当前位置:首页>文档>专题23现代生物技术的应用(练习,2大考点)(原卷版)_02中考总复习(2026版更新中)_08-生物-中考总复习_2024年中考复习资料_一轮复习_❤2024年中考生物一轮复习讲练测(全国通用)

专题23现代生物技术的应用(练习,2大考点)(原卷版)_02中考总复习(2026版更新中)_08-生物-中考总复习_2024年中考复习资料_一轮复习_❤2024年中考生物一轮复习讲练测(全国通用)

  • 2026-04-09 02:02:39 2026-03-09 00:49:18

文档预览

专题23现代生物技术的应用(练习,2大考点)(原卷版)_02中考总复习(2026版更新中)_08-生物-中考总复习_2024年中考复习资料_一轮复习_❤2024年中考生物一轮复习讲练测(全国通用)
专题23现代生物技术的应用(练习,2大考点)(原卷版)_02中考总复习(2026版更新中)_08-生物-中考总复习_2024年中考复习资料_一轮复习_❤2024年中考生物一轮复习讲练测(全国通用)
专题23现代生物技术的应用(练习,2大考点)(原卷版)_02中考总复习(2026版更新中)_08-生物-中考总复习_2024年中考复习资料_一轮复习_❤2024年中考生物一轮复习讲练测(全国通用)
专题23现代生物技术的应用(练习,2大考点)(原卷版)_02中考总复习(2026版更新中)_08-生物-中考总复习_2024年中考复习资料_一轮复习_❤2024年中考生物一轮复习讲练测(全国通用)
专题23现代生物技术的应用(练习,2大考点)(原卷版)_02中考总复习(2026版更新中)_08-生物-中考总复习_2024年中考复习资料_一轮复习_❤2024年中考生物一轮复习讲练测(全国通用)
专题23现代生物技术的应用(练习,2大考点)(原卷版)_02中考总复习(2026版更新中)_08-生物-中考总复习_2024年中考复习资料_一轮复习_❤2024年中考生物一轮复习讲练测(全国通用)
专题23现代生物技术的应用(练习,2大考点)(原卷版)_02中考总复习(2026版更新中)_08-生物-中考总复习_2024年中考复习资料_一轮复习_❤2024年中考生物一轮复习讲练测(全国通用)
专题23现代生物技术的应用(练习,2大考点)(原卷版)_02中考总复习(2026版更新中)_08-生物-中考总复习_2024年中考复习资料_一轮复习_❤2024年中考生物一轮复习讲练测(全国通用)

