当前位置:首页>文档>2024年高考考前押题冲刺模拟卷01(天津专用)解析版_2.2025数学总复习_2024年新高考资料_5.2024三轮冲刺_备战2024年高考数学临考题号押题(天津专用)323409112

2024年高考考前押题冲刺模拟卷01(天津专用)解析版_2.2025数学总复习_2024年新高考资料_5.2024三轮冲刺_备战2024年高考数学临考题号押题(天津专用)323409112

  • 2026-03-10 05:36:32 2026-03-10 05:36:32

文档预览

2024年高考考前押题冲刺模拟卷01(天津专用)解析版_2.2025数学总复习_2024年新高考资料_5.2024三轮冲刺_备战2024年高考数学临考题号押题(天津专用)323409112
2024年高考考前押题冲刺模拟卷01(天津专用)解析版_2.2025数学总复习_2024年新高考资料_5.2024三轮冲刺_备战2024年高考数学临考题号押题(天津专用)323409112
2024年高考考前押题冲刺模拟卷01(天津专用)解析版_2.2025数学总复习_2024年新高考资料_5.2024三轮冲刺_备战2024年高考数学临考题号押题(天津专用)323409112
2024年高考考前押题冲刺模拟卷01(天津专用)解析版_2.2025数学总复习_2024年新高考资料_5.2024三轮冲刺_备战2024年高考数学临考题号押题(天津专用)323409112
2024年高考考前押题冲刺模拟卷01(天津专用)解析版_2.2025数学总复习_2024年新高考资料_5.2024三轮冲刺_备战2024年高考数学临考题号押题(天津专用)323409112
2024年高考考前押题冲刺模拟卷01(天津专用)解析版_2.2025数学总复习_2024年新高考资料_5.2024三轮冲刺_备战2024年高考数学临考题号押题(天津专用)323409112
2024年高考考前押题冲刺模拟卷01(天津专用)解析版_2.2025数学总复习_2024年新高考资料_5.2024三轮冲刺_备战2024年高考数学临考题号押题(天津专用)323409112
2024年高考考前押题冲刺模拟卷01(天津专用)解析版_2.2025数学总复习_2024年新高考资料_5.2024三轮冲刺_备战2024年高考数学临考题号押题(天津专用)323409112
2024年高考考前押题冲刺模拟卷01(天津专用)解析版_2.2025数学总复习_2024年新高考资料_5.2024三轮冲刺_备战2024年高考数学临考题号押题(天津专用)323409112
2024年高考考前押题冲刺模拟卷01(天津专用)解析版_2.2025数学总复习_2024年新高考资料_5.2024三轮冲刺_备战2024年高考数学临考题号押题(天津专用)323409112
2024年高考考前押题冲刺模拟卷01(天津专用)解析版_2.2025数学总复习_2024年新高考资料_5.2024三轮冲刺_备战2024年高考数学临考题号押题(天津专用)323409112
2024年高考考前押题冲刺模拟卷01(天津专用)解析版_2.2025数学总复习_2024年新高考资料_5.2024三轮冲刺_备战2024年高考数学临考题号押题(天津专用)323409112
2024年高考考前押题冲刺模拟卷01(天津专用)解析版_2.2025数学总复习_2024年新高考资料_5.2024三轮冲刺_备战2024年高考数学临考题号押题(天津专用)323409112

文档信息

文档格式
docx
文档大小
0.398 MB
文档页数
13 页
上传时间
2026-03-10 05:36:32

文档内容

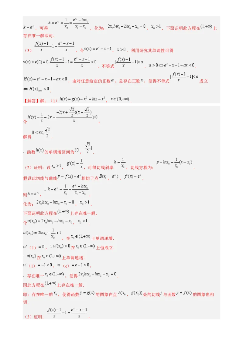
绝密★启用前 2024 年高考考前押题冲刺模拟卷 01(天津专用) 数 学 第Ⅰ卷(选择题) 一、 选择题共9小题,每小题5分,共45分。在每小题列出的四个选项中,选出符合题目要求的一 项。 1.设全集 ,1,2,4,6, ,集合 ,4, , ,1, ,则 A. ,2,4,6, B. ,1,4,6, C. ,2,4,6, D. 【答案】 【分析】直接利用集合的补集和并集运算求出结果. 【解答】解:由于 ,4, , 所以 ,2,4,6, . 故选: . 2.“ ”是“ ”的 A.充分不必要条件 B.必要不充分条件 C.充分必要条件 D.既不充分也不必要条件 【答案】 【分析】先求出不等式 的解集,再根据充分条件和必要条件的定义进行判断即可. 【解答】解: , , , , 是 的必要不充分条件, 故选: . 3.函数 在区间 , 的部分图象大致为 A. B. C. D. 【答案】 【分析】分析函数 的奇偶性及 的函数值,结合排除法可得出合适的选项.【解答】解:因为 , ,所以 ,即函数为偶函数,排除 , ; 因为 ,所以排除 . 故选: . 4.已知函数 是定义在 上的偶函数,且在 上单调递增,则 A. B. C. D. 【分析】根据函数奇偶性和单调性之间的关系,即可得到结论. 【解答】解: 函数 是定义在 上的偶函数,且在 上单调递增, 又 , , ,且 , 所以 , 所以 . 故选: . 5.设 , .