当前位置:首页>文档>2023年高考地理一轮复习(全国版)必修1第3章第3讲课时19 海陆分布对气压带的影响及季风环流_9.2025地理总复习_赠品通用版(老高考)复习资料_一轮复习

2023年高考地理一轮复习(全国版)必修1第3章第3讲课时19 海陆分布对气压带的影响及季风环流_9.2025地理总复习_赠品通用版(老高考)复习资料_一轮复习

  • 2026-04-15 00:14:37 2026-03-11 17:46:36

文档预览

2023年高考地理一轮复习(全国版)必修1第3章第3讲课时19 海陆分布对气压带的影响及季风环流_9.2025地理总复习_赠品通用版(老高考)复习资料_一轮复习
2023年高考地理一轮复习(全国版)必修1第3章第3讲课时19 海陆分布对气压带的影响及季风环流_9.2025地理总复习_赠品通用版(老高考)复习资料_一轮复习
2023年高考地理一轮复习(全国版)必修1第3章第3讲课时19 海陆分布对气压带的影响及季风环流_9.2025地理总复习_赠品通用版(老高考)复习资料_一轮复习
2023年高考地理一轮复习(全国版)必修1第3章第3讲课时19 海陆分布对气压带的影响及季风环流_9.2025地理总复习_赠品通用版(老高考)复习资料_一轮复习
2023年高考地理一轮复习(全国版)必修1第3章第3讲课时19 海陆分布对气压带的影响及季风环流_9.2025地理总复习_赠品通用版(老高考)复习资料_一轮复习
2023年高考地理一轮复习(全国版)必修1第3章第3讲课时19 海陆分布对气压带的影响及季风环流_9.2025地理总复习_赠品通用版(老高考)复习资料_一轮复习
2023年高考地理一轮复习(全国版)必修1第3章第3讲课时19 海陆分布对气压带的影响及季风环流_9.2025地理总复习_赠品通用版(老高考)复习资料_一轮复习
2023年高考地理一轮复习(全国版)必修1第3章第3讲课时19 海陆分布对气压带的影响及季风环流_9.2025地理总复习_赠品通用版(老高考)复习资料_一轮复习
2023年高考地理一轮复习(全国版)必修1第3章第3讲课时19 海陆分布对气压带的影响及季风环流_9.2025地理总复习_赠品通用版(老高考)复习资料_一轮复习

