当前位置:首页>文档>中考大题07几何中的最值问题(5大题型)(解析版)_02中考总复习(2026版更新中)_02-数学-中考总复习_2024年中考复习资料_二轮复习资料_大题精做

中考大题07几何中的最值问题(5大题型)(解析版)_02中考总复习(2026版更新中)_02-数学-中考总复习_2024年中考复习资料_二轮复习资料_大题精做

  • 2026-04-07 01:22:40 2026-04-07 01:16:34

文档预览

中考大题07几何中的最值问题(5大题型)(解析版)_02中考总复习(2026版更新中)_02-数学-中考总复习_2024年中考复习资料_二轮复习资料_大题精做
中考大题07几何中的最值问题(5大题型)(解析版)_02中考总复习(2026版更新中)_02-数学-中考总复习_2024年中考复习资料_二轮复习资料_大题精做
中考大题07几何中的最值问题(5大题型)(解析版)_02中考总复习(2026版更新中)_02-数学-中考总复习_2024年中考复习资料_二轮复习资料_大题精做
中考大题07几何中的最值问题(5大题型)(解析版)_02中考总复习(2026版更新中)_02-数学-中考总复习_2024年中考复习资料_二轮复习资料_大题精做
中考大题07几何中的最值问题(5大题型)(解析版)_02中考总复习(2026版更新中)_02-数学-中考总复习_2024年中考复习资料_二轮复习资料_大题精做
中考大题07几何中的最值问题(5大题型)(解析版)_02中考总复习(2026版更新中)_02-数学-中考总复习_2024年中考复习资料_二轮复习资料_大题精做
中考大题07几何中的最值问题(5大题型)(解析版)_02中考总复习(2026版更新中)_02-数学-中考总复习_2024年中考复习资料_二轮复习资料_大题精做
中考大题07几何中的最值问题(5大题型)(解析版)_02中考总复习(2026版更新中)_02-数学-中考总复习_2024年中考复习资料_二轮复习资料_大题精做
中考大题07几何中的最值问题(5大题型)(解析版)_02中考总复习(2026版更新中)_02-数学-中考总复习_2024年中考复习资料_二轮复习资料_大题精做
中考大题07几何中的最值问题(5大题型)(解析版)_02中考总复习(2026版更新中)_02-数学-中考总复习_2024年中考复习资料_二轮复习资料_大题精做
中考大题07几何中的最值问题(5大题型)(解析版)_02中考总复习(2026版更新中)_02-数学-中考总复习_2024年中考复习资料_二轮复习资料_大题精做
中考大题07几何中的最值问题(5大题型)(解析版)_02中考总复习(2026版更新中)_02-数学-中考总复习_2024年中考复习资料_二轮复习资料_大题精做
中考大题07几何中的最值问题(5大题型)(解析版)_02中考总复习(2026版更新中)_02-数学-中考总复习_2024年中考复习资料_二轮复习资料_大题精做
中考大题07几何中的最值问题(5大题型)(解析版)_02中考总复习(2026版更新中)_02-数学-中考总复习_2024年中考复习资料_二轮复习资料_大题精做
中考大题07几何中的最值问题(5大题型)(解析版)_02中考总复习(2026版更新中)_02-数学-中考总复习_2024年中考复习资料_二轮复习资料_大题精做
中考大题07几何中的最值问题(5大题型)(解析版)_02中考总复习(2026版更新中)_02-数学-中考总复习_2024年中考复习资料_二轮复习资料_大题精做
中考大题07几何中的最值问题(5大题型)(解析版)_02中考总复习(2026版更新中)_02-数学-中考总复习_2024年中考复习资料_二轮复习资料_大题精做
中考大题07几何中的最值问题(5大题型)(解析版)_02中考总复习(2026版更新中)_02-数学-中考总复习_2024年中考复习资料_二轮复习资料_大题精做
中考大题07几何中的最值问题(5大题型)(解析版)_02中考总复习(2026版更新中)_02-数学-中考总复习_2024年中考复习资料_二轮复习资料_大题精做
中考大题07几何中的最值问题(5大题型)(解析版)_02中考总复习(2026版更新中)_02-数学-中考总复习_2024年中考复习资料_二轮复习资料_大题精做
中考大题07几何中的最值问题(5大题型)(解析版)_02中考总复习(2026版更新中)_02-数学-中考总复习_2024年中考复习资料_二轮复习资料_大题精做
中考大题07几何中的最值问题(5大题型)(解析版)_02中考总复习(2026版更新中)_02-数学-中考总复习_2024年中考复习资料_二轮复习资料_大题精做
中考大题07几何中的最值问题(5大题型)(解析版)_02中考总复习(2026版更新中)_02-数学-中考总复习_2024年中考复习资料_二轮复习资料_大题精做
中考大题07几何中的最值问题(5大题型)(解析版)_02中考总复习(2026版更新中)_02-数学-中考总复习_2024年中考复习资料_二轮复习资料_大题精做
中考大题07几何中的最值问题(5大题型)(解析版)_02中考总复习(2026版更新中)_02-数学-中考总复习_2024年中考复习资料_二轮复习资料_大题精做
中考大题07几何中的最值问题(5大题型)(解析版)_02中考总复习(2026版更新中)_02-数学-中考总复习_2024年中考复习资料_二轮复习资料_大题精做
中考大题07几何中的最值问题(5大题型)(解析版)_02中考总复习(2026版更新中)_02-数学-中考总复习_2024年中考复习资料_二轮复习资料_大题精做
中考大题07几何中的最值问题(5大题型)(解析版)_02中考总复习(2026版更新中)_02-数学-中考总复习_2024年中考复习资料_二轮复习资料_大题精做
中考大题07几何中的最值问题(5大题型)(解析版)_02中考总复习(2026版更新中)_02-数学-中考总复习_2024年中考复习资料_二轮复习资料_大题精做
中考大题07几何中的最值问题(5大题型)(解析版)_02中考总复习(2026版更新中)_02-数学-中考总复习_2024年中考复习资料_二轮复习资料_大题精做
中考大题07几何中的最值问题(5大题型)(解析版)_02中考总复习(2026版更新中)_02-数学-中考总复习_2024年中考复习资料_二轮复习资料_大题精做
中考大题07几何中的最值问题(5大题型)(解析版)_02中考总复习(2026版更新中)_02-数学-中考总复习_2024年中考复习资料_二轮复习资料_大题精做
中考大题07几何中的最值问题(5大题型)(解析版)_02中考总复习(2026版更新中)_02-数学-中考总复习_2024年中考复习资料_二轮复习资料_大题精做
中考大题07几何中的最值问题(5大题型)(解析版)_02中考总复习(2026版更新中)_02-数学-中考总复习_2024年中考复习资料_二轮复习资料_大题精做
中考大题07几何中的最值问题(5大题型)(解析版)_02中考总复习(2026版更新中)_02-数学-中考总复习_2024年中考复习资料_二轮复习资料_大题精做
中考大题07几何中的最值问题(5大题型)(解析版)_02中考总复习(2026版更新中)_02-数学-中考总复习_2024年中考复习资料_二轮复习资料_大题精做
中考大题07几何中的最值问题(5大题型)(解析版)_02中考总复习(2026版更新中)_02-数学-中考总复习_2024年中考复习资料_二轮复习资料_大题精做
中考大题07几何中的最值问题(5大题型)(解析版)_02中考总复习(2026版更新中)_02-数学-中考总复习_2024年中考复习资料_二轮复习资料_大题精做
中考大题07几何中的最值问题(5大题型)(解析版)_02中考总复习(2026版更新中)_02-数学-中考总复习_2024年中考复习资料_二轮复习资料_大题精做
中考大题07几何中的最值问题(5大题型)(解析版)_02中考总复习(2026版更新中)_02-数学-中考总复习_2024年中考复习资料_二轮复习资料_大题精做
中考大题07几何中的最值问题(5大题型)(解析版)_02中考总复习(2026版更新中)_02-数学-中考总复习_2024年中考复习资料_二轮复习资料_大题精做
中考大题07几何中的最值问题(5大题型)(解析版)_02中考总复习(2026版更新中)_02-数学-中考总复习_2024年中考复习资料_二轮复习资料_大题精做
中考大题07几何中的最值问题(5大题型)(解析版)_02中考总复习(2026版更新中)_02-数学-中考总复习_2024年中考复习资料_二轮复习资料_大题精做
中考大题07几何中的最值问题(5大题型)(解析版)_02中考总复习(2026版更新中)_02-数学-中考总复习_2024年中考复习资料_二轮复习资料_大题精做
中考大题07几何中的最值问题(5大题型)(解析版)_02中考总复习(2026版更新中)_02-数学-中考总复习_2024年中考复习资料_二轮复习资料_大题精做
