当前位置:首页>文档>专题04细菌、真菌和病毒(原卷版)_02中考总复习(2026版更新中)_08-生物-中考总复习_2024年中考复习资料_专项复习_备战2024年中考生物真题题源解密

专题04细菌、真菌和病毒(原卷版)_02中考总复习(2026版更新中)_08-生物-中考总复习_2024年中考复习资料_专项复习_备战2024年中考生物真题题源解密

  • 2026-04-03 04:34:21 2026-03-05 03:03:26

文档预览

专题04细菌、真菌和病毒(原卷版)_02中考总复习(2026版更新中)_08-生物-中考总复习_2024年中考复习资料_专项复习_备战2024年中考生物真题题源解密
专题04细菌、真菌和病毒(原卷版)_02中考总复习(2026版更新中)_08-生物-中考总复习_2024年中考复习资料_专项复习_备战2024年中考生物真题题源解密
专题04细菌、真菌和病毒(原卷版)_02中考总复习(2026版更新中)_08-生物-中考总复习_2024年中考复习资料_专项复习_备战2024年中考生物真题题源解密
专题04细菌、真菌和病毒(原卷版)_02中考总复习(2026版更新中)_08-生物-中考总复习_2024年中考复习资料_专项复习_备战2024年中考生物真题题源解密
专题04细菌、真菌和病毒(原卷版)_02中考总复习(2026版更新中)_08-生物-中考总复习_2024年中考复习资料_专项复习_备战2024年中考生物真题题源解密
专题04细菌、真菌和病毒(原卷版)_02中考总复习(2026版更新中)_08-生物-中考总复习_2024年中考复习资料_专项复习_备战2024年中考生物真题题源解密
专题04细菌、真菌和病毒(原卷版)_02中考总复习(2026版更新中)_08-生物-中考总复习_2024年中考复习资料_专项复习_备战2024年中考生物真题题源解密
专题04细菌、真菌和病毒(原卷版)_02中考总复习(2026版更新中)_08-生物-中考总复习_2024年中考复习资料_专项复习_备战2024年中考生物真题题源解密
专题04细菌、真菌和病毒(原卷版)_02中考总复习(2026版更新中)_08-生物-中考总复习_2024年中考复习资料_专项复习_备战2024年中考生物真题题源解密
专题04细菌、真菌和病毒(原卷版)_02中考总复习(2026版更新中)_08-生物-中考总复习_2024年中考复习资料_专项复习_备战2024年中考生物真题题源解密
专题04细菌、真菌和病毒(原卷版)_02中考总复习(2026版更新中)_08-生物-中考总复习_2024年中考复习资料_专项复习_备战2024年中考生物真题题源解密
专题04细菌、真菌和病毒(原卷版)_02中考总复习(2026版更新中)_08-生物-中考总复习_2024年中考复习资料_专项复习_备战2024年中考生物真题题源解密
专题04细菌、真菌和病毒(原卷版)_02中考总复习(2026版更新中)_08-生物-中考总复习_2024年中考复习资料_专项复习_备战2024年中考生物真题题源解密

