当前位置:首页>文档>成人高考-专升本《高等数学(一)》考前模拟卷_成考本科-所有考试科目-近10年真题和答案+2026备考通关资料大全_高数一-近10年真题和答案+2026成考本科备考通关资料大全

成人高考-专升本《高等数学(一)》考前模拟卷_成考本科-所有考试科目-近10年真题和答案+2026备考通关资料大全_高数一-近10年真题和答案+2026成考本科备考通关资料大全

  • 2026-03-01 15:46:12 2026-02-28 19:12:16

文档预览

成人高考-专升本《高等数学(一)》考前模拟卷_成考本科-所有考试科目-近10年真题和答案+2026备考通关资料大全_高数一-近10年真题和答案+2026成考本科备考通关资料大全
成人高考-专升本《高等数学(一)》考前模拟卷_成考本科-所有考试科目-近10年真题和答案+2026备考通关资料大全_高数一-近10年真题和答案+2026成考本科备考通关资料大全
成人高考-专升本《高等数学(一)》考前模拟卷_成考本科-所有考试科目-近10年真题和答案+2026备考通关资料大全_高数一-近10年真题和答案+2026成考本科备考通关资料大全
成人高考-专升本《高等数学(一)》考前模拟卷_成考本科-所有考试科目-近10年真题和答案+2026备考通关资料大全_高数一-近10年真题和答案+2026成考本科备考通关资料大全
成人高考-专升本《高等数学(一)》考前模拟卷_成考本科-所有考试科目-近10年真题和答案+2026备考通关资料大全_高数一-近10年真题和答案+2026成考本科备考通关资料大全
成人高考-专升本《高等数学(一)》考前模拟卷_成考本科-所有考试科目-近10年真题和答案+2026备考通关资料大全_高数一-近10年真题和答案+2026成考本科备考通关资料大全
成人高考-专升本《高等数学(一)》考前模拟卷_成考本科-所有考试科目-近10年真题和答案+2026备考通关资料大全_高数一-近10年真题和答案+2026成考本科备考通关资料大全
成人高考-专升本《高等数学(一)》考前模拟卷_成考本科-所有考试科目-近10年真题和答案+2026备考通关资料大全_高数一-近10年真题和答案+2026成考本科备考通关资料大全
成人高考-专升本《高等数学(一)》考前模拟卷_成考本科-所有考试科目-近10年真题和答案+2026备考通关资料大全_高数一-近10年真题和答案+2026成考本科备考通关资料大全
成人高考-专升本《高等数学(一)》考前模拟卷_成考本科-所有考试科目-近10年真题和答案+2026备考通关资料大全_高数一-近10年真题和答案+2026成考本科备考通关资料大全
成人高考-专升本《高等数学(一)》考前模拟卷_成考本科-所有考试科目-近10年真题和答案+2026备考通关资料大全_高数一-近10年真题和答案+2026成考本科备考通关资料大全
成人高考-专升本《高等数学(一)》考前模拟卷_成考本科-所有考试科目-近10年真题和答案+2026备考通关资料大全_高数一-近10年真题和答案+2026成考本科备考通关资料大全

文档信息

文档格式
pdf
文档大小
0.418 MB
文档页数
12 页
上传时间
2026-02-28 19:12:16

文档内容

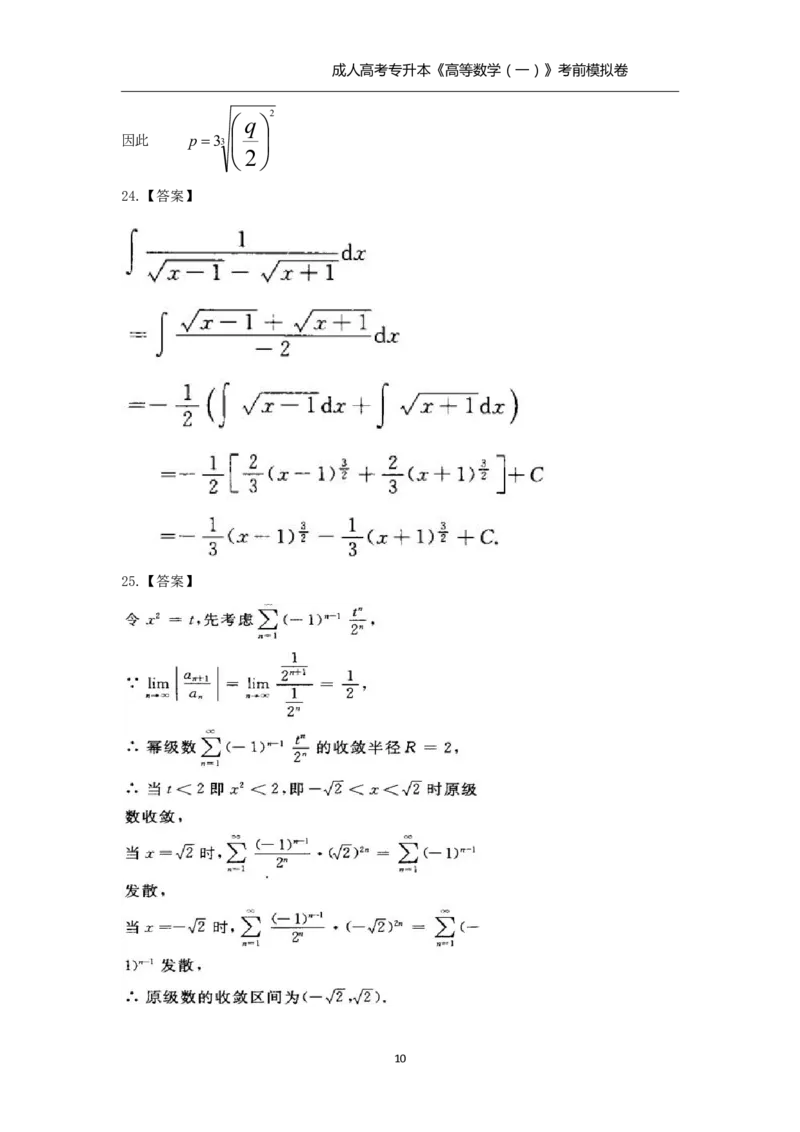
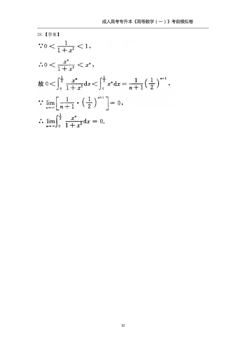
成人高考专升本《高等数学(一)》考前模拟卷 成人高考专升本《高等数学(一)》考前模拟卷 第Ⅰ卷 一、选择题(1-10小题,每小题4分,共40分,在每小题给出的四个选项中,只有一项是 符合题目要求的) 1.函数f(x)在点x 处有定义是 lim f(x)存在的() 0 xx 0 A.充分条件 B.必要条件 C.充要条件 D.以上都不对 x 12x,x0   2设函数 f x  在x=0连续,则k等于()  k, x0 A.e 2 B.e 2 C.1 D.0 x 2axb 3.若lim 5,则() x2 x2 A.a=-9,b=14 B.a=1,b=-6 C.a=-2,b=0 D.a=-2,b=-5 x e 4.曲线 y  () 1x A.有一个拐点 B.有两个拐点 C.有三个拐点 D.无拐点 1成人高考专升本《高等数学(一)》考前模拟卷 5.x 2 dx () A.3x 2C 3 x B. C 3 C.x 3C x D. C 2   6.已知 k 2x3x 2 dx 0,则k=() 0 A.0或1 B.0或-1 C.0或2 D.1或-1 1 7.由曲线 y  ,直线y=x,x=2,所围面积为() x 21  A.  xdx 1  x  2 1 B. x dx 1  x C. 2   2 1   dy 2 2 y  dy   1  y 1 D. 2   2 1   dx 2 2x  dx 1  x 1 8.设z  x 33x y,则它在点(1,0)处() A.取得极大值 B.取得极小值 C.无极值 D.无法判定 2成人高考专升本《高等数学(一)》考前模拟卷  9.若lima 0,则数项极数a () n n n n1 A. 收敛 B. 发散 c. 收敛且和为零 D. 可能收敛也可能发散 '' ' 10.微分方程 y 2 y  x的特解应设为() A.Ax B.AxB C.Ax 2Bx D.Ax 2BxC 第Ⅱ卷 二、填空题( 11-20 小题,每小题 4分,共 40 分) 11.当x=1时,f  x   x 33pxq取到极值(其中q为任意常数),则p= 。 12.设 f  x    x xdt, f ' x   。 0   1 13.设 f x 2  ,则f(x)= 。 x 14.f(x) 是连续的奇函数,且 1 f  x  dx 1,则 0 f  x  dx  。 0 1 15.设z  x y,则dz= 。 16.设I   16 dy y f  x,y  dx交换积分次序,则有I= 。 y 0 4 p  x 17.当P 时,反常积分 dx收敛。 1 1x  1 18.判断级数 收敛还是发散,你的结论是 。   n n1 n1 19.ylnxdxxln ydy 0的通解是 。 3成人高考专升本《高等数学(一)》考前模拟卷 20.y2y3y 0的通解是 。 三、解答题 (21-28 题,共 70 分.解答应写出推理、演算步骤) 21.(本题满分8分) 1   x3 x3 e   设 f x  ,求f(x)的间断点。   sin x3 22. (本题满分8 分)  x   f x  f  设lim 3 a,且 f 0  存在,求 f 0  。 x0 x 2 23. (本题满分8 分) 给定曲线 y  x 3与直线y  pxq(其中p>0),求P与q 为何关系时,直线 y  pxq 是 y  x 3的切线。 24. (本题满分8 分) 1 求 dx x1 x1 25. (本题满分8 分) 求幂级数   1 n1 x 2n 的收敛半径和收敛区间。 