若 是 与 的等比中项,则 的最小值为 A.8 B.4 C.1 D. 【答案】 【分析】由题设条件中的等比关系得出 ,代入 中,将其变为 ,利用基本不等式就 可得出其最小值 【解答】解:因为 ,所以 , , 当且仅当 即 时“ ”成立, 故选: . 6.下列说法不正确的是 A.甲、乙、丙三种个体按 的比例分层抽样调查,若抽取的甲种个体数为9,则样本容量为18 B.设一组样本数据 , , , 的方差为2,则数据 , , , 的方差为32C.在一个 列联表中,计算得到 的值,则 的值越接近1,可以判断两个变量相关的把握性越 大 D.已知随机变量 ,且 ,则 【答案】 【分析】根据比例分层抽样的性质可得样本容量,故可判断 的正误,根据两类数据之间的关系结合方 差公式可判断 的正误,根据 的意义可判断 的正误,根据正态分布的对称性可计算 的 值,故可判断 的正误. 【解答】解:对于 :设样本容量为 ,则 ,故 ,故 正确; 对于 :设样本数据 , , , 的均值为 , 则数据 , , , 的均值为 , 故数据 , , , 的方差为: ,故 正确; 对于 越大,可以判断两个变量相关的把握性越大,越小则把握性越小,故 错误; 对于 :由正态分布的对称性可得: ,故 正确. 故选: . 7.已知双曲线 的一条渐近线方程是 ,它的一个焦点在抛物线 的 准线上,则双曲线的方程为 A. B. C. D. 【答案】 【分析】由抛物线标准方程易得其准线方程为 ,而通过双曲线的标准方程可见其焦点在 轴上,则 双曲线的左焦点为 ,此时由双曲线的性质 可得 、 的一个方程;再根据焦点在 轴上 的双曲线的渐近线方程为 ,可得 ,则得 、 的另一个方程.那么只需解 、 的方程 组,问题即可解决. 【解答】解:因为抛物线 的准线方程为 , 则由题意知,点 是双曲线的左焦点, 所以 , 又双曲线的一条渐近线方程是 , 所以 , 解得 , ,所以双曲线的方程为 . 故选: . 8.如图,在正四棱柱 中, 是侧棱 上一点,且 .设三棱锥 的 体积为 ,正四棱柱 的体积为 ,则 的值为 A. B. C. D. 【答案】 【分析】根据给定的几何体,利用等体积法及锥体体积、柱体体积公式计算作答. 【解答】解:在正四棱柱 中, 是侧棱 上一点,且 , 则 , 所以 的值为 . 故选: . 9.已知函数 , 的最小正周期为 ,为了得到函数 的图象,只 要将 的图象 A.向左平移 个单位长度 B.向右平移 个单位长度 C.向左平移 个单位长度 D.向右平移 个单位长度 【答案】 【分析】由周期函数的周期计算公式: ,算得 .接下来将 的表达式转化成与 同名 的三角函数,再观察左右平移的长度即可. 【解答】解:由题知 , 所以 , 故选: . 第Ⅱ卷(非选择题) 二、 填空题共6小题,每小题5分,共30分.10.若 为虚数单位,则 . 【分析】分子和分母同乘以分母的共轭复数,分母上进行复数的乘法运算,分母上进行复数的乘法运算, 得到最简形式,约分得到结果. 【解答】解: 故答案为: . 11. 的二项展开式中的常数项为 6 0 . 【分析】利用二项式的通项公式即可得出. 【解答】解:二项式 的展开式的通项公式为 , 令 ,解得 , 二项式的展开式中的常数项为 , 故答案为:60 12.假设某市场供应的灯泡中,甲厂产品占 ,乙厂产品占 ,甲厂产品的合格率是 ,乙厂产 品的合格率是 ,在该市场中随机购买一个灯泡,是合格品的概率为 0.8 6 ;如果买到的灯泡是合 格品,那么它是甲厂产品的概率为 . 【答案】0.86; . 【分析】由全概率公式与条件概率公式求解即可. 【解答】解:设 为甲厂产品, 为乙厂产品, 表示合格产品,则 (A) , (B) , , . 所以 (C) (A) (B) , 灯泡是甲厂生产的概率为 ,所以 , 故答案为:0.86; . 13.若圆 与圆 的公共弦的长为 ,则 1 . 【分析】画出草图,不难得到半径、半弦长的关系,求解即可. 【解答】解:由已知 的半径为 ,圆心 , 公共弦所在的直线方程为, .大圆的弦心距为: 由图可知 ,解之得 . 故答案为:1.14.已知平行四边形 的面积为 , , , 为线段 的中点,若 为线段 上的一点,且 ,则 ; 的值为 . 【答案】 ;9 【分析】由平面向量的线性运算可得 ,代入 中,由 、 、 三点共 线可列出关于 的方程,解之即可; 利用正弦的面积公式可推出 ,而 ,代入所得数据即可得解. 【解答】解:根据题意,作出如下所示图形, 为线段 的中点, . ,且 、 、 三点共线, , ,解得 . 平行四边形 的面积为 , , , ,解得 . . 故答案为: ;9.15.设函数 ,对任意 , , 恒成立,则实数 的取 值范围是 . 【分析】由已知得 在 , 上恒成立,上由此能求出实数 的取值范围. 【解答】解:依据题意得 在 , 上恒定成立, 即 在 , 上恒成立. 当 时,函数 取得最小值 , ,即 , 解得 或 , 故答案为: . 三、解答题共5小题,共75分.解答应写出文字说明,演算步骤或证明过程. 16.在 中,内角 , , 的对边分别为 , , ,若 , , (1)求 的值; (2)求 的值. 【分析】(1)利用正弦定理、余弦定理,求出 ,即可求 的值; (2)利用二倍角公式可求 , 的值,进而根据两角差的正弦函数公式即可求解. 