当前位置:首页>文档>专题23圆锥曲线与内心问题(解析版)_2.2025数学总复习_2024年新高考资料_3.2024专项复习_2024年新高考数学之圆锥曲线专项重难点突破练(新高考专用)

专题23圆锥曲线与内心问题(解析版)_2.2025数学总复习_2024年新高考资料_3.2024专项复习_2024年新高考数学之圆锥曲线专项重难点突破练(新高考专用)

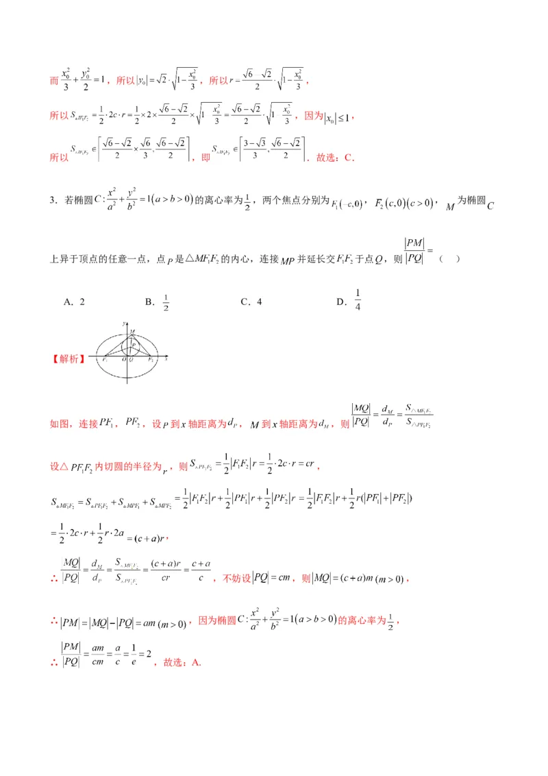
  • 2026-04-05 17:28:14 2026-03-17 05:32:22

文档预览

专题23圆锥曲线与内心问题(解析版)_2.2025数学总复习_2024年新高考资料_3.2024专项复习_2024年新高考数学之圆锥曲线专项重难点突破练(新高考专用)
专题23圆锥曲线与内心问题(解析版)_2.2025数学总复习_2024年新高考资料_3.2024专项复习_2024年新高考数学之圆锥曲线专项重难点突破练(新高考专用)
专题23圆锥曲线与内心问题(解析版)_2.2025数学总复习_2024年新高考资料_3.2024专项复习_2024年新高考数学之圆锥曲线专项重难点突破练(新高考专用)
专题23圆锥曲线与内心问题(解析版)_2.2025数学总复习_2024年新高考资料_3.2024专项复习_2024年新高考数学之圆锥曲线专项重难点突破练(新高考专用)
专题23圆锥曲线与内心问题(解析版)_2.2025数学总复习_2024年新高考资料_3.2024专项复习_2024年新高考数学之圆锥曲线专项重难点突破练(新高考专用)
专题23圆锥曲线与内心问题(解析版)_2.2025数学总复习_2024年新高考资料_3.2024专项复习_2024年新高考数学之圆锥曲线专项重难点突破练(新高考专用)
专题23圆锥曲线与内心问题(解析版)_2.2025数学总复习_2024年新高考资料_3.2024专项复习_2024年新高考数学之圆锥曲线专项重难点突破练(新高考专用)
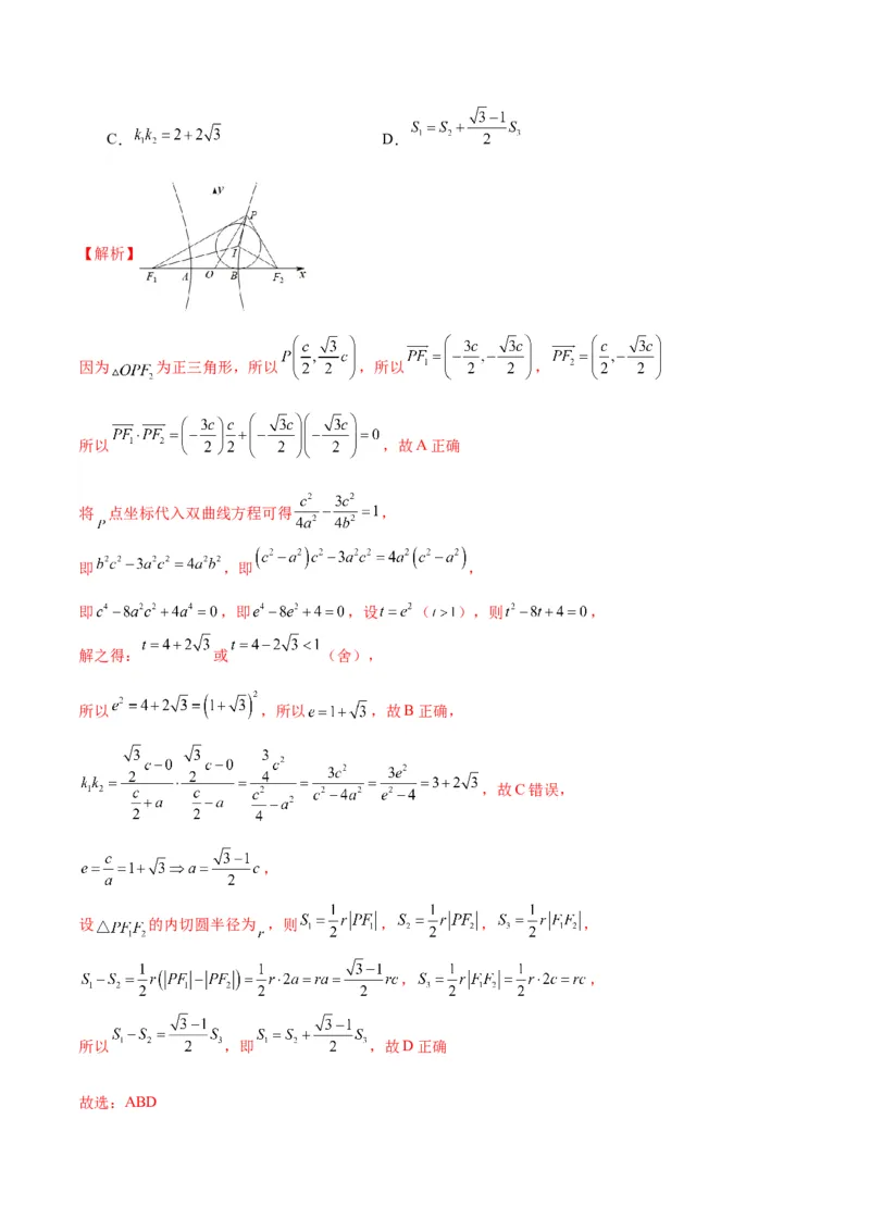
专题23圆锥曲线与内心问题(解析版)_2.2025数学总复习_2024年新高考资料_3.2024专项复习_2024年新高考数学之圆锥曲线专项重难点突破练(新高考专用)
专题23圆锥曲线与内心问题(解析版)_2.2025数学总复习_2024年新高考资料_3.2024专项复习_2024年新高考数学之圆锥曲线专项重难点突破练(新高考专用)
专题23圆锥曲线与内心问题(解析版)_2.2025数学总复习_2024年新高考资料_3.2024专项复习_2024年新高考数学之圆锥曲线专项重难点突破练(新高考专用)