n 2 n1 4成人高考专升本《高等数学(一)》考前模拟卷 26.(本题满分10分) 1 sin xx 求lim  x0 x  27.(本题满分10分) 计算   xe y x 2 y 2   dxdy,其中D是由 y  x 2,y 4x 2,y=1围成。 D  28.(本题满分10分) 1 x n 求lim2 dx n 0 1 x 2 5成人高考专升本《高等数学(一)》考前模拟卷 2019年成人高考专升本《高等数学(一)》考前模拟卷参考答案 一、选择题 1.【答案】D 【解析】极限是否存在与函数在该点有无定义无关。 2.【答案】A 【解析】由limx 12x lim  12x 1 x lim  12x  2 1 x 2 e 2 x0 x0 x0 3.【答案】B x 2axb   【解析】因 lim 5 ,则 lim x 2axb 0 ,因此 42ab0 ,即 x2 x2 x2 2ab4或b42a, x 2axb 故5 lim x2 x2 x 2ax2a4 =lim x2 x2      x2 x2 a x2 lim x2 x2   lim x2a 4a x2 所以a 1,而b6 4.【答案】D   xe x e x 1 x 2 【解析】因 y , y ,则 y在定义域内恒不等于0,所以无拐点。  1x 2  1x 3 5.【答案】B 1 【解析】x 2 dx  x 3C 3 6.【答案】A    k 【解析】 k 2x3x 2 dx  x 2x 3 k 2k 3k 2 1k  0 0 0 所以k=0或者k=1。 7.【答案】B 1 【解析】曲线 y  与直线y=x,x=2,所围成的区域D如图所示 x 6成人高考专升本《高等数学(一)》考前模拟卷 2 1 则S   x dx。 D 1  x 8.【答案】C z z 【解析】 3x 23, 10,显然点(1,0)不是驻点,故其处无极值。 x y 9.【答案】D   1  1 【解析】lima 0是级数a 收敛的必要条件,但不是充分条件,从 收敛, n n n n 2 n n1 n1 n1 发散,即可知选D。 10.【答案】C 【解析】】因 f  x   x为一次函数,且特征方程为r 22r 0,得特征根为r 0,r 2, 1 2 于是特解应设为 y *   AxB  x Ax 2Bx。 二、填空题 11.【答案】-1 【解析】 f x  3x 23p, f 1  33p 0,所以 p 1。 12.【答案】 x   【解析】当x>0时,f x     x tdt   x,当x<0时,f x     x t  dt  x,当x0  0   0  x f  x   f  0   tdt 时, f  0   lim  lim 0  lim x0,同理 x0 x0 x0 x x0 f  0  0,所以 f 0  0,故 f x   x 。 7成人高考专升本《高等数学(一)》考前模拟卷  2 x C, x>0 13.【答案】  2 x C,x<0 1 1   【解析】令x 2t,则 f t   ,因此 f  t    f t  dt   dt 2  t C ,所  x  t  2 x C, x>0   以 f x    2 x C,x<0 14.【答案】-1 【解析】f(x)是奇函数,则 1 f  x  dx 0,因此 0 f  x  dx   1 f  x  dx 1。 1 1 0 15.【答案】 yx y1 dx x y lnxdy z z 【解析】z  x y,则  yx y1,  x y lnx,所以dz  yx y1 dx x y lnxdy x y 16.【答案】 4 dx 4x f  x,y  dy 0 x2 【解析】I   16 dy y f  x,y  dx的积分区域 y 0 4  y    D=  x,y  0 y16,  x y  x,y  0 x4,x 2 y4x  4  所以 I= 4 dx 4x f  x,y  dy 0 x2 17.【答案】<0 p p  x x 1 【解析】若 dx收敛,必有 p<0,因如果 p0,则当x>1时, > ,而 0 1x 1x 1x p  1  x  dx发散,故 p<0时, dx收敛。 0 1x 1 1x 18.【答案】发散 1 1  1 【解析】由 > ,且 发散,所以原级数发散。 n  n1  n1 n1 n1  2  2 19.【答案】 ln x  ln y C lnx ln y 1 2 1 2 【解析】分离变量得 dx dy 0,积分得 ln x  ln y C x y 2 2 1 8成人高考专升本《高等数学(一)》考前模拟卷  2  2 即 ln x  ln y C 20.【答案】 y C e xC e 3x 1 2 【解析】由y2y3y 0的特征方程为r 22r30,得特征根为r 3,r 1, 1 2 所以方程的通解为 y C e xC e 3x 1 2 三、解答题 21.【答案】由题意知.使 f(x) 不成立的x值,均为f(x)的间断点,故 sin(x-3)=0或 x-3=0 时f(x) 无意义,则间断点为   x3kk 0,1,2,   即x3kk 0,1,2, 22.【答案】 23.【答案】由题意知,在切点处有x 3 pxq, 两边对x的求导得3x 2 p, q 所以 x 33x 3q,即x3 , 2 9成人高考专升本《高等数学(一)》考前模拟卷 2  q  因此 p 33    2 24.【答案】 25.【答案】 10成人高考专升本《高等数学(一)》考前模拟卷 1 sin xx 1 sinx 26.【答案】记 y   ,则ln y  ln  x  x x sinx ln x 又limln y lim x0 x0 x xcosxsinx xcosxsinx lim lim x0 xsinx x0 x 2   cosxx sinx cosx lim x0 2x  sinx lim 0 x0 2  1 sin xx 所以 limy 1,即lim  1。 x0 x0 x  27.【答案】 11成人高考专升本《高等数学(一)》考前模拟卷 28.【答案】 12
基本 文件 流程 错误 SQL 调试
  1. 请求信息 : 2026-03-03 05:10:03 HTTP/1.1 GET : https://www.yeyulingfeng.com/wendang/329024.html
  2. 运行时间 : 0.130076s [ 吞吐率:7.69req/s ] 内存消耗:6,671.76kb 文件加载:144
  3. 缓存信息 : 0 reads,0 writes
  4. 会话信息 : SESSION_ID=f2767298d8285411904e7faef64b5393
  1. /yingpanguazai/ssd/ssd1/www/wwww.yeyulingfeng.com/public/index.php ( 0.79 KB )