【解答】解:(1) , , , , , ; (2) , , . 17.三棱台 中,若 面 , , , , , 分别 是 , 中点.(Ⅰ)求证: 平面 ; (Ⅱ)求二面角 的正弦值; (Ⅲ)求点 到平面 的距离. 【答案】(Ⅰ)证明过程见解答; (Ⅱ) . 【分析】(Ⅰ)推导出 , ,从而四边形 是平行四边形,从而 ,由 此能证明 平面 ; (Ⅱ)以 为坐标原点, 所在直线为 轴, 所在直线为 轴, 所在直线为 轴,建立空间直角 坐标系,利用向量法能求出二面角 的正弦值; (Ⅲ)求出 ,2, , ,2, ,利用向量法能求出点 到平面 的距离. 【解答】解:(Ⅰ)证明:三棱台 中, 面 , , , , , 分别是 , 中点, , , 四边形 是平行四边形, , 平面 , 平面 , 平面 ; (Ⅱ)以 为坐标原点, 所在直线为 轴, 所在直线为 轴, 所在直线为 轴,建立空间直角 坐标系, 则 ,0, , ,1, , ,1, , ,0, ,,1, , ,1, , ,1, , ,1, , 设平面 的法向量为 , , , 则 ,取 ,得 , , , 设平面 的法向量为 , , , 则 ,取 ,得 ,0, , 设二面角 的平面角为 ,由图知 为锐角, 则 , 二面角 的正弦值为 ; (Ⅲ) ,2, , ,2, , 平面 的法向量为 , , , 点 到平面 的距离为: . 18.已知等差数列 的前 项和为 ,且 , ,数列 的前 项和为 ,且 . (1)求数列 , 的通项公式; (2)设 ,数列 的前 项和为 ,求 ; (3)设 ,求数列 的前 项和. 【分析】(1)由等差数列的求和公式,解方程可得等差数列 的公差,进而得到数列 的通项公 式;由数列的递推式:当 时, ;当 时, ,计算可得 的通项公式; (2)推得 ,由数列的裂项相消求和,化简可得 ; (3)由等差数列的求和公式和对数的运算性质推得 , , 设数列 的前 项和为 ,由数列的错位相减法求和,计算可得 ,设数列 的前 项 和为 ,由 为偶数和奇数,结合数列的裂项相消求和可得 ,进而得到所求和. 【解答】解:(1)等差数列 的公差设为 , , 解得 , 所以 , ;对数列 ,当 时, ; 当 时, , 上式对 也成立. 所以 , ; (2) , 所以 . (3) . 因为 ,所以 , 而 , 设数列 的前 项和为 ,数列 的前 项和为 , 则 , , 上面两式相减可得 , 化简可得 . 当 为偶数时, ; 当 为奇数时, ; 综上可得 . 所以数列 的前 项和为 . 19.已知椭圆 的离心率 ,且点 , 在椭圆 上. (1)求椭圆 的方程; (2)若椭圆 的左焦点为 ,右顶点为 ,点 , 是椭圆 上的动点,直线 与 轴交于 点 ,点 是 轴上一点, , 与椭圆 交于点 ,若 的面积为 ,求直线 的 方程. 【分析】(1)由离心率及过的点的坐标和 , , 之间的关系求出椭圆的标准方程; (2)由(1)得 , 的坐标,设直线 的方程,与椭圆联立得 的坐标,由题意得 点的坐标,再 由题意得 的坐标,所以表示出面积,再由没觉得值得到直线 的方程.【解答】解:(1)由题意得 , , ,解得: , , 所以椭圆的方程: ; (2)由(1)得左焦点 , , ,设直线 ,由题意得 , , , 直线 的方程: ,令 ,则 ,所以点 ,所以 , 所以直线 ,联立与椭圆的方程整理得: , ,所以 点 , ; 联立直线 与椭圆的方程整理得: ,解得: , , ,所以点 , , 所以点 , 关于原点对称,即直线 过原点, ,由题意得: ,解得: , 由点 , 得, ,所以直线 为: , 即直线 . 20.已知函数 , . (1)设 ,求函数 的单调增区间; (2)设 ,求证:存在唯一的 ,使得函数 的图象在点 , 处的切线 与函数 的图象也相切; (3)求证:对任意给定的正数 ,总存在正数 ,使得不等式 成立. 【分析】(1) , .令 ,解得即可得出函数 的单 调增区间. (2)设 , ,可得切线斜率 ,切线方程为: .假设此切线与曲线 相切于点 , , .,可得 .化为: , .下面证明此方程在 上 存在唯一解即可. (3) ,令 , .利用研究其单调性可得 ,不等式 , , ,由对任意给定的正数 ,总存在正数 ,使得不等式 成立 . 【解答】解:(1) , . 令 , 解得 . 函数 的单调增区间为 , . (2)证明:设 , ,可得切线斜率 ,切线方程为: . 假设此切线与曲线 相切于点 , , . 则 , . 化为: , . 下面证明此方程在 上存在唯一解. 令 , . ,在 上单调递增. (1) , 在 上恒成立. 在 上单调递增. (1) , (e) , 存在唯一 ,使得 . 因此方程在 上存在唯一解. 即:存在唯一的 ,使得函数 的图象在点 , 处的切线 与函数 的图象也相 切. (3)证明: ,令 , . , 函数 在 上单调递增, . , 不等式 , , , 由对任意给定的正数 ,总存在正数 ,使得不等式 成立 . , , . ,令 ,解得 , 函数 在区间 , 上单调递减,在区间 , 上单调递增. , 存在对任意给定的正数 ,总存在正数 ,使得不等式 成立.