文档信息

文档格式
docx
文档大小
0.507 MB
文档页数
13 页
上传时间
2026-03-05 03:03:26

文档内容

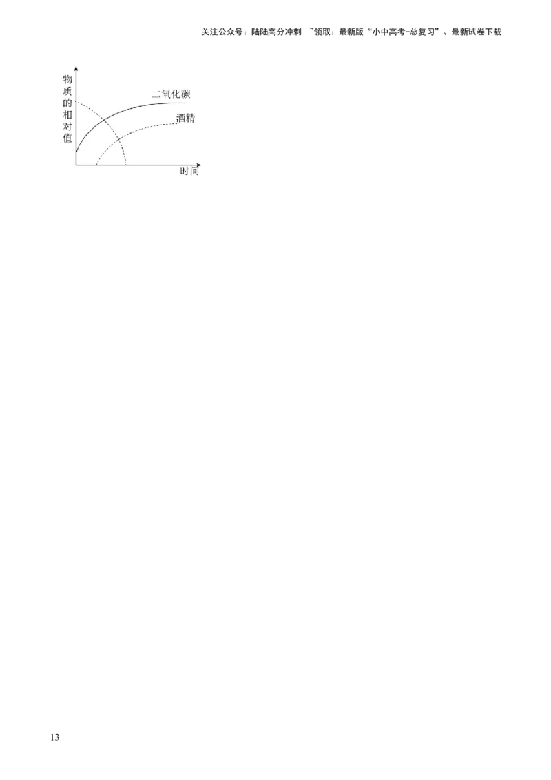
关注公众号:陆陆高分冲刺 ~领取:最新版“小中高考-总复习”、最新试卷下载 主题二 生物的多样性 专题 04 细菌、真菌和病毒 考情概览:理解课标要求,把握命题方向,总结出题角度。 中考新考法:从新情境、新设问、跨学科等方向设置新考法真题。 真题透视:精选真题,归类设置,完整展现中考试题的考查形式。 对接教材:溯本追源,链接教材相关知识,突破重难点。 新题特训:选用最新优质题、创新题,巩固考点复习效果。 课标学业要求 考点 考向 考法 考法1 病毒的形态结构和生命 考向一 病毒无细胞 活动特点 结构,需要在活细胞 1、微生物一般是指个 考法2 病毒的分类及与人类的 内完成增殖 关系 体微小、结构简单的生 考法1 细菌的形态结构和生命 物,主要包括病毒、细 考向二 细菌是单细 活动特点 菌和真菌。通过列表等 病毒、细菌和真 胞生物,无成形的细 考法2 细菌的营养方式和繁殖 菌 胞核 多种方式,对微生物类 方式 群的形态结构、生活环 考法1 真菌的形态结构和生命 境、繁殖方式等进行比 考向三 真菌是单细 活动特点 胞或多细胞生物,有 考法2 真菌的营养方式和繁殖 较,帮助学生逐步形成 成形的细胞核 方式 生物具有多样性和统一 考法3 真菌和细菌的菌落 性的认识。 有些微生物会使 2、培养并观察细菌的 人患病,有些微 考向四 微生物与人 考法1 微生物与人类的关系 生 物 在 食 品 生 菌落;用放大镜或显微 类的关系及在生物圈 考法2 微生物在自然界中的作 产、医药、工业 镜观察酵母菌和霉菌。 中的作用 用 等方面得到广泛 应用 1关注公众号:陆陆高分冲刺 ~领取:最新版“小中高考-总复习”、最新试卷下载 1.(新情境)(2023•苏州)中国乳品企业联合中国航天发布的乳双歧杆菌 BL﹣99菌种,是我国第一株 自主研发、具有知识产权的优质乳酸菌。下列有关叙述正确的是( ) A.该菌种是一种真菌 B.该菌种的遗传物质位于细胞核内 C.该菌种能通过无氧呼吸产生乳酸 D.普通乳酸菌经太空辐射即可变异为该菌种 2.(新情境)(2023•宜宾)泡菜是人们喜爱的一种食品,但食用了腌制不当的泡菜可能会引起亚硝酸盐 中毒(国家规定亚硝酸盐在泡菜中的含量不能超过20mg/kg)。某校课后服务的生物社团同学对“食盐 浓度对泡菜中的亚硝酸盐含量的影响”进行了探究,探究结果如图。下列有关叙述错误的是( ) A.本实验中食盐浓度越高,亚硝酸盐含量的峰值越高 B.本实验中亚硝酸盐含量符合要求的食盐浓度为15% C.制作泡菜的原理是利用乳酸菌在无氧的条件下发酵 D.随着腌制时间的增加,亚硝酸盐含量先增加后减少 3.(跨学科)(2023•河南)早在北魏时期,《齐民要术》中就有制作泡菜的记载。制作泡菜主要包括清 洗、装坛、压实、密封等步骤。下列有关说法不正确的是( ) A.清洗泡菜坛可以防止杂菌污染 B.