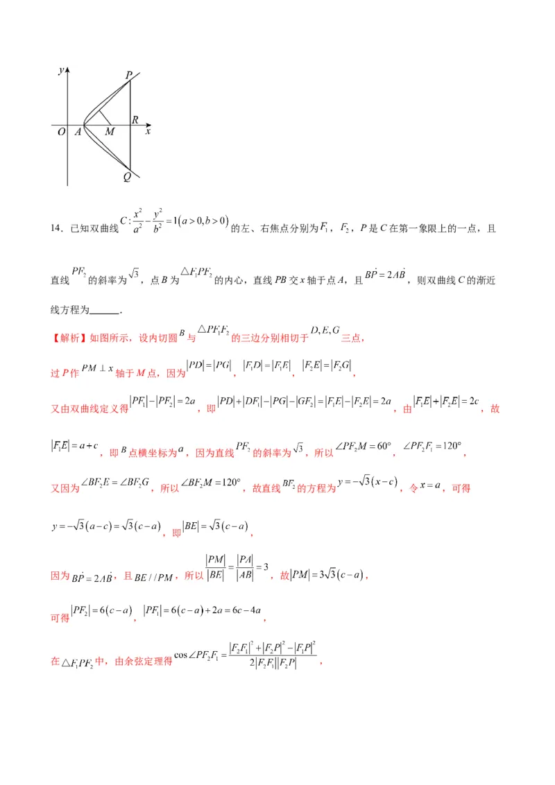
专题23圆锥曲线与内心问题(解析版)_2.2025数学总复习_2024年新高考资料_3.2024专项复习_2024年新高考数学之圆锥曲线专项重难点突破练(新高考专用)
专题23圆锥曲线与内心问题(解析版)_2.2025数学总复习_2024年新高考资料_3.2024专项复习_2024年新高考数学之圆锥曲线专项重难点突破练(新高考专用)
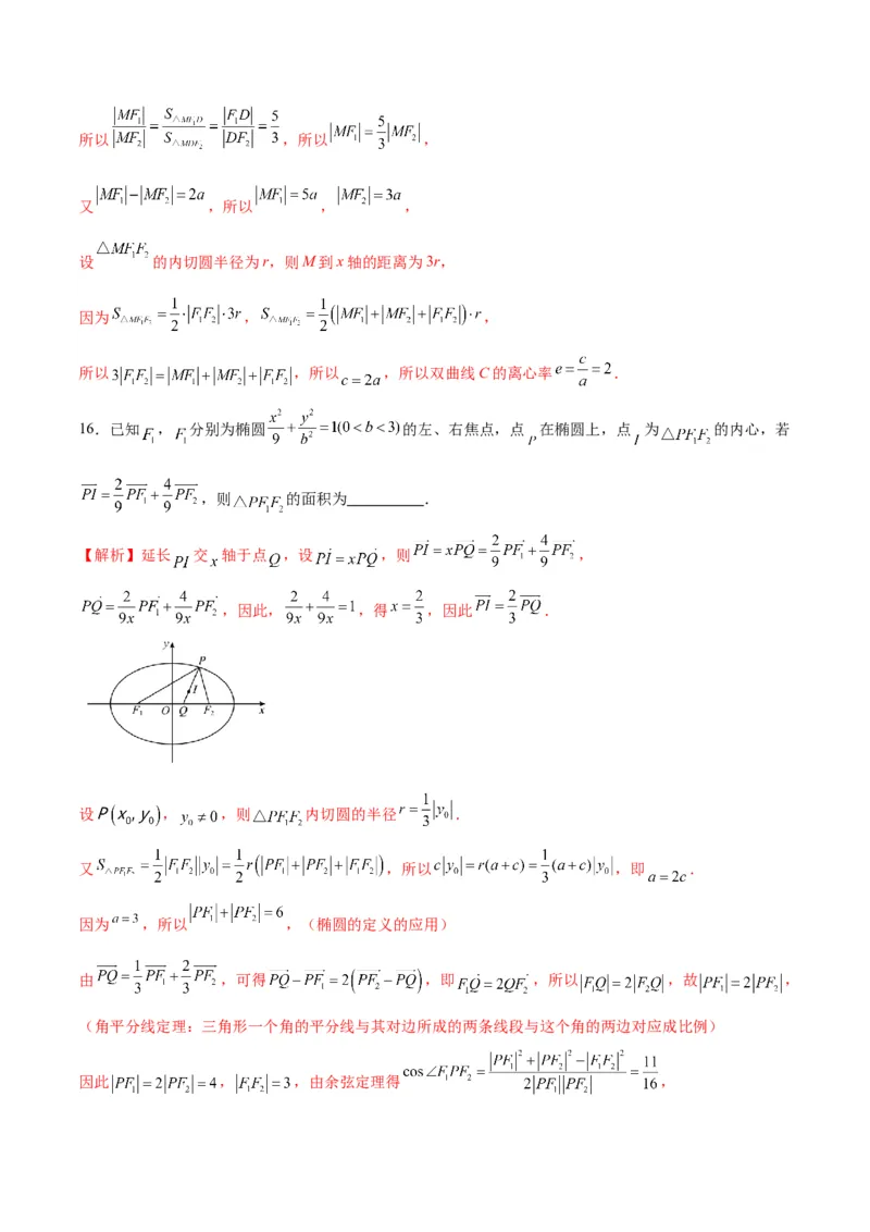
专题23圆锥曲线与内心问题(解析版)_2.2025数学总复习_2024年新高考资料_3.2024专项复习_2024年新高考数学之圆锥曲线专项重难点突破练(新高考专用)
专题23圆锥曲线与内心问题(解析版)_2.2025数学总复习_2024年新高考资料_3.2024专项复习_2024年新高考数学之圆锥曲线专项重难点突破练(新高考专用)
专题23圆锥曲线与内心问题(解析版)_2.2025数学总复习_2024年新高考资料_3.2024专项复习_2024年新高考数学之圆锥曲线专项重难点突破练(新高考专用)
专题23圆锥曲线与内心问题(解析版)_2.2025数学总复习_2024年新高考资料_3.2024专项复习_2024年新高考数学之圆锥曲线专项重难点突破练(新高考专用)
专题23圆锥曲线与内心问题(解析版)_2.2025数学总复习_2024年新高考资料_3.2024专项复习_2024年新高考数学之圆锥曲线专项重难点突破练(新高考专用)
专题23圆锥曲线与内心问题(解析版)_2.2025数学总复习_2024年新高考资料_3.2024专项复习_2024年新高考数学之圆锥曲线专项重难点突破练(新高考专用)
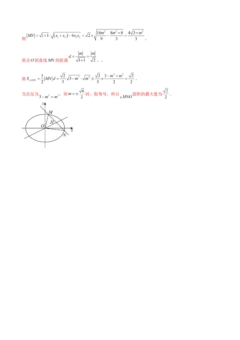
专题23圆锥曲线与内心问题(解析版)_2.2025数学总复习_2024年新高考资料_3.2024专项复习_2024年新高考数学之圆锥曲线专项重难点突破练(新高考专用)
专题23圆锥曲线与内心问题(解析版)_2.2025数学总复习_2024年新高考资料_3.2024专项复习_2024年新高考数学之圆锥曲线专项重难点突破练(新高考专用)
专题23圆锥曲线与内心问题(解析版)_2.2025数学总复习_2024年新高考资料_3.2024专项复习_2024年新高考数学之圆锥曲线专项重难点突破练(新高考专用)
专题23圆锥曲线与内心问题(解析版)_2.2025数学总复习_2024年新高考资料_3.2024专项复习_2024年新高考数学之圆锥曲线专项重难点突破练(新高考专用)