  2. /yingpanguazai/ssd/ssd1/www/wwww.yeyulingfeng.com/vendor/autoload.php ( 0.17 KB )
  3. /yingpanguazai/ssd/ssd1/www/wwww.yeyulingfeng.com/vendor/composer/autoload_real.php ( 2.49 KB )
  4. /yingpanguazai/ssd/ssd1/www/wwww.yeyulingfeng.com/vendor/composer/platform_check.php ( 0.90 KB )
  5. /yingpanguazai/ssd/ssd1/www/wwww.yeyulingfeng.com/vendor/composer/ClassLoader.php ( 14.03 KB )
  6. /yingpanguazai/ssd/ssd1/www/wwww.yeyulingfeng.com/vendor/composer/autoload_static.php ( 6.05 KB )
  7. /yingpanguazai/ssd/ssd1/www/wwww.yeyulingfeng.com/vendor/topthink/think-helper/src/helper.php ( 8.34 KB )
  8. /yingpanguazai/ssd/ssd1/www/wwww.yeyulingfeng.com/vendor/topthink/think-validate/src/helper.php ( 2.19 KB )
  9. /yingpanguazai/ssd/ssd1/www/wwww.yeyulingfeng.com/vendor/ralouphie/getallheaders/src/getallheaders.php ( 1.60 KB )
  10. /yingpanguazai/ssd/ssd1/www/wwww.yeyulingfeng.com/vendor/topthink/think-orm/src/helper.php ( 1.47 KB )
  11. /yingpanguazai/ssd/ssd1/www/wwww.yeyulingfeng.com/vendor/topthink/think-orm/stubs/load_stubs.php ( 0.16 KB )
  12. /yingpanguazai/ssd/ssd1/www/wwww.yeyulingfeng.com/vendor/topthink/framework/src/think/Exception.php ( 1.69 KB )
  13. /yingpanguazai/ssd/ssd1/www/wwww.yeyulingfeng.com/vendor/topthink/think-container/src/Facade.php ( 2.71 KB )
  14. /yingpanguazai/ssd/ssd1/www/wwww.yeyulingfeng.com/vendor/symfony/deprecation-contracts/function.php ( 0.99 KB )
  15. /yingpanguazai/ssd/ssd1/www/wwww.yeyulingfeng.com/vendor/symfony/polyfill-mbstring/bootstrap.php ( 8.26 KB )
  16. /yingpanguazai/ssd/ssd1/www/wwww.yeyulingfeng.com/vendor/symfony/polyfill-mbstring/bootstrap80.php ( 9.78 KB )
  17. /yingpanguazai/ssd/ssd1/www/wwww.yeyulingfeng.com/vendor/symfony/var-dumper/Resources/functions/dump.php ( 1.49 KB )
  18. /yingpanguazai/ssd/ssd1/www/wwww.yeyulingfeng.com/vendor/topthink/think-dumper/src/helper.php ( 0.18 KB )
  19. /yingpanguazai/ssd/ssd1/www/wwww.yeyulingfeng.com/vendor/symfony/var-dumper/VarDumper.php ( 4.30 KB )
  20. /yingpanguazai/ssd/ssd1/www/wwww.yeyulingfeng.com/vendor/guzzlehttp/guzzle/src/functions_include.php ( 0.16 KB )
  21. /yingpanguazai/ssd/ssd1/www/wwww.yeyulingfeng.com/vendor/guzzlehttp/guzzle/src/functions.php ( 5.54 KB )
  22. /yingpanguazai/ssd/ssd1/www/wwww.yeyulingfeng.com/vendor/topthink/framework/src/think/App.php ( 15.30 KB )
  23. /yingpanguazai/ssd/ssd1/www/wwww.yeyulingfeng.com/vendor/topthink/think-container/src/Container.php ( 15.76 KB )
  24. /yingpanguazai/ssd/ssd1/www/wwww.yeyulingfeng.com/vendor/psr/container/src/ContainerInterface.php ( 1.02 KB )
  25. /yingpanguazai/ssd/ssd1/www/wwww.yeyulingfeng.com/app/provider.php ( 0.19 KB )
  26. /yingpanguazai/ssd/ssd1/www/wwww.yeyulingfeng.com/vendor/topthink/framework/src/think/Http.php ( 6.04 KB )
  27. /yingpanguazai/ssd/ssd1/www/wwww.yeyulingfeng.com/vendor/topthink/think-helper/src/helper/Str.php ( 7.29 KB )
