当前位置:首页>文档>2024年高考物理一轮复习(新人教版)第10章实验11 测量电源的电动势和内阻_4.2025物理总复习_2024年新高考资料_1.2024一轮复习_2024年高考物理一轮复习讲义(新人教版)

2024年高考物理一轮复习(新人教版)第10章实验11 测量电源的电动势和内阻_4.2025物理总复习_2024年新高考资料_1.2024一轮复习_2024年高考物理一轮复习讲义(新人教版)

  • 2026-04-12 13:16:00 2026-03-09 15:22:58

文档预览

2024年高考物理一轮复习(新人教版)第10章实验11 测量电源的电动势和内阻_4.2025物理总复习_2024年新高考资料_1.2024一轮复习_2024年高考物理一轮复习讲义(新人教版)
2024年高考物理一轮复习(新人教版)第10章实验11 测量电源的电动势和内阻_4.2025物理总复习_2024年新高考资料_1.2024一轮复习_2024年高考物理一轮复习讲义(新人教版)
2024年高考物理一轮复习(新人教版)第10章实验11 测量电源的电动势和内阻_4.2025物理总复习_2024年新高考资料_1.2024一轮复习_2024年高考物理一轮复习讲义(新人教版)
2024年高考物理一轮复习(新人教版)第10章实验11 测量电源的电动势和内阻_4.2025物理总复习_2024年新高考资料_1.2024一轮复习_2024年高考物理一轮复习讲义(新人教版)
2024年高考物理一轮复习(新人教版)第10章实验11 测量电源的电动势和内阻_4.2025物理总复习_2024年新高考资料_1.2024一轮复习_2024年高考物理一轮复习讲义(新人教版)
2024年高考物理一轮复习(新人教版)第10章实验11 测量电源的电动势和内阻_4.2025物理总复习_2024年新高考资料_1.2024一轮复习_2024年高考物理一轮复习讲义(新人教版)
2024年高考物理一轮复习(新人教版)第10章实验11 测量电源的电动势和内阻_4.2025物理总复习_2024年新高考资料_1.2024一轮复习_2024年高考物理一轮复习讲义(新人教版)
2024年高考物理一轮复习(新人教版)第10章实验11 测量电源的电动势和内阻_4.2025物理总复习_2024年新高考资料_1.2024一轮复习_2024年高考物理一轮复习讲义(新人教版)
2024年高考物理一轮复习(新人教版)第10章实验11 测量电源的电动势和内阻_4.2025物理总复习_2024年新高考资料_1.2024一轮复习_2024年高考物理一轮复习讲义(新人教版)
2024年高考物理一轮复习(新人教版)第10章实验11 测量电源的电动势和内阻_4.2025物理总复习_2024年新高考资料_1.2024一轮复习_2024年高考物理一轮复习讲义(新人教版)
2024年高考物理一轮复习(新人教版)第10章实验11 测量电源的电动势和内阻_4.2025物理总复习_2024年新高考资料_1.2024一轮复习_2024年高考物理一轮复习讲义(新人教版)
2024年高考物理一轮复习(新人教版)第10章实验11 测量电源的电动势和内阻_4.2025物理总复习_2024年新高考资料_1.2024一轮复习_2024年高考物理一轮复习讲义(新人教版)
2024年高考物理一轮复习(新人教版)第10章实验11 测量电源的电动势和内阻_4.2025物理总复习_2024年新高考资料_1.2024一轮复习_2024年高考物理一轮复习讲义(新人教版)
2024年高考物理一轮复习(新人教版)第10章实验11 测量电源的电动势和内阻_4.2025物理总复习_2024年新高考资料_1.2024一轮复习_2024年高考物理一轮复习讲义(新人教版)
2024年高考物理一轮复习(新人教版)第10章实验11 测量电源的电动势和内阻_4.2025物理总复习_2024年新高考资料_1.2024一轮复习_2024年高考物理一轮复习讲义(新人教版)