专题23圆锥曲线与内心问题(解析版)_2.2025数学总复习_2024年新高考资料_3.2024专项复习_2024年新高考数学之圆锥曲线专项重难点突破练(新高考专用)
专题23圆锥曲线与内心问题(解析版)_2.2025数学总复习_2024年新高考资料_3.2024专项复习_2024年新高考数学之圆锥曲线专项重难点突破练(新高考专用)
专题23圆锥曲线与内心问题(解析版)_2.2025数学总复习_2024年新高考资料_3.2024专项复习_2024年新高考数学之圆锥曲线专项重难点突破练(新高考专用)
专题23圆锥曲线与内心问题(解析版)_2.2025数学总复习_2024年新高考资料_3.2024专项复习_2024年新高考数学之圆锥曲线专项重难点突破练(新高考专用)

文档信息

文档格式
docx
文档大小
1.981 MB
文档页数
26 页
上传时间
2026-03-17 05:32:22

文档内容

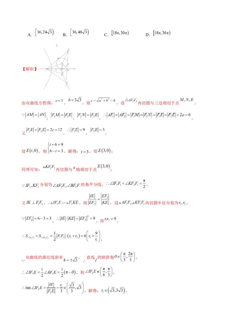
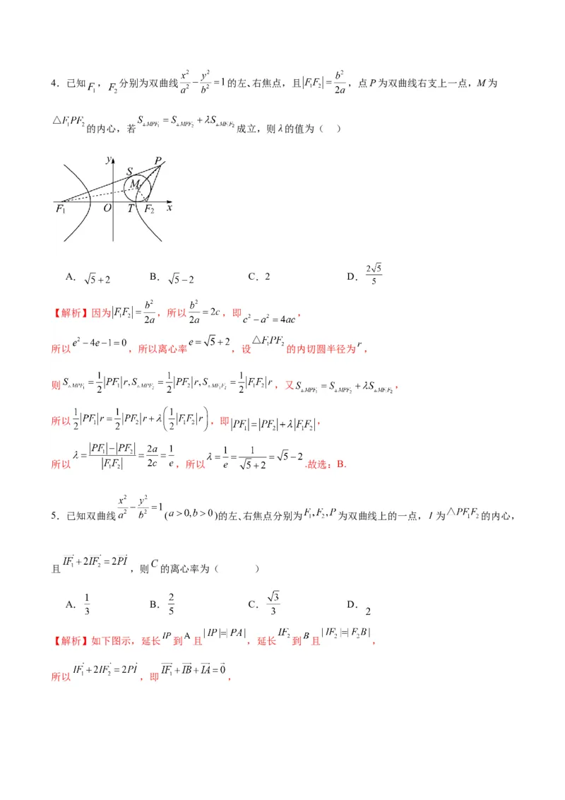
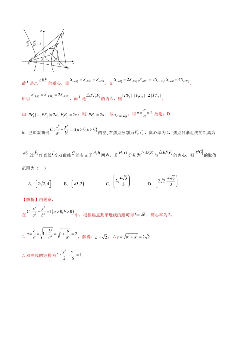
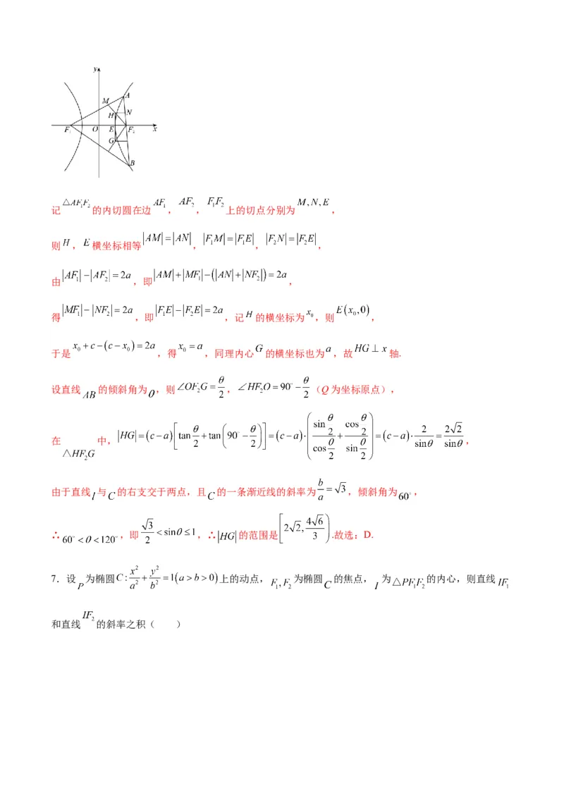
专题23 圆锥曲线与内心问题 限时:120分钟 满分:150分 一、单选题:本大题共8小题,每个小题5分,共40分.在每小题给出的选项中,只有一项是符合题目要 求的. 1.已知点 , 分别是椭圆 : 的左、右焦点,点P是椭圆E上的一点,若 的内心是G,且 ,则椭圆E的离心率为( ) A. B. C. D. 【解析】设点G到 各边的距离为 ,由 ,得 , 即 ,由椭圆定义知 , , 于是 ,所以椭圆E的离心率 .故选:B 2.已知 、 是椭圆 的左右焦点,点 为 上一动点,且 ,若 为 的内心,则 面积的取值范围是( ) A. B. C. D. 【解析】由椭圆的方程可得 , , , 设内切圆的半径为 ,则 ,可得 ,而 ,所以 ,所以 , 所以 ,因为 , 所以 ,即 .故选:C. 3.若椭圆 的离心率为 ,两个焦点分别为 , , 为椭圆 上异于顶点的任意一点,点 是 的内心,连接 并延长交 于点 ,则 ( ) A.2 B. C.4 D. 【解析】 如图,连接 , ,设 到 轴距离为 , 到 轴距离为 ,则 设△ 内切圆的半径为 ,则 , , ∴ ,不妨设 ,则 , ∴ ,因为椭圆 的离心率为 , ∴ ,故选:A.4.已知 , 分别为双曲线 的左、右焦点,且 ,点P为双曲线右支上一点,M为 的内心,若 成立,则λ的值为( ) A. B. C.2 D. 【解析】因为 ,所以 ,即 , 所以 ,所以离心率 ,设 的内切圆半径为 , 则 ,又 , 所以 ,即 , 所以 ,所以 .