  28. /yingpanguazai/ssd/ssd1/www/wwww.yeyulingfeng.com/vendor/topthink/framework/src/think/Env.php ( 4.68 KB )
  29. /yingpanguazai/ssd/ssd1/www/wwww.yeyulingfeng.com/app/common.php ( 0.03 KB )
  30. /yingpanguazai/ssd/ssd1/www/wwww.yeyulingfeng.com/vendor/topthink/framework/src/helper.php ( 18.78 KB )
  31. /yingpanguazai/ssd/ssd1/www/wwww.yeyulingfeng.com/vendor/topthink/framework/src/think/Config.php ( 5.54 KB )
  32. /yingpanguazai/ssd/ssd1/www/wwww.yeyulingfeng.com/config/alipay.php ( 3.59 KB )
  33. /yingpanguazai/ssd/ssd1/www/wwww.yeyulingfeng.com/vendor/topthink/framework/src/think/facade/Env.php ( 1.67 KB )
  34. /yingpanguazai/ssd/ssd1/www/wwww.yeyulingfeng.com/config/app.php ( 0.95 KB )
  35. /yingpanguazai/ssd/ssd1/www/wwww.yeyulingfeng.com/config/cache.php ( 0.78 KB )
  36. /yingpanguazai/ssd/ssd1/www/wwww.yeyulingfeng.com/config/console.php ( 0.23 KB )
  37. /yingpanguazai/ssd/ssd1/www/wwww.yeyulingfeng.com/config/cookie.php ( 0.56 KB )
  38. /yingpanguazai/ssd/ssd1/www/wwww.yeyulingfeng.com/config/database.php ( 2.48 KB )
  39. /yingpanguazai/ssd/ssd1/www/wwww.yeyulingfeng.com/config/filesystem.php ( 0.61 KB )
  40. /yingpanguazai/ssd/ssd1/www/wwww.yeyulingfeng.com/config/lang.php ( 0.91 KB )
  41. /yingpanguazai/ssd/ssd1/www/wwww.yeyulingfeng.com/config/log.php ( 1.35 KB )
  42. /yingpanguazai/ssd/ssd1/www/wwww.yeyulingfeng.com/config/middleware.php ( 0.19 KB )
  43. /yingpanguazai/ssd/ssd1/www/wwww.yeyulingfeng.com/config/route.php ( 1.89 KB )
  44. /yingpanguazai/ssd/ssd1/www/wwww.yeyulingfeng.com/config/session.php ( 0.57 KB )
  45. /yingpanguazai/ssd/ssd1/www/wwww.yeyulingfeng.com/config/trace.php ( 0.34 KB )
  46. /yingpanguazai/ssd/ssd1/www/wwww.yeyulingfeng.com/config/view.php ( 0.82 KB )
  47. /yingpanguazai/ssd/ssd1/www/wwww.yeyulingfeng.com/app/event.php ( 0.25 KB )
  48. /yingpanguazai/ssd/ssd1/www/wwww.yeyulingfeng.com/vendor/topthink/framework/src/think/Event.php ( 7.67 KB )
  49. /yingpanguazai/ssd/ssd1/www/wwww.yeyulingfeng.com/app/service.php ( 0.13 KB )
  50. /yingpanguazai/ssd/ssd1/www/wwww.yeyulingfeng.com/app/AppService.php ( 0.26 KB )
  51. /yingpanguazai/ssd/ssd1/www/wwww.yeyulingfeng.com/vendor/topthink/framework/src/think/Service.php ( 1.64 KB )
  52. /yingpanguazai/ssd/ssd1/www/wwww.yeyulingfeng.com/vendor/topthink/framework/src/think/Lang.php ( 7.35 KB )
  53. /yingpanguazai/ssd/ssd1/www/wwww.yeyulingfeng.com/vendor/topthink/framework/src/lang/zh-cn.php ( 13.70 KB )
  54. /yingpanguazai/ssd/ssd1/www/wwww.yeyulingfeng.com/vendor/topthink/framework/src/think/initializer/Error.php ( 3.31 KB )
  55. /yingpanguazai/ssd/ssd1/www/wwww.yeyulingfeng.com/vendor/topthink/framework/src/think/initializer/RegisterService.php ( 1.33 KB )
  56. /yingpanguazai/ssd/ssd1/www/wwww.yeyulingfeng.com/vendor/services.php ( 0.14 KB )
  57. /yingpanguazai/ssd/ssd1/www/wwww.yeyulingfeng.com/vendor/topthink/framework/src/think/service/PaginatorService.php ( 1.52 KB )
