当前位置:首页>文档>题型04图表分析(原卷版)_02中考总复习(2026版更新中)_08-生物-中考总复习_2024年中考复习资料_专项复习_备战2024年中考生物真题题源解密

题型04图表分析(原卷版)_02中考总复习(2026版更新中)_08-生物-中考总复习_2024年中考复习资料_专项复习_备战2024年中考生物真题题源解密

  • 2026-04-12 09:53:15 2026-03-13 00:52:37

文档预览

题型04图表分析(原卷版)_02中考总复习(2026版更新中)_08-生物-中考总复习_2024年中考复习资料_专项复习_备战2024年中考生物真题题源解密
题型04图表分析(原卷版)_02中考总复习(2026版更新中)_08-生物-中考总复习_2024年中考复习资料_专项复习_备战2024年中考生物真题题源解密
题型04图表分析(原卷版)_02中考总复习(2026版更新中)_08-生物-中考总复习_2024年中考复习资料_专项复习_备战2024年中考生物真题题源解密
题型04图表分析(原卷版)_02中考总复习(2026版更新中)_08-生物-中考总复习_2024年中考复习资料_专项复习_备战2024年中考生物真题题源解密
题型04图表分析(原卷版)_02中考总复习(2026版更新中)_08-生物-中考总复习_2024年中考复习资料_专项复习_备战2024年中考生物真题题源解密
题型04图表分析(原卷版)_02中考总复习(2026版更新中)_08-生物-中考总复习_2024年中考复习资料_专项复习_备战2024年中考生物真题题源解密
题型04图表分析(原卷版)_02中考总复习(2026版更新中)_08-生物-中考总复习_2024年中考复习资料_专项复习_备战2024年中考生物真题题源解密
题型04图表分析(原卷版)_02中考总复习(2026版更新中)_08-生物-中考总复习_2024年中考复习资料_专项复习_备战2024年中考生物真题题源解密
题型04图表分析(原卷版)_02中考总复习(2026版更新中)_08-生物-中考总复习_2024年中考复习资料_专项复习_备战2024年中考生物真题题源解密
题型04图表分析(原卷版)_02中考总复习(2026版更新中)_08-生物-中考总复习_2024年中考复习资料_专项复习_备战2024年中考生物真题题源解密
题型04图表分析(原卷版)_02中考总复习(2026版更新中)_08-生物-中考总复习_2024年中考复习资料_专项复习_备战2024年中考生物真题题源解密
题型04图表分析(原卷版)_02中考总复习(2026版更新中)_08-生物-中考总复习_2024年中考复习资料_专项复习_备战2024年中考生物真题题源解密
题型04图表分析(原卷版)_02中考总复习(2026版更新中)_08-生物-中考总复习_2024年中考复习资料_专项复习_备战2024年中考生物真题题源解密
题型04图表分析(原卷版)_02中考总复习(2026版更新中)_08-生物-中考总复习_2024年中考复习资料_专项复习_备战2024年中考生物真题题源解密
题型04图表分析(原卷版)_02中考总复习(2026版更新中)_08-生物-中考总复习_2024年中考复习资料_专项复习_备战2024年中考生物真题题源解密
题型04图表分析(原卷版)_02中考总复习(2026版更新中)_08-生物-中考总复习_2024年中考复习资料_专项复习_备战2024年中考生物真题题源解密
题型04图表分析(原卷版)_02中考总复习(2026版更新中)_08-生物-中考总复习_2024年中考复习资料_专项复习_备战2024年中考生物真题题源解密
题型04图表分析(原卷版)_02中考总复习(2026版更新中)_08-生物-中考总复习_2024年中考复习资料_专项复习_备战2024年中考生物真题题源解密
题型04图表分析(原卷版)_02中考总复习(2026版更新中)_08-生物-中考总复习_2024年中考复习资料_专项复习_备战2024年中考生物真题题源解密
题型04图表分析(原卷版)_02中考总复习(2026版更新中)_08-生物-中考总复习_2024年中考复习资料_专项复习_备战2024年中考生物真题题源解密
题型04图表分析(原卷版)_02中考总复习(2026版更新中)_08-生物-中考总复习_2024年中考复习资料_专项复习_备战2024年中考生物真题题源解密

文档信息

文档格式
docx
文档大小
1.765 MB
文档页数
21 页
上传时间
2026-03-13 00:52:37

文档内容