中考大题07几何中的最值问题(5大题型)(解析版)_02中考总复习(2026版更新中)_02-数学-中考总复习_2024年中考复习资料_二轮复习资料_大题精做
中考大题07几何中的最值问题(5大题型)(解析版)_02中考总复习(2026版更新中)_02-数学-中考总复习_2024年中考复习资料_二轮复习资料_大题精做
中考大题07几何中的最值问题(5大题型)(解析版)_02中考总复习(2026版更新中)_02-数学-中考总复习_2024年中考复习资料_二轮复习资料_大题精做
中考大题07几何中的最值问题(5大题型)(解析版)_02中考总复习(2026版更新中)_02-数学-中考总复习_2024年中考复习资料_二轮复习资料_大题精做
中考大题07几何中的最值问题(5大题型)(解析版)_02中考总复习(2026版更新中)_02-数学-中考总复习_2024年中考复习资料_二轮复习资料_大题精做
中考大题07几何中的最值问题(5大题型)(解析版)_02中考总复习(2026版更新中)_02-数学-中考总复习_2024年中考复习资料_二轮复习资料_大题精做
中考大题07几何中的最值问题(5大题型)(解析版)_02中考总复习(2026版更新中)_02-数学-中考总复习_2024年中考复习资料_二轮复习资料_大题精做
中考大题07几何中的最值问题(5大题型)(解析版)_02中考总复习(2026版更新中)_02-数学-中考总复习_2024年中考复习资料_二轮复习资料_大题精做
中考大题07几何中的最值问题(5大题型)(解析版)_02中考总复习(2026版更新中)_02-数学-中考总复习_2024年中考复习资料_二轮复习资料_大题精做
中考大题07几何中的最值问题(5大题型)(解析版)_02中考总复习(2026版更新中)_02-数学-中考总复习_2024年中考复习资料_二轮复习资料_大题精做
中考大题07几何中的最值问题(5大题型)(解析版)_02中考总复习(2026版更新中)_02-数学-中考总复习_2024年中考复习资料_二轮复习资料_大题精做
中考大题07几何中的最值问题(5大题型)(解析版)_02中考总复习(2026版更新中)_02-数学-中考总复习_2024年中考复习资料_二轮复习资料_大题精做
中考大题07几何中的最值问题(5大题型)(解析版)_02中考总复习(2026版更新中)_02-数学-中考总复习_2024年中考复习资料_二轮复习资料_大题精做
中考大题07几何中的最值问题(5大题型)(解析版)_02中考总复习(2026版更新中)_02-数学-中考总复习_2024年中考复习资料_二轮复习资料_大题精做
中考大题07几何中的最值问题(5大题型)(解析版)_02中考总复习(2026版更新中)_02-数学-中考总复习_2024年中考复习资料_二轮复习资料_大题精做
中考大题07几何中的最值问题(5大题型)(解析版)_02中考总复习(2026版更新中)_02-数学-中考总复习_2024年中考复习资料_二轮复习资料_大题精做
中考大题07几何中的最值问题(5大题型)(解析版)_02中考总复习(2026版更新中)_02-数学-中考总复习_2024年中考复习资料_二轮复习资料_大题精做
中考大题07几何中的最值问题(5大题型)(解析版)_02中考总复习(2026版更新中)_02-数学-中考总复习_2024年中考复习资料_二轮复习资料_大题精做
中考大题07几何中的最值问题(5大题型)(解析版)_02中考总复习(2026版更新中)_02-数学-中考总复习_2024年中考复习资料_二轮复习资料_大题精做
中考大题07几何中的最值问题(5大题型)(解析版)_02中考总复习(2026版更新中)_02-数学-中考总复习_2024年中考复习资料_二轮复习资料_大题精做
中考大题07几何中的最值问题(5大题型)(解析版)_02中考总复习(2026版更新中)_02-数学-中考总复习_2024年中考复习资料_二轮复习资料_大题精做
中考大题07几何中的最值问题(5大题型)(解析版)_02中考总复习(2026版更新中)_02-数学-中考总复习_2024年中考复习资料_二轮复习资料_大题精做
中考大题07几何中的最值问题(5大题型)(解析版)_02中考总复习(2026版更新中)_02-数学-中考总复习_2024年中考复习资料_二轮复习资料_大题精做
中考大题07几何中的最值问题(5大题型)(解析版)_02中考总复习(2026版更新中)_02-数学-中考总复习_2024年中考复习资料_二轮复习资料_大题精做
中考大题07几何中的最值问题(5大题型)(解析版)_02中考总复习(2026版更新中)_02-数学-中考总复习_2024年中考复习资料_二轮复习资料_大题精做
中考大题07几何中的最值问题(5大题型)(解析版)_02中考总复习(2026版更新中)_02-数学-中考总复习_2024年中考复习资料_二轮复习资料_大题精做
中考大题07几何中的最值问题(5大题型)(解析版)_02中考总复习(2026版更新中)_02-数学-中考总复习_2024年中考复习资料_二轮复习资料_大题精做
中考大题07几何中的最值问题(5大题型)(解析版)_02中考总复习(2026版更新中)_02-数学-中考总复习_2024年中考复习资料_二轮复习资料_大题精做
中考大题07几何中的最值问题(5大题型)(解析版)_02中考总复习(2026版更新中)_02-数学-中考总复习_2024年中考复习资料_二轮复习资料_大题精做
中考大题07几何中的最值问题(5大题型)(解析版)_02中考总复习(2026版更新中)_02-数学-中考总复习_2024年中考复习资料_二轮复习资料_大题精做
中考大题07几何中的最值问题(5大题型)(解析版)_02中考总复习(2026版更新中)_02-数学-中考总复习_2024年中考复习资料_二轮复习资料_大题精做
中考大题07几何中的最值问题(5大题型)(解析版)_02中考总复习(2026版更新中)_02-数学-中考总复习_2024年中考复习资料_二轮复习资料_大题精做
中考大题07几何中的最值问题(5大题型)(解析版)_02中考总复习(2026版更新中)_02-数学-中考总复习_2024年中考复习资料_二轮复习资料_大题精做
中考大题07几何中的最值问题(5大题型)(解析版)_02中考总复习(2026版更新中)_02-数学-中考总复习_2024年中考复习资料_二轮复习资料_大题精做
中考大题07几何中的最值问题(5大题型)(解析版)_02中考总复习(2026版更新中)_02-数学-中考总复习_2024年中考复习资料_二轮复习资料_大题精做
中考大题07几何中的最值问题(5大题型)(解析版)_02中考总复习(2026版更新中)_02-数学-中考总复习_2024年中考复习资料_二轮复习资料_大题精做
中考大题07几何中的最值问题(5大题型)(解析版)_02中考总复习(2026版更新中)_02-数学-中考总复习_2024年中考复习资料_二轮复习资料_大题精做
中考大题07几何中的最值问题(5大题型)(解析版)_02中考总复习(2026版更新中)_02-数学-中考总复习_2024年中考复习资料_二轮复习资料_大题精做
中考大题07几何中的最值问题(5大题型)(解析版)_02中考总复习(2026版更新中)_02-数学-中考总复习_2024年中考复习资料_二轮复习资料_大题精做
中考大题07几何中的最值问题(5大题型)(解析版)_02中考总复习(2026版更新中)_02-数学-中考总复习_2024年中考复习资料_二轮复习资料_大题精做
中考大题07几何中的最值问题(5大题型)(解析版)_02中考总复习(2026版更新中)_02-数学-中考总复习_2024年中考复习资料_二轮复习资料_大题精做
中考大题07几何中的最值问题(5大题型)(解析版)_02中考总复习(2026版更新中)_02-数学-中考总复习_2024年中考复习资料_二轮复习资料_大题精做
中考大题07几何中的最值问题(5大题型)(解析版)_02中考总复习(2026版更新中)_02-数学-中考总复习_2024年中考复习资料_二轮复习资料_大题精做
中考大题07几何中的最值问题(5大题型)(解析版)_02中考总复习(2026版更新中)_02-数学-中考总复习_2024年中考复习资料_二轮复习资料_大题精做
中考大题07几何中的最值问题(5大题型)(解析版)_02中考总复习(2026版更新中)_02-数学-中考总复习_2024年中考复习资料_二轮复习资料_大题精做
中考大题07几何中的最值问题(5大题型)(解析版)_02中考总复习(2026版更新中)_02-数学-中考总复习_2024年中考复习资料_二轮复习资料_大题精做
中考大题07几何中的最值问题(5大题型)(解析版)_02中考总复习(2026版更新中)_02-数学-中考总复习_2024年中考复习资料_二轮复习资料_大题精做
中考大题07几何中的最值问题(5大题型)(解析版)_02中考总复习(2026版更新中)_02-数学-中考总复习_2024年中考复习资料_二轮复习资料_大题精做