  58. /yingpanguazai/ssd/ssd1/www/wwww.yeyulingfeng.com/vendor/topthink/framework/src/think/service/ValidateService.php ( 0.99 KB )
  59. /yingpanguazai/ssd/ssd1/www/wwww.yeyulingfeng.com/vendor/topthink/framework/src/think/service/ModelService.php ( 2.04 KB )
  60. /yingpanguazai/ssd/ssd1/www/wwww.yeyulingfeng.com/vendor/topthink/think-trace/src/Service.php ( 0.77 KB )
  61. /yingpanguazai/ssd/ssd1/www/wwww.yeyulingfeng.com/vendor/topthink/framework/src/think/Middleware.php ( 6.72 KB )
  62. /yingpanguazai/ssd/ssd1/www/wwww.yeyulingfeng.com/vendor/topthink/framework/src/think/initializer/BootService.php ( 0.77 KB )
  63. /yingpanguazai/ssd/ssd1/www/wwww.yeyulingfeng.com/vendor/topthink/think-orm/src/Paginator.php ( 11.86 KB )
  64. /yingpanguazai/ssd/ssd1/www/wwww.yeyulingfeng.com/vendor/topthink/think-validate/src/Validate.php ( 63.20 KB )
  65. /yingpanguazai/ssd/ssd1/www/wwww.yeyulingfeng.com/vendor/topthink/think-orm/src/Model.php ( 23.55 KB )
  66. /yingpanguazai/ssd/ssd1/www/wwww.yeyulingfeng.com/vendor/topthink/think-orm/src/model/concern/Attribute.php ( 21.05 KB )
  67. /yingpanguazai/ssd/ssd1/www/wwww.yeyulingfeng.com/vendor/topthink/think-orm/src/model/concern/AutoWriteData.php ( 4.21 KB )
  68. /yingpanguazai/ssd/ssd1/www/wwww.yeyulingfeng.com/vendor/topthink/think-orm/src/model/concern/Conversion.php ( 6.44 KB )
  69. /yingpanguazai/ssd/ssd1/www/wwww.yeyulingfeng.com/vendor/topthink/think-orm/src/model/concern/DbConnect.php ( 5.16 KB )
  70. /yingpanguazai/ssd/ssd1/www/wwww.yeyulingfeng.com/vendor/topthink/think-orm/src/model/concern/ModelEvent.php ( 2.33 KB )
  71. /yingpanguazai/ssd/ssd1/www/wwww.yeyulingfeng.com/vendor/topthink/think-orm/src/model/concern/RelationShip.php ( 28.29 KB )
  72. /yingpanguazai/ssd/ssd1/www/wwww.yeyulingfeng.com/vendor/topthink/think-helper/src/contract/Arrayable.php ( 0.09 KB )
  73. /yingpanguazai/ssd/ssd1/www/wwww.yeyulingfeng.com/vendor/topthink/think-helper/src/contract/Jsonable.php ( 0.13 KB )
  74. /yingpanguazai/ssd/ssd1/www/wwww.yeyulingfeng.com/vendor/topthink/think-orm/src/model/contract/Modelable.php ( 0.09 KB )
  75. /yingpanguazai/ssd/ssd1/www/wwww.yeyulingfeng.com/vendor/topthink/framework/src/think/Db.php ( 2.88 KB )
  76. /yingpanguazai/ssd/ssd1/www/wwww.yeyulingfeng.com/vendor/topthink/think-orm/src/DbManager.php ( 8.52 KB )
  77. /yingpanguazai/ssd/ssd1/www/wwww.yeyulingfeng.com/vendor/topthink/framework/src/think/Log.php ( 6.28 KB )
  78. /yingpanguazai/ssd/ssd1/www/wwww.yeyulingfeng.com/vendor/topthink/framework/src/think/Manager.php ( 3.92 KB )
  79. /yingpanguazai/ssd/ssd1/www/wwww.yeyulingfeng.com/vendor/psr/log/src/LoggerTrait.php ( 2.69 KB )
  80. /yingpanguazai/ssd/ssd1/www/wwww.yeyulingfeng.com/vendor/psr/log/src/LoggerInterface.php ( 2.71 KB )
  81. /yingpanguazai/ssd/ssd1/www/wwww.yeyulingfeng.com/vendor/topthink/framework/src/think/Cache.php ( 4.92 KB )