故选:B. 5.已知双曲线 ( )的左、右焦点分别为 为双曲线上的一点, 为 的内心, 且 ,则 的离心率为( ) A. B. C. D. 【解析】如下图示,延长 到 且 ,延长 到 且 , 所以 ,即 ,故 是△ 的重心,即 ,又 , 所以 ,而 是 的内心,则 , 由 ,则 ,故 ,即 .故选:D 6.已知双曲线 的左、右焦点分别为 ,离心率为2,焦点到渐近线的距离为 .过 作直线 交双曲线 的右支于 两点,若 分别为 与 的内心,则 的取值 范围为( ) A. B. C. D. 【解析】由题意, 在 中,根据焦点到渐近线的距可得 ,离心率为2, ∴ ,解得: ,∴ ∴双曲线的方程为 .记 的内切圆在边 , , 上的切点分别为 , 则 , 横坐标相等 , , , 由 ,即 , 得 ,即 ,记 的横坐标为 ,则 , 于是 ,得 ,同理内心 的横坐标也为 ,故 轴. 设直线 的倾斜角为 ,则 , (Q为坐标原点), 在 中, , 由于直线 与 的右支交于两点,且 的一条渐近线的斜率为 ,倾斜角为 , ∴ ,即 ,∴ 的范围是 .故选:D. 7.设 为椭圆 上的动点, 为椭圆 的焦点, 为 的内心,则直线 和直线 的斜率之积( )A.是定值 B.非定值,但存在最大值 C.非定值,但存在最小值 D.非定值,且不存在最值 【解析】连接 并延长交 轴于 , 则由内角平分线定理可得: , , ; 设 , , ,则 , , ,则 ,又 ,则 . ,则 , , , 则 , 直线 和直线 的斜率之积是定值.故选:A. 8.已知双曲线 的左、右焦点分别为 ,过右焦点 的直线 与双曲线的右支交于 两点, 若 的内心分别为 ,则 与 面积之和的取值范围是( )A. B. C. D. 【解析】 由双曲线方程得: , ,则 ,设 内切圆与三边相切于点 , , , , , 又 , , , 设 ,则 ,解得: ,即 ; 同理可知: 内切圆与 轴相切于点 ; 分别为 的角平分线, , 又 , ∽ ,则 ,设 内切圆半径分别为 , , ,即 , , 双曲线的渐近线斜率 , 直线 的倾斜角 , ,则 , ,解得: ,又 在 上单调递减,在 上单调递增, 当 时, ;当 时, ;当 时, ; , .故选:A. 二、多选题:本大题共4小题,每个小题5分,共20分.在每小题给出的选项中,只有一项或者多项是符 合题目要求的. 9.已知 , 分别为双曲线 的左、右焦点,M为C的右顶点,过 的直线与C的 右支交于A,B两点(其中点A在第一象限),设点P,Q分别为 , 的内心,R,r分别为 , 内切圆的半径,则( ) A.点M在直线PQ上 B.点M在直线PQ的左侧 C. D. 