基本 文件 流程 错误 SQL 调试
  1. 请求信息 : 2026-03-10 05:37:00 HTTP/1.1 GET : https://www.yeyulingfeng.com/wendang/370036.html
  2. 运行时间 : 0.266876s [ 吞吐率:3.75req/s ] 内存消耗:5,379.09kb 文件加载:144
  3. 缓存信息 : 0 reads,0 writes
  4. 会话信息 : SESSION_ID=77ca00788156f943b8f7c2def2e83106
  1. /yingpanguazai/ssd/ssd1/www/wwww.yeyulingfeng.com/public/index.php ( 0.79 KB )
  2. /yingpanguazai/ssd/ssd1/www/wwww.yeyulingfeng.com/vendor/autoload.php ( 0.17 KB )
  3. /yingpanguazai/ssd/ssd1/www/wwww.yeyulingfeng.com/vendor/composer/autoload_real.php ( 2.49 KB )
  4. /yingpanguazai/ssd/ssd1/www/wwww.yeyulingfeng.com/vendor/composer/platform_check.php ( 0.90 KB )
  5. /yingpanguazai/ssd/ssd1/www/wwww.yeyulingfeng.com/vendor/composer/ClassLoader.php ( 14.03 KB )
  6. /yingpanguazai/ssd/ssd1/www/wwww.yeyulingfeng.com/vendor/composer/autoload_static.php ( 6.05 KB )
  7. /yingpanguazai/ssd/ssd1/www/wwww.yeyulingfeng.com/vendor/topthink/think-helper/src/helper.php ( 8.34 KB )
  8. /yingpanguazai/ssd/ssd1/www/wwww.yeyulingfeng.com/vendor/topthink/think-validate/src/helper.php ( 2.19 KB )
  9. /yingpanguazai/ssd/ssd1/www/wwww.yeyulingfeng.com/vendor/ralouphie/getallheaders/src/getallheaders.php ( 1.60 KB )
  10. /yingpanguazai/ssd/ssd1/www/wwww.yeyulingfeng.com/vendor/topthink/think-orm/src/helper.php ( 1.47 KB )
  11. /yingpanguazai/ssd/ssd1/www/wwww.yeyulingfeng.com/vendor/topthink/think-orm/stubs/load_stubs.php ( 0.16 KB )
  12. /yingpanguazai/ssd/ssd1/www/wwww.yeyulingfeng.com/vendor/topthink/framework/src/think/Exception.php ( 1.69 KB )
  13. /yingpanguazai/ssd/ssd1/www/wwww.yeyulingfeng.com/vendor/topthink/think-container/src/Facade.php ( 2.71 KB )
  14. /yingpanguazai/ssd/ssd1/www/wwww.yeyulingfeng.com/vendor/symfony/deprecation-contracts/function.php ( 0.99 KB )
  15. /yingpanguazai/ssd/ssd1/www/wwww.yeyulingfeng.com/vendor/symfony/polyfill-mbstring/bootstrap.php ( 8.26 KB )
  16. /yingpanguazai/ssd/ssd1/www/wwww.yeyulingfeng.com/vendor/symfony/polyfill-mbstring/bootstrap80.php ( 9.78 KB )
  17. /yingpanguazai/ssd/ssd1/www/wwww.yeyulingfeng.com/vendor/symfony/var-dumper/Resources/functions/dump.php ( 1.49 KB )
  18. /yingpanguazai/ssd/ssd1/www/wwww.yeyulingfeng.com/vendor/topthink/think-dumper/src/helper.php ( 0.18 KB )
  19. /yingpanguazai/ssd/ssd1/www/wwww.yeyulingfeng.com/vendor/symfony/var-dumper/VarDumper.php ( 4.30 KB )
  20. /yingpanguazai/ssd/ssd1/www/wwww.yeyulingfeng.com/vendor/guzzlehttp/guzzle/src/functions_include.php ( 0.16 KB )
  21. /yingpanguazai/ssd/ssd1/www/wwww.yeyulingfeng.com/vendor/guzzlehttp/guzzle/src/functions.php ( 5.54 KB )
  22. /yingpanguazai/ssd/ssd1/www/wwww.yeyulingfeng.com/vendor/topthink/framework/src/think/App.php ( 15.30 KB )
  23. /yingpanguazai/ssd/ssd1/www/wwww.yeyulingfeng.com/vendor/topthink/think-container/src/Container.php ( 15.76 KB )
  24. /yingpanguazai/ssd/ssd1/www/wwww.yeyulingfeng.com/vendor/psr/container/src/ContainerInterface.php ( 1.02 KB )
  25. /yingpanguazai/ssd/ssd1/www/wwww.yeyulingfeng.com/app/provider.php ( 0.19 KB )
  26. /yingpanguazai/ssd/ssd1/www/wwww.yeyulingfeng.com/vendor/topthink/framework/src/think/Http.php ( 6.04 KB )
  27. /yingpanguazai/ssd/ssd1/www/wwww.yeyulingfeng.com/vendor/topthink/think-helper/src/helper/Str.php ( 7.29 KB )
  28. /yingpanguazai/ssd/ssd1/www/wwww.yeyulingfeng.com/vendor/topthink/framework/src/think/Env.php ( 4.68 KB )
  29. /yingpanguazai/ssd/ssd1/www/wwww.yeyulingfeng.com/app/common.php ( 0.03 KB )
  30. /yingpanguazai/ssd/ssd1/www/wwww.yeyulingfeng.com/vendor/topthink/framework/src/helper.php ( 18.78 KB )