  82. /yingpanguazai/ssd/ssd1/www/wwww.yeyulingfeng.com/vendor/psr/simple-cache/src/CacheInterface.php ( 4.71 KB )
  83. /yingpanguazai/ssd/ssd1/www/wwww.yeyulingfeng.com/vendor/topthink/think-helper/src/helper/Arr.php ( 16.63 KB )
  84. /yingpanguazai/ssd/ssd1/www/wwww.yeyulingfeng.com/vendor/topthink/framework/src/think/cache/driver/File.php ( 7.84 KB )
  85. /yingpanguazai/ssd/ssd1/www/wwww.yeyulingfeng.com/vendor/topthink/framework/src/think/cache/Driver.php ( 9.03 KB )
  86. /yingpanguazai/ssd/ssd1/www/wwww.yeyulingfeng.com/vendor/topthink/framework/src/think/contract/CacheHandlerInterface.php ( 1.99 KB )
  87. /yingpanguazai/ssd/ssd1/www/wwww.yeyulingfeng.com/app/Request.php ( 0.09 KB )
  88. /yingpanguazai/ssd/ssd1/www/wwww.yeyulingfeng.com/vendor/topthink/framework/src/think/Request.php ( 55.78 KB )
  89. /yingpanguazai/ssd/ssd1/www/wwww.yeyulingfeng.com/app/middleware.php ( 0.25 KB )
  90. /yingpanguazai/ssd/ssd1/www/wwww.yeyulingfeng.com/vendor/topthink/framework/src/think/Pipeline.php ( 2.61 KB )
  91. /yingpanguazai/ssd/ssd1/www/wwww.yeyulingfeng.com/vendor/topthink/think-trace/src/TraceDebug.php ( 3.40 KB )
  92. /yingpanguazai/ssd/ssd1/www/wwww.yeyulingfeng.com/vendor/topthink/framework/src/think/middleware/SessionInit.php ( 1.94 KB )
  93. /yingpanguazai/ssd/ssd1/www/wwww.yeyulingfeng.com/vendor/topthink/framework/src/think/Session.php ( 1.80 KB )
  94. /yingpanguazai/ssd/ssd1/www/wwww.yeyulingfeng.com/vendor/topthink/framework/src/think/session/driver/File.php ( 6.27 KB )
  95. /yingpanguazai/ssd/ssd1/www/wwww.yeyulingfeng.com/vendor/topthink/framework/src/think/contract/SessionHandlerInterface.php ( 0.87 KB )
  96. /yingpanguazai/ssd/ssd1/www/wwww.yeyulingfeng.com/vendor/topthink/framework/src/think/session/Store.php ( 7.12 KB )
  97. /yingpanguazai/ssd/ssd1/www/wwww.yeyulingfeng.com/vendor/topthink/framework/src/think/Route.php ( 23.73 KB )
  98. /yingpanguazai/ssd/ssd1/www/wwww.yeyulingfeng.com/vendor/topthink/framework/src/think/route/RuleName.php ( 5.75 KB )
  99. /yingpanguazai/ssd/ssd1/www/wwww.yeyulingfeng.com/vendor/topthink/framework/src/think/route/Domain.php ( 2.53 KB )
  100. /yingpanguazai/ssd/ssd1/www/wwww.yeyulingfeng.com/vendor/topthink/framework/src/think/route/RuleGroup.php ( 22.43 KB )
  101. /yingpanguazai/ssd/ssd1/www/wwww.yeyulingfeng.com/vendor/topthink/framework/src/think/route/Rule.php ( 26.95 KB )
  102. /yingpanguazai/ssd/ssd1/www/wwww.yeyulingfeng.com/vendor/topthink/framework/src/think/route/RuleItem.php ( 9.78 KB )
  103. /yingpanguazai/ssd/ssd1/www/wwww.yeyulingfeng.com/route/app.php ( 3.63 KB )
  104. /yingpanguazai/ssd/ssd1/www/wwww.yeyulingfeng.com/vendor/topthink/framework/src/think/facade/Route.php ( 4.70 KB )
  105. /yingpanguazai/ssd/ssd1/www/wwww.yeyulingfeng.com/vendor/topthink/framework/src/think/route/dispatch/Controller.php ( 4.74 KB )
  106. /yingpanguazai/ssd/ssd1/www/wwww.yeyulingfeng.com/vendor/topthink/framework/src/think/route/Dispatch.php ( 10.44 KB )