【解析】先证明一个结论:焦点在x轴上的双曲线焦点三角形的内切圆圆心横坐标为 . 过 的直线与C的右支交于A,B两点,设点P为 的内心, 设圆P与 的切点分别为 ,则 , 则 ,解之得 则切点 的坐标为 .切点 与双曲线C的右顶点M重合, 则圆P与x轴的切点为双曲线C的右顶点M, 同理可得圆Q与x轴的切点为双曲线C的右顶点M.则直线 的方程为 ,双曲线C的右顶点M的坐标为 ,则点M在直线PQ上. 则选项A判断正确;选项B判断错误; 选项C: .判断正确; 选项D:由直线 的方程为 ,可得 .判断正确. 故选:ACD 10.已知椭圆: 的左、右焦点分别为 ,右顶点为A,点M为椭圆 上一点,点 I是 的内心,延长MI交线段 于N,抛物线 (其中c为椭圆下的半焦距)与椭圆 交于B,C两点,若四边形 是菱形,则下列结论正确的是( ) A. B.椭圆 的离心率是 C. 的最小值为 D. 的值为【解析】对于A,因为椭圆 的左、右焦点分别为 ,右顶点为A,则 , , , , 因为抛物线 (其中c为椭圆下的半焦距)与椭圆 交于B,C两点, 所以由椭圆与抛物线的对称性可得, 两点关于 轴对称,不妨设 , , , 因为四边形 是菱形,所以 的中点是 的中点, 所以由中点坐标公式得 ,则 , 将 代入抛物线方程 得, , 所以 ,则 ,所以 ,故A正确; 对于B,由选项A得 ,再代入椭圆方程得 , 化简得 ,则 ,故 ,所以 ,故B错误; 对于C,由选项B得 ,所以 ,则 , 所以 ,不妨设 ,则 ,且 , 所以 ,当且仅当 且 ,即 ,即 时,等号成立, 所以 的最小值为 ,故C正确; 对于D,连接 和 ,如图, 因为 的内心为 ,所以 为 的平分线,则有 , 同理: ,所以 , 所以 ,所以 ,故D正确. 故选:ACD. 【点睛】关键点睛:本题的关键点是利用椭圆与抛物线的对称性,可设 的坐标,再由菱形的性质与中 点坐标公式推得 ,从而求得 的值,由此得解. 11.已知双曲线 的左、右顶点分别为 , ,左、右焦点分别为 , ,点 是 双曲线 的右支上一点,且三角形 为正三角形( 为坐标原点),记 , 的斜率分别为 , , 设 为 的内心,记 , , 的面积分别为 , , ,则下列说法正确的是( ) A. B.双曲线 的离心率为C. D. 【解析】 因为 为正三角形,所以 ,所以 , 所以 ,故A正确 将 点坐标代入双曲线方程可得 , 即 ,即 , 即 ,即 ,设 ( ),则 , 解之得: 或 (舍), 所以 ,所以 ,故B正确, ,故C错误, , 设 的内切圆半径为 ,则 , , , , , 所以 ,即 ,故D正确 故选:ABD12.已知 , 分别是双曲线 的左、右焦点,过 且倾斜角为 的直线交双曲 线C的右支于A,B两点,I为 的内心,O为坐标原点,则下列结论成立的是( ) A.