  31. /yingpanguazai/ssd/ssd1/www/wwww.yeyulingfeng.com/vendor/topthink/framework/src/think/Config.php ( 5.54 KB )
  32. /yingpanguazai/ssd/ssd1/www/wwww.yeyulingfeng.com/config/alipay.php ( 3.59 KB )
  33. /yingpanguazai/ssd/ssd1/www/wwww.yeyulingfeng.com/vendor/topthink/framework/src/think/facade/Env.php ( 1.67 KB )
  34. /yingpanguazai/ssd/ssd1/www/wwww.yeyulingfeng.com/config/app.php ( 0.95 KB )
  35. /yingpanguazai/ssd/ssd1/www/wwww.yeyulingfeng.com/config/cache.php ( 0.78 KB )
  36. /yingpanguazai/ssd/ssd1/www/wwww.yeyulingfeng.com/config/console.php ( 0.23 KB )
  37. /yingpanguazai/ssd/ssd1/www/wwww.yeyulingfeng.com/config/cookie.php ( 0.56 KB )
  38. /yingpanguazai/ssd/ssd1/www/wwww.yeyulingfeng.com/config/database.php ( 2.48 KB )
  39. /yingpanguazai/ssd/ssd1/www/wwww.yeyulingfeng.com/config/filesystem.php ( 0.61 KB )
  40. /yingpanguazai/ssd/ssd1/www/wwww.yeyulingfeng.com/config/lang.php ( 0.91 KB )
  41. /yingpanguazai/ssd/ssd1/www/wwww.yeyulingfeng.com/config/log.php ( 1.35 KB )
  42. /yingpanguazai/ssd/ssd1/www/wwww.yeyulingfeng.com/config/middleware.php ( 0.19 KB )
  43. /yingpanguazai/ssd/ssd1/www/wwww.yeyulingfeng.com/config/route.php ( 1.89 KB )
  44. /yingpanguazai/ssd/ssd1/www/wwww.yeyulingfeng.com/config/session.php ( 0.57 KB )
  45. /yingpanguazai/ssd/ssd1/www/wwww.yeyulingfeng.com/config/trace.php ( 0.34 KB )
  46. /yingpanguazai/ssd/ssd1/www/wwww.yeyulingfeng.com/config/view.php ( 0.82 KB )
  47. /yingpanguazai/ssd/ssd1/www/wwww.yeyulingfeng.com/app/event.php ( 0.25 KB )
  48. /yingpanguazai/ssd/ssd1/www/wwww.yeyulingfeng.com/vendor/topthink/framework/src/think/Event.php ( 7.67 KB )
  49. /yingpanguazai/ssd/ssd1/www/wwww.yeyulingfeng.com/app/service.php ( 0.13 KB )
  50. /yingpanguazai/ssd/ssd1/www/wwww.yeyulingfeng.com/app/AppService.php ( 0.26 KB )
  51. /yingpanguazai/ssd/ssd1/www/wwww.yeyulingfeng.com/vendor/topthink/framework/src/think/Service.php ( 1.64 KB )
  52. /yingpanguazai/ssd/ssd1/www/wwww.yeyulingfeng.com/vendor/topthink/framework/src/think/Lang.php ( 7.35 KB )
  53. /yingpanguazai/ssd/ssd1/www/wwww.yeyulingfeng.com/vendor/topthink/framework/src/lang/zh-cn.php ( 13.70 KB )
  54. /yingpanguazai/ssd/ssd1/www/wwww.yeyulingfeng.com/vendor/topthink/framework/src/think/initializer/Error.php ( 3.31 KB )
  55. /yingpanguazai/ssd/ssd1/www/wwww.yeyulingfeng.com/vendor/topthink/framework/src/think/initializer/RegisterService.php ( 1.33 KB )
  56. /yingpanguazai/ssd/ssd1/www/wwww.yeyulingfeng.com/vendor/services.php ( 0.14 KB )
  57. /yingpanguazai/ssd/ssd1/www/wwww.yeyulingfeng.com/vendor/topthink/framework/src/think/service/PaginatorService.php ( 1.52 KB )
  58. /yingpanguazai/ssd/ssd1/www/wwww.yeyulingfeng.com/vendor/topthink/framework/src/think/service/ValidateService.php ( 0.99 KB )
  59. /yingpanguazai/ssd/ssd1/www/wwww.yeyulingfeng.com/vendor/topthink/framework/src/think/service/ModelService.php ( 2.04 KB )
  60. /yingpanguazai/ssd/ssd1/www/wwww.yeyulingfeng.com/vendor/topthink/think-trace/src/Service.php ( 0.77 KB )
  61. /yingpanguazai/ssd/ssd1/www/wwww.yeyulingfeng.com/vendor/topthink/framework/src/think/Middleware.php ( 6.72 KB )
  62. /yingpanguazai/ssd/ssd1/www/wwww.yeyulingfeng.com/vendor/topthink/framework/src/think/initializer/BootService.php ( 0.77 KB )
  63. /yingpanguazai/ssd/ssd1/www/wwww.yeyulingfeng.com/vendor/topthink/think-orm/src/Paginator.php ( 11.86 KB )
  64. /yingpanguazai/ssd/ssd1/www/wwww.yeyulingfeng.com/vendor/topthink/think-validate/src/Validate.php ( 63.20 KB )
  65. /yingpanguazai/ssd/ssd1/www/wwww.yeyulingfeng.com/vendor/topthink/think-orm/src/Model.php ( 23.55 KB )