  107. /yingpanguazai/ssd/ssd1/www/wwww.yeyulingfeng.com/app/controller/Index.php ( 9.50 KB )
  108. /yingpanguazai/ssd/ssd1/www/wwww.yeyulingfeng.com/app/BaseController.php ( 2.05 KB )
  109. /yingpanguazai/ssd/ssd1/www/wwww.yeyulingfeng.com/vendor/topthink/think-orm/src/facade/Db.php ( 0.93 KB )
  110. /yingpanguazai/ssd/ssd1/www/wwww.yeyulingfeng.com/vendor/topthink/think-orm/src/db/connector/Mysql.php ( 5.44 KB )
  111. /yingpanguazai/ssd/ssd1/www/wwww.yeyulingfeng.com/vendor/topthink/think-orm/src/db/PDOConnection.php ( 52.47 KB )
  112. /yingpanguazai/ssd/ssd1/www/wwww.yeyulingfeng.com/vendor/topthink/think-orm/src/db/Connection.php ( 8.39 KB )
  113. /yingpanguazai/ssd/ssd1/www/wwww.yeyulingfeng.com/vendor/topthink/think-orm/src/db/ConnectionInterface.php ( 4.57 KB )
  114. /yingpanguazai/ssd/ssd1/www/wwww.yeyulingfeng.com/vendor/topthink/think-orm/src/db/builder/Mysql.php ( 16.58 KB )
  115. /yingpanguazai/ssd/ssd1/www/wwww.yeyulingfeng.com/vendor/topthink/think-orm/src/db/Builder.php ( 24.06 KB )
  116. /yingpanguazai/ssd/ssd1/www/wwww.yeyulingfeng.com/vendor/topthink/think-orm/src/db/BaseBuilder.php ( 27.50 KB )
  117. /yingpanguazai/ssd/ssd1/www/wwww.yeyulingfeng.com/vendor/topthink/think-orm/src/db/Query.php ( 15.71 KB )
  118. /yingpanguazai/ssd/ssd1/www/wwww.yeyulingfeng.com/vendor/topthink/think-orm/src/db/BaseQuery.php ( 45.13 KB )
  119. /yingpanguazai/ssd/ssd1/www/wwww.yeyulingfeng.com/vendor/topthink/think-orm/src/db/concern/TimeFieldQuery.php ( 7.43 KB )
  120. /yingpanguazai/ssd/ssd1/www/wwww.yeyulingfeng.com/vendor/topthink/think-orm/src/db/concern/AggregateQuery.php ( 3.26 KB )
  121. /yingpanguazai/ssd/ssd1/www/wwww.yeyulingfeng.com/vendor/topthink/think-orm/src/db/concern/ModelRelationQuery.php ( 20.07 KB )
  122. /yingpanguazai/ssd/ssd1/www/wwww.yeyulingfeng.com/vendor/topthink/think-orm/src/db/concern/ParamsBind.php ( 3.66 KB )
  123. /yingpanguazai/ssd/ssd1/www/wwww.yeyulingfeng.com/vendor/topthink/think-orm/src/db/concern/ResultOperation.php ( 7.01 KB )
  124. /yingpanguazai/ssd/ssd1/www/wwww.yeyulingfeng.com/vendor/topthink/think-orm/src/db/concern/WhereQuery.php ( 19.37 KB )
  125. /yingpanguazai/ssd/ssd1/www/wwww.yeyulingfeng.com/vendor/topthink/think-orm/src/db/concern/JoinAndViewQuery.php ( 7.11 KB )
  126. /yingpanguazai/ssd/ssd1/www/wwww.yeyulingfeng.com/vendor/topthink/think-orm/src/db/concern/TableFieldInfo.php ( 2.63 KB )
  127. /yingpanguazai/ssd/ssd1/www/wwww.yeyulingfeng.com/vendor/topthink/think-orm/src/db/concern/Transaction.php ( 2.77 KB )
  128. /yingpanguazai/ssd/ssd1/www/wwww.yeyulingfeng.com/vendor/topthink/framework/src/think/log/driver/File.php ( 5.96 KB )
  129. /yingpanguazai/ssd/ssd1/www/wwww.yeyulingfeng.com/vendor/topthink/framework/src/think/contract/LogHandlerInterface.php ( 0.86 KB )
  130. /yingpanguazai/ssd/ssd1/www/wwww.yeyulingfeng.com/vendor/topthink/framework/src/think/log/Channel.php ( 3.89 KB )