中考大题07几何中的最值问题(5大题型)(解析版)_02中考总复习(2026版更新中)_02-数学-中考总复习_2024年中考复习资料_二轮复习资料_大题精做
中考大题07几何中的最值问题(5大题型)(解析版)_02中考总复习(2026版更新中)_02-数学-中考总复习_2024年中考复习资料_二轮复习资料_大题精做
中考大题07几何中的最值问题(5大题型)(解析版)_02中考总复习(2026版更新中)_02-数学-中考总复习_2024年中考复习资料_二轮复习资料_大题精做
中考大题07几何中的最值问题(5大题型)(解析版)_02中考总复习(2026版更新中)_02-数学-中考总复习_2024年中考复习资料_二轮复习资料_大题精做
中考大题07几何中的最值问题(5大题型)(解析版)_02中考总复习(2026版更新中)_02-数学-中考总复习_2024年中考复习资料_二轮复习资料_大题精做
中考大题07几何中的最值问题(5大题型)(解析版)_02中考总复习(2026版更新中)_02-数学-中考总复习_2024年中考复习资料_二轮复习资料_大题精做
中考大题07几何中的最值问题(5大题型)(解析版)_02中考总复习(2026版更新中)_02-数学-中考总复习_2024年中考复习资料_二轮复习资料_大题精做
中考大题07几何中的最值问题(5大题型)(解析版)_02中考总复习(2026版更新中)_02-数学-中考总复习_2024年中考复习资料_二轮复习资料_大题精做

文档信息

文档格式
docx
文档大小
3.852 MB
文档页数
97 页
上传时间
2026-04-07 01:16:34

文档内容

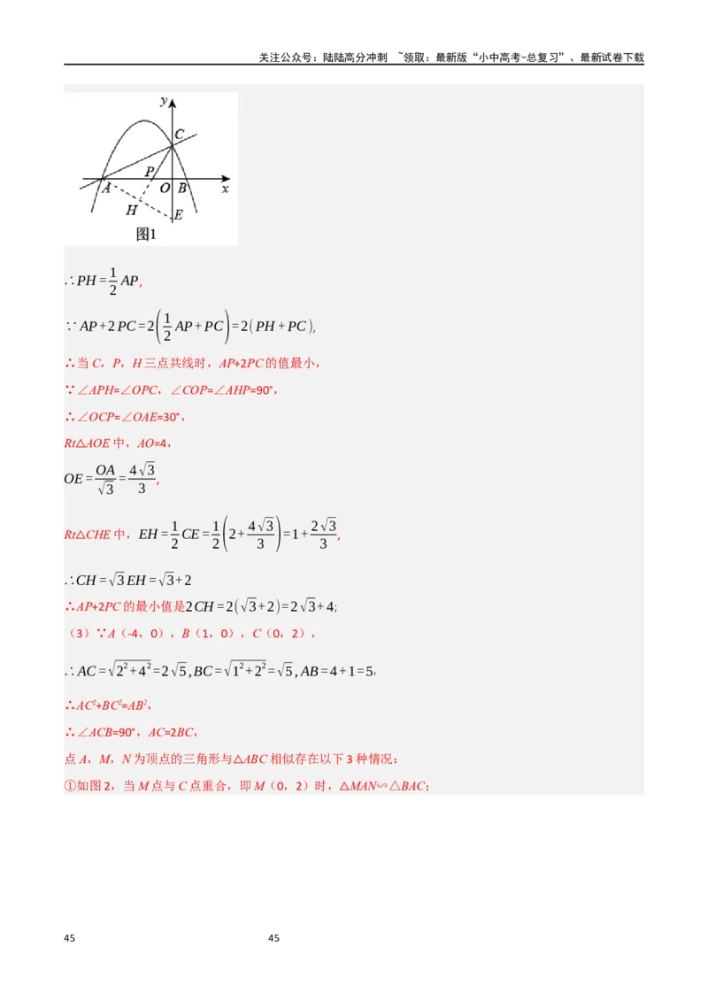
关注公众号:陆陆高分冲刺 ~领取:最新版“小中高考-总复习”、最新试卷下载 中考大题 07 几何中的最值问题 在中考数学中,几何最值问题的考察,在小题中通常是选择或者填空题的压轴问题;在解答题中偶尔 也会作为压轴题中的第2个小问题出,难度比较大,是对学生探究能力的综合考察。在中考数学中常见的 几何最值问题是将军饮马类和辅助圆类,剩余几种虽然不经常考察,但是考到的时候难度都比较大,所以 也需要理解并掌握不同类型的几何最值问题的处理办法,这样到考到的时候才能有捷径应对。 题型一: 将军饮马模型 1.(2023·湖北鄂州·中考真题)某数学兴趣小组运用《几何画板》软件探究y=ax2(a>0)型抛物线图象. ( 1 ) 发现:如图1所示,该类型图象上任意一点P到定点F 0, 的距离PF,始终等于它到定直线l: 4a 1 y=− 的距离PN(该结论不需要证明).他们称:定点F为图象的焦点,定直线l为图象的准线, 4a 1 1 y=− 叫做抛物线的准线方程.准线l与y轴的交点为H.其中原点O为FH的中点,FH=2OF= . 4a 2a 1 1关注公众号:陆陆高分冲刺 ~领取:最新版“小中高考-总复习”、最新试卷下载 ( 1) 1 1 例如,抛物线y=2x2,其焦点坐标为F 0, ,准线方程为l:y=− ,其中PF=PN,FH=2OF= . 8 8 4 【基础训练】 1 (1)请分别直接写出抛物线y= x2 的焦点坐标和准线l的方程:___________,___________; 4 【技能训练】 1 (2)如图2,已知抛物线y= x2 上一点P(x ,y )(x >0)到焦点F的距离是它到x轴距离的3倍,求点P的 4 0 0 0 坐标; 【能力提升】 1 1 (3)如图3,已知抛物线y= x2 的焦点为F,准线方程为l.直线m:y= x−3交y轴于点C,抛物线上动 4 2 点P到x轴的距离为d ,到直线m的距离为d ,请直接写出d +d 的最小值; 1 2 1 2 【拓展延伸】 该兴趣小组继续探究还发现:若将抛物线y=ax2(a>0)平移至y=a(x−h) 2+k(a>0).抛物线 ( 1 ) ( 1 ) y=a(x−h) 2+k(a>0)内有一定点F h,k+ ,直线l过点M h,k− 且与x轴平行.当动点P在该 4a 4a 抛物线上运动时,点P到直线l的距离PP 始终等于点P到点F的距离(该结论不需要证明).例如:抛 1 ( 25) 23 物线y=2(x−1) 2+3上的动点P到点F 1, 的距离等于点P到直线l:y= 的距离. 8 8 请阅读上面的材料,探究下题: (4)如图4,点D ( −1, 3) 是第二象限内一定点,点P是抛物线y= 1 x2−1上一动点,当PO+PD取最小值 2 4 时,请求出△POD的面积. 【答案】(1)(0,1),y=−1; 2 2关注公众号:陆陆高分冲刺 ~领取:最新版“小中高考-总复习”、最新试卷下载 ( 1) (2) √2, ; 2 8 (3) √5−1 5 9 (4) 8 【分析】(1)根据题中所给抛物线的焦点坐标和准线方程的定义求解即可; 1 (2)利用两点间距离公式结合已知条件列式整理得x 2=8 y 2+2y −1,然后根据y = x 2 ,求出y , 0 0 0 0 4 0 0 进而可得x ,问题得解; 0 (3)过点P作PE⊥直线m交于点E,过点P作PG⊥准线l交于点G,结合题意和(1)中结论可知 PG=PF=d +1,PE=d ,根据两点之间线段最短可得当F,P,E三点共线时,d +d 的值最小;待定 1 2 1 2 系数法求直线PE的解析式,求得点P的坐标为(2√5−4,9−4√5),根据点E是直线PE和直线m的交点, (8 11) 求得点E的坐标为 ,− ,即可求得d 和d 的值,即可求得; 5 5 1 2 1 (4)根据题意求得抛物线y= x2−1的焦点坐标为F(0,0),准线l的方程为y=−2,过点P作PG⊥准线 4 l交于点G,结合题意和(1)中结论可知PG=PF,则PO+PD=PG+PD,根据两点之间线段最短可得 ( 1 3) 当D,P,G三点共线时,PO+PD的值最小;求得P − ,− ,即可求得△POD的面积. 2 4 1 1 【详解】(1)解:∵抛物线y= x2 中a= , 4 4 1 1 ∴ =1,− =−1, 4a 4a 1 ∴抛物线y= x2 的焦点坐标为(0,1),准线l的方程为y=−1, 4 故答案为:(0,1),y=−1; 1 (2)解:由(1)知抛物线y= x2 的焦点F的坐标为(0,1), 4 ∵点P(x ,y )(x >0)到焦点F的距离是它到x轴距离的3倍, 0 0 0 ∴√x 2+(y −1) 2=3 y ,整理得:x 2=8 y 2+2y −1, 0 0 0 0 0 0 3 3关注公众号:陆陆高分冲刺 ~领取:最新版“小中高考-总复习”、最新试卷下载 1 又∵y = x 2 , 0 4 0 ∴4 y =8 y 2+2y −1 0 0 0 1 1 解得:y = 或y =− (舍去), 0 2 0 4 ∴x =√2, 0 ( 1) ∴点P的坐标为 √2, ; 2 (3)解:过点P作PE⊥直线m交于点E,过点P作PG⊥准线l交于点G,结合题意和(1)中结论可知 PG=PF=d +1,PE=d ,如图: 1 2 若使得d +d 取最小值,即PF+PE−1的值最小,故当F,P,E三点共线时,PF+PE−1=EF−1,即 1 2 此刻d +d 的值最小; 1 2 ∵直线PE与直线m垂直,故设直线PE的解析式为y=−2x+b, 将F(0,1)代入解得:b=1, ∴直线PE的解析式为y=−2x+1, 1 ∵点P是直线PE和抛物线y= x2 的交点, 4 1 令 x2=−2x+1,解得:x =2√5−4,x =−2√5−4(舍去), 4 1 2 故点P的坐标为(2√5−4,9−4√5), ∴d =9−4√5, 1 ∵点E是直线PE和直线m的交点, 1 8 令−2x+1= x−3,解得:x= , 2 5 4 4关注公众号:陆陆高分冲刺 ~领取:最新版“小中高考-总复习”、最新试卷下载 (8 11) 故点E的坐标为 ,− , 5 5 √ ( 8) 2 ( 11) 2 ∴d = 2√5−4− + 9−4√5+ , 2 5 5 8 d +d = √5−1. 1 2 5 8 即d +d 的最小值为 √5−1. 1 2 5 1 1 (4)解:∵抛物线y= x2−1中a= , 4 4 1 1 ∴ =1,− =−1, 4a 4a 1 ∴抛物线y= x2−1的焦点坐标为F(0,0),准线l的方程为y=−2, 4 过点P作PG⊥准线l交于点G,结合题意和(1)中结论可知PG=PF,则PO+PD=PG+PD,如图: 若使得PO+PD取最小值,即PG+PD的值最小,故当D,P,G三点共线时, PO+PD=PG+PD=DG,即此刻PO+PD的值最小;如图: ( 3) ∵点D的坐标为 −1, ,DG⊥准线l, 2 1 3 ∴点P的横坐标为−1,代入y= x2−1解得y=− , 4 4 ( 1 3) 3 3 9 即P − ,− ,OP= + = , 2 4 2 4 4 5 5关注公众号:陆陆高分冲刺 ~领取:最新版“小中高考-总复习”、最新试卷下载 1 9 9 则△POD的面积为S = × ×1= . △POD 2 4 8 【点睛】本题考查了两点间距离公式结合,两点之间线段最短,三角形的面积,一次函数的交点坐标,一 次函数与抛物线的交点坐标等,解决问题的关键是充分利用新知识的结论. 