  66. /yingpanguazai/ssd/ssd1/www/wwww.yeyulingfeng.com/vendor/topthink/think-orm/src/model/concern/Attribute.php ( 21.05 KB )
  67. /yingpanguazai/ssd/ssd1/www/wwww.yeyulingfeng.com/vendor/topthink/think-orm/src/model/concern/AutoWriteData.php ( 4.21 KB )
  68. /yingpanguazai/ssd/ssd1/www/wwww.yeyulingfeng.com/vendor/topthink/think-orm/src/model/concern/Conversion.php ( 6.44 KB )
  69. /yingpanguazai/ssd/ssd1/www/wwww.yeyulingfeng.com/vendor/topthink/think-orm/src/model/concern/DbConnect.php ( 5.16 KB )
  70. /yingpanguazai/ssd/ssd1/www/wwww.yeyulingfeng.com/vendor/topthink/think-orm/src/model/concern/ModelEvent.php ( 2.33 KB )
  71. /yingpanguazai/ssd/ssd1/www/wwww.yeyulingfeng.com/vendor/topthink/think-orm/src/model/concern/RelationShip.php ( 28.29 KB )
  72. /yingpanguazai/ssd/ssd1/www/wwww.yeyulingfeng.com/vendor/topthink/think-helper/src/contract/Arrayable.php ( 0.09 KB )
  73. /yingpanguazai/ssd/ssd1/www/wwww.yeyulingfeng.com/vendor/topthink/think-helper/src/contract/Jsonable.php ( 0.13 KB )
  74. /yingpanguazai/ssd/ssd1/www/wwww.yeyulingfeng.com/vendor/topthink/think-orm/src/model/contract/Modelable.php ( 0.09 KB )
  75. /yingpanguazai/ssd/ssd1/www/wwww.yeyulingfeng.com/vendor/topthink/framework/src/think/Db.php ( 2.88 KB )
  76. /yingpanguazai/ssd/ssd1/www/wwww.yeyulingfeng.com/vendor/topthink/think-orm/src/DbManager.php ( 8.52 KB )
  77. /yingpanguazai/ssd/ssd1/www/wwww.yeyulingfeng.com/vendor/topthink/framework/src/think/Log.php ( 6.28 KB )
  78. /yingpanguazai/ssd/ssd1/www/wwww.yeyulingfeng.com/vendor/topthink/framework/src/think/Manager.php ( 3.92 KB )
  79. /yingpanguazai/ssd/ssd1/www/wwww.yeyulingfeng.com/vendor/psr/log/src/LoggerTrait.php ( 2.69 KB )
  80. /yingpanguazai/ssd/ssd1/www/wwww.yeyulingfeng.com/vendor/psr/log/src/LoggerInterface.php ( 2.71 KB )
  81. /yingpanguazai/ssd/ssd1/www/wwww.yeyulingfeng.com/vendor/topthink/framework/src/think/Cache.php ( 4.92 KB )
  82. /yingpanguazai/ssd/ssd1/www/wwww.yeyulingfeng.com/vendor/psr/simple-cache/src/CacheInterface.php ( 4.71 KB )
  83. /yingpanguazai/ssd/ssd1/www/wwww.yeyulingfeng.com/vendor/topthink/think-helper/src/helper/Arr.php ( 16.63 KB )
  84. /yingpanguazai/ssd/ssd1/www/wwww.yeyulingfeng.com/vendor/topthink/framework/src/think/cache/driver/File.php ( 7.84 KB )
  85. /yingpanguazai/ssd/ssd1/www/wwww.yeyulingfeng.com/vendor/topthink/framework/src/think/cache/Driver.php ( 9.03 KB )
  86. /yingpanguazai/ssd/ssd1/www/wwww.yeyulingfeng.com/vendor/topthink/framework/src/think/contract/CacheHandlerInterface.php ( 1.99 KB )
  87. /yingpanguazai/ssd/ssd1/www/wwww.yeyulingfeng.com/app/Request.php ( 0.09 KB )
  88. /yingpanguazai/ssd/ssd1/www/wwww.yeyulingfeng.com/vendor/topthink/framework/src/think/Request.php ( 55.78 KB )
  89. /yingpanguazai/ssd/ssd1/www/wwww.yeyulingfeng.com/app/middleware.php ( 0.25 KB )
  90. /yingpanguazai/ssd/ssd1/www/wwww.yeyulingfeng.com/vendor/topthink/framework/src/think/Pipeline.php ( 2.61 KB )
  91. /yingpanguazai/ssd/ssd1/www/wwww.yeyulingfeng.com/vendor/topthink/think-trace/src/TraceDebug.php ( 3.40 KB )
  92. /yingpanguazai/ssd/ssd1/www/wwww.yeyulingfeng.com/vendor/topthink/framework/src/think/middleware/SessionInit.php ( 1.94 KB )
  93. /yingpanguazai/ssd/ssd1/www/wwww.yeyulingfeng.com/vendor/topthink/framework/src/think/Session.php ( 1.80 KB )
  94. /yingpanguazai/ssd/ssd1/www/wwww.yeyulingfeng.com/vendor/topthink/framework/src/think/session/driver/File.php ( 6.27 KB )
  95. /yingpanguazai/ssd/ssd1/www/wwww.yeyulingfeng.com/vendor/topthink/framework/src/think/contract/SessionHandlerInterface.php ( 0.87 KB )