文档信息

文档格式
docx
文档大小
1.077 MB
文档页数
9 页
上传时间
2026-03-11 17:46:36

文档内容

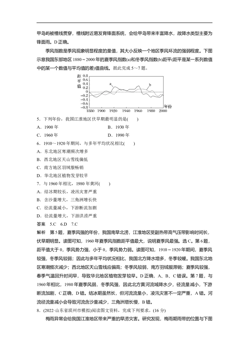
课时 19 海陆分布对气压带的影响及季风环流 一、海陆分布对气压带的影响 1.1月份气压中心分布与冬季风 气压中心M是亚洲(蒙古—西伯利亚)高压,其切断了副极地低气压带。 2.7月份气压中心分布与夏季风 气压中心N是亚洲低压,其切断了副热带高气压带。 二、东亚季风环流1.概念 海陆上气压中心的季节变化,引起一年中盛行风向随季节有规律地变换,形成季风。 2.成因 (1)海陆热力性质差异 (2)气压带、风带的季节移动:信风越过赤道,受地转偏向力的影响,风向改变。例如:南 亚夏季的西南季风是东南信风向北越过赤道,在地转偏向力的作用下向右偏转而形成的,与 之类似的是澳大利亚北部1月份的西北季风,是东北信风向南越过赤道,在地转偏向力的作 用下向左偏转而形成的。 3.东亚季风和南亚季风的比较 项目 东亚季风 南亚季风 季节 冬季 夏季 冬季 夏季 风向 西北风 东南风 东北风 西南风 蒙古、西伯利亚 源地 蒙古、西伯利亚 太平洋 印度洋 (亚欧大陆内部) 海陆热力性质差异及气压 成因 海陆热力性质差异 带、风带的季节移动 温带:寒冷干燥 性质 亚热带:温和少 炎热多雨 温暖干燥 高温高湿 雨 比较 冬季风强于夏季风 夏季风强于冬季风 印度半岛、中南半岛、我国 分布地区 我国东部、朝鲜半岛、日本等 西南地区等 气候类型 亚热带季风气候、温带季风气候 热带季风气候 对农业生 有利 雨热同期 产的影响 不利 旱涝、寒潮等灾害 旱涝灾害 (海南地理)下图所示半岛夏季沿海地区气温可达46 ℃,内陆则高达49 ℃。读图,完成1~2题。 1.该半岛夏季干热的主要原因是( ) A.沿岸暖流的增温作用 B.受干热的西北风影响 C.背风坡增温效应较强 D.受干热的西南风影响 2.该半岛耕地灌溉水源主要来自( ) A.河流水 B.冰雪融水 C.地下水 D.湖泊 图示区域为阿拉伯半岛东南部,是深入到波斯湾和阿曼湾之间的穆桑达姆半岛,地扼波斯湾 通往印度洋的要道霍尔木兹海峡。半岛顶端是阿曼的一块飞地,其余部分属阿拉伯联合酋长 国。 西南季风的形成及性质。 本题组主要考查学生运用地图信息认知“地理区域”的能力。即通过纬度位置、海陆分布、 地形等地理信息判断气候类型、气候特点及气候对生产、生活的影响。 第1题 该区域绝大部分位于北纬24°~26°之间,当北半球夏季气压带、风带整体北移 时,源自南半球的东南信风越过赤道,在地转偏向力的作用下形成西南风,再经索马里 沙漠和阿拉伯半岛,被强烈增温减湿,形成干热大陆风。 第2题 首先,从气候角度看,大气降水除去蒸发损耗后,剩余水量才会形成地表径流 ——河流与湖泊,图示区域为热带沙漠气候,年蒸发量是年降水量的几倍至几十倍,大 气降水不可能形成地表径流。其次,该地地处热带,夏季气温高,根据图中等高线可知 该地无高大山脉,不存在高山永久性积雪。因此其耕地灌溉水源主要来自地下水。 答案 1.D 2.C下图为陆地(用110°E代表)与海洋(用160°E代表)气压梯度(大陆气压与海洋气压之差, 单位:hPa)的时空分布状况。其中,图甲表示多年平均情况,图乙表示某年情况。读图,完 成1~3题。 1.从多年平均状况看,40°N附近冬季风影响时间为( ) A.3个月 B.6个月 C.7个月 D.8个月 2.从多年平均状况看,下列月份中50°N风力最小的时间是( ) A.4月 B.5月 C.7月 D.11月 3.图乙年份,我国主要表现为( ) A.冬季气温偏高 B.夏季气温偏高 C.降水南涝北旱 D.降水南旱北涝 答案 1.C 2.B 3.C 解析 第1题,明确图中数字为大陆气压与海洋气压之差,如果为“+”,说明陆地气压高 于海洋,陆地为高压,盛行冬季风;结合图甲,可知40°N气压为“+”共7个月,说明该 地冬季风影响时间为7个月。