2.(2023·四川宜宾·中考真题)如图,在平面直角坐标系xOy中,等腰直角三角形ABC的直角顶点 k C(3,0),顶点A、B(6,m)恰好落在反比例函数y= 第一象限的图象上. x (1)分别求反比例函数的表达式和直线AB所对应的一次函数的表达式; (2)在x轴上是否存在一点P,使△ABP周长的值最小.若存在,求出最小值;若不存在,请说明理由. 6 1 【答案】(1)y= ,y=− x+4 x 2 (2)在x轴上存在一点P(5,0),使△ABP周长的值最小,最小值是2√5+4√2. 【分析】(1)过点A作AE⊥x轴于点E,过点B作BD⊥x轴于点D,证明△ACE≌△CBD(AAS),则 CD=AE=3,BD=EC=m,由OE=3−m得到点A的坐标是(3−m,3),由A、B(6,m)恰好落在反比例 k 函数y= 第一象限的图象上得到3(3−m)=6m,解得m=1,得到点A的坐标是(2,3),点B的坐标是(6,1), x 进一步用待定系数法即可得到答案; (2)延长AE至点A',使得EA'=AE,连接A'B交x轴于点P,连接AP,利用轴对称的性质得到 AP=A'P,A'(2,−3),则AP+PB=A'B,由AB=2√5知AB是定值,此时△ABP的周长为 AP+PB+AB=AB+A'B最小,利用待定系数法求出直线A'B的解析式,求出点P的坐标,再求出周长 最小值即可. 【详解】(1)解:过点A作AE⊥x轴于点E,过点B作BD⊥x轴于点D, 则∠AEC=∠CDB=90°, 6 6关注公众号:陆陆高分冲刺 ~领取:最新版“小中高考-总复习”、最新试卷下载 ∵点C(3,0),B(6,m), ∴OC=3,OD=6, BD=m, ∴CD=OD−OC=3, ∵△ABC是等腰直角三角形, ∴∠ACB=90°,AC=BC, ∵∠ACE+∠BCD=∠CBD+∠BCD=90°, ∴∠ACE=∠CBD, ∴△ACE≌△CBD(AAS), ∴CD=AE=3,BD=EC=m, ∴OE=OC−EC=3−m, ∴点A的坐标是(3−m,3), k ∵A、B(6,m)恰好落在反比例函数y= 第一象限的图象上. x ∴3(3−m)=6m, 解得m=1, ∴点A的坐标是(2,3),点B的坐标是(6,1), ∴k=6m=6, 6 ∴反比例函数的解析式是y= , x 设直线AB所对应的一次函数的表达式为y=px+q,把点A和点B的坐标代入得, ¿,解得¿, 1 ∴直线AB所对应的一次函数的表达式为y=− x+4, 2 (2)延长AE至点A',使得EA'=AE,连接A'B交x轴于点P,连接AP, 7 7关注公众号:陆陆高分冲刺 ~领取:最新版“小中高考-总复习”、最新试卷下载 ∴点A与点A'关于x轴对称, ∴AP=A'P,A'(2,−3), ∵AP+PB=A'P+PB=A'B, ∴AP+PB的最小值是A'B的长度, ∵AB=√(2−6) 2+(3−1) 2=2√5,即AB是定值, ∴此时△ABP的周长为AP+PB+AB=AB+A'B最小, 设直线A'B的解析式是y=nx+t, 则¿, 解得¿, ∴直线A'B的解析式是y=x−5, 当y=0时,0=x−5,解得x=5, 即点P的坐标是(5,0), 此时AP+PB+AB=AB+A'B=2√5+√(2−6) 2+(−3−1) 2=2√5+4√2, 综上可知,在x轴上存在一点P(5,0),使△ABP周长的值最小,最小值是2√5+4√2. 【点睛】此题考查了反比例函数和一次函数的图象和性质、用到了待定系数法求函数解析式、勾股定理求 两点间距离、轴对称最短路径问题、全等三角形的判定和性质等知识,数形结合和准确计算是解题的关键. 8 8关注公众号:陆陆高分冲刺 ~领取:最新版“小中高考-总复习”、最新试卷下载 将军饮马模型 将军饮马问题概述:将军每天从军营A出发,先到河边饮马,然后再去河岸同侧的B地军营巡视,应该怎样走才能使路程最短? 原理 问题 模型 最值 原理 问题 模型 最值 基 求线 变 线段垂直平 本 段差 分线上的点 在直线L上求一点P, AB 式 0 模 的最 到线段两端 求PA-PB的最小值 六 型 小值 距离相等 在直线L上求一点M,求 AM+BM的最小值 变 变 求 式 AB' 式 AB 线 一 七 段 线段 和 两点 差的 三角形两边 在直线L上求一点P, 之间 之差小于第 求PA-PB的最大值 的 最大 线段 三边 最 值 最短 在直线AB和BC上分别 小 变 变 取一点M、N,求△ 值 式 PMN周长的最小值 P'P'' 式 AB' 二 八 (一动两定) 线段MN在直线L可 变 在直线AB和BC上分别 变 移动,当MN移动到 取一点M、N,求四边 PQ+ A'B'+ 式 式 什么位置时,求 形PQNM周长的最小 P'Q' MN 三 九 AM+MN+NB最小 值(两动两定) 平移 平行四边形 值 的性质+两 类最 点之间线段 小值 最短 求 变 在直线AB和BC上分别 变 A,B是河两侧的定 A'B+ 式 取一点M、N,求 PN 式 点,怎样造桥,可 线 MN 四 PM+PN的最小值 十 以让总路程最短 段 和 垂线 的 段最 最 短 小 在直线AB和BC上分别 变 值 取一点M、N,求 式 P'N PM+PN的最小值(一 五 定两动) k 1.(2023·山东济南·一模)如图,在平面直角坐标系中,双曲线y= (x>0)经过B、C两点,△ABC为直 x 角三角形,AC∥x轴,AB∥y轴,A(8,4),AC=3. 9 9关注公众号:陆陆高分冲刺 ~领取:最新版“小中高考-总复习”、最新试卷下载 (1)求反比例函数的表达式及点B的坐标; (2)点M是y轴正半轴上的动点,连接MB、MC; ①求MB+MC的最小值; k ②点N是反比例函数y= (x>0)的图像上的一个点,若△CMN是以CN为直角边的等腰直角三角形,求所 x 有满足条件的点N的坐标. 20 5 【答案】(1)y= ,(8, ) x 2 √685 (20 ) (2)① ;②N ,9 或N(−2+2√6,2+2√6) 2 9 【分析】本题考查反比例函数的综合应用,涉及待定系数法,全等三角形的判定与性质,对称变换等知识. 20 5 (1)求出C(5,4),用待定系数法可得反比例函数的表达式为y= ,令x=8得B的坐标为(8, ); x 2 5 (2)①作C关于y轴的对称点C',连接BC'交y轴于M,此时MB+MC最小,由C(5,4),B(8, ), 2 √ 5 2 √685 可得C' (−5,4),BC'= (8+5) 2+( −4) = ,即可得到答案; 2 2 20 ②设M(0,m),N(n, ),分两种情况:当C为直角顶点时,过C作TK∥y轴,过N作NT⊥TK于 n T,过M作MK⊥TK于K,由△CMN的等腰直角三角形,证明△CMK≌△NCT(AAS),可得¿,即可解 20 得N( ,9);当N为直角顶点时,过N作RS⊥y轴于S,过C作CR⊥RS于R,同理可得¿,解得 9 N(2√6−2,2√6+2). 【详解】(1)∵A(8,4),AC=3, ∴C(5,4), 10 10关注公众号:陆陆高分冲刺 ~领取:最新版“小中高考-总复习”、最新试卷下载 k 将C(5,4)代入y= 得: x k 4= , 5 解得k=20, 20 ∴反比例函数的表达式为y= , x 20 5 在y= 中,令x=8得y= , x 2 5 ∴B的坐标为(8, ); 2 (2)①作C关于y轴的对称点C',连接BC'交y轴于M,此时MB+MC最小,如图: ∵C,C'关于y轴对称, ∴MB+MC=MB+MC', 当B,M,C'共线时,MB+MC'最小,即MB+MC最小,最小值为BC'的长度, 5 由(1)知C(5,4),B(8, ), 2 ∴C' (−5,4), √ 5 2 √685 ∴BC'= (8+5) 2+( −4) = , 2 2 √685 ∴MB+MC的最小值是 ; 2 20 ②设M(0,m),N(n, ), n 当C为直角顶点时,过C作TK∥y轴,过N作NT⊥TK于T,过M作MK⊥TK于K,如图: 11 11关注公众号:陆陆高分冲刺 ~领取:最新版“小中高考-总复习”、最新试卷下载 ∵△CMN的等腰直角三角形, ∴CM=CN,∠MCK=90°−∠NCT=∠CNT, ∵∠K=90°=∠T, ∴△CMK≌△NCT(AAS), ∴CK=NT,MK=CT, ∴ ¿, 20 解得n= , 9 20 ∴N( ,9); 9 当N为直角顶点时,过N作RS⊥y轴于S,过C作CR⊥RS于R,如图: 同理可得SN=RC,SM=NR, ∴ ¿, 解得n=2√6−2或n=−2√6−2(舍去), 12 12关注公众号:陆陆高分冲刺 ~领取:最新版“小中高考-总复习”、最新试卷下载 ∴N(2√6−2,2√6+2); 20 综上所述,N的坐标为( ,9)或(2√6−2,2√6+2). 9 2.