  96. /yingpanguazai/ssd/ssd1/www/wwww.yeyulingfeng.com/vendor/topthink/framework/src/think/session/Store.php ( 7.12 KB )
  97. /yingpanguazai/ssd/ssd1/www/wwww.yeyulingfeng.com/vendor/topthink/framework/src/think/Route.php ( 23.73 KB )
  98. /yingpanguazai/ssd/ssd1/www/wwww.yeyulingfeng.com/vendor/topthink/framework/src/think/route/RuleName.php ( 5.75 KB )
  99. /yingpanguazai/ssd/ssd1/www/wwww.yeyulingfeng.com/vendor/topthink/framework/src/think/route/Domain.php ( 2.53 KB )
  100. /yingpanguazai/ssd/ssd1/www/wwww.yeyulingfeng.com/vendor/topthink/framework/src/think/route/RuleGroup.php ( 22.43 KB )
  101. /yingpanguazai/ssd/ssd1/www/wwww.yeyulingfeng.com/vendor/topthink/framework/src/think/route/Rule.php ( 26.95 KB )
  102. /yingpanguazai/ssd/ssd1/www/wwww.yeyulingfeng.com/vendor/topthink/framework/src/think/route/RuleItem.php ( 9.78 KB )
  103. /yingpanguazai/ssd/ssd1/www/wwww.yeyulingfeng.com/route/app.php ( 3.82 KB )
  104. /yingpanguazai/ssd/ssd1/www/wwww.yeyulingfeng.com/vendor/topthink/framework/src/think/facade/Route.php ( 4.70 KB )
  105. /yingpanguazai/ssd/ssd1/www/wwww.yeyulingfeng.com/vendor/topthink/framework/src/think/route/dispatch/Controller.php ( 4.74 KB )
  106. /yingpanguazai/ssd/ssd1/www/wwww.yeyulingfeng.com/vendor/topthink/framework/src/think/route/Dispatch.php ( 10.44 KB )
  107. /yingpanguazai/ssd/ssd1/www/wwww.yeyulingfeng.com/app/controller/Index.php ( 9.69 KB )
  108. /yingpanguazai/ssd/ssd1/www/wwww.yeyulingfeng.com/app/BaseController.php ( 2.05 KB )
  109. /yingpanguazai/ssd/ssd1/www/wwww.yeyulingfeng.com/vendor/topthink/think-orm/src/facade/Db.php ( 0.93 KB )
  110. /yingpanguazai/ssd/ssd1/www/wwww.yeyulingfeng.com/vendor/topthink/think-orm/src/db/connector/Mysql.php ( 5.44 KB )
  111. /yingpanguazai/ssd/ssd1/www/wwww.yeyulingfeng.com/vendor/topthink/think-orm/src/db/PDOConnection.php ( 52.47 KB )
  112. /yingpanguazai/ssd/ssd1/www/wwww.yeyulingfeng.com/vendor/topthink/think-orm/src/db/Connection.php ( 8.39 KB )
  113. /yingpanguazai/ssd/ssd1/www/wwww.yeyulingfeng.com/vendor/topthink/think-orm/src/db/ConnectionInterface.php ( 4.57 KB )
  114. /yingpanguazai/ssd/ssd1/www/wwww.yeyulingfeng.com/vendor/topthink/think-orm/src/db/builder/Mysql.php ( 16.58 KB )
  115. /yingpanguazai/ssd/ssd1/www/wwww.yeyulingfeng.com/vendor/topthink/think-orm/src/db/Builder.php ( 24.06 KB )
  116. /yingpanguazai/ssd/ssd1/www/wwww.yeyulingfeng.com/vendor/topthink/think-orm/src/db/BaseBuilder.php ( 27.50 KB )
  117. /yingpanguazai/ssd/ssd1/www/wwww.yeyulingfeng.com/vendor/topthink/think-orm/src/db/Query.php ( 15.71 KB )
  118. /yingpanguazai/ssd/ssd1/www/wwww.yeyulingfeng.com/vendor/topthink/think-orm/src/db/BaseQuery.php ( 45.13 KB )
  119. /yingpanguazai/ssd/ssd1/www/wwww.yeyulingfeng.com/vendor/topthink/think-orm/src/db/concern/TimeFieldQuery.php ( 7.43 KB )
  120. /yingpanguazai/ssd/ssd1/www/wwww.yeyulingfeng.com/vendor/topthink/think-orm/src/db/concern/AggregateQuery.php ( 3.26 KB )
  121. /yingpanguazai/ssd/ssd1/www/wwww.yeyulingfeng.com/vendor/topthink/think-orm/src/db/concern/ModelRelationQuery.php ( 20.07 KB )
  122. /yingpanguazai/ssd/ssd1/www/wwww.yeyulingfeng.com/vendor/topthink/think-orm/src/db/concern/ParamsBind.php ( 3.66 KB )
  123. /yingpanguazai/ssd/ssd1/www/wwww.yeyulingfeng.com/vendor/topthink/think-orm/src/db/concern/ResultOperation.php ( 7.01 KB )
  124. /yingpanguazai/ssd/ssd1/www/wwww.yeyulingfeng.com/vendor/topthink/think-orm/src/db/concern/WhereQuery.php ( 19.37 KB )
  125. /yingpanguazai/ssd/ssd1/www/wwww.yeyulingfeng.com/vendor/topthink/think-orm/src/db/concern/JoinAndViewQuery.php ( 7.11 KB )
