当前位置:首页>文档>2023年高考押题预测卷01(全国甲卷理)-数学(参考答案)_2.2025数学总复习_2023年新高考资料_42023年高考数学押题预测卷_2023年高考押题预测卷01(全国甲卷理)-数学(考试版)

2023年高考押题预测卷01(全国甲卷理)-数学(参考答案)_2.2025数学总复习_2023年新高考资料_42023年高考数学押题预测卷_2023年高考押题预测卷01(全国甲卷理)-数学(考试版)

  • 2026-04-13 14:01:02 2026-03-09 13:17:07

文档预览

2023年高考押题预测卷01(全国甲卷理)-数学(参考答案)_2.2025数学总复习_2023年新高考资料_42023年高考数学押题预测卷_2023年高考押题预测卷01(全国甲卷理)-数学(考试版)
2023年高考押题预测卷01(全国甲卷理)-数学(参考答案)_2.2025数学总复习_2023年新高考资料_42023年高考数学押题预测卷_2023年高考押题预测卷01(全国甲卷理)-数学(考试版)
2023年高考押题预测卷01(全国甲卷理)-数学(参考答案)_2.2025数学总复习_2023年新高考资料_42023年高考数学押题预测卷_2023年高考押题预测卷01(全国甲卷理)-数学(考试版)
2023年高考押题预测卷01(全国甲卷理)-数学(参考答案)_2.2025数学总复习_2023年新高考资料_42023年高考数学押题预测卷_2023年高考押题预测卷01(全国甲卷理)-数学(考试版)
2023年高考押题预测卷01(全国甲卷理)-数学(参考答案)_2.2025数学总复习_2023年新高考资料_42023年高考数学押题预测卷_2023年高考押题预测卷01(全国甲卷理)-数学(考试版)
2023年高考押题预测卷01(全国甲卷理)-数学(参考答案)_2.2025数学总复习_2023年新高考资料_42023年高考数学押题预测卷_2023年高考押题预测卷01(全国甲卷理)-数学(考试版)
2023年高考押题预测卷01(全国甲卷理)-数学(参考答案)_2.2025数学总复习_2023年新高考资料_42023年高考数学押题预测卷_2023年高考押题预测卷01(全国甲卷理)-数学(考试版)
2023年高考押题预测卷01(全国甲卷理)-数学(参考答案)_2.2025数学总复习_2023年新高考资料_42023年高考数学押题预测卷_2023年高考押题预测卷01(全国甲卷理)-数学(考试版)
2023年高考押题预测卷01(全国甲卷理)-数学(参考答案)_2.2025数学总复习_2023年新高考资料_42023年高考数学押题预测卷_2023年高考押题预测卷01(全国甲卷理)-数学(考试版)