若C的离心率 ,则 的取值范围是 B.若 且 ,则C的离心率 C.若C的离心率 ,则 D.过 作 ,垂足为P,若I的横坐标为m,则 【解析】对于选项A,当 时,双曲线 的渐近线方程为 ,其倾斜角分别为 , , 因为过 且倾斜角为 的直线与双曲线的右支交于A,B两点,所以 的取值范围是 ,故A错误. 对于选项B,由双曲线的定义可知 ,又 ,故 , ,由 ,得 ,所以 ,连接 ,则 ,由 得 ,在 中,由余弦定理得 , 得 ,故 ,故B正确. 对于选项C,因为C的离心率 ,所以 ,设 的内切圆I的半径为r, 则 ,故 C正确. 对于选项D,设 ,因为 ,AP为 的平分线,所以 为等腰三角形,, ,则 ,在 中,OP为中位线,所 以 .设 的内切圆I与 , , 相切的切点分别为D,N,M,则 , 又 所以 , ,故D正确. 故选:BCD. 三、填空题:本大题共4小题,每小题5分,共20分.把答案填在答题卡中的横线上. 13.已知双曲线的中心在原点,右顶点为 ,点 在双曲线的右支上,点 到直线 的距离 为1.当 时, 的内心恰好是点 ,则双曲线的方程 . 【解析】当 时, , 由于点 到直线 的距离为 ,所以直线 的斜率 , 因为点 为 的内心,故 是双曲线上关于 轴对称的两点, 所以 轴,不妨设直线 交 轴于点 ,则 ,所以点 的坐标为 , 所以 两点的横坐标均为 ,把 代入直线 的方程: ,得 , 所以 两点的坐标分别为: , 设双曲线方程为: ,把点 的坐标代入方程得到 , 所以双曲线方程为: .14.已知双曲线 的左、右焦点分别为 , ,P是C在第一象限上的一点,且 直线 的斜率为 ,点B为 的内心,直线PB交x轴于点A,且 ,则双曲线C的渐近 线方程为 . 【解析】如图所示,设内切圆 与 的三边分别相切于 三点, 过P作 轴于M点,因为 , , , 又由双曲线定义得 ,即 ,由 ,故 ,即 点横坐标为 ,因为直线 的斜率为 ,所以 , , 又因为 ,所以 ,故直线 的方程为 ,令 ,可得 ,即 , 因为 ,且 ,所以 ,故 , 可得 , , 在 中,由余弦定理得 ,即 ,化简得 , 即 ,解得 ,或 (舍去),所以 , 故双曲线C的渐近线方程为 或 . 故答案为: 或 . 15.已知双曲线 的左、右焦点分别为 , ,M是双曲线C右支上一点,记 的重心为G,内心为I.若 ,则双曲线C的离心率为 . 【解析】如图,连接MG,MI并延长,与 分别交于点O,D, 设双曲线C的焦距为2c,由题意,得 , 因为 ,且G为重心,则 ,所以 , 因为I为 的内心,所以MD为 的平分线,所以 ,所以 , 又 ,所以 , , 设 的内切圆半径为r,则M到x轴的距离为3r, 因为 , , 所以 ,所以 ,所以双曲线C的离心率 . 