(2023·甘肃陇南·三模)(1)如图①,在Rt△ABC中,∠C=90°,AC=3,BC=4,点D是AB边上 任意一点,则CD的最小值为______. (2)如图②,在矩形ABCD中,AB=3,BC=4,点M、点N分别在BD、BC上,求CM+MN的最小 值; (3)如图③,在矩形ABCD中,AB=3,BC=4,点E是AB边上一点,且AE=2,点F是BC边上的任 意一点,把△BEF沿EF翻折,点B的对应点为点G,连接AG、CG,四边形AGCD的面积是否存在最小 值?若存在,求出四边形AGCD面积的最小值;若不存在,请说明理由. 12 96 15 【答案】(1) ;(2) ;(3)存在, 5 25 2 【分析】 本题考查四边形综合应用,主要考查了矩形的性质,点到直线的距离,轴对称,解本题的关键是确定出满 足条件的点的位置,题目综合性较强. (1)根据垂线段最短,利用用三角形的面积即可得出结论; (2)先根据轴对称确定出点M和N的位置,再利用面积求出CF,进而求出CE,最后用三角函数即可求 出CM+MN的最小值; (3)先确定出EG⊥AC时,四边形AGCD的面积最小,再用锐角三角函数求出点G到AC的距离,最后 用面积之和即可得出结论. 【详解】 解:(1)过点C作CD⊥AB于D,如图: 13 13关注公众号:陆陆高分冲刺 ~领取:最新版“小中高考-总复习”、最新试卷下载 根据垂线段最短可知此时CD最小, 在Rt△ABC中,AC=3,BC=4, ∴AB=√AC2+BC2=√32+42=5, 1 1 ∵ AC×BC= AB×CD, 2 2 AC×BC 3×4 12 ∴CD= = = , AB 5 5 12 故答案为: ; 5 (2)如图,作出点C关于BD的对称点E,过点E作EN⊥BC于N,交BD于M,连接CM, 此时CM+MN=EM+MN=EN最小; ∵四边形ABCD是矩形, ∴∠BCD=90°,CD=AB=3, ∴BD=√BC2+CD2=√32+42=5, ∵CE⊥BD, 1 1 ∴ BD×CF= BC×CD, 2 2 BC×CD 4×3 12 ∴CF= = = , BD 5 5 ∵点C与点E关于BD对称, 24 ∴CE=2CF= , 5 12 在Rt△BCF中, CF 5 3, cos∠BCF= = = BC 4 5 4 ∴sin∠BCF= , 5 14 14关注公众号:陆陆高分冲刺 ~领取:最新版“小中高考-总复习”、最新试卷下载 24 4 96 在Rt△CEN中,EN=CE⋅sin∠BCE= × = ; 5 5 25 96 ∴CM+MN的最小值为 ; 25 15 (3)四边形AGCD的面积存在最小值,最小值为 ,理由如下: 2 如图,连接AC, ∵四边形ABCD是矩形, ∴CD=AB=3,AD=BC=4,∠ABC=∠D=90°, ∴AC=√AB2+BC2=√32+42=5, ∵AB=3,AE=2, ∴点F在BC上的任何位置时,点G始终在AC的下方, 设点G到AC的距离为h, 1 1 1 1 5 ∵S =S +S = AD×CD+ AC×h= ×4×3+ ×5×h= h+6, 四边形AGCD △ACD △ACG 2 2 2 2 2 ∴当四边形AGCD的面积最小时,h最小, ∵把△BEF沿EF翻折,点B的对应点为点G, ∴EG=BE=AB−AE=1, ∴点G轨迹是以点E为圆心,1为半径的圆在矩形ABCD内部的一部分上的点, ∴EG⊥AC时,h最小, 由折叠知∠EGF=∠ABC=90°, 延长EG交AC于H,则EH⊥AC, BC 4 在Rt△ABC中,sin∠BAC= = , AC 5 EH 4 在Rt△AEH中,AE=2,sin∠BAC= = , AE 5 4 8 ∴EH= AE= , 5 5 15 15关注公众号:陆陆高分冲刺 ~领取:最新版“小中高考-总复习”、最新试卷下载 8 3 ∴h=EH−EG= −1= , 5 5 5 5 3 15 ∴S = h+6= × +6= . 四边形AGCD最小 2 2 5 2 题型二: 费马点 (2023·湖北随州·中考真题)1643年,法国数学家费马曾提出一个著名的几何问题:给定不在同一条直线 上的三个点A,B,C,求平面上到这三个点的距离之和最小的点的位置,意大利数学家和物理学家托里拆 利给出了分析和证明,该点也被称为“费马点”或“托里拆利点”,该问题也被称为“将军巡营”问题. (1)下面是该问题的一种常见的解决方法,请补充以下推理过程:(其中①处从“直角”和“等边”中选择 填空,②处从“两点之间线段最短”和“三角形两边之和大于第三边”中选择填空,③处填写角度数,④ 处填写该三角形的某个顶点) 当△ABC的三个内角均小于120°时, 如图1,将△APC绕,点C顺时针旋转60°得到△A'P'C,连接PP', 由PC=P'C,∠PCP'=60°,可知△PCP'为 ① 三角形,故PP'=PC,又P' A'=PA,故 PA+PB+PC=PA'+PB+PP'≥A'B, 由 ② 可知,当B,P,P',A在同一条直线上时,PA+PB+PC取最小值,如图2,最小值为A'B,此时 的P点为该三角形的“费马点”,且有∠APC=∠BPC=∠APB= ③ ; 已知当△ABC有一个内角大于或等于120°时,“费马点”为该三角形的某个顶点.如图3,若 ∠BAC≥120°,则该三角形的“费马点”为 ④ 点. (2)如图4,在△ABC中,三个内角均小于120°,且AC=3,BC=4,∠ACB=30°,已知点P为 △ABC的“费马点”,求PA+PB+PC的值; 16 16关注公众号:陆陆高分冲刺 ~领取:最新版“小中高考-总复习”、最新试卷下载 (3)如图5,设村庄A,B,C的连线构成一个三角形,且已知AC=4km,BC=2√3km,∠ACB=60°. 现欲建一中转站P沿直线向A,B,C三个村庄铺设电缆,已知由中转站P到村庄A,B,C的铺设成本分 别为a元/km,a元/km,√2a元/km,选取合适的P的位置,可以使总的铺设成本最低为___________元. (结果用含a的式子表示) 【答案】(1)①等边;②两点之间线段最短;③120°;④A. (2)5 (3)2√13a 【分析】(1)根据旋转的性质和两点之间线段最短进行推理分析即可得出结论; (2)根据(1)的方法将△APC绕,点C顺时针旋转60°得到△A'P'C,即可得出可知当B,P,P',A在 同一条直线上时,PA+PB+PC取最小值,最小值为A'B,在根据∠ACB=30°可证明 ∠AC A'=∠A'CP'+∠BCP+∠PCP'=90°,由勾股定理求A'B即可, (3)由总的铺设成本=a(PA+PB+√2PC),通过将△APC绕,点C顺时针旋转90°得到△A'P'C,得 到等腰直角△PP'C,得到√2PC=PP',即可得出当B,P,P',A在同一条直线上时,P' A'+PB+PP' 取最小值,即PA+PB+√2PC取最小值为A'B,然后根据已知和旋转性质求出A'B即可. 【详解】(1)解:∵PC=P'C,∠PCP'=60°, ∴△PCP'为等边三角形; ∴PP'=PC,∠P'PC=∠PP'C=60°, 又P' A'=PA,故PA+PB+PC=PA'+PB+PP'≥A'B, 由两点之间线段最短可知,当B,P,P',A在同一条直线上时,PA+PB+PC取最小值, 最小值为A'B,此时的P点为该三角形的“费马点”, ∴∠BPC+∠P'PC=180°,∠A'P'C+∠PP'C=180°, ∴∠BPC=120°,∠A'P'C=120°, 又∵△APC≅△A'P'C, ∴∠APC=∠AP'C=120°, ∴∠APB=360°−∠APC−∠BPC=120°, 17 17关注公众号:陆陆高分冲刺 ~领取:最新版“小中高考-总复习”、最新试卷下载 ∴∠APC=∠BPC=∠APB=120°; ∵∠BAC≥120°, ∴BC>AC,BC>AB, ∴BC+AB>AC+AB,BC+AC>AB+AC, ∴三个顶点中,顶点A到另外两个顶点的距离和最小. 又∵已知当△ABC有一个内角大于或等于120°时,“费马点”为该三角形的某个顶点. ∴该三角形的“费马点”为点A, 故答案为:①等边;②两点之间线段最短;③120°;④A. (2)将△APC绕,点C顺时针旋转60°得到△A'P'C,连接PP', 由(1)可知当B,P,P',A在同一条直线上时,PA+PB+PC取最小值,最小值为A'B, ∵∠ACP=∠A'CP', ∴∠ACP+∠BCP=∠A'CP'+∠BCP=∠ACB=30°, 又∵∠PCP'=60° ∴∠BC A'=∠A'CP'+∠BCP+∠PCP'=90°, 由旋转性质可知:AC=A'C=3, ∴A'B=√BC2+A'C2=√42+32=5, ∴PA+PB+PC最小值为5, (3)∵总的铺设成本=PA·a+PB·a+PC·√2a=a(PA+PB+√2PC) ∴当PA+PB+√2PC最小时,总的铺设成本最低, 将△APC绕,点C顺时针旋转90°得到△A'P'C,连接PP',A'B 由旋转性质可知:P'C=PC,∠PCP'=∠AC A'=90°,P' A'=PA,A'C=AC=4km, ∴PP'=√2PC, ∴PA+PB+√2PC=P' A'+PB+PP', 当B,P,P',A在同一条直线上时,P' A'+PB+PP'取最小值,即PA+PB+√2PC取最小值为A'B, 18 18关注公众号:陆陆高分冲刺 ~领取:最新版“小中高考-总复习”、最新试卷下载 过点A'作A'H⊥BC,垂足为H, ∵∠ACB=60°,∠AC A'=90°, ∴∠A'CH=30°, 1 ∴A'H= A'C=2km, 2 ∴HC=√AC2−AH2=√42−22=2√3(km), ∴BH=BC+CH=2√3+2√3=4√3(km), ∴A'B=√AH2+BH2=√ (4√3) 2+22=2√13(km) PA+PB+√2PC的最小值为2√13km 总的铺设成本=PA·a+PB·a+PC·√2a=a(PA+PB+√2PC)=2√13a(元) 故答案为:2√13a 【点睛】本题考查了费马点求最值问题,涉及到的知识点有旋转的性质,等边三角形的判定与性质,勾股 定理,以及两点之间线段最短等知识点,读懂题意,利用旋转作出正确的辅助线是解本题的关键. 