文档信息

文档格式
docx
文档大小
0.389 MB
文档页数
8 页
上传时间
2026-03-09 00:49:18

文档内容

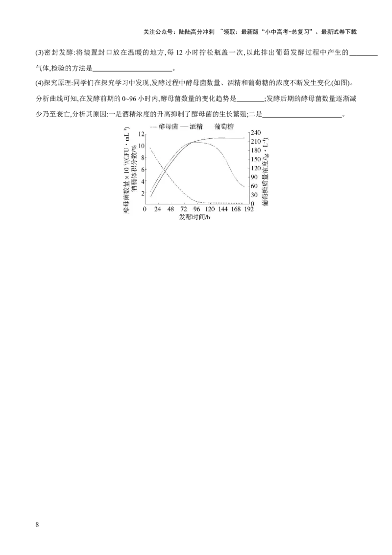
关注公众号:陆陆高分冲刺 ~领取:最新版“小中高考-总复习”、最新试卷下载 专题 23 现代生物技术的应用 目 录 考点过关练(2大考点) 考点01 日常生活中的生物技术 考点02 现代生物技术 真题实战练 重难创新练 考点 01 日常生活中的生物技术 1.西渡湖之酒是衡阳县西渡镇特产,中国国家地理标志产品。湖之酒采用当地传统“贡米”“麻矮糯”为 原料,经过复杂的工艺精制而成。与湖之酒酿造有关的主要微生物是( ) A. 乳酸菌 B. 酵母菌 C. 醋酸菌 D. 青霉菌 2.许多食品的制作都要利用细菌或真菌。我们经常利用酵母菌制作( ) A.酸奶 B.面包 C.泡菜 D.醋 3.“食在四川,味在乐山”。下列美食的制作过程与发酵有关的是( ) A.跷脚牛肉 B.马边腊肉 C.狼牙土豆 D.桥牌腐乳 4.微生物个体微小、结构简单,在食品制作方面运用广泛。下列对应关系正确的是( ) A.酸奶——乳酸菌 B.泡菜——米曲霉 C.米酒——醋酸菌 D.面酱——酵母菌 5.微生物的大量繁殖是食品腐败的主要原因。下列食品保存方法,最恰当的是( ) A.新鲜蔬菜——冷冻 B.新鲜的猪肉——加热 C.刚收获的花生——晒干 D.新鲜牛奶——添加大量防腐剂 1关注公众号:陆陆高分冲刺 ~领取:最新版“小中高考-总复习”、最新试卷下载 6.下列有关甜酒制作过程与原理或目的对应错误的是( ) A.将糯米蒸熟——高温杀死杂菌及将糯米熟化 B.将酒曲与糯米拌匀——接种酵母菌等菌种 C.将糯米饭压实——提供无氧环境,抑制细菌的生长和繁殖 D.将制作的糯米饭放在温暖处——提供发酵时所需的适宜温度 考点 02 现代生物技术 7.我国科学家将苏云金杆菌的抗虫蛋白基因导入棉花培育抗虫棉,主要运用的生物技术是( ) A. 杂交育种技术 B. 转基因技术 C. 克隆技术 D. 发酵技术 8.现代生物技术备受人们关注。培育“多莉”羊所运用的生物技术是( ) A.转基因技术 B.杂交技术 C.克隆技术 D.组织培养 9.微生物与人类的关系非常密切。下列关于微生物种类与其应用搭配合理的是( ) 选项 种类 应用 A 醋酸菌 制作食醋 B 酵母菌 制作酸奶 C 黄曲霉 生产青霉素 D 乳酸菌 制作馒头 A.A B.B C.C D.D 10.苏云金杆菌是一种细菌,它能产生使棉铃虫死亡的杀虫蛋白,这种杀虫蛋白对人和牲畜无任何毒害作用。 科学家将苏云金杆菌的杀虫蛋白基因转入棉花细胞,获得了能产生杀虫蛋白的抗虫棉,提高了棉花的产量。 相关叙述不正确的是( ) A.苏云金杆菌有成形的细胞核 B.抗虫棉的培育使用了转基因技术 C.抗虫棉能有效抵御棉铃虫 D.该方法能减少农药对环境的污染 11.当今生物技术的应用越来越广泛。下列实例中,对生物技术应用的说法错误的是( ) A.可以利用酵母菌酿酒、发面、制作泡菜和酸奶 B.科学家利用某些病毒携带某些基因进入受体细胞进行基因治疗 2关注公众号:陆陆高分冲刺 ~领取:最新版“小中高考-总复习”、最新试卷下载 C.将苏云金杆菌制成粉剂或液剂,喷洒在农作物上用来杀灭害虫 D.利用玫瑰茎尖进行组织培养,能够快速培育出许多同种玫瑰植株 12.观察下面四幅图,其所运用的生物技术对应正确的是( ) A. ①组织培养②克隆技术③转基因技术④诱变育种 B. ①无土栽培②克隆技术③转基因技术④诱变育种 C. ①组织培养②转基因技术③诱变育种④人工选择育种 D. ①无土栽培②克隆技术③杂交育种④诱变育种 1.