密封坛口可以创造无氧环境 C.导致蔬菜变酸的主要是酵母菌 D.发酵宜在合适的温度下进行 4.(跨学科)(2023•呼伦贝尔)《周礼》中记载的“冰鉴”,是一种暑天用来盛冰的容器,将食物置于 其中,能延长食物保存时间。这种保存食物的原理是( ) A.“冰鉴”里没有微生物 B.低温能杀死食物上的微生物 C.“冰鉴”里是真空环境 2关注公众号:陆陆高分冲刺 ~领取:最新版“小中高考-总复习”、最新试卷下载 D.低温抑制了微生物的生长和繁殖 ►考向一 病毒无细胞结构,需要在活细胞内完成增殖 考法1 病毒的形态结构和生命活动特点 1.(2023•赤峰)2023年,科学家从永冻土中分离出了几万年前的生物样本,它们没有细胞结构,由蛋白 质外壳和遗传物质组成,它们可以侵入宿主细胞进行繁殖。以下生物在结构上与上述生物样本最相似的 是( ) A.人类免疫缺陷病毒 B.破伤风杆菌 C.乳酸菌 D.衣藻 2.(2023•绵阳)手足口病的病原体是肠道病毒,患者多为5岁以下儿童,主要特征是口腔和手足产生水 疱。下列有关该病原体的叙述,正确的是( ) A.可感染某些植物 B.没有细胞结构 C.可以独立生活 D.可用光学显微镜观察 3.(2023•聊城)噬菌体是一类微生物的统称,其形态包括蝌蚪形、微球形和丝状等。如图为蝌蚪形噬菌 体结构模式图。下列叙述错误的是( ) A.只能在电子显微镜下才能观察到图示形态 B.某些种类的噬菌体可用于治疗烧伤病人的化脓性细菌感染 C.噬菌体只能在相应活细胞内才能进行生命活动 D.蝌蚪形噬菌体没有成形的细胞核,属于原核生物 4.(2023•自贡)每年10月到次年3月是诺如病毒感染的高发期。诺如病毒通过消化道传播,极易感染学 龄儿童及成人,从而引发急性胃肠炎。下列有关诺如病毒的叙述错误的是( ) A.该病毒属于动物病毒 B.由蛋白质和遗传物质组成 C.可用光学显微镜观察 D.勤洗手可阻止病毒的传播 考法2 病毒的分类及与人类的关系 5.(2023•凉山州)下列关于病毒与人类的关系描述,正确的是( ) ①给人类带来多种流行病 ②可制成疫苗,用于防治传染病 ③用于基因工程 ④有蛋白质外壳和内部遗传物质 A.①②③ B.②③④ C.①②④ D.①②③④ 6.(2023•宜宾)虽然病毒常常令人谈“毒”色变,但是人类在研究和利用病毒的过程中,也取得了可喜 3关注公众号:陆陆高分冲刺 ~领取:最新版“小中高考-总复习”、最新试卷下载 的成果。下列有关叙述错误的是( ) A.病毒结构简单,主要由细胞壁和遗传物质组成 B.病毒个体很小,要借助电子显微镜才能观察到 C.病毒不能独立生活,须寄生在其他生物的细胞内 D.病毒经过人工处理后,可以作为接种的疫苗 解题技巧 1、病毒依据侵染细胞种类的不同分为植物病毒、动物病毒和细菌病毒三类。一般情况下,植物病毒为 杆状,动物病毒为球状,噬菌体为蝌蚪状。 2、判断病毒的种类时,可根据病毒前面的定语,有动物类词语的是动物病毒。 ►考向二 细菌是单细胞生物,无成形的细胞核 考法1 细菌的形态结构和生命活动特点 7.(2023•衡阳)幽门螺旋杆菌是一种能够引起胃病的细菌,甚至可诱发胃癌。