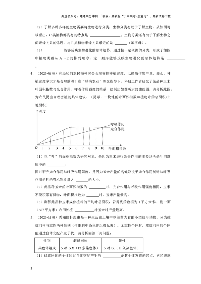
关注公众号:陆陆高分冲刺 ~领取:最新版“小中高考-总复习”、最新试卷下载 题型 04 图表分析 1.(2023•湘潭)“稻花香里说丰年,听取蛙声一片”,水稻是南方的主要粮食作物。图 一表示某稻田生态系统食物网简图,图二表示该生态系统中部分成分之间的关系(A、 B、C表示生物成分;甲、乙之间存在捕食关系,饼状图表示甲、乙体内有机物的相对 含量)。请据图回答: (1)图一所示的食物网包含的生物成分有 。 (2)该生态系统以水稻为主,动植物种类相对较少,其生态系统的 较 弱。 (3)图二中包含的食物链是 (用字母、甲、乙和箭头表示),其中甲对 应图一中的 。 (4)生态学家为研究三种蜘蛛捕食叶蝉(水稻害虫)的能力,用含有铕元素(这种元 素在生物体内是难以分解、无法排出的)的泥土培育水稻,然后测定稻田中三种蜘蛛体 内铕的含量。其实验结果如下表所示,由此你认为选择 来治理水稻害虫叶 蝉最合理。 每百头蜘蛛鲜重中的铕含量(微克) 锥腹肖蛸 拟水狼蛛 食虫沟瘤蛛 10.44 20.17 3.21 2.(2023•重庆)蜜蜂在中国文化中是勤劳的象征。草莓素有“水果皇后”之美称,营养 丰富,深受消费者喜爱。在大棚封闭环境中生产草莓时,出现了产量低等情况,于是科 研人员通过引蜂入棚开展了系列研究。回答问题: (1)据图判断蜜蜂属于无脊椎动物中的 动物,它经历了卵→幼虫→蛹→成 虫四个阶段,属于 (填“完全”或“不完全”)变态发育。 (2)科研人员将同一地块的10个草莓大棚均分为A、B两组,在开花初期A组每棚放 1关注公众号:陆陆高分冲刺 ~领取:最新版“小中高考-总复习”、最新试卷下载 入1箱蜂群,B组未放蜂群作为对照组,两组均保持管理模式、草莓品种等实验条件一 致,结果如下: 实验分组及处理方式 平均亩产量(Kg) A组:蜜蜂传粉 826.2 B组:无蜜蜂传粉 613.3 比较表中数据,A组草莓的 明显提高,说明蜜蜂取食花蜜的行为促进了 草莓的传粉,该行为属于 (填“先天性”或“学习”)行为。 (3)在上述实验基础上,科研人员增加了另一种蜂群——熊蜂,再进行了如下表所示 结果的探究: 实验分组及处理方式 平均亩产量(Kg) C组:熊蜂传粉 1113.9 D组:蜜蜂传粉 825.0 据表中数据,请写出科研人员做这个实验时探究的问题是 。 3.(2023•威海)如图表示按一定分类依据对某湿地生态系统中植物进行的分类,请借此 阐释生物进化、生物多样性,生物分类之间的关系。(图中A~E均表示植物类群) (1)经过漫长的 历程形成了多种多样的生物,湿地是生物多样性最为丰富 的生态系统,包含了植物各个主要类群,其中B为 植物。这些植物类群中的 各种生物都有着共同祖先。 2关注公众号:陆陆高分冲刺 ~领取:最新版“小中高考-总复习”、最新试卷下载 (2)了解多种多样的生物需要将生物进行分类,生物分类有助于了解生物,从如图可 以看出,C类植物都具有的特点是 ;生物分类还有助于了解生物之 间亲缘关系的远近,与E类植物亲缘关系最近的是 (填字母)。 (3) 能够反映生物进化的总体趋势。通过按一定依据的分类,形成了如图 中植物类群从 A~E 的排列顺序,这一顺序能够反映生物进化的总体趋势是 。 4.(2023•威海)有经验的农民播种时会合理安排种植密度,以提高作物产量,那么,种 植密度多大才是合理的呢?在“精确农业”理念指导下,科研工作者研究了某品种玉米 叶面积指数与光合作用、呼吸作用强度的关系,绘制出如图所示的曲线图。请分析此图, 为农民提出合理密植的具体建议。(提示:一块地的叶面积指数=植物叶的总面积/土 地面积) (1)以“叶”的面积指数为研究对象,是因为玉米进行光合作用的主要场所是叶肉细 胞中的 ; 同时研究光合作用与呼吸作用强度,是因为玉米产量的高低取决于光合作用制造与呼吸 作用消耗的有机物质量之 的大小。 (2)此品种玉米的叶面积指数为 时,光合作用与呼吸作用强度相同,玉米 不能积累有机物,叶面积指数为 时,玉米产量最高。 (3)测算此品种玉米成熟植株的平均叶总面积,若得到的数据为1平方米/株,则一面 (667平方米)农田种植 株玉米时产量最高。 5.(2023•日照)秀丽隐杆线虫是一种生活在土壤中以细菌为食的小型线形动物。分为雌 雄同体与雄性两种性别(体细胞中染色体组成见表)。无雄性个体时,雌雄同体的个体 能通过自体交配产生子代,请分析回答下列问题: 性别 雌雄同体 雄性 染色体组成 5对+XX(12条染色体) 5对+X(11条染色体) (1)雌雄同体的个体通过自体交配产生的 是其个体发育的起点,再经细胞 3关注公众号:陆陆高分冲刺 ~领取:最新版“小中高考-总复习”、最新试卷下载 的 发育成具有约1000个细胞的成虫,成虫的性别为 。 (2)雄性成虫形成生殖细胞时,X染色体随机分配,其产生的精子含有 条 染色体。若一雄性个体的X染色体上存在某种显性基因,而雌雄同体的X染色体上无该 显性基因,该雄性个体与雌雄同体的个体交配产生的子代中,具有该种显性性状个体的 性别为 ,不具有该显性性状的个体性别为 。 (3)秀丽隐杆线虫个体很小、繁殖速度快、生命周期短,是科研常用的模式动物。研 究人员配制了不同浓度的白藜芦醇(RES)溶液,添加在基本培养基中以研究白藜芦醇 对秀丽隐杆线虫寿命的影响,实验结果如表所示: 组别 RES浓度 线虫条数 平均寿命(天) 1 0mg/L 30 19.78 2 20mg/L 31 22.66 3 40mg/L 32 26.13 4 60mg/L 30 31.72 5 80mg/L 30 25.39 请分析:白藜芦醇(RES)的浓度为80mg/L时,能 (选填“缩短”或“延 长”)秀丽隐杆线虫的寿命,理由是 。 6.(2023•兰州)生态养殖小蚯蚓,蠕动绿色大发展。东营市瑶光生态农业公司通过养殖 蚯蚓集中处理生活垃圾,打造了生态农业的典范,如图为其农业生态系统简图。 (1)蚯蚓俗称“地龙”,属于环节动物,身体由许多体节构成;虾属于节肢动物,身 体也由许多体节组成。蚯蚓和虾在体节上的区别是 。 (2)蚯蚓生命活动所需的能量来自生活垃圾中的 。(填“有机物”或“无 机物”) (3)生活垃圾中的细菌和真菌属于生态系统中的 ,它们通过呼吸作用把有 机物中的碳转换为二氧化碳返回空气中。 (4)有机肥在土壤中转化为含氮、含磷的多种无机盐,经过农作物的根吸收后,由植 物的 拉动,向上运输到茎和叶。若缺少含氮的无机盐,植株就不能正常生 长,会出现 症状。 (5)该农业生态系统最终的能量来源是 。 (6)蚓体富含动物蛋白,是优质的蛋白质饲料, 是蛋白质的基本组成单位。 (7)在生活中,有的人吃了虾以后,会出现腹痛、呕吐或皮肤奇痒难耐等现象,这是 由于 引起的过敏反应。 4关注公众号:陆陆高分冲刺 ~领取:最新版“小中高考-总复习”、最新试卷下载 7.(2023•兰州)地处黄河故道的河口区新户镇发挥花生种植的传统优势,近几年选用 “小青花9号小花生”和“花育16号大花生”等耐盐碱、出米率高、出油率高的新品 种,实行机械化耕作,实现产业升级,助力乡村振兴,让“小花生”有了“大舞台”。 (1)花生的根瘤(如图)中,有能够固氮的根瘤菌,根瘤菌将空气中的氮转化为植物 能吸收的含氮物质,植物为根瘤菌提供有机物。根瘤菌与花生之间的关系称为 。 (2)光是影响花生光合作用效率的主要因素。如图是在25℃不同光照强度条件下,花 生光合作用速率的变化曲线。据图分析,光照强度最适宜的范围是 。 光照强度过高时,光合作用反而下降,是因为 。 (3)花生经传粉受精后,子房下部迅速伸长形成子房柄,子房柄连同其前端的子房合 称果针。果针的形成需要大量含钙无机盐。无机盐只有 才能被花生的根 吸收。 (4)果针顶端由木质化的表皮细胞组成一个“帽状物”保护子房进入土壤,子房慢慢 变大发育成花生的果实。谜语称“麻屋子”里面住着“白胖子”,“白胖子”由花的哪 一部分发育而来? 5关注公众号:陆陆高分冲刺 ~领取:最新版“小中高考-总复习”、最新试卷下载 (5)花生种子出油率高,富含脂肪,你如何用简单的方法进行检测? 8.(2023•枣庄)科研人员对稻鸭鱼立体养殖农场中的四类生物体内的食物成分进行了调 查,结果如下表所示。 生物种类 消化道内食物成分 鸭子 小鱼,小虾、杂草、水稻 杂草、水稻 \ 小鱼 小虾、杂草、水稻 小虾 杂草、水稻 生物体内的食物成分进行了调查,结果如表所示。 (1)若将该农场看作一个生态系统,杂草、水稻属于生物成分中的 ,组成 该生态系统的生物成分除了表中的组成外还缺少 。 (2)分析表中各生物消化道中的食物成分,该生态系统中最长的食物链是 ,在最短的食物链中,鸭子属于第 营养级。 (3)该生态系统中能量的源头是 。小鱼的能量难以被鸭子完全利用,原因 是 。(写出1点) (4)鸭子以杂草、稻叶等为食,鸭子的粪便进入土壤经分解后可被植物利用,这体现 了生态系统的 功能。该立体养殖农场与普通农田相比,优点有 。(写出1点) 9.(2023•枣庄)青春期是身体发育和心智发展的黄金时期。合理的营养和适度的体育锻 炼能促进人体新陈代谢,保证身体正常发育。如图是人体部分生理活动示意图(字母表 示系统,数字表示生理过程)。 (1)①表示 (填气体名称)的扩散过程,[D] 系统中运输该气体 的血细胞是 。 (2)食物中脂肪成分在C系统中最终被消化成 ,经过⑤过程进入D系 统,进行该过程的主要场所是 。 6关注公众号:陆陆高分冲刺 ~领取:最新版“小中高考-总复习”、最新试卷下载 (3)人体排出代谢废物包括三条途径,除通过皮肤外,另外两条途径通过 完成。(填字母) (4)养成良好的生活和行为习惯,有助于身心健康发展,你认为健康的生活习惯有哪 些? 。(写出2点) 10.(2023•临沂)2023年4月29日,备受市民关注的“水韵琅琊”部分项目开始试运营, “点靓沂河”是“水韵琅琊”的一个片区。某学校生物兴趣小组到沂河开展研学旅行, 研究了局部生态系统后,用表格绘制出部分生物之间的食物关系(用“√”表示)。如 图表示该局部生态系统物质循环(二氧化碳)的示意图。请分析回答。 食物关系 鱼 螺蛳 水藻 白鹭 √ 鱼 √ √ 螺蛳 √ (1)表格中所列的生物,代表的生态系统组成成分的生物部分还不完整,缺少的成分 是 。 (2)表格所列4种生物构成的食物网中,鱼与螺蛳的关系是 。 (3)若图中的a、b、c代表表中具有食物关系的三种生物,则c代表 。 (4)图中的甲通过生理过程 (填数字),不断消耗大气中的二氧化碳,又将 氧气排放到大气中,有效地维持了生物圈中的 平衡。 (5)近年来,随着沂河生态环境持续明显向好,生物种类明显增加。所以,保护生物 的栖息环境,保护 的多样性,是保护生物多样性的根本措施。 11.(2023•东营)玉米被称为“食物中的黄金”,不仅由于灿黄如金,更重要的是在所有 主食中营养价值和保健作用也是最高的。请分析答复: (1)在适宜的条件下,玉米种子开始萌发, 逐步发育成幼苗。 (2)玉米地里出现了几株白化苗,这在生物学上称作变异,是由 的改变 引起的。 7关注公众号:陆陆高分冲刺 ~领取:最新版“小中高考-总复习”、最新试卷下载 (3)玉米幼苗在阳光照耀下渐渐长大,实验小组的探究活动也陆续展开。 ①探究一:玉米叶片对不同颜色光的利用率相同吗? 将在黑暗中放置一昼夜的玉米叶片,平均分为四块,放在不同的试管中,在其他条件相 同的情况下,按下表进行实验。光照一段时间后(叶绿体中的色素对红光和蓝紫光的吸 收量最大),脱去叶绿素,滴加碘液。 试管编号 1 2 3 4 光照 白光 红光 蓝紫光 绿光 滴加碘液 1滴 1滴 1滴 1滴 请预测, 号试管内的叶片颜色最浅。 ②探究二:二氧化碳是玉米进行光合作用的原料吗? 实验小组的同学设计了图1所示的实验装置(该装置中隔板与无色透明钟罩之间,隔板 中央小孔与玉米植株之间都用凡士林密封),请帮助他们完善实验。 (4)幼苗生长50天左右,植株开始抽花丝了。[1]是 ,玉米的花没有艳丽 的色彩和芳香的气味,需借助风力进行传粉,其传粉方式 。 (5)一个多月后,玉米成熟了。糖类、蛋白质等营养物质主要贮存在玉米种子的 中;玉米含有丰富的胡萝卜素,经常食用可有效预防 。 (6)从严格意义上讲,一粒玉米粒就是一个果实,由 发育而来。 12.(2023•东营)“健康是金,如果一个人失去了健康,那么他所拥有的和正在创造并即 将拥有的统统为零!”世界卫生组织提出了健康的四大基石:合理膳食、适量运动、戒 烟限酒、心理平衡。请据图1“平衡膳食宝塔”回答: 8关注公众号:陆陆高分冲刺 ~领取:最新版“小中高考-总复习”、最新试卷下载 (1)位于“膳食宝塔”最底层(第一层)的谷类主要成分是淀粉,在消化道内 消化液的作用下分解为葡萄糖。 (2)青少年正处在生长发育的关键时期,每天需多吃“膳食宝塔” 层食物。 (3)图中阳光男孩跑步动作的完成,是因为骨骼肌受到神经传来的兴奋刺激后收缩, 并产生一定的拉力,牵动 产生的。 (4)男孩跑步时下肢骨骼肌活动需要更多的氧气,外界氧气通过血液循环运往下肢骨 骼肌细胞的过程中,经过下列结构的顺序是 (填写序号) ①左心室 ②肺静脉 ③主动脉 ④左心房 ⑤下肢动脉 (5)运动时消耗的能量来源于食物,食物所含能量的多少可以用食物燃烧放出的热能 使水温升高的方法来测定。为了测定不同食物所含能量的多少,某同学设计了图2所示 装置。 表中是他的实验记录。 食物名称 花生仁 黄豆 核桃仁 大米 质量(克) 20 20 m 20 水(毫升) 30 30 30 30 温度上升(℃) 2.2 1.4 3.1 1.3 ①实验中,m的数值应该为 。 ②已知1毫升水每升高1℃需吸收4.2焦的热能,计算可知 1克黄豆所含的能量是 焦。 ③事实上,实验所测出的食物的热价与它的实际热价相差很大,请分析原因 9关注公众号:陆陆高分冲刺 ~领取:最新版“小中高考-总复习”、最新试卷下载 。 (6)长期酗酒会损伤心脏和血管,导致心血管疾病;长期吸烟也会危害人体健康,请 你运用所学知识谈谈吸烟的危害。(不少于两条) 。 (7)良好的情绪和适度的情绪反映,是身心处于积极健康状态的表现。遇到挫折或不 顺心的事情时,可以采取下列 方式调节情绪。 ①有意识地转移话题分散注意力 ②砸课桌发泄不满 ③向亲人倾诉或大哭一场 ④找一个适当的理由自我安慰 ⑤自我封闭与压抑。 13.(2023•襄阳)山水林田湖草沙是一个生命共同体。图一为某林地中能量流动示意图, 虚线方框内表示该生态系统的生物部分;图二为碳循环示意图。请回答下列问题: (1)根据图一可以看出,生态系统中的能量是 (选填“单向”或“双 向”)流动的。 (2)写出图一中的一条食物链: 。(用图中字母和箭头表示) (3)动物属于图二中的 (选填“甲”或“乙”或“丙”)。 (4)“林”和“草”泛指不同的生态系统。一般情况下,森林生态系统比草原生态系 统的自动调节能力更 一些。 (5)森林能净化空气,有“地球之肺”之称,这说明生物能 环境。 (6)古代的蕨类植物经过漫长的年代变成了煤。蕨类植物具有 (器官) 的分化。 (7)我国努力争取2060年前实现“碳中和”。“碳中和”是指在一定区域内二氧化碳 的收支相抵,即二氧化碳的排放量与吸收量相当。图二中①~⑤表示各过程中二氧化碳 的量,用图中序号列出表示“碳中和”的等式: 。 14.(2023•长沙)如图从呼吸、运动和生殖三个方面对鲫鱼(鱼类)和蜥蜴(爬行动物) 进行了比较,据图回答: 10关注公众号:陆陆高分冲刺 ~领取:最新版“小中高考-总复习”、最新试卷下载 (1)补充相关内容:① ,② ,③ 。 (2)蜥蜴的卵外有坚韧的 ,具有保护作用,并能减少水分的丢失。 (3)在生物进化的历程中,鱼类与爬行动物之间有一个过渡类群,为 动物。 15.(2023•潍坊)水稻田是典型的人工湿地,也是众多野生动物的栖息场所。除藻类、水 稻、鱼和微生物外,人们在水稻田里还放养青蛙、泥鳅、黄鳝等动物,并围绕水稻田栽 种植物,供鸟类栖息、迁徙等。 (1)某同学根据生态系统的概念认为水稻田是一个生态系统,其判断依据是 。水稻田成为鸟类迁徙、栖息的好地方,从行为获得的途径来看,鸟类的迁徙行为属于 。 (2)人们在水稻田放养的青蛙在生态系统组成成分中属于 。在水稻田放养 动物的目的有 。 A.延长食物链,提高能量传递效率 B.加强生物防治,控制有害生物 C.复杂食物网,实现能量循环利用 D.增加物种数目,提高自我调节能力 (3)生态系统的能量流动是指生态系统中能量 的过程。只考虑水 稻、杂草和鱼三者之间构成的食物网,若水稻固定的太阳能为a,杂草固定的太阳能为 b,鱼体内的化学能为c,鱼呼吸作用消耗的能量为d,鱼流入分解者的能量为e,则能 量 由 第 一 营 养 级 流 入 第 二 营 养 级 的 传 递 效 率 可 以 表 示 为 ×100%。 (4)若稻农在水稻田中放养了甲、乙、丙、丁4种鱼,已知这4种鱼既有草食性,又 有杂食性和肉食性的鱼,且它们之间存在捕食关系。一段时期后,经测量鱼体内物质 (生物体吸收后难以通过代谢排出体外)X、Y、Z的含量(ng•g﹣1)如下表所示。 甲 乙 丙 丁 X 7.5 14.2 13.9 27.8 Y 25.1 66.3 68.1 109.1 Z 16.3 51.6 50.2 139.0 11关注公众号:陆陆高分冲刺 ~领取:最新版“小中高考-总复习”、最新试卷下载 据表分析,甲、乙、丙、丁4种鱼中,可能处于第二营养级的有 ,判断依据是 。 16.(2023•济南)人的多指是一种基因遗传病,如图是某家族该病的遗传系谱图,数字 1 ~12表示不同个体。若A表示控制显性性状的基因,a表示控制隐性性状的基因。请据 图分析回答下列问题: (1)亲代是多指,后代出现正常指,这种现象在生物学上称为 。 (2)在遗传学上,人的正常指和多指是一对 ;据图分析, 是显 性性状;10号个体的基因组成为 。 (3)4号个体的体细胞内有 条染色体,其性染色体组成为 。 (4)6号个体通过矫正手术恢复了手指的正常形态,他与5号个体再生一个正常指男孩 的概率是 。 (5)据图分析,下列每组个体之间基因组成可能不相同的是 (填字母)。 A.1和6 B.3和4 C.7和8 D.9和12 17.(2023•北京)柽(chēng)柳广泛分布于荒漠地区,对当地的防风固沙起到重要作用。 (1)如图所示,柽柳在形态结构、生殖方式等不同方面表现出对荒漠环境的适应。 ①叶特化成鳞片状,减小了叶面积,避免水分通过 作用大量散失;叶肉细胞 中具有较大的 (填结构名称),能够贮存水分。 ②发达的根系既利于从干旱的土壤中吸收水和 ,又能固定沙土。 ③可通过 (填“有性”或“无性”)生殖的方式从被沙层掩埋的枝条上长出 新植株。 (2)研究人员对柽柳防风固沙功能进行野外观测,结果如下表。 12关注公众号:陆陆高分冲刺 ~领取:最新版“小中高考-总复习”、最新试卷下载 与灌丛间的 迎风侧 背风侧 距离(米) 10 6 2 2 6 10 14 相对风速 100 92 83 24 68 82 100 (%) 注:a.相对风速指测量点风速占空旷地风速的百分比。 b.测量点风速为在柽柳灌丛高度的 处,距该灌丛不同距离迎风侧与背风侧的风速。 ①据表分析,为起到防风作用,种植柽柳的最大间距应为两侧相对风速达到 %时,所对应的距离之和。 ②随着柽柳的生长,落叶和沙层逐渐堆叠,形成如图所示的隆起沙包,起到固沙作用。 可通过测定沙包的 等指标,反映柽柳的生长状况和固沙效果。 (3)综上所述,柽柳既能适应环境,又能 环境。 18.(2023•聊城)近期不断出现新型冠状病毒感染的“二阳”病例,患病风险仍然存在。 根据摘自2023年5月央广网的报道,请结合所学相关知识,分析回答问题: 无论是二次感染还是新变异株导致的感染……主要是无症状或轻型病例……关于“二 阳”后免疫力是否降低的问题……不论是接种疫苗还是人体感染康复后,都会在一段时 间内产生免疫,对后续病毒的侵袭带来相应的保护。但现在国内外也有相当多的研究表 明,含病毒感染在内,有三次或以上的抗原刺激,会产生较好的保护效果……主要是那 些没有感染,也没有完成免疫程序的人群,以及虽有感染但前期没有完成基础免疫的人 群,这部分人群的抗原刺激不够数量,建议接下来要接种疫苗。 新冠疫苗接种有效性统计表 新冠疫苗类型 研发/制造 接种次数 有效性 灭活疫苗 国药中生(北京) 2针 79.34% 灭活疫苗 国药中生(武汉) 2针 72.51% 灭活疫苗 北京科兴中维 2针 91.25% 腺病毒载体疫苗 陈薇院士团队 1针 74.8% 13关注公众号:陆陆高分冲刺 ~领取:最新版“小中高考-总复习”、最新试卷下载 重组蛋白疫苗 智飞生物 3针 97% (1)新冠病毒在传播的过程中产生了大量的变种,这种现象在遗传学上称为 。 (2)人们需接种疫苗获得对新冠病毒的免疫力,这种免疫属于 。 (3)请结合图一解释“含病毒感染在内,有三次或以上的抗原刺激,会产生较好的保 护效果”的原因是 。 (4)有人注射疫苗后拒绝在公共场所佩戴口罩。根据资料及表格信息分析,你认为拒 戴口罩是否恰当? ,理由是 (答出一点即可)。 (5)疫苗不仅在预防传染病方面发挥重要作用,还在预防和治疗癌症方面具有一定的 潜力,如图2,从免疫的角度分析,图中的纳米疫苗属于 ,该过程中起主要 作用的是 细胞,其发挥了监视、识别并清除癌细胞的功能。 19.(2023•通辽)在生物圈中,除了人以外,还有多种多样的绿色植物,形形色色的动物, 各种各样的细菌、真菌和病毒。这些生物与人类的生活有着非常密切的关系,对维持生 态平衡有重要意义。如图为生物多样性的思维导图,请根据所学知识,回答下列问题: 14关注公众号:陆陆高分冲刺 ~领取:最新版“小中高考-总复习”、最新试卷下载 (1)图中①的名称是 。 (2)银杏在植物分类中隶属的最小等级是 ,娃娃鱼在类群上属于 (填图中数字)。 (3)从个体水平看,生物体的寿命都是有限的,死亡意味着生命的结束。而从整个生 物圈来看,生命总是在不断地延续和发展着。如壁虎在陆地上产的卵,具有 的特点,使其生殖和发育摆脱了对水环境的依赖,成为真正的陆生脊椎动物;又如细菌 在环境适宜的时候,不到半小时,就可以进行一次 生殖,并且有些细菌在生 长发育后期形成对不良环境具有较强抵抗能力的 ,使其在自然界中分布广泛。 (4)地球上最早出现的生物是原核生物,后来才出现真核生物,在细胞结构上真核生 物与原核生物的主要区别是 。 (5)地球上的生物在不断地进化和发展,如在植物类群上,较早出现的 没有根、茎、叶的分化;苔藓植物有类似茎和叶的分化,根非常简单,称为假根; 只有根、茎、叶的分化,体内有输导组织;而较晚出现的被子植物有根、茎、叶、花、 果实、种子等六大器官,从生物体的结构组成上可以看出生物进化的趋势是 。 (6)在漫长的进化过程中,既有新生物种类产生,也有一些生物种类灭绝,各种生物 在进化过程中,形成了各自适应环境的形态结构和生活习性。如家鸽的呼吸作用旺盛, 具有与肺相通的 ,可辅助呼吸;又如狼的牙齿有 的分化, 既提高其摄取食物的能力,又增强了对食物的消化能力。 (7)近些年由于人类活动的干扰,生物的多样性面临威胁,保护生物多样性刻不容缓, 保护生物多样性最为有效的措施是 ,除此之外,我国还颁布一系列的 法律和文件,还在全球范围内进行合作,共同维护欣欣向荣的生物圈。 20.(2023•通辽)自人类在地球上出现以后,其生存和发展要依赖于生物圈的环境和资源; 同时人类的活动也会影响和改变着生物圈,因此我们既要了解人体的结构与生理,也要 关注人和生物圈的关系。如图1是人体消化、呼吸、循环和排泄等一系列生理活动示意 图,其中A、B表示人体的系统,a、b、c表示相关器官,数字①~⑦表示相关生理活 动。请结合图示,根据所学知识,回答下列问题: 15关注公众号:陆陆高分冲刺 ~领取:最新版“小中高考-总复习”、最新试卷下载 (1)我们吃的粮食、蔬菜、肉、蛋、奶等食物主要是生物圈中的其它生物给人类的营 养物质,大米饭中含有的主要营养物质是 ,其主要在 (填图中字 母)内最终被分解为葡萄糖后被吸收进入A中,血液中的某葡萄糖分子,通过肾动脉流 入某健康人的肾脏后,未被利用,从肾静脉流出,此葡萄糖分子在肾脏中流经的途径可 能有 (用文字及箭头表示)。 (2)房室瓣和动脉瓣使心脏中的血液能按一定的方向流动,而不出现倒流。如左右心 室收缩,左右心房舒张时,房室瓣和动脉瓣开、关情况的描述,下列选项正确的是 。 A.关闭、打开 B.打开、打开 C.打开、关闭 D.关闭、关闭 (3)人体靠呼吸系统吸入氧气、排出二氧化碳。图中 (填图中的数字)是 通过呼吸运动来实现的。吸入的氧气会通过图中的⑦过程进入A,同时二氧化碳也会透 过 进入肺泡,然后随着④过程排出体外,在此过程中血液的颜色变 化是 。 (4)人体的生命活动会产生很多代谢废物,这些代谢废物必须及时排出体外,图中能 够将人体进行生命活动产生的代谢废物排出体外的途径有 (填图中的数 字)。 (5)2023年6月4日清晨6时33分,神舟十五号载人飞船返回舱在东风着陆场成功着 陆,电视机前的观众看到这一报道时激动万分,此时他们的大脑皮层特别兴奋,因而促 使肾上腺分泌较多的 ,进而心跳加快、血压升高,这说明人体生命活动有 赖于 的共同调节作用。 16关注公众号:陆陆高分冲刺 ~领取:最新版“小中高考-总复习”、最新试卷下载 (6)人体健康是生活质量的重要保障,良好的行为习惯对机体的健康至关重要。中度 高脂饮食容易引发肥胖症的发生,肥胖症患者常表现在运动能力较弱,而且还会增加心 脑血管疾病的患病风险。某研究团队为研究中度高脂饮食对小鼠运动行为的影响,做了 如下实验: 材料用具 性别、体重大致相同的健康小鼠30只,正常饮食,中度高脂饮食,小型号动物跑步机 (注:测试一周前,小鼠已进行适应小型号动物跑步机的训练),计时器,电击网等。 方法步骤 a.将30只小鼠随机均分为A、B两组。 b.将A组小鼠随机均分为3组,分别编号A 、A 、A ;将B组小鼠随机均分为3组,分 1 2 3 别编号B 、B 、B 。 1 2 3 c.A 、A 、A 正常饮食,分别饲喂8、16、24周;B 、B 、B 中度高脂饮食诱导小鼠肥 1 2 3 1 2 3 胖,分别饲喂8、16、24周。 d.每个小组饲喂周数完成时,将小型号动物跑步机调整好参数,保持测试条件相同且适 宜,将对应周数组的小鼠单独放置在跑道上,密切观察小鼠是否力竭(力竭标志为小鼠 即使被持续电击超过4秒也不动)。 e.取出力竭小鼠让其休息,记录其跑步时间,求平均值。 实验后,实验人员将A组各饲喂周数的小鼠力竭前坚持跑步时间的平均值绘成表格: 组别 饲喂周数 力竭前坚持跑步时间平均值(分钟) 8 220 A组(正常健康小鼠) 16 150 24 50 实验人员将B组各饲喂周数的小鼠力竭前坚持跑步时间的平均值绘成柱状图(图2): ①该实验作出的假设是: 。 ②A、B组作为一组对照实验,其变量是 。 ③根据表格中数据信息可知:饲喂8周时,由于脂肪的摄取可以帮助机体贮存较多的能 量,从而对小鼠运动有 作用,而饲喂16周和24周时,小鼠体能与耐力明显 ,说明长时间中度高脂饮食对小鼠的运动行为有影响。 ④根据上述实验,我们会发现肥胖症对我们的身体健康有很大的影响,那么在日常生活 中我们如何选择健康的生活方式来预防肥胖症的发生呢? (至 少写出四点)。 17关注公众号:陆陆高分冲刺 ~领取:最新版“小中高考-总复习”、最新试卷下载 21.(2023•吉林)青少年正处于身体发育和智力发展的黄金时期,一般来说,每天至少需 要睡眠8~10小时。 (1)实验表明,牛奶中含有丰富的蛋白质,睡前喝一杯热牛奶,可以起到助眠的作用。 图甲中表示蛋白质消化过程的曲线是 。 (2)睡眠时血压、心率和呼吸频率都会发生变化。图乙表示一个人在运动和睡眠两种 状态下的呼吸情况,表示睡眠状态下呼吸频率和呼吸深度的曲线是 。