【基础】费马点常见结论: 1)对于一个各角不超过120°的三角形,费马点是对各边的张角都是120°的点; 2)对于有一个角超过120°的三角形,费马点就是这个内角的顶点. (注意:通常涉及费马点的试题中三角形的最大顶角小于120°) 【解题思路】运用旋转的方法,以∆ABC任意一条边向外旋转60°构造等边三角形,根据两点之间线段最 短,得出最短长度,即当A,A’,P,P’四点共线时取最小值. 19 19关注公众号:陆陆高分冲刺 ~领取:最新版“小中高考-总复习”、最新试卷下载 A A' A A' A P' P' P P P C B C B B C 【进阶】加权费马点模型概述:前面学的PA+PB+PC最小值的费马点问题线段前面系数都是l,如果现在求 mPA+nPB+xPC最小值,前面系数不是1,那么此类题目就叫做“加权费马点”. 【关键】系数的改变只是影响了旋转角度的改变,依然考的是旋转. 已知:在Rt△ABC中,∠ACB=30°,BC=6,AC=5, △ABC内部有一点P,连接PA,PB,PC A P C B 20 20关注公众号:陆陆高分冲刺 ~领取:最新版“小中高考-总复习”、最新试卷下载 21 21关注公众号:陆陆高分冲刺 ~领取:最新版“小中高考-总复习”、最新试卷下载 备注:若变形后的系数不是特殊值,则可借助位似的相关知识进行求解. 1.(2023·贵州遵义·三模)(1)【问题发现】如图①,在△OAB中,若将△OAB绕点O逆时针旋转120° 得到△OA'B',连接BB';求∠OBB'= ; (2)【问题探究】如图②,已知△ABC是边长为4√3的等边三角形,以BC为边向外作等边三角形BCD, P为△ABC内一点,将线段CP绕点C逆时针旋转60°,点P的对应点为点Q. ①求证:△DCQ≌△BCP; ②求PA+PB+PC的最小值; (3)【实际应用】如图③,在矩形ABCD中,AB=600,AD=800,P是矩形内一动点 S =2S ,Q为△ADP内任意一点,是否存在点P和点Q,使得AQ+DQ+PQ有最小值?若存在 △PAD △PBC 求其值;若不存在,请说明理由. 【答案】(1)30°;(2)①见解析;②12;(3)存在,400√3+400 【分析】(1)根据旋转的性质得出OB'=OB,∠BOB'=120°,根据等腰三角形的性质求出结果即可; (2)①根据等边三角形的性质证明全等即可; ②连接PQ,得到△CPQ是等边三角形,由两点之间线段最短得AP+DQ+PQ≥AD,求出AD即可得解; (3)过点P作EF∥AD交AB于点E,交CD于点F,将△ADQ绕点A逆时针旋转60°得△AD'Q',连接 DD',QQ',D'P,设D'P交AD于点G,由S =2S 可得AE=2BE,进而求得AE=400,当 △PAD △PBC D'P⊥EF时,D'P有最小值,运用勾股定理可求解. 【详解】(1)解:∵将△OAB绕点O逆时针旋转120°得到△OA'B', 22 22关注公众号:陆陆高分冲刺 ~领取:最新版“小中高考-总复习”、最新试卷下载 ∴OB'=OB=3,∠BOB'=120°, ∴∠OBB'=∠OB'B=30°, 故答案为:30°; (2)①证明:∵△BDC是等边三角形, ∴CD=CB,∠DCB=60°, 由旋转得∠PCQ=60°,PC=CQ, ∴∠DCQ=∠BCP, 在△DCQ和△BCP中, ¿, ∴△DCQ≌△BCP(SAS); ②连接PQ, ∵PC=CQ,∠PCQ=60°, ∴△CPQ是等边三角形, ∴PQ=PC, ∵△DCQ≌△BCP, ∴PB=DQ, ∴PA+PB+PC=PA+QD+PQ, 由两点之间线段最短得AP+DQ+PQ≥AD, ∴PA+PB+PC≥AD, ∴当点A、P、Q、D在同一条直线上时,PA+PB+PC取最小值,为AD的值, 延长AC,作DE⊥AC,交AC的延长线于点E, ∵△ABC是边长为4√3的等边三角形, ∴AC=CD=CB=4√3,∠BCD=∠ACB=60°, ∴∠DCE=180°−60°−60°=60°, ∴∠CDE=90°−60°=30°, 1 ∴EC= CD=2√3, 2 23 23关注公众号:陆陆高分冲刺 ~领取:最新版“小中高考-总复习”、最新试卷下载 ∴DE=√CD2−CE2=6,AE=AC+CE=6√3, ∴AD=√DE2+AE2=12, 即PA+PB+PC取最小值为12. (3)存在一点P和一点Q,使得AQ+DQ+PQ有最小值,理由如下: 过点P作EF∥AD交AB于点E,交CD于点F,将△ADQ绕点A逆时针旋转60°得△AD'Q',连接 DD',QQ',D'P,设D'P交AD于点G,如图所示: 由(2)知,当P,Q,Q',D'在同一直线上时,AQ+DQ+PQ有最小值,最小值为D'P, 在矩形ABCD中,AB=600,AD=800, ∴BC=AD=800,AD∥BC,∠ABC=∠BCD=∠BAD=90°, ∵EF∥AD, ∴∠AEF=∠EFD=90°, ∴四边形ADFE是矩形, ∴EF=AD=800, ∵S =2S , △PAD △PBC 1 1 ∴ AD⋅AE=2× ×BE×BC, 2 2 ∴AE=2BE, ∵AE+BE=AB=600, ∴AE=400, ∵点P在EF上, ∴当D'P⊥EF时,D'P有最小值, 24 24关注公众号:陆陆高分冲刺 ~领取:最新版“小中高考-总复习”、最新试卷下载 ∵EF∥AD, ∴D'P⊥AD, ∵△ADD'是等边三角形, 1 ∴AD'=AD=800,AG= AD=400,∠AGD'=90°, 2 ∴D'G=√AD'2−AG2=400√3, ∵∠EAG=∠AEP=∠EPG=90°, ∴四边形AEPG是矩形, ∴GP=AE=400, ∴D'P=D'G+GP=400√3+400, ∴AQ+DQ+PQ的最小值为400√3+400. 【点睛】本题主要考查了等边三角形的判定和性质,全等三角形的判定和性质,矩形的判定和性质,勾股 定理,旋转的性质,解题的关键是结合旋转的性质、三角形全等的判定和性质、勾股定理. 2.(2022·山东德州·一模)若一个三角形的最大内角小于120°,则在其内部有一点所对三角形三边的张角 均为120°,此时该点叫做这个三角形的费马点.如图1,当△ABC三个内角均小于120°时,费马点P在 △ABC内部,此时∠APB=∠BPC=∠CPA=120°,PA+PB+PC的值最小. (1)如图2,等边三角形ABC内有一点P,若点P到顶点A,B,C的距离分别为3,4,5,求∠APB的度数. 为了解决本题,小林利用“转化”思想,将△ABP绕顶点A旋转到△ACP'处,连接PP',此时 △ACP'≌△ABP,这样就可以通过旋转变换,将三条线段PA,PB,PC转化到一个三角形中,从而求出 25 25关注公众号:陆陆高分冲刺 ~领取:最新版“小中高考-总复习”、最新试卷下载 ∠APB=______. (2)如图3,在图1的基础上延长BP,在射线BP上取点D,E,连接AE,AD.使AD=AP, ∠DAE=∠PAC,求证:BE=PA+PB+PC. (3)如图4,在直角三角形ABC中 ,∠ABC=90°,∠ACB=30°,AB=1,点P为直角三角形ABC的费 马点,连接AP,BP,CP,请直接写出PA+PB+PC的值. 【答案】(1)150° (2)见解析 (3)√7 【分析】(1)由全等三角形的性质得到AP′=AP=3、CP′=BP=4,∠AP′C=∠APB,再根据旋转性质, 证明△APP′为等边三角形,△PP′C为直角三角形,最后由∠APB=∠AP′C=∠AP′P+∠PP′C解答; (2)由费马点的性质得到∠APB=120°,∠APD=60°,再证明△APC≌△ADE (ASA),由全等三角 形对应边相等的性质解得PC=DE,最后根据线段的和差解答; (3)将△APB绕点B顺时针旋转60°至△A′P′B处,连接PP′,由勾股定理解得BC=√3,由旋转的性质, 可证明△BPP′是等边三角形,再证明C、P、A′、P′四点共线,最后由勾股定理解答. 