其与真菌相比,在细胞结 构上的主要区别是( ) A.没有细胞壁 B.没有成形的细胞核 C.没有细胞膜 D.没有细胞结构 8.(2023•河南)芒果细菌性黑斑病菌感染可导致芒果黑斑病。下列关于该细菌的说法不正确的是 ( ) A.使用显微镜才能观察到 B.细胞内有成形的细胞核 C.利用芒果的有机物生活 D.可以依靠分裂进行生殖 9.(2023•湖北)厨余垃圾中的淀粉可被乳酸菌分解为乳酸,乳酸可降解塑料。下列有关乳酸菌的说法, 错误的是( ) A.乳酸菌是多细胞生物 B.个体微小,可用培养基培养 C.生殖方式是分裂生殖 D.可作为分解者参与物质循环 10.(2023•广东)神舟十六号的实验任务之一是研究细菌在空间站舱外的生存状况。与植物细胞相比,细 菌没有的结构是( ) A.细胞核 B.细胞质 C.细胞膜 D.细胞壁 考法2 细菌的营养方式和繁殖方式 11.(2023•内蒙古)在你周围有数不清的细菌,甚至在你的体表和体内也有许多细菌。下列关于细菌生殖 的叙述,正确的是( ) A.细菌靠分裂进行生殖,环境适宜时生殖速度很快 B.荚膜有保护细菌的作用,与细菌生殖有直接关系 C.细菌生殖产生的新细菌,与原细菌所含的遗传物质不同 D.细菌适应性很强,在不同的环境中有不同的生殖方式 4关注公众号:陆陆高分冲刺 ~领取:最新版“小中高考-总复习”、最新试卷下载 12.(2023•内江)酸奶是利用乳酸菌发酵制成的一种乳酸饮品。制作酸奶时,在新鲜的牛奶中加入适量的 蔗糖并煮沸后,下列操作正确的是( ) A.立即加入乳酸菌并密封 B.立即加入乳酸菌不密封 C.冷却后再加入乳酸菌并密封 D.冷却后再加入乳酸菌不密封 特别提醒 1、细菌无成形的细胞核(原核细胞);所有的细菌都是单细胞生物。 2、细菌靠分裂生殖,遇不良环境,细胞壁增厚,形成休眠体芽孢。 3、医疗器械消毒是以杀死芽孢为标准。 ►考向三 真菌是单细胞或多细胞生物,有成形的细胞核 考法1 真菌的形态结构和生命活动特点 13.(2023•通辽)某同学发现家里贮藏的桔子长了青绿色的毛,推测可能是青霉的生长和繁殖引起的,如 图为青霉结构示意图,下列有关说法正确的是( ) A.①为直立菌丝 B.②在适宜条件下能发育成新个体 C.③从桔子内部只吸收水分和无机盐 D.青霉的菌体是由许多细胞连接起来的菌丝构成的 14.(2023•江西)下列关于青霉的叙述,错误的是( ) A.细胞内有成形的细胞核 B.菌体由许多菌丝构成 C.能产生青霉素 D.通过叶绿体制造有机物 考法2 真菌的营养方式和繁殖方式 15.(2023•东营)蘑菇高蛋白、低脂肪、低热量,有“植物肉”的美誉。以下有关蘑菇的表达,正确的选 项是( ) A.蘑菇是多细胞真菌,分裂繁殖后代 B.蘑菇的细胞内没有成形的细胞核 C.蘑菇能产生孢子,靠孢子繁殖后代 D.蘑菇地上部分能进行光合作用,制造有机物 16.(2023•凉山州)如图为酵母菌的自述,其中说法正确的是( ) 5关注公众号:陆陆高分冲刺 ~领取:最新版“小中高考-总复习”、最新试卷下载 A.① B.② C.