专门调节 心跳、呼吸、血压等基本生命活动的中枢位于图丙中[H] 内。 (3)充足的睡眠是大脑正常工作的重要保证。当血液流经脑部毛细血管时,血液中的 氧进入脑部细胞中的 内被利用,产生的二氧化碳进入血液,随血液流回到 心脏的 (填图丙中序号),之后再随血液到达肺泡处,通过图丙中的 (填字母)过程排出体外。血液流经肺部后变成了含氧较多、颜色鲜红的 血。 (4)睡眠可以使许多器官、系统得到休息,是恢复精力和体力的过程,在提高记忆力、 免疫力和稳定情绪等方面起着重要作用。科学研究表明,夜间睡眠时, 分泌 的生长激素比白天高5~7倍,这有利于青少年的生长发育。 22.(2023•长沙)每到夏季,蚊子叮咬就成为人们生活的一大困扰。蚊子吸血除了引起身 18关注公众号:陆陆高分冲刺 ~领取:最新版“小中高考-总复习”、最新试卷下载 体不适,还会造成多种疾病传播,危害人类健康。蚊子为什么吸血?某同学查阅资料获 得以下信息: 新羽化雌蚊在不同情况下的生长、产卵及孵化情况 有无雄蚊 食物种类 生长情况 平均产卵数(个) 平均孵化率(%) 糖水 正常 0 0 有雄蚊 血液 正常 46.88 86 糖水 正常 0 0 无雄蚊 血液 正常 11.40 0 (1)由资料可知,蚊子的发育方式为变态发育中的 。 (2)据资料推测,雌蚊吸血除了从血液中获得 以满足正常生命活动需求 外,还是 的必需。 (3)通过药物灭蚊、驱蚊等措施防止蚊虫叮咬,能有效预防疾病的传播。这属于传染 病预防措施中的 。 (4)某地监测发现,5年内某常用灭蚊剂对蚊子的致死率从最初的 90.1%逐步下降到 46.7%,分析产生这种现象的原因。 。 23.(2023•无锡)慢性阻塞性肺疾病(COPD),简称“慢阻肺”,是一种临床威胁患者 生命安全的慢性炎症,以气流阻塞为特征。《健康中国行动(2019~2030)》提出:要 大幅提高居民的慢阻肺知晓率,加强慢阻肺的早期筛查。如图是慢阻肺患者与正常人的 呼吸系统部分结构对比图,请分析回答: 19关注公众号:陆陆高分冲刺 ~领取:最新版“小中高考-总复习”、最新试卷下载 (1)据图可知,慢阻肺患者的 部位发生了病变,导致气体无法顺畅地进出 肺,引发呼吸困难或胸闷,所以常伴有咳嗽、咳痰等症状。 (2)吸烟是慢阻肺最重要的环境致病因素。为了探究吸烟与慢阻肺患者炎症因子的关 系,某医院选取年龄、平均体重质量指数相近的患者,根据吸烟指数分为 4组,每组20 例,比较每组患者炎症因子水平指标。实验数据如下表: 组别 吸烟指数(IS) 超敏C﹣反应蛋白(hs﹣CRP) 重度吸烟组 IS≥400 19.87mg/L 中度吸烟组 200<IS<400 17.11mg/L 轻度吸烟组 0<IS≤200 15.36mg/L 非吸烟组 IS=0 12.40mg/L 注:超敏C﹣反应蛋白(hs﹣CRP)是一种与炎症反应相关的蛋白,机体内发生炎症反 应时,会促使hs﹣CRP水平异常升高。 本探究实验的变量是 ,实验中每组选取20例是为了避免 而影 响实验结果,据实验数据推测,吸烟会 (填“加重”或“减轻”)炎症反应。 (3)与非吸烟者相比,吸烟者的肺功能异常率较高,死亡风险增加。被动吸烟也可能 导致呼吸道症状及慢阻肺的发生。请对吸烟者提出一条合理化建议。 。 24.(2023•株洲)湖南是重要产茶省份,茶树害虫是影响茶叶产量及品质的主要原因之一。 调查林下茶园和常规茶园的生态环境,以及两种茶园主要害虫茶小绿叶蝉及其天敌蜘蛛, 结果如表所示,回答下列问题: 茶园 茶小绿叶 蜘蛛总 游猎型蜘蛛 结网型蜘 生态环境 20关注公众号:陆陆高分冲刺 ~领取:最新版“小中高考-总复习”、最新试卷下载 蝉总数 数 类型 种类数 蛛种类数 (只) (只) 茶行主要与自然生长的马尾松等乔木 林下 692 1542 14 12 间行种植,乔木树高6~8 m。人为 茶园 干扰少,茶园遮阴度大。 常规 茶行中间无树木遮阴、地表大多裸 1410 995 14 8 茶园 露,落叶层薄而稀疏。 (1)请依据表格信息写出茶园中的一条食物链: 。两种类型的蜘 蛛与茶小绿叶蝉在生态系统中所属成分 (填“相同”或“不同”)。 (2)林下茶园中茶小绿叶蝉总数远少于常规茶园,是因为 。 (3)林下茶园结网型蜘蛛种类数显著高于常规茶园,据表作出合理的解释: (至少答出两点)。 (4)我市炎陵、茶陵等地林木资源丰富,可大力发展“林下经济”。不仅有“林茶”, 还有“林菌”(林下养菌)、“林油”等模式,其中“林油”模式可实现高大乔木与低 矮的大豆、花生等油料作物高低错落的结构,充分利用不同强度的 ,提高有 机物产量。 21