文档信息

文档格式
docx
文档大小
1.374 MB
文档页数
15 页
上传时间
2026-03-09 15:22:58

文档内容

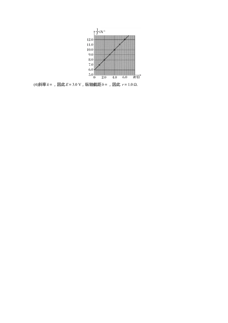
实验十一 测量电源的电动势和内阻 目标要求 1.理解测量电源电动势和内阻的实验原理——闭合电路欧姆定律.2.掌握用电流 表和电压表测定电源的电动势和内阻的方法.3.掌握实物图连接的技巧.4.会用图像处理实验数 据. 考点一 伏安法测电源的电动势和内阻 1.实验原理 闭合电路欧姆定律. 2.实验器材 干电池、电压表、电流表、滑动变阻器、开关、导线、坐标纸和刻度尺. 3.实验步骤 (1)电流表用0.6 A的量程,电压表用3 V的量程,按图连接好电路. (2)把滑动变阻器的滑片移到接入电路阻值最大的一端. (3)闭合开关,调节滑动变阻器,使电流表有明显示数并记录一组数据(I ,U).用同样的方 1 1 法再测量几组I、U值,填入表格中. (4)断开开关,拆除电路,整理好器材. 4.实验数据处理 (1)列方程组,解出E、r,并多次测量求平均值. (2)用作图法处理数据,如图所示. ①图线与纵轴交点为 电源电动势 E ; ②图线斜率的绝对值为 内阻 r. 5.误差分析(1)偶然误差:主要来源于电压表和电流表的读数以及作U-I图像时描点不准确. (2)系统误差: ①若采用甲图电路 方法a 电压表的分流作用造成误差,电压值越大,电压表的分流越多,对应的 I 与I 的 真 测 差越大,I =.其中U-I图像如图乙所示. V 结论:E r 测 真 测 真. 方法b 等效电源法 如图丙所示,E =E ,r =r+R >r 测 真 测 A 真. (3)电路选择: ①电源内阻一般较小,选图甲电路误差较小. ②当 内阻已知时选图丙电路,此时r=k-R ,没有系统误差. A 6.注意事项 (1)为了使路端电压变化明显,可使用内阻较大的旧电池. (2)电流不要过大,应小于0.5 A,读数要快. (3)要测出不少于6组的(I,U)数据,变化范围要大些. (4)若U-I图线纵轴刻度不从零开始,则图线和横轴的交点不再是短路电流,内阻应根据 r =||确定. 例1 (2020·山东卷·14)实验方案对实验测量的精度有直接的影响,某学习小组对“测量电 源的电动势和内阻”的实验方案进行了探究.实验室提供的器材有: 干电池一节(电动势约1.5 V,内阻小于1 Ω);电压表V(量程3 V,内阻约3 kΩ); 电流表A(量程0.6 A,内阻约1 Ω); 滑动变阻器R(最大阻值为20 Ω); 定值电阻R(阻值2 Ω); 1 定值电阻R(阻值5 Ω); 2 开关一个,导线若干. (1)该小组按照图甲所示的电路进行实验,通过调节滑动变阻器阻值使电流表示数逐渐接近 满偏,记录此过程中电压表和电流表的示数,利用实验数据在U-I坐标纸上描点,如图乙 所示,结果发现电压表示数的变化范围比较小,出现该现象的主要原因是________.(单选, 填正确答案标号) A.电压表分流 B.干电池内阻较小 C.滑动变阻器最大阻值较小 D.电流表内阻较小 (2)针对电压表示数的变化范围比较小的问题,该小组利用实验室提供的器材改进了实验方 案,重新测量得到的数据如下表所示. 序号 1 2 3 4 5 6 7 I/A 0.08 0.14 0.20 0.26 0.32 0.36 0.40 U/V 1.35 1.20 1.05 0.88 0.73 0.71 0.52 请根据实验数据,回答以下问题: ①图丙中已标出后3组数据对应的坐标点,请标出前4组数据对应的坐标点并画出U-I图 像. ②根据实验数据可知,所选的定值电阻为________(填“R”或“R”). 1 2 ③用笔画线代替导线,请按照改进后的方案,将图丁所示实物图连接成完整电路.