③ D.④ 17.(2023•苏州)取下新鲜蘑菇的菌盖,菌褶一面朝下平放在白纸上,扣上玻璃杯。2~3天后可看到纸 上留有放射状印记(如图)。这是蘑菇的( ) A.菌丝 B.孢子 C.种子 D.花粉 考法3 真菌和细菌的菌落 18.(2023•眉山)细菌很小,大部分真菌的个体也比较小,但在培养基上,它们会迅速繁殖,形成肉眼可 见的菌落。下列有关叙述正确的是( ) A.每个菌落由大量不同种的菌体集合而成 B.一个菌落是由一个细菌或真菌细胞构成 C.菌落特征可作为鉴别细菌与真菌的依据 D.在液体培养基中培养细菌时可形成菌落 易错易混 1、与植物细胞相比,真菌细胞最突出的特点是没有叶绿体;与细菌细胞相比,真菌细胞最突出的特点 是有成形的细胞核。 2、观察酵母菌时,先用低倍镜观察,后用高倍镜观察,其原因是低倍镜放大倍数小,视野范围大,便于寻 找酵母菌,高倍镜放大倍数大,便于仔细观察酵母菌的结构。 3、酵母菌在有氧和无氧条件下都能分解有机物获得能量。在有氧条件下,酵母菌分解葡萄糖,产生二 氧化碳和水,释放出能量;在无氧条件下,酵母菌分解葡萄糖产生二氧化碳和酒精,释放出能量。 4、酵母菌在条件适宜时进行出芽生殖,条件不适宜时进行孢子生殖。 5、分裂生殖、孢子生殖和出芽生殖都是无性生殖。 ►考向四 微生物与人类的关系及在生物圈中的作用 考法1 微生物与人类的关系 19.(2023•湘潭)下列有关甜酒制作过程与原理或目的对应错误的是( ) A.将糯米蒸熟——高温杀死杂菌及将糯米熟化 B.将酒曲与糯米拌匀——接种酵母菌等菌种 C.将糯米饭压实——提供无氧环境,抑制细菌的生长和繁殖 D.将制作的糯米饭放在温暖处——提供发酵时所需的适宜温度 20.(2023•长沙)自制酸奶时,需在牛奶中加入带活菌种的酸奶。加入酸奶的主要目的是( ) 6关注公众号:陆陆高分冲刺 ~领取:最新版“小中高考-总复习”、最新试卷下载 A.接种乳酸菌 B.制成培养基 C.防止变质 D.调节味道 21.(2023•长春)下列关于微生物在日常生活中的应用,叙述正确的是( ) A.利用甲烷菌制作酸奶 B.利用醋酸菌制作泡菜 C.利用酵母菌发面蒸馒头 D.利用乳酸菌制作米酒 22.(2023•潍坊)米酒酿造主要包括蒸米、拌酒曲、发酵三步,酒曲中的微生物主要是霉菌和酵母菌,霉 菌主要起到糖化作用。下列说法错误的是( ) A.霉菌和酵母菌属于真菌,有明显的细胞核 B.蒸米后应立即拌酒曲,借助高温促进酒曲中微生物的繁殖 C.糖化作用是指有氧条件下,霉菌把稻米中的淀粉分解成葡萄糖 D.发酵主要是指无氧条件下,酵母菌将葡萄糖转变成酒精 考法2 微生物在自然界中的作用 23.(2023•内蒙古)农作物秸秆、人粪尿和禽畜粪尿中含有很多有机物。在没有氧气的环境中,下列微生 物能利用这些有机物分解产生清洁能源的是( ) A.乳酸菌 B.酵母菌 C.甲烷菌 D.醋酸菌 解题技巧 1、细菌引起患病:扁桃体炎(链球菌);真菌引起人或动物患病:足癣、小麦叶锈病。 2、共生:共同生活,相互依赖,彼此有利。地衣是真菌与藻类共生,真菌提供水和无机盐,藻类提供有 机物;根瘤菌与豆科植物共生形成根瘤。