第2题,图甲中,陆地与海洋气压差为0时,正好是冬季风与 夏季风转换时期,此时风力最小;图示50°N附近每年5月、9月气压差约为0。第3题,图 乙与图甲相比,冬季气压差增大,说明冬季风增强,气温偏低;夏季气压差减小,说明夏季 风减弱,则雨带位置偏南,会导致南方降水增多、北方降水减少,呈现南涝北旱态势。 下图为“亚洲东部(115°E以东)多年平均南、北风向在各纬度上的季节变化图”,箭头 长短代表风力大小。完成4~5题。4.影响图中曲线分布最北端纬度位置高低的主要因素是( ) A.亚洲高压 B.冰岛低压 C.阿留申低压 D.副热带高压 5.关于亚洲东部冬、夏季风特征的描述,正确的是( ) A.夏季风影响范围更广 B.冬季风强盛时间更长 C.夏季风北进快于南退 D.冬季风影响不到海南岛 答案 4.D 5.B 解析 第4题,亚洲东部(115°E以东)为季风气候,夏季风为偏南风,读图可知,图中曲线 为南风北界,即夏季风的北界,夏季风北界的南北移动是由西太平洋高压(副热带高气压带 在太平洋西部的分支)势力强弱、南北进退位置决定的,因此影响图中曲线分布最北端纬度 位置高低的主要因素是副热带高压,与亚洲高压、冰岛低压、阿留申低压关系不大,D符合 题意,排除A、B、C。第5题,与冬季风相比,亚洲东部夏季风影响范围仅限于离海洋不 远的地区,影响范围较小,A错误;亚洲东部夏季风大致4~5月份开始登陆,7~8月到达 最北位置,北进时间为3~4个月,夏季风10月退出大陆,南退时间约2个月,故B对、C 错误;东亚季风的冬季风势力强劲,可以影响海南岛,D错误。 课时精练 下图为“30°N亚洲大陆和太平洋之间的气温、气压分布图”,A对应亚洲大陆,B对 应太平洋,其中①为5 500米等高面,②为1月份500 hPa等压面,③为7月份500 hPa等压 面。据此完成1~2题。 1.关于图中 A、B气温、气压判断正确的是( )A.1月份:T >T A B B.1月份:P >P A B C.7月份:P <P A B D.气温年较差:ΔT >ΔT A B 2.7月份A、B间的风向为( ) A.正西风 B.西北风 C.正北风 D.东南风 答案 1.D 2.C 解析 第1题,由图文资料可知,A对应亚洲大陆,B对应太平洋,其中①为5 500米等高 面,②为1月份500 hPa等压面,③为7月份500 hPa等压面。1月份北半球为冬季,陆上气 温低于同纬度的海洋,T <T ,A错。同样,冬季陆地近地面气压高于海洋,高空则相反, A B A、B位于5 500米等高面,属于高空,故P <P ,B错。7月份北半球为夏季,陆地近地面 A B 气压低于海洋,高空则相反,故P >P ,C错。受海陆热力性质差异的影响,气温年较差海 A B 洋低于陆地,即ΔT >ΔT ,D正确。第2题,7月份北半球为夏季,在近地面气压梯度力由 A B 海洋指向陆地(指向西),A、B位于高空,所以A、B间的气压梯度力与近地面相反指向东 高空不考虑地面摩擦力,风向可大致右偏90°,与等压线平行,风向最终指向正南,为北风, 故选C。 下图为“世界某岛屿(甲)及附近地区海平面等压线分布图”。据此完成3~4题。 3.控制甲岛屿的气压中心属于( ) A.西伯利亚高压的延伸部分 B.夏威夷高压的延伸部分 C.极地高气压带的一部分 D.副极地低气压带的一部分 4.图示时期,甲岛屿降水较多,其降水类型主要为( ) A.台风雨 B.地形雨 C.对流雨 D.锋面雨 答案 3.D 4.D 解析 第3题,由经纬度、等压线和槽线等信息判断,甲岛正值阿留申低压控制,阿留申低 压为副极地低气压带被陆地冷高压切断后保留在海洋上的低压中心。故 D正确。第4题,甲岛屿被槽线贯穿,槽线附近易发育锋面系统,会给甲岛带来丰富降水,故降水类型主要为 锋面雨。D正确。 季风指数是季风现象明显程度的量值,其大小反映一个地区季风环流的强弱程度。下图 示意我国东部地区1880~2000年的夏季风指数(a)和冬季风指数(b)距平(距平是某一系列数值 中的某一个数值与平均值的差)值曲线。据此完成5~7题。 5.