  126. /yingpanguazai/ssd/ssd1/www/wwww.yeyulingfeng.com/vendor/topthink/think-orm/src/db/concern/TableFieldInfo.php ( 2.63 KB )
  127. /yingpanguazai/ssd/ssd1/www/wwww.yeyulingfeng.com/vendor/topthink/think-orm/src/db/concern/Transaction.php ( 2.77 KB )
  128. /yingpanguazai/ssd/ssd1/www/wwww.yeyulingfeng.com/vendor/topthink/framework/src/think/log/driver/File.php ( 5.96 KB )
  129. /yingpanguazai/ssd/ssd1/www/wwww.yeyulingfeng.com/vendor/topthink/framework/src/think/contract/LogHandlerInterface.php ( 0.86 KB )
  130. /yingpanguazai/ssd/ssd1/www/wwww.yeyulingfeng.com/vendor/topthink/framework/src/think/log/Channel.php ( 3.89 KB )
  131. /yingpanguazai/ssd/ssd1/www/wwww.yeyulingfeng.com/vendor/topthink/framework/src/think/event/LogRecord.php ( 1.02 KB )
  132. /yingpanguazai/ssd/ssd1/www/wwww.yeyulingfeng.com/vendor/topthink/think-helper/src/Collection.php ( 16.47 KB )
  133. /yingpanguazai/ssd/ssd1/www/wwww.yeyulingfeng.com/vendor/topthink/framework/src/think/facade/View.php ( 1.70 KB )
  134. /yingpanguazai/ssd/ssd1/www/wwww.yeyulingfeng.com/vendor/topthink/framework/src/think/View.php ( 4.39 KB )
  135. /yingpanguazai/ssd/ssd1/www/wwww.yeyulingfeng.com/vendor/topthink/framework/src/think/Response.php ( 8.81 KB )
  136. /yingpanguazai/ssd/ssd1/www/wwww.yeyulingfeng.com/vendor/topthink/framework/src/think/response/View.php ( 3.29 KB )
  137. /yingpanguazai/ssd/ssd1/www/wwww.yeyulingfeng.com/vendor/topthink/framework/src/think/Cookie.php ( 6.06 KB )
  138. /yingpanguazai/ssd/ssd1/www/wwww.yeyulingfeng.com/vendor/topthink/think-view/src/Think.php ( 8.38 KB )
  139. /yingpanguazai/ssd/ssd1/www/wwww.yeyulingfeng.com/vendor/topthink/framework/src/think/contract/TemplateHandlerInterface.php ( 1.60 KB )
  140. /yingpanguazai/ssd/ssd1/www/wwww.yeyulingfeng.com/vendor/topthink/think-template/src/Template.php ( 46.61 KB )
  141. /yingpanguazai/ssd/ssd1/www/wwww.yeyulingfeng.com/vendor/topthink/think-template/src/template/driver/File.php ( 2.41 KB )
  142. /yingpanguazai/ssd/ssd1/www/wwww.yeyulingfeng.com/vendor/topthink/think-template/src/template/contract/DriverInterface.php ( 0.86 KB )
  143. /yingpanguazai/ssd/ssd1/www/wwww.yeyulingfeng.com/runtime/temp/10a0c909b6afa23b5a52a2e2d58c3c0f.php ( 21.72 KB )
  144. /yingpanguazai/ssd/ssd1/www/wwww.yeyulingfeng.com/vendor/topthink/think-trace/src/Html.php ( 4.42 KB )
  1. CONNECT:[ UseTime:0.001162s ] mysql:host=127.0.0.1;port=3306;dbname=wenku;charset=utf8mb4
  2. SHOW FULL COLUMNS FROM `fenlei` [ RunTime:0.001700s ]
  3. SELECT * FROM `fenlei` WHERE `fid` = 0 [ RunTime:0.000717s ]
  4. SELECT * FROM `fenlei` WHERE `fid` = 63 [ RunTime:0.000664s ]
  5. SHOW FULL COLUMNS FROM `set` [ RunTime:0.001457s ]
  6. SELECT * FROM `set` [ RunTime:0.000651s ]
  7. SHOW FULL COLUMNS FROM `wendang` [ RunTime:0.001805s ]
  8. SELECT * FROM `wendang` WHERE `id` = 370036 LIMIT 1 [ RunTime:0.001113s ]
  9. UPDATE `wendang` SET `liulancishu` = 1 WHERE `id` = 370036 [ RunTime:0.028620s ]
  10. UPDATE `wendang` SET `lasttime` = 1773092220 WHERE `id` = 370036 [ RunTime:0.002084s ]
  11. SELECT * FROM `wendang` WHERE `id` < 370036 ORDER BY `id` DESC LIMIT 1 [ RunTime:0.001919s ]
  12. SELECT * FROM `wendang` WHERE `id` > 370036 ORDER BY `id` ASC LIMIT 1 [ RunTime:0.001264s ]
  13. SELECT * FROM `wendang` WHERE `id` <> 370036 ORDER BY `id` DESC LIMIT 10 [ RunTime:0.003320s ]
  14. SELECT * FROM `wendang` WHERE `id` <> 370036 ORDER BY `id` DESC LIMIT 10,10 [ RunTime:0.002654s ]
  15. SELECT * FROM `wendang` WHERE `id` <> 370036 ORDER BY `id` DESC LIMIT 20,10 [ RunTime:0.044489s ]
0.273215s