(氮肥厂) 3、人类对细菌和真菌的利用: (1)细菌食品制作: 乳酸菌——酸奶、泡菜; 醋酸菌——醋; (2)真菌食品制作: 霉菌——腐乳、酱; 酵母菌——酒类、面点。 4、面包中的气孔:酵母菌产生的二氧化碳气体形成小孔,使面包膨大松软。 5、防止食品腐败的原理:将细菌和真菌杀死或抑制其生长繁殖。 6、真菌产生杀死致病菌的物质,称为抗生素,如青霉素。 一、没有细胞结构的微生物——病毒 1、病毒的发现:俄国科学家伊万诺夫斯基,病毒在电子显微镜下才能看到。 2、病毒不能独立生活,必须寄生在其他生物的细胞内;根据它们寄生的细胞的不同,将病毒分成: (1)动物病毒;(2)植物病毒;(3)细菌病毒 3、结构:蛋白外壳和内部的遗传物质组成,没有细胞结构 4、复制繁殖:病毒只能寄生在活细胞内,靠自己的遗传物质中的遗传信息,利用细胞内的物质,制造出 7关注公众号:陆陆高分冲刺 ~领取:最新版“小中高考-总复习”、最新试卷下载 新的病毒。若离开活细胞,会变成结晶体。 5、病毒与人类的关系:害处:流行性感冒、肝炎、艾滋病均由病毒引起。益处:制造疫苗;基因工程中, 科学家能让病毒携带动植物的某些基因进入到正常细胞,来达到转基因或基因治疗的目的。 二、细菌和真菌的分布 1、培养细菌和真菌的方法步骤: 制作培养基——高温灭菌——冷却接种——恒温培养 (1)配置培养基:为培养的细菌、真菌提供有机物(培养基组成:琼脂(使培养基呈固态)+牛肉汁或牛 奶或土壤浸出液(提供有机物)) (2)高温灭菌:杀灭培养基中原有的细菌和真菌(防止其他杂菌干扰) (3)冷却:防止接种的细菌真菌被高温杀死 (4)接种:将少量细菌、真菌转移到培养基上的过程 (5)恒温培养:为培养的细菌、真菌提供适宜的温度 2、由一个细菌或真菌繁殖后形成的肉眼可见的集合体称为菌落; 细菌和真菌的菌落比较 细菌菌落 真菌菌落 大小 较小 较大 颜色 白、灰、黄 红、褐、绿、黑、黄等 形态 表面光滑粘稠,或粗糙干燥 呈绒毛状、絮状或蜘蛛网状 (注:菌落的形态、大小和颜色,可作为区别细菌和真菌,以及它们的不同种类的依据) 3、细菌和真菌的生活条件:水分、适宜的温度、有机物等。 三、细菌 1、列文·虎克发明显微镜,发现细菌。 2、巴斯德证明肉汤的腐败是来自空气中的细菌造成的,提出巴氏消毒法,被称“微生物之父”。 3、细菌有球菌、杆菌、螺旋菌 3种形态。 分类 球菌、杆菌、螺旋菌 基本结构 细胞壁、细胞膜、细胞质、DNA 特殊结构 荚膜(保护作用)、鞭毛(使细菌能够运动) 营养方式 异养(因为无叶绿体),包括寄生(大多数)和腐生(担任分解 者) 生殖方式 分裂生殖 计算公式:A X 2n 休眠体 芽孢(可度过不良环境) 生物类型 原核生物(因为无成形的细胞核) 分布广泛的原因 1、个体小;2、繁殖速度快;3、可形成芽孢度过不良环境。 8关注公众号:陆陆高分冲刺 ~领取:最新版“小中高考-总复习”、最新试卷下载 四、真菌 1、有成形的细胞核;孢子繁殖,没有叶绿素,异养。 2、单细胞真菌:酵母菌(酿酒、做面包)。 