答案 (1)B (2)①见解析图(a) ②R 1 ③见解析图(c) 解析 (1)电压表示数的变化范围小,原因是外电阻的阻值远大于电源内阻,选项B正确. (2)①根据数据描点并连成一条直线,如图(a)所示. ②由图像可知E=1.55 V,U=0时I=0.59 A,故r′=≈2.63 Ω,由于2 Ω7.5 Ω 因此电阻箱接入电路的电阻值选15.0 Ω. (3)由闭合电路的欧姆定律可得 E=U+(R+r) 化简可得=·R++r (5)由上面公式可得=k=, +r=b=+ 由-R图像计算可得k≈0.034 V-1·Ω-1 延长图线,得到图线与纵轴的交点为0.85 V-1,则有0.85 V-1=++(V-1) 代入可得E≈1.55 V,r≈1.0 Ω. (6)如果电压表为理想电压表,则有=++R 则此时E′= 因此误差为×100%=5%. 课时精练 1.(2023·山东济南市模拟)某实验小组利用电流表和电压表测定一节干电池的电动势和内阻, 实验器材如下: 干电池一节(电动势约为1.5 V,内阻约为0.5 Ω); 电压表V(量程为0~3 V,内阻约为3 kΩ); 电流表A(量程为0~0.6 A,内阻约为0.2 Ω); 滑动变阻器(最大阻值为20 Ω); 开关、导线若干. (1)实验电路图选择________(选填“甲”或“乙”). (2)用笔画线代替导线,将图中的器材连成实验电路. (3)完成实验后,某同学利用图像分析由电表内阻引起的实验误差.在下图中,实线是根据 实验数据描点作图得到的U-I图像;虚线是该电源真实的路端电压 U随真实的干路电流I 变化的U-I图像.本次实验分析误差的U-I图像是________. (4)为减小电表内阻引起的实验误差,在电表量程不变的情况下,可以采取的措施是 ________. A.换用内阻更小的电流表 B.换用内阻更大的电流表 C.换用内阻更小的电压表D.换用内阻更大的电压表 答案 (1)甲 (2)见解析图 (3)A (4)D 解析 (1)因为电源内阻较小,接近电流表内阻,为了减小误差,所以电流表采用相对电源 外接,选择甲图; (2)根据电路图得实物连接图如图所示; (3)由于电压表的分流作用,相同的路端电压下,电流表测量的电流值小于流过电源的电流, 内阻的测量值为电源和电压表并联后的总电阻,比实际电源的内阻小,对应实线斜率的绝对 值比虚线的小,但当电压为零时,电压表的内阻对测量没有影响,实线和虚线重合,故A 正确,B、C、D错误; (4)因为电压表的分流作用产生的误差,为减小电表内阻引起的实验误差,在电表量程不变 的情况下,可以采取的措施是增大电压表的内阻,故D正确,A、B、C错误. 2.(2021·天津卷·10)随着智能手机的广泛应用,充电宝成为手机及时充电的一种重要选择. 充电宝可以视为与电池一样的直流电源.一充电宝的电动势约为 5 V,内阻很小,最大放电 电流为2 A,某实验小组测定它的电动势和内阻.他们剥开充电宝连接线的外绝缘层,里面 有四根导线,红导线为充电宝的正极,黑导线为充电宝的负极,其余两根导线空置不用,另 有滑动变阻器R用于改变电路中的电流,定值电阻R =3 Ω,两只数字多用电表M、N,两 0 表均为理想电表,并与开关S连成如图所示电路. (1)图中测量电流的电表是________,测量电压的电表是________.(均填写字母“M”或 “N”) (2)调节滑动变阻器,测得多组I、U数据,记录如下表,其中只有一个数据记录有误,审视 记录的数据,可以发现表中第________次的记录数据有误.(填测量次数的序号) 次数 1 2 3 4 5 6 7 电流I/A 0.299 0.477 0.684 0.877 1.065 1.281 1.516电压U/V 4.970 4.952 4.932 4.942 4.894 4.872 4.848 (3)电路中接入R 可以达到下列哪个效果______.(填选项前的字母) 0 A.