16.已知 , 分别为椭圆 的左、右焦点,点 在椭圆上,点 为 的内心,若 ,则 的面积为 . 【解析】延长 交 轴于点 ,设 ,则 , ,因此, ,得 ,因此 . 设 , ,则 内切圆的半径 . 又 ,所以 ,即 . 因为 ,所以 ,(椭圆的定义的应用) 由 ,可得 ,即 ,所以 ,故 , (角平分线定理:三角形一个角的平分线与其对边所成的两条线段与这个角的两边对应成比例) 因此 , ,由余弦定理得 ,因此 , 所以 ,故 的面积为 . 四、解答题:本大题共6小题,共70分.解答应写出必要的文字说明、证明过程或演算步骤. 17.已知椭圆 的左、右焦点分别为 ,其离心率是 , 为椭圆上异于长轴端 点的一点, ,设 的内心为 ,且 . (Ⅰ)求椭圆 的方程; (Ⅱ)已知直线 过定点 ,若椭圆 上存在两点 关于直线 对称,求直线 斜率 的取值范围. 【解析】(Ⅰ)因为 的内心为 ,且 ,所以 ,又因为 , 所以 ,即椭圆 的方程为 . (Ⅱ)(ⅰ)由题意当 时,显然合题意; (ⅱ)当 时,设直线 , 中点是 , 由 ,得 , 由 得, ① 由 ,得 , 所以 在直线 上, 即 ,所以 ② ①②得 ,所以 且 . 综合(ⅰ)(ⅱ)即直线 斜率 的取值范围是 .18.已知椭圆C: ,直线 与以原点为圆心,以椭圆C的短半轴长为半径的 圆相切, 为其左、右焦点,P为椭圆C上任一点, 的重心为G,内心为I,且 . (1)求椭圆C的方程; (2)若直线 与椭圆C交于不同的两点A、B,且线段AB的垂直平分线 过定点 ,求实数k的取值范围. 【解析】(1)设 ,则 ,设 ,则由 ,可得 , ∵ ,∴ ∴ ,即 , ∵直线y 与以原点为圆心,以椭圆C的短半轴长为半径的圆相切 ∴ ,∴ ,∴椭圆的方程为 ; (2)设 ,则直线方程代入椭圆方程可得 , 由 ,可得 ,即 , ∵ ,∴ , ∴线段AB的中点R的坐标为 , ∵线段AB的垂直平分线 的方程为 ,R在直线 上, ∴ ,∴m ,∴ , ∴ ,∴ 或 .19.已知 是圆 : 上的动点,点 ,直线 与圆 的另一个交点为 ,点 在直线 上, ,动点 的轨迹为曲线 . (1)求曲线 的方程; (2)若过点 的直线 与曲线 相交于 , 两点,且 , 都在 轴上方,问:在 轴上是否存在定 点 ,使得 的内心在一条定直线上?请你给出结论并证明. 【解析】(1)圆 的圆心为 ,半径 , 因为 ,所以 ,又因为 ,所以 , 所以 , 所以点 在以 , 为焦点, 为实轴长的双曲线上, 设双曲线的方程为 ,则 , . 所以 , , 又 不可能在 轴上,所以曲线 的方程为 . (2)在 轴上存在定点 ,使得 的内心在一条定直线上. 