3、多细胞真菌:青霉(顶端扫帚状)、曲霉(顶端放射状)。 分类 单细胞真菌(酵母)、多细胞真菌(蘑菇、霉菌) 基本结构 细胞壁、细胞膜、细胞质、细胞核 特殊结构 液泡(酵母菌有) 营养方式 异养(因为无叶绿体),包括寄生和腐生(大多数,分解者) 生殖方式 孢子生殖(大多数,包括酵母菌)、出芽生殖(只有酵母菌) 休眠体 无 生物类型 真核生物 1.(2023秋•清丰县期中)近期,我国多地出现肺炎支原体感染事件,如图为肺炎支原体结构示意图,下 列叙述错误的是( ) A.肺炎支原体是一种原核生物 B.针对这种肺炎可以采用抗生素进行治疗 C.肺炎支原体可通过分裂或芽孢进行生殖 D.肺炎支原体只能利用现成的有机物生活 2.(2023秋•阜宁县期中)如图为各种微生物示意图,下列相关叙述合理的是( ) A.②只能利用现成的有机物生活 B.③属于腐生菌,可以用来制作酸奶 C.③、④和⑤都有成形的细胞核 9关注公众号:陆陆高分冲刺 ~领取:最新版“小中高考-总复习”、最新试卷下载 D.①是细胞,细胞结构由蛋白质外壳和内部遗传物质组成 3.(2023秋•通道县期中)中国的传统文化十二生肖分别是:子鼠、丑牛、寅虎、卯兔、辰龙、巳蛇、午 马、未羊、申猴、酉鸡、戌狗、亥猪。按照哺乳类、鸟类、爬行类依次排列的一组( ) A.鼠、鸡、蛇 B.蛇、鸡、牛 C.兔、龙、蛇 D.鸡、狗、猪 4.(2023秋•临沭县期中)在家庭酿酒的过程中,从密封的发酵罐中检测到氧气、二氧化碳和酒精三种化 学物质,其浓度变化如图所示,图中P、Q、R三条曲线依次代表哪种物质浓度的变化?( ) A.R代表二氧化碳、P代表氧气、Q代表酒精 B.R代表氧气、P代表二氧化碳、Q代表酒精 C.R代表二氧化碳、P酒精、Q代表氧气 D.R代表酒精、P代表二氧化碳、Q代表氧气 5.(2022秋•城区校级期末)中国疾控中心首次从武汉华南海鲜市场的 585份环境样本中,检测到33份 样品含有新型冠状病毒核酸,并成功在阳性环境标本中分离病毒。下列有关病毒的叙述错误的是 ( ) A.严格地说,病毒不属于生物 B.病毒的形态多种多样 C.病毒体内含有遗传物质 D.实验室培养病毒只能用活的生物体 6.(2022秋•武江区校级期末)针对2019年先后出现的疟疾、肺鼠疫、新冠肺炎等传染病,如图比较了 它们的病原体。你认为正确的说法是( ) A.①表示独立生活 B.②表示细胞膜 C.③表示细胞核 D.④表示异养 10关注公众号:陆陆高分冲刺 ~领取:最新版“小中高考-总复习”、最新试卷下载 7.(2023秋•云溪区期中)培养基上有两处菌落:A处较小且表面光滑黏稠;B处为黑色,呈绒毛状,以 下判断错误的是( ) A.菌落通常是由一个细菌和真菌繁殖后形成的 B.A处可能是某种细菌的菌落 C.B处可能是某种真菌的菌落 D.无法从形态上区分细菌和真菌菌落 8.(2023秋•方城县期中)小西家放置时间较长的橘子发霉了(如图),橘子皮上的“霉”实际上是( ) A.一个细菌 B.一个霉菌 C.真菌的菌落 D.细菌的菌落 9.(2023秋•方城县期中)方城县袁店乡自实施乡村振兴战略以来,以羊肚菌为发展特色产业的抓手,已 种植80余亩,建造塑料大棚50座。