(2023·云南·中考真题)酸奶不仅酸甜可口,而且具有丰富的营养。制作酸奶时主要用到的微生物是( ) A. 青霉菌 B. 酵母菌 C. 乳酸菌 D. 醋酸菌 2.(2023·四川凉山·中考真题)日本信州大学将横带人面蜘蛛的基因注入蚕卵中,此卵孵化的蚕吐出的丝 中约含有10%的蜘蛛丝成分,这种生丝更韧、更软。该生物技术属于( ) A. 克隆技术 B. 转基因技术 C. 杂交技术 D. 仿生技术 3关注公众号:陆陆高分冲刺 ~领取:最新版“小中高考-总复习”、最新试卷下载 3.(2023·吉林长春·中考真题)下列关于微生物在日常生活中的应用,叙述正确的是( ) A.利用甲烷菌制作酸奶 B.利用醋酸菌制作泡菜 C.利用酵母菌发面蒸馒头 D.利用乳酸菌制作米酒 4.(2023·湖南常德·中考真题)生物技术正在引发新的技术革命。下列生物技术与应用实例搭配不正确的 是( ) A.克隆技术——培育多莉羊 B.转基因技术——AI(人工智能) C.转基因技术——培育抗虫青菜 D.植物组织培养技术——培育无病毒植株 5(2023·新疆·中考真题)关于生物技术应用的叙述合理的是( ) A. 利用乳酸菌发酵可制作米酒、泡菜等食品 B. 利用转基因技术可使大肠杆菌生产人胰岛素 C. 利用冰箱冷藏保存食物可以杀死细菌和真菌 D. 利用克隆培育的多莉羊与代孕母羊遗传物质相同 6.(2023·青海西宁·中考真题)下列实例与所使用的生物技术搭配不正确的是( ) A.青海老酸奶的制作——发酵技术 B.青稞植物用种子繁殖后代——组织培养技术 C.小羊“多莉”的诞生——克隆技术 D.利用大肠杆菌生产胰岛素——转基因技术 7.(2023·山东临沂·中考真题)克隆羊、“试管婴儿”和太空椒等都是应用的现代生物技术。下列叙述正 确的是( ) A. 克隆羊“多莉”的培育利用了杂交技术 B. “试管婴儿”的培育利用了无性生殖原理 C. 胰岛素的生产利用了转基因技术 D. 太空椒是太空特殊环境诱发定向变异的结果 8.(2023·湖南张家界·中考真题)“仙境张家界,峰迷全世界”。张家界不仅风景优美,也有令人回味无穷 的美食和特产。下列有关叙述不正确的是( ) A.“葛根粉”中的糖类是人体进行生命活动的主要能源物质 B.“张家界米酒”发酵过程中主要利用乳酸菌 C.“张家界莓茶”用扦插的方法繁殖属于无性繁殖 D.“土家腊肉”用盐渍法和烟熏法制作,可以延长保存时间 9.(2022·衡阳·中考真题)人类对细菌和真菌的利用已广泛深入到生活中的方方面面。下列搭配正确的是( ) 4关注公众号:陆陆高分冲刺 ~领取:最新版“小中高考-总复习”、最新试卷下载 A.污水的处理——真菌 B.沼气的产生——醋酸菌 C.面包的制作——酵母菌 D.酸奶的制作——乳酸菌 10. (2022·山东聊城·中考真题)下列有关食品保存和发酵食品制作的叙述,错误的是( ) A.制作腐乳和酱主要是利用了霉菌的作用 B.真空包装能延长食品保存时间,是因为抑制了需氧菌的生长繁殖 C.冷藏食物不易变质,是由于低温杀死了细菌等微生物 D.制作酸奶时,先将牛奶加热煮沸是为了杀死杂菌 11. (2023·内蒙古赤峰·中考真题)“小儿豉翘清热颗粒”是专门针对儿童的一种药物,用于小儿风热感冒, 其药物成分有淡豆豉。淡豆豉以黑豆成熟的种子为主要原料,辅以青蒿、桑叶发酵而成,其制作过程如下 图所示,下列叙述正确的是( ) A.高温煎煮上述原料可以灭除所有细菌 B.青蒿、桑叶和黑豆为微生物提供营养 C.淡豆豉的制作过程必须在无氧环境下 D.发酵菌种的生长繁殖在 蒸煮前完成 12.