  131. /yingpanguazai/ssd/ssd1/www/wwww.yeyulingfeng.com/vendor/topthink/framework/src/think/event/LogRecord.php ( 1.02 KB )
  132. /yingpanguazai/ssd/ssd1/www/wwww.yeyulingfeng.com/vendor/topthink/think-helper/src/Collection.php ( 16.47 KB )
  133. /yingpanguazai/ssd/ssd1/www/wwww.yeyulingfeng.com/vendor/topthink/framework/src/think/facade/View.php ( 1.70 KB )
  134. /yingpanguazai/ssd/ssd1/www/wwww.yeyulingfeng.com/vendor/topthink/framework/src/think/View.php ( 4.39 KB )
  135. /yingpanguazai/ssd/ssd1/www/wwww.yeyulingfeng.com/vendor/topthink/framework/src/think/Response.php ( 8.81 KB )
  136. /yingpanguazai/ssd/ssd1/www/wwww.yeyulingfeng.com/vendor/topthink/framework/src/think/response/View.php ( 3.29 KB )
  137. /yingpanguazai/ssd/ssd1/www/wwww.yeyulingfeng.com/vendor/topthink/framework/src/think/Cookie.php ( 6.06 KB )
  138. /yingpanguazai/ssd/ssd1/www/wwww.yeyulingfeng.com/vendor/topthink/think-view/src/Think.php ( 8.38 KB )
  139. /yingpanguazai/ssd/ssd1/www/wwww.yeyulingfeng.com/vendor/topthink/framework/src/think/contract/TemplateHandlerInterface.php ( 1.60 KB )
  140. /yingpanguazai/ssd/ssd1/www/wwww.yeyulingfeng.com/vendor/topthink/think-template/src/Template.php ( 46.61 KB )
  141. /yingpanguazai/ssd/ssd1/www/wwww.yeyulingfeng.com/vendor/topthink/think-template/src/template/driver/File.php ( 2.41 KB )
  142. /yingpanguazai/ssd/ssd1/www/wwww.yeyulingfeng.com/vendor/topthink/think-template/src/template/contract/DriverInterface.php ( 0.86 KB )
  143. /yingpanguazai/ssd/ssd1/www/wwww.yeyulingfeng.com/runtime/temp/10a0c909b6afa23b5a52a2e2d58c3c0f.php ( 21.72 KB )
  144. /yingpanguazai/ssd/ssd1/www/wwww.yeyulingfeng.com/vendor/topthink/think-trace/src/Html.php ( 4.42 KB )
  1. CONNECT:[ UseTime:0.000784s ] mysql:host=127.0.0.1;port=3306;dbname=wenku;charset=utf8mb4
  2. SHOW FULL COLUMNS FROM `fenlei` [ RunTime:0.000741s ]
  3. SELECT * FROM `fenlei` WHERE `fid` = 0 [ RunTime:0.000326s ]
  4. SELECT * FROM `fenlei` WHERE `fid` = 63 [ RunTime:0.000338s ]
  5. SHOW FULL COLUMNS FROM `set` [ RunTime:0.000601s ]
  6. SELECT * FROM `set` [ RunTime:0.000243s ]
  7. SHOW FULL COLUMNS FROM `wendang` [ RunTime:0.000690s ]
  8. SELECT * FROM `wendang` WHERE `id` = 329024 LIMIT 1 [ RunTime:0.002853s ]
  9. UPDATE `wendang` SET `liulancishu` = 5 WHERE `id` = 329024 [ RunTime:0.005607s ]
  10. UPDATE `wendang` SET `lasttime` = 1772485803 WHERE `id` = 329024 [ RunTime:0.000674s ]
  11. SELECT * FROM `wendang` WHERE `id` < 329024 ORDER BY `id` DESC LIMIT 1 [ RunTime:0.002738s ]
  12. SELECT * FROM `wendang` WHERE `id` > 329024 ORDER BY `id` ASC LIMIT 1 [ RunTime:0.000529s ]
  13. SELECT * FROM `wendang` WHERE `id` <> 329024 ORDER BY `id` DESC LIMIT 10 [ RunTime:0.004454s ]
  14. SELECT * FROM `wendang` WHERE `id` <> 329024 ORDER BY `id` DESC LIMIT 10,10 [ RunTime:0.003687s ]
  15. SELECT * FROM `wendang` WHERE `id` <> 329024 ORDER BY `id` DESC LIMIT 20,10 [ RunTime:0.006365s ]
0.132207s