一朵朵伞状的食用菌,撑起群众就业增收的“致富伞”。小北作为 家乡特产宣传员,他应该给大家介绍:羊肚菌是一种( ) A.细菌 B.动物 C.真菌 D.植物 10.(2023秋•杭锦后旗期中)一名同学在学习了《微生物在生物圈中的作用》一节后,用概念图的方式 整理了本节内容,下列选项中与概念图中①②③④分别相对应的是( ) A.香菇、与动植物共生、引起动植物和人患病、根瘤菌 B.霉菌、引起动植物和人患病、与动植物共生、根瘤菌 C.霉菌、与动植物共生、引起动植物和人患病、破伤风杆菌 D.香菇、引起动植物和人患病、与动植物共生、破伤风杆菌 11.(2023•富平县二模)幽门螺杆菌(如图)是一种具有螺旋结构及鞭毛的细菌,主要“定居”在人胃黏 膜表面,可引起慢性胃炎,甚至胃溃疡。下列有关该细菌的叙述,正确的( ) 11关注公众号:陆陆高分冲刺 ~领取:最新版“小中高考-总复习”、最新试卷下载 A.没有成形的细胞核 B.与人属于共生关系 C.能自己制造有机物 D.利用孢子繁殖后代 12.(2022秋•怀柔区期末)同学们在课后进行探究实验,观察了洗手前后微生物菌落的数量变化,实验 结果记录如下,下列选项中错误的是( ) 培养皿设置 空白对照 洗手前 洗手后 实验现象 无菌落 菌落较多 菌落较少 A.该实验探究的问题是“洗手前后对手上微生物的数量是否有影响?” B.洗手前和洗手后可以形成对照实验 C.实验后要汇总全班各组的实验结果 D.实验结论为洗手后对手上微生物的数量没有影响 13.(2023•井研县模拟)适当喝酸奶对身体是有益的,张丽同学在学习了酵母菌的一些知识后决定自制酸 奶,她制作酸奶的主要步骤有:①新鲜的全脂(或脱脂)乳和糖混合;②冷却(42~43℃);③热处理 (煮沸);④发酵(放在室内温暖的地方数小时);⑤接种(加入一些购买的酸奶);⑥冷藏或食用。 假如她取得了成功,那么她的实验操作先后循序应该是( ) A.①②③④⑤⑥ B.①③②⑤④⑥ C.①③②④⑤⑥ D.③①②⑤④⑥ 14.(2023•益阳)在学校组织的食品制作比赛活动中,同学们制作了豆浆、苹果醋、酸奶、腐乳、泡菜。 小明制作了一份甜酒,他的操作过程如下,请回答有关问题: ①将浸泡好的糯米蒸成糯米饭;②冷却糯米饭至微热→添加妈妈上次用过的酒曲→搅拌均匀→压实米饭 →在米饭中间挖个凹坑→加入少量凉开水;③将容器盖好置于温暖的地方。 (1)同学们制作的 (填食品名称)无需发酵,制作酸奶用到的微生物在结构上与动植 物细胞最大的区别是 。 (2)制作甜酒用到的微生物主要是 。小明将糯米饭和酒曲拌匀相当于细菌、真菌培养 过程中的 。 (3)在甜酒制作过程中容器内的氧气、二氧化碳和酒精的含量变化如图所示,由此推测步骤②将米饭 压实、③将容器盖好的原因是 。 (4)小明制作的甜酒颜色微红,有酸味,这很可能是因为 。 (5)人类对细菌和真菌的利用非常广泛,除用于制作食品外还可以 (试举一 例)。 12关注公众号:陆陆高分冲刺 ~领取:最新版“小中高考-总复习”、最新试卷下载 13