文档信息

文档格式
docx
文档大小
0.464 MB
文档页数
9 页
上传时间
2026-03-09 13:17:07

文档内容

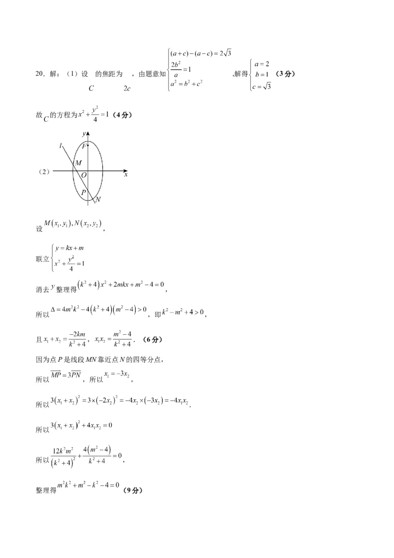
2023年高考押题预测卷01【全国甲卷】 理科数学·参考答案 1 2 3 4 5 6 7 8 9 10 11 12 A C D C D B A B D A B C 13.9 14.16 15. 16.3 【解答题评分细则】 17.解:(1)证明:因为 所以 (1分) 所以 即 (3分) 所以 (4分) (2)由余弦定理得: (5分) (6分) 又 (7分) 所以 , (9分) 由角平分线定理可得, , (10分) 在 中,由余弦定理得: (11分)所以 (12分) 18.解:(1) 为正常工作的设备数,由题意可知 (不写不扣分) (1分) (2分) (3分) (4分) 从而 的分布列为 0 1 2 3 由 ,则 (6分,分步列1分) (2)设方案1、方案2的总损失分别为 , 采用方案1,更换部分设备的硬件,使得设备可靠度达到 ,由(1)可知计算机网络断掉的概率为 , 不断掉的概率为 (7分) 故 元(9分) 采用方案2,对系统的设备进行维护,使得设备可靠度维持在 ,可知计算机网络断掉的概率为 (10分) 故 (11分) 因此,从期望损失最小的角度,决策部分应选择方案2(12分) 19.解:(1)因为四边形 是正方形,所以 , . 因为 , , , 平面 , 所以 平面 (1分) 因为 平面 ,所以平面 平面 (2分)因为 , ,所以 . 因为 ,所以 ,所以 . 因为 ,所以 (3分) 因为平面 平面 ,平面 平面 , 平面 ,所以 平面 (4分) 因为 平面 ,所以 . 因为BD∩DF=D, , 平面 ,所以 平面 (5分) 因为 平面 ,所以平面 平面 (6分) (2)由(1)知,直线 , , 两两互相垂直,以 为坐标原点,直线 , , 分别为 轴、 轴、 轴建立空间直角坐标系 ,如图, 则 , , , , (8分,建系正确给一分) 所以 , , 设平面 的法向量为 ,则有 得 所以 . 取 ,得 ,所以可取 (10分) 设直线 与平面 所成的角为 , 则 (11分) 所以直线 与平面 所成角的正弦值为 (12分,不叙述扣1分)20.解:(1)设 的焦距为 ,由题意知 ,解得 (3分) 故 的方程为 (4分) (2) 设 , 联立 消去 整理得 , 所以 ,即 , 且 , .(6分) 因为点P是线段MN靠近点N的四等分点, 所以 ,所以 , 所以 . 所以 所以 , 整理得 (9分)显然 不成立,所以 (10分) 因为 ,所以 ,即 (11分) 解得 ,或 , 所以实数m的取值范围为 (12分) 21.解:(1)(1)∵ ,∴ (1分) ∵ 在 上是增函数, ∴ 在 上恒成立,可得 在 上恒成立(2分) 令 ,则 (3分) 当 时, ,∴ 在 上是增函数, ∴ (4分) ∴ ,解得 或 , 即实数 的取值范围是 (5分) (2)若 ,则 . 下面证明当 时,不等式 成立, 令 , ,则 . 令 ,得 ,令 ,得 , 故 在 上单调递减,在 上单调递增, 故 (7分) 所以当 时, ,即 ①恒成立.要证当 时, 恒成立,即证 恒成立, 即证 恒成立(8分) 结合①式,现证 成立,即证 在 上恒成立(9分) 令 ,则 , 当 时, ,当 时, , 故 在 上单调递减,在 上单调递增, 故 即 恒成立(11分) 因为①②两式取等号的条件不一致,故 恒成立. 即当 时, 恒成立.(12分) 22.解:(1)连接 ,因为 是直径,所以 , 在 中, , , ∴ ,∴点B的极坐标为 (2分) 在正方形OBCD中, , (3分) ∴点C的极坐标为 (4分)(2)设 , ,且 ①(5分) 由题意可得 的直角坐标为 ,所以曲线M的普通方程为 即 (6分) 将 代入曲线M的普通方程得极坐标方程为 (7分) 当 时,O,B两点重合,不合题意(8分) ∴点B的极坐标方程为 (9分) 将①式代入得点D的极坐标方程为 (10分) 23.解:(1) , 若 ,则 ,得2>1,即 时恒成立;(1分) 若 ,则 ,得 ,即 ;(2分) 若 ,则 ,得 ,此时不等式无解. (3分) 综上所述, 的取值范围是 .(5分) (2)由题意知,要使不等式恒成立, 只需 .(6分) 当 时, , .(7分)因为 , 所以当 时, .(8分) 于是 ,解得 .(9分) 结合 ,所以 的取值范围是 .(10分)