证明如下:由条件可设 : .代入 ,得 ,设 , ,则 ,得 , 所以 所以 ,取 , 则 又 , 都在 轴上方,所以 的平分线为定直线 , 所以在 轴上存在定点 ,使得 的内心在定直线 上. 20.已知椭圆 , 直线 与以原点为圆心,以椭圆 的短半轴为半径的圆相切, 为其左右焦点, 为椭圆 上的任意一点, 的重心为 ,内心为 ,且 , (Ⅰ)求椭圆 的方程; (Ⅱ)已知 为椭圆 上的左顶点,直线 过右焦点 与椭圆 交于 两点,若 的斜率 满 足 ,求直线 的方程. 【解析】 (Ⅰ)设 , ,则 又 , , ,,故 . 又直线 与以原点为圆心,以椭圆 的短半轴为半径的圆相切, , , . . (Ⅱ)若直线 斜率不存在,显然 不合题意; 则直线 的斜率存在. 设直线 为 ,直线 和椭圆交于 , . 将 代入 中得到: , 依题意: , 由韦达定理可知: 又 而 从而 求得 ,故所求直线 的方程为: ,即 21.已知点 是双曲线 的左、右焦点, 是 右支上一点, 的周长为 , 为 的内心,且满足 .(1)求双曲线 的标准方程; (2)过 的直线 与双曲线的右支交于 两点,与 轴交于点 ,满足 (其中 ),求 的取值范围. 【解析】(1)设 内切圆半径为 , 由题意 . 所以 ,因为 的周长为 , 所以 ,所以 , 所以 ,所以双曲线的标准方程为 . (2)由题知,直线 斜率存在且不为 ,可设其方程为 , ,联立 ,整理得 因为直线 与双曲线右支交于两点,则有 , 解得 ,所以 , 因为 ,所以 , 所以 ,即 ,同理 , 所以 ,①② 两式相除得 . 因为 , 当 与渐近线 平行时, ,此时 , 因为 与双曲线右支交于两点,所以 ,.所以 ,所以 , 即 的取值范围为 . 22.已知椭圆 的右焦点为 ,点A,B在椭圆C上,点 到直线 的距 离为 ,且 的内心恰好是点D. (1)求椭圆C的标准方程; (2)已知O为坐标原点,M,N为椭圆上不重合两点,且M,N的中点H在直线 上,求 面积的 最大值. 【解析】(1)设椭圆 的左焦点为 ,则 , 故点 到直线 的距离等于 ,因为 的内心恰好是点D,所以点 到直线 的距离相等且为 ,则 即为点 到直线 的距离, 所以 ,即 轴,由 ,令 ,则 , 不妨取 ,则 ,故直线 的方程为 ,即 , 则点 到直线 的距离为 ,即 , 又 ,所以 ,所以椭圆C的标准方程为 ; (2)设 ,则 , 因为M,N为椭圆上不重合两点, 则有 ,两式相减得 , 则 ,即 , 设直线 的方程为 , 联立 ,消 得 , ,解得 , 所以 , ,则 , 原点 到直线 的距离 ,, 故 , 当且仅当 ,即 时,取等号,所以 面积的最大值为 .