【详解】(1)解:∵△ACP'≌△ABP, ∴AP′=AP=3、CP′=BP=4,∠AP′C=∠APB, 由题意知旋转角∠PAP′=60°, ∴△APP′为等边三角形, PP′=AP=3,∠AP′P=60°, 由旋转的性质可得:AP′=AP=PP′=3,CP′=4,PC=5, ∵32+42=52 ∴△PP′C为直角三角形,且∠PP′C=90°, ∴∠APB=∠AP′C=∠AP′P+∠PP′C=60°+90°=150°; 故答案为:150°; (2)证明:∵点P为△ABC的费马点, ∴∠APB=120°, ∴∠APD=60°, 又∵AD=AP, ∴APD为等边三角形 ∴AP=PD=AD,∠PAD=∠ADP=60°, ∴∠ADE=120°, 26 26关注公众号:陆陆高分冲刺 ~领取:最新版“小中高考-总复习”、最新试卷下载 ∴∠ADE=∠APC, 在△APC和△ADE中,¿ ∴△APC≌△ADE (ASA); ∴PC=DE, ∵BE=BP+PD+DE, ∴BE=PA+PB+PC; (3)解:如图,将△APB绕点B顺时针旋转60°至△A′P′B处,连接PP′, ∵在Rt△ABC中,∠C=90°,AC=1,∠ABC=30°, ∴AB=2, ∴BC=√AB2−AC2=√3, 把△APB绕点B顺时针方向旋转60°得到△A′P′B, ∴∠A′BC=∠ABC+60°=30°+60°=90°, ∵∠C=90°,AC=1,∠ABC=30°, ∴AB=2AC=2, ∵△APB绕点B顺时针方向旋转60°,得到△A′P′B, ∴A′B=AB=2,BP=BP′,A′P′=AP, ∴△BPP′是等边三角形, ∴BP=PP′,∠BPP′=∠BP′P=60°, ∵∠APC=∠CPB=∠BPA=120°, ∴∠CPB+∠BPP′=∠BP′A′+∠BP′P=120°+60°=180°, ∴C、P、A′、P′四点共线, 在Rt△A′BC中,A'C=√A'B2+BC2=√ (√3) 2+22=√7, ∴PA+PB+PC=A′P′+PP′+PC=A′C=√7. 27 27关注公众号:陆陆高分冲刺 ~领取:最新版“小中高考-总复习”、最新试卷下载 【点睛】本题考查全等三角形的判定与性质、等边三角形的判定与性质、勾股定理、旋转的性质、费马点 等知识,是重要考点,有难度,掌握相关知识,正确做出辅助线是解题关键. 3.(2019·山西·一模)请阅读下列材料,并完成相应的任务: 费马,17世纪德国的业余数学家,被誉为“业余数学家之王”,他独立于笛卡尔发现了解析几何的基本原 理. 费马得到过这样的结论:如图①,当三角形的三个角均小于120°时,在三角形内有一点P,使得 ∠APB=∠APC=∠BPC=120°,且该点到三角形三个顶点的距离之和最小,这个点被称为费马点. 证明:如图②,把△APC绕A点逆时针旋转60°得到△AP'C',连接PP',则∠PAP'=60°, ∵________, ∴△APP'为等边三角形. ∴AP=PP',P'C'=PC, ∴PA+PB+PC=PP'+PB+P'C', 点C'可看成是线段AC绕A点逆时针旋转60°而得的定点,BC为定长, ∴当B、P、P'、C'四点在同一直线上时,PA+PB+PC最小, 这时∠BPA=180°−∠APP'=180°−60°=120°, ∠APC=∠AP'C'=180°−∠AP'P=180°−60°=120°, ∠BPC=360°−∠BPA−∠APC=360°−120°−120°=120°. 任务:(1)横线处填写的条件是__________; 28 28关注公众号:陆陆高分冲刺 ~领取:最新版“小中高考-总复习”、最新试卷下载 (2)已知正方形ABCD内一动点E到A、B、C三点的距离之和的最小值为√2+√6,求此正方形的边长. 【答案】(1)AP=AP';(2)2. 【分析】(1)根据旋转的性质得到AP=AP'; (2)根据旋转的性质得到△EFC,△AGC都是等边三角形,再利用正方形性质和勾股定理表示出 √2 √6 √2 √6 BG=BO+GO= a+ a,根据题意得到 a+ a=√2+√6求出a的值即可. 2 2 2 2 【详解】解:(1)AP=AP'; (2)如解图①,连接AC,把△AEC绕点C顺时针旋转60°,得到△GFC, 连接EF,BG,AG,可知△EFC,△AGC都是等边三角形,则EF=CE. 又∵FG=AE, ∴AE+BE+CE=BE+EF+FG. ∵点B、点G为定点(点G为点A绕C点顺时针旋转60°所得), ∴线段BG即为点E到A,B,C三点的距离之和的最小值, 此时E,F两点都在BG上(如解图②). 设正方形的边长为a, √2 ∴BO=CO= a,GC=√2a, 2 在Rt△COG中, GO=√GC2−CO2= √ (√2a) 2 − (√2 a ) 2 = √6 a, 2 2 √2 √6 ∴BG=BO+GO= a+ a, 2 2 ∵点E到A,B,C三点的距离之和的最小值为√2+√6, 29 29关注公众号:陆陆高分冲刺 ~领取:最新版“小中高考-总复习”、最新试卷下载 √2 √6 ∴ a+ a=√2+√6,解得a=2, 2 2 ∴此正方形的边长为2. 【点睛】本题考查了图形旋转的性质,正方形的性质,勾股定理的应用,中等难度,掌握正方形的性质是解题关 键,主要失分原因是: (1)未掌握图形旋转的性质;(2)不能够将题目探究过程中的发现进行推广应用. 题型三: 阿氏圆 1.(2023·山东烟台·中考真题)如图,抛物线y=ax2+bx+5与x轴交于A,B两点,与y轴交于点 C,AB=4.抛物线的对称轴x=3与经过点A的直线y=kx−1交于点D,与x轴交于点E. (1)求直线AD及抛物线的表达式; (2)在抛物线上是否存在点M,使得△ADM是以AD为直角边的直角三角形?若存在,求出所有点M的坐标; 若不存在,请说明理由; 1 (3)以点B为圆心,画半径为2的圆,点P为⊙B上一个动点,请求出PC+ PA的最小值. 2 【答案】(1)直线AD的解析式为y=x−1;抛物线解析式为y=x2−6x+5 (2)存在,点M的坐标为(4,−3)或(0,5) 或(5,0) (3)√41 【分析】 (1)根据对称轴x=3,AB=4,得到点A及B的坐标,再利用待定系数法求解析式即可; (2)先求出点D的坐标,再分两种情况:①当∠DAM=90°时,求出直线AM的解析式为y=−x+1,解 方程组¿,即可得到点M的坐标;②当∠ADM=90°时,求出直线DM的解析式为y=−x+5,解方程组¿, 即可得到点M的坐标; BF PB (3)在AB上取点F,使BF=1,连接CF,证得 = ,又∠PBF=∠ABP,得到△PBF∽△ABP, PB AB 30 30关注公众号:陆陆高分冲刺 ~领取:最新版“小中高考-总复习”、最新试卷下载 1 1 推出PF= PA,进而得到当点C、P、F三点共线时,PC+ PA的值最小,即为线段CF的长,利用勾股 2 2 定理求出CF即可. 【详解】(1)解:∵抛物线的对称轴x=3,AB=4, ∴A(1,0),B(5,0), 将A(1,0)代入直线y=kx−1,得k−1=0, 解得k=1, ∴直线AD的解析式为y=x−1; 将A(1,0),B(5,0)代入y=ax2+bx+5,得 ¿,解得¿, ∴抛物线的解析式为y=x2−6x+5; (2)存在点M, ∵直线AD的解析式为y=x−1,抛物线对称轴x=3与x轴交于点E. ∴当x=3时,y=x−1=2, ∴D(3,2), ①当∠DAM=90°时, 设直线AM的解析式为y=−x+c,将点A坐标代入, 得−1+c=0, 解得c=1, ∴直线AM的解析式为y=−x+1, 解方程组¿, 得¿或¿, ∴点M的坐标为(4,−3); ②当∠ADM=90°时, 设直线DM的解析式为y=−x+d,将D(3,2)代入, 得−3+d=2, 解得d=5, ∴直线DM的解析式为y=−x+5, 解方程组¿, 解得¿或¿, ∴点M的坐标为(0,5) 或(5,0) 综上,点M的坐标为(4,−3)或(0,5) 或(5,0); 31 31关注公众号:陆陆高分冲刺 ~领取:最新版“小中高考-总复习”、最新试卷下载 (3)如图,在AB上取点F,使BF=1,连接CF, ∵PB=2, BF 1 ∴ = , PB 2 PB 2 1 ∵ = = ,、 AB 4 2 BF PB ∴ = , PB AB 又∵∠PBF=∠ABP, ∴△PBF∽△ABP, PF BF 1 1 ∴ = = ,即PF= PA, PA PB 2 2 1 ∴PC+ PA=PC+PF≥CF, 2 1 ∴当点C、P、F三点共线时,PC+ PA的值最小,即为线段CF的长, 2 ∵OC=5,OF=OB−1=5−1=4, ∴CF=√OC2+OF2=√52+42=√41, 1 ∴PC+ PA的最小值为√41. 2 【点睛】此题是一次函数,二次函数及圆的综合题,掌握待定系数法求函数解析式,直角三角形的性质, 勾股定理,相似三角形的判定和性质,求两图象的交点坐标,正确掌握各知识点是解题的关键. 2.