(2022·内蒙古呼和浩特·中考真题)21世纪是现代生物技术的世纪,大力发展现代生物技术是实现经济和 技术跨越式发展的关键之一。根据下图判断下列说法正确的是( ) 5关注公众号:陆陆高分冲刺 ~领取:最新版“小中高考-总复习”、最新试卷下载 A.(一)与(二)过程中的生殖方式都是有性生殖 B.(一)过程中用到转基因技术,这是在细胞水平上的操作 C.(二)中小鼠甲和小鼠乙的遗传物质基本相似,性别可能不同 D.(二)中小鼠乙的器官可以移植给小鼠甲,排异性较小 13.(2022·山东潍坊·中考真题)乳酸菌是乳酸的传统生产菌,但耐酸能力较差。酿酒酵母耐酸能力较强、但 不产生乳酸。科研人员将乳酸菌的乳酸脱氢酶基因导入酿酒酵母,获得了能产生乳酸的工程菌株S。下列 说法错误的是( ) A.乳酸菌和酵母菌的DNA在组成方式上相同 B.工程菌株S能产生乳酸的特性是不可以遗传的 C.乳酸脱氢酶基因是乳酸菌能够生成乳酸的关键基因 D.工程菌株S的成功获得说明基因是控制生物性状的基本单位 1.(2023山东泰安)利用水果和酵母菌可以制作果酒。在制作果酒过程中,酵母菌等微生物分解水果中的果胶 时会产生甲醇,甲醇对人体神经系统和血液循环系统有毒害作用。为探究影响果酒中酒精和甲醇含量的因素, 某课外兴趣小组开展了实践活动。他们取新鲜黑珍珠葡萄和红富士苹果,用榨汁机分别榨成浆汁,放入发酵 瓶后,加入干酵母和蔗糖,搅拌均匀,盖紧瓶盖,放在25~30 ℃环境中发酵。实验分组如下表。 组别 水果种类 水果质量/g 蔗糖/g 干酵母/g 1 葡萄 500 30 0.3 2 葡萄 500 90 0.3 3 苹果 500 30 0.3 4 苹果 500 90 0.3 每天16时分别取0.5毫升澄清发酵液测定其酒精含量和甲醇含量,结果如图。请分析回答: 6关注公众号:陆陆高分冲刺 ~领取:最新版“小中高考-总复习”、最新试卷下载 图2 (1)发酵过程中,盖紧瓶盖的目的是 。经过一段时间,发酵瓶中会产生气泡, 原因是 。 (2)由图1可知,随着发酵的进行,各组发酵液的酒精度均呈 趋势。添加等量蔗糖的情况下, 的发酵液中酒精度更高。由图2可知,各组发酵液中甲醇含量随发酵时间延长 。比较两种水果的发 酵液, 的发酵液中甲醇含量较高,推断其含有较多的果胶。 (3)实践结果说明, 影响发酵过程中酒精和甲醇的生成,对果酒的品质、安全有显著 影响。这项实践活动为制作质量安全、品质良好的果酒提供了实践依据。 2.(2022山东烟台)“葡”香金秋,“萄”醉烟台。烟台市是享誉海内外的国际葡萄酒城,2021年9月烟台蓬莱国 际葡萄酒节隆重开幕,引起了同学们对葡萄酒酿造的浓厚兴趣。巴斯德社团的同学到卡斯特酒庄进行探究实 践学习后,尝试酿造葡萄酒。 (1)榨汁装瓶:同学们将清洗干净的葡萄榨汁装瓶。新鲜葡萄果皮表面附有大量的酵母菌(如图),可以自然发酵。 玻璃瓶需提前高温处理的目的是 。 (2)通气培养:用几层纱布封住瓶口放置一段时间,让酵母菌在有氧气的情况下快速繁殖。酵母菌利用葡萄汁 中现成的有机物生活,其营养方式是 。它的细胞中有[ ] ,属于真核生物。 7关注公众号:陆陆高分冲刺 ~领取:最新版“小中高考-总复习”、最新试卷下载 (3)密封发酵:将装置封口放在温暖的地方,每12小时拧松瓶盖一次,以此排出葡萄发酵过程中产生的 气体,检验的方法是 。 (4)探究原理:同学们在探究学习中发现,发酵过程中酵母菌数量、酒精和葡萄糖的浓度不断发生变化(如图)。 分析曲线可知,在发酵前期的0~96小时内,酵母菌数量的变化趋势是 ;发酵后期的酵母菌数量逐渐减 少乃至衰亡,分析其原因:一是酒精浓度的升高抑制了酵母菌的生长繁殖;二是 。 8