 1 [ RunTime:0.000576s ]
  12. SELECT * FROM `wendang` WHERE `id` > 329025 ORDER BY `id` ASC LIMIT 1 [ RunTime:0.000576s ]
  13. SELECT * FROM `wendang` WHERE `id` <> 329025 ORDER BY `id` DESC LIMIT 10 [ RunTime:0.001265s ]
  14. SELECT * FROM `wendang` WHERE `id` <> 329025 ORDER BY `id` DESC LIMIT 10,10 [ RunTime:0.019870s ]
  15. SELECT * FROM `wendang` WHERE `id` <> 329025 ORDER BY `id` DESC LIMIT 20,10 [ RunTime:0.003985s ]
0.106088s