(2021·四川宜宾·中考真题)如图1,在平面直角坐标系中,抛物线与x轴分别交于A、B两点,与y轴 交于点C(0,6),抛物线的顶点坐标为E(2,8),连结BC、BE、CE. (1)求抛物线的表达式; (2)判断△BCE的形状,并说明理由; 32 32关注公众号:陆陆高分冲刺 ~领取:最新版“小中高考-总复习”、最新试卷下载 1 (3)如图2,以C为圆心,√2为半径作⊙C,在⊙C上是否存在点P,使得BP+ EP的值最小,若存在, 2 请求出最小值;若不存在,请说明理由. 1 √290 【答案】(1)y=− x2+2x+6;(2)直角三角形,见解析;(3)存在, 2 2 【分析】(1)用待定系数法求函数解析式; (2)分别求出三角形三边的平方,然后运用勾股定理逆定理即可证明; √2 (3)在CE上截取CF= (即CF等于半径的一半),连接BF交⊙C于点P,连接EP,则BF的长即为 2 所求. 【详解】解:(1)∵抛物线的顶点坐标为E(2,8), ∴设该抛物线的表达式为y=a(x-2)2+8, ∵与y轴交于点C(0,6), 1 ∴把点C(0,6)代入得:a=− , 2 1 ∴该抛物线的表达式为y=− x2+2x+6; 2 (2)△BCE是直角三角形.理由如下: ∵抛物线与x轴分别交于A、B两点, 1 ∴当y=0时,− (x-2)2+8=0,解得:x=-2,x=6, 2 1 2 ∴A(-2,0),B(6,0), ∴BC2=62+62=72,CE2=(8-6)2+22=8,BE2=(6-2)2+82=80, ∴BE2=BC2+CE2, 33 33关注公众号:陆陆高分冲刺 ~领取:最新版“小中高考-总复习”、最新试卷下载 ∴∠BCE=90°, ∴△BCE是直角三角形; √2 (3)如图,在CE上截取CF= (即CF等于半径的一半),连接BF交⊙C于点P,连接EP, 2 则BF的长即为所求. 连接CP,∵CP为半径, CF CP 1 ∴ = = , CP CE 2 又∵∠FCP=∠PCE, ∴△FCP∽△PCE, CF FP 1 1 ∴ = = ,FP= EP, CP PE 2 2 1 ∴BF=BP+ EP, 2 1 由“两点之间,线段最短”可得:BF的长即BP+ EP为最小值. 2 1 ∵CF= CE,E(2,8), 4 1 13 ∴F( , ), 2 2 √ ( 1) 2 ( 13) 2 √290 ∴BF= 6− + 0− = 2 2 2 【点睛】本题考查二次函数综合,待定系数法,二次函数图象和性质,勾股定理及其逆定理,圆的性质, 相似三角形的判定和性质等,题目综合性较强,属于中考压轴题,熟练掌握二次函数图象和性质,圆的性 34 34关注公众号:陆陆高分冲刺 ~领取:最新版“小中高考-总复习”、最新试卷下载 质,相似三角形的判定和性质等相关知识是解题关键. 对于阿氏圆而言:当系数k<1的时候,一般情况下,考虑向内构造。 当系数k>1的时候,一般情况下,考虑向外构造。 【注意事项】针对求PA+kPB的最小值问题时,当轨迹为直线时,运用“胡不归模型”求解; 当轨迹为圆形时,运用“阿氏圆模型”求解. 1.(2023·广东深圳·模拟预测)【模型由来】“阿氏圆”又称“阿波罗尼斯圆”,已知平面上两点A、 PA B,则所有满足 =k(k>0且k≠1)的点的轨迹是一个圆,这个轨迹最早由古希腊数学家阿波罗尼斯发 PB 现,故称“阿氏圆”. 【模型建立】如图1所示,圆O的半径为r,点A、B都在圆O外,P为圆O上一动点,已知r=kOB,连 接PA、PB,则当“PA+kPB”的值最小时,P点的位置如何确定? 第1步:一般将含有k的线段PB两端点分别与圆心O相连,即连接OB、OP; OC OP 第2步:在OB上取点C,使得OP2=OC⋅OB,即 = ,构造母子型相似△OCP∽△OPB(图 OP OB 2); 第3步:连接AC,与圆O的交点即为点P(图3). 【问题解决】如图,⊙O与y轴、x轴的正半轴分别相交于点M、点N,⊙O半径为3,点A(0,2),点 (3 ) B ,0 ,点P在弧MN上移动,连接PA,PB. 2 35 35关注公众号:陆陆高分冲刺 ~领取:最新版“小中高考-总复习”、最新试卷下载 (1)PA+2PB的最小值是多少? (2)请求出(1)条件下,点P的坐标. 【答案】(1)2√10 6+9√6 18−3√6 (2)P( , ) 10 10 BP OP 1 【分析】(1)在x轴上取点H(6,0),连接AH,根据相似三角形的判定和性质得出 = = ,结合 HP OH 2 图形得出当点P在AH上时,PA+2PB=PA+HP=AH取得最小值,再由勾股定理求解即可; 1 (2)设直线AH的解析式为y=kx+b,利用待定系数法确定函数解析式,设P(x,− x+2),然后利用勾 3 股定理求解即可. 【详解】(1)解:如图,在x轴上取点H(6,0),连接AH, (3 ) ∵点A(0,2),点B ,0 , 2 3 ∴AO=2,OB= ,OH=6, 2 3 ∵OB 2 1 OP 3, = = = = OP 3 2 OH 6 ∠BOP=∠POH, 36 36关注公众号:陆陆高分冲刺 ~领取:最新版“小中高考-总复习”、最新试卷下载 ∴△BOP∽△POH, BP OP 1 ∴ = = , HP OH 2 ∴HP=2BP, ∴PA+2PB=PA+HP, 当点P在AH上时,PA+2PB=PA+HP=AH取得最小值, ∴AH=√22+62=2√10, 故最小值为2√10; (2)∵A(0,2),H(6,0), ∴设直线AH的解析式为y=kx+b,将点代入得: ¿,解得¿, 1 ∴y=− x+2, 3 1 设P(x,− x+2), 3 ∵⊙O半径为3, 1 2 ∴x2+(− x+2) =9, 3 6+9√6 解得:x= (负值舍去), 10 18−3√6 ∴y= , 10 6+9√6 18−3√6 ∴P( , ) . 10 10 【点睛】题目主要考查相似三角形的判定和性质,最短路径问题及一次函数解析式的确定,理解题意,作 出相应辅助线是解题关键. 2.(2020·山西·模拟预测)阅读以下材料,并按要求完成相应任务.阿波罗尼斯(ApolloniusofPerga),古 希腊人(公元前262~190年),数学家,写了八册圆锥曲线论著,其中有七册流传下来,书中详细讨论了 圆锥曲线的各种性质,阿波罗尼斯圆是他的论著中一个著名的问题.一动点P与两定点A,B的距离之比 等于定比m:n,则点P的轨迹是以定比m:n(m:n≠1)内分和外分线段AB的两个分点的连线为直径的圆, 这个圆称为阿波罗尼斯圆,简称“阿氏圆”. 37 37关注公众号:陆陆高分冲刺 ~领取:最新版“小中高考-总复习”、最新试卷下载 PA m 如图1,点A,B为两定点,点P为动点,满足 = ,点M在线段AB上,点N在AB的延长线上且 PB n MA NA m(m ) = = ≠1 ,则点P的运动轨迹是以MN为直径的圆. MB NB n n 下面是“阿氏圆”的证明过程(部分): 过点B作BD//AP交PM的延长线于点D. ∴∠A=∠ABD,∠APM=∠BDM. ∴△APM∽△BDM. PA MA ∴ = . BD MB MA m PA 又∵ = = , MB n PB PA PA ∴ = . BD PB ∴BD=BP. ∴∠BPD=∠BDP. ∴∠APD=∠BPD. NA PA 如图2,在图1(隐去MD,BD)的基础上过点B作BE//PN交AP于点E,可知 = ,…… NB PE 任务: (1)判断PN是否平分∠BPC,并说明理由; (2)请根据上面的部分证明及任务(1)中的结论,完成“阿氏圆”证明的剩余部分; (3)应用:如图3,在平面直角坐标系xOy中,A(−2,0),B(1,0),PA=2PB,则点P所在圆的圆心坐 标为________. 【答案】(1)PN平分∠BPC.理由见解析;(2)点P的运动轨迹是以MN为直径的圆,见解析;(3) (2,0) 【分析】(1)利用相似三角形的判定及性质仿照图1的证明即可得证; 38 38关注公众号:陆陆高分冲刺 ~领取:最新版“小中高考-总复习”、最新试卷下载 (2)根据90°的圆周角所对的弦是直径即可证得点P的运动轨迹是以MN为直径的圆; (3)结合题目所给的材料分别求得AB的内分点和外分点的坐标,进而可求得点P所在圆的圆心坐标. 【详解】解:(1)PN平分∠BPC.理由如下: NA m PA NA PA ∵ = = , = , NB n PB NB PE PA PA ∴ = . PB PE ∴PB=PE. ∴∠PEB=∠PBE. ∵BE//PN, ∴∠PEB=∠CPN,∠PBE=∠BPN. ∴∠BPN=∠CPN, 即PN平分∠BPC. 1 1 (2)∵∠APM=∠BPM= ∠APB,∠BPN=∠CPN= ∠BPC, 2 2 且∠APB+∠BPC=180°, 1 ∴∠MPN= ∠APC=90°. 2 ∴MN为直径. ∴点P的运动轨迹是以MN为直径的圆. (3)∵A(−2,0),B(1,0), ∴AB=3,且AO=2OB, ∵PA=2PB, ∴点O为AB的内分点, 当点C为AB的外分点时,CA=2CB, ∴CB=AB=3, ∴OC=OB+BC=4, ∴点C的坐标为(4,0), ∴点P所在圆的圆心坐标为(2,0). 39 39关注公众号:陆陆高分冲刺 ~领取:最新版“小中高考-总复习”、最新试