使测电流的电表读数变化明显 B.为了更准确地测量充电宝内阻 C.避免使充电宝的放电电流过大 D.减小测量电压的电表分流作用 答案 (1)N M (2)4 (3)C 解析 (1)电表N串联在电路中,测量干路电流,所以N为电流表;电表M一端接在开关上, 另一端接在充电宝的负极,闭合开关后相当于并联在电源两端,所以 M为电压表,测量路 端电压; (2)题中表格中的电流I不断增大,根据闭合电路欧姆定律E=U+Ir可知路端电压U不断减 小,电压表的示数不断减小,所以第4次的记录数据有误; (3)因为充电宝的内阻很小,所以电阻R 串联在电路中,起保护电路的作用,避免使充电宝 0 的放电电流过大损坏电路中的器件.故选C. 3.为了同时测量一电源的电动势E和内阻r,以及未知阻值的电阻R,某同学设计了一电 x 路.实验室提供的器材如下:待测电源、待测电阻、电阻箱一个、内阻很大的电压表一只、 开关两个、导线若干. (1)为实现上述目的,请完善图甲实物图连接; (2)该同学实验的主要步骤有: ①闭合S、S,多次调节电阻箱阻值,并记录其阻值及对应的电压表的示数; 1 2 ②保持S 闭合,断开S,多次调节电阻箱阻值,并记录其阻值及对应的电压表的示数; 1 2 ③根据记录的数据,作出两条-图线如图乙所示. 由图线可得电动势E=________,内阻r=________,R =________.(均用图中的字母a、 x b、c表示) 答案 (1)见解析图(b) (2) - 解析 (1)通过开关S 控制电路中的电阻R 是否接入电路,电路原理图如图(a)所示: 2 x故实物连线图如图(b)所示: (2)闭合S、S,有E=U+r,故有=+·;保持S 闭合,断开S,有E=U+(r+R), 1 2 1 2 x 故有=+·; 结合-图像可知,=c,=,=, 解得:E=,r=,R=-. x 4.利用如图(a)所示电路,可以测量电源的电动势和内阻,所用的实验器材有: 待测电源,电阻箱R(最大阻值999.9 Ω),电阻R(阻值为3.0 Ω),电阻R(阻值为3.0 Ω),电 0 1 流表 (量程为200 mA,内阻为R =6.0 Ω),开关S. A实验步骤如下: ①将电阻箱阻值调到最大,闭合开关S; ②多次调节电阻箱,记下电流表的示数I和电阻箱相应的阻值R; ③以为纵坐标,R为横坐标,作-R图线(用直线拟合); ④求出直线的斜率k和在纵轴上的截距b. 回答下列问题: (1)分别用E和r表示电源的电动势和内阻,则与R的关系式为________________. (2)实验得到的部分数据如下表所示,其中电阻R=3.0 Ω时,电流表的示数如图(b)所示,读 出数据,完成下表.答:①________,②________. R/Ω 1.0 2.0 3.0 4.0 5.0 6.0 I/A 0.143 0.125 ① 0.100 0.091 0.084 /A-1 6.99 8.00 ② 10.0 11.0 11.9 (3)在图(c)的坐标纸上描点并作图,根据图线求得斜率 k=______ A-1·Ω-1,截距 b= ________ A-1. (4)根据图线求得电源电动势E=________ V,内阻r=________ Ω. 答案 (1)=R+ (2)0.110 9.09 (3)见解析图 1.0(0.96~1.04均可) 6.0(5.9~6.1均可) (4)3.0(2.9~3.1均可) 1.0(0.7~1.3均可) 解析 (1)根据闭合电路欧姆定律有 E=(+I)(R+R+r)+IR , 0 A 代入数据,化简得=R+. (2)电流表每小格表示4 mA,因此电流表读数I=0.110 A,≈9.09 A-1. (3)在坐标纸上描点,画出一条直线,得出斜率k=1.0 A-1·Ω-1,截距b=6.0 A-1.(4)斜率k=,因此E=3.0 V,纵轴截距b=,因此 r=1.0 Ω.