下列年份,我国江淮地区伏旱期最明显的是( ) A.1900年 B.1930年 C.1960年 D.1990年 6.1910~1920年期间,与多年平均状况相比( ) A.东北地区寒潮频次增多 B.西北地区天山雪线偏低 C.南方地区羽绒服畅销 D.华北地区植物发芽较早 7.与1960年相比,1980年黄河( ) A.结冰期较长,凌汛灾害严重 B.含沙量增大,三角洲增长快 C.径流量减小,下游断流加剧 D.径流量增大,下游洪涝严重 答案 5.C 6.D 7.C 解析 第5题,夏季风强的年份,我国南旱北涝,江淮地区受副热带高气压带影响时间长, 伏旱期明显。读图可知,1960年夏季风指数距平值最大,说明夏季风最强。选C。第6题, 距平值大于0,季风势力强,小于0,季风势力弱。读图可知,1910~1920年期间,夏季风 较强,冬季风较弱;因此与多年平均状况相比,我国北方降水增多,冬季较暖。我国东北地 区寒潮频次减少;西北地区天山雪线应偏高;冬季风较弱,南方羽绒服滞销;夏季风较强, 春季气温回升时间早,导致华北地区植物发芽较早。D正确,A、B、C错误。第7题,与 1960年相比,1980年夏季风弱,冬季风强,因此北方黄河流域降水少,径流量减小,下游 断流加剧,C正确,D错。结冰期虽然长,但河流流量小,凌汛灾害不一定严重,A错。河 流径流量减小会导致河流含沙量减少,三角洲增长慢,B错。 8.(2022·山东省滨州市模拟)阅读图文资料,完成下列要求。(16分) 梅雨异常会给我国江淮地区带来严重的旱涝灾害。研究发现,梅雨期雨带的位置与下图中A气压中心密切相关,而降水强度往往与 B气压中心的发展有一定联系。A气压中心是 一个永久性存在于太平洋之上且自下而上的深厚气压系统,范围一般采用588百帕等压线包 围的区域为代表。B气压中心是从地面至6 000米高空的一个暂时性冷气柱,在其活动期间, 能够引起北方干冷空气南侵。下面两图分别为梅雨期B气压中心形成后部分区域的平均气 压分布图和江淮地区平均雨量逐日演变图。 (1)解释A气压中心的形成原因。(6分) (2)描述B气压中心形成后江淮地区降水量的变化。(6分) (3)说明B气压中心活动影响江淮地区降水强度变化的过程。(4分) 答案 (1)A地所在纬度分布有副热带高气压带;受海陆热力性质差异影响,夏季陆地气温 较海洋高,形成热低压;副热带高气压带被陆地热低压切断,副热带高气压保留在海洋上, 即A气压中心。 (2)B气压中心形成后,当日和次日江淮地区降水量变化小(小幅增加),两天后降水量明显增 多,随后降水量逐渐减少。 (3)B气压中心形成后,利于北方干冷空气南侵,约两天后到达江淮地区;增强江淮地区(准 静止锋北侧)冷气团强度,利于暖湿气团抬升,降水强度增大;随着B气压中心强度减弱, 冷气团势力减弱,降水强度减弱。解析 (1)A为气压中心,且为高压中心,结合图示纬度信息以及所学地理知识可知,A地 所在纬度上分布有副热带高气压带,其气压应呈带状分布,但由于受海陆热力性质差异影响, 夏季,陆地升温快,近地面气温较海洋高,盛行上升气流,近地面形成热低压,使得副热带 高气压带被陆地热低压切断,高气压仅保留在海洋上,形成气压中心,即是图中的 A气压 中心。(2)注意对平均雨量图信息的解读。读图可知,B气压中心形成后,江淮地区当日和 次日降水量有小幅度的增加,但变化不是很大,但是两天后降水量明显增多,再之后降水逐 渐减少。(3)结合材料信息可知,B气压中心是从地面至6 000米高空的一个暂时性冷气柱, 在其活动期间,能够引起北方干冷空气南侵。首先,该气压中心为暂时性冷气柱,冷气流下 沉,近地面冷高压势力增强,推动北方冷空气南下,而B气压中心与江淮地区在空间上有 一定的距离,冷空气到达江淮地区需要一定的时间,结合图示信息推断该时间大约 2天左右, 这期间江淮地区降水变化幅度不大。当冷空气到达江淮地区后,江淮准静止锋北侧冷气团势 力强,有利于抬升南侧的暖湿空气,暖湿空气抬升,降水强度增大,所以江淮地区的降水明 显增多。由于B气压中心为暂时性冷气柱,其持续时间不长,随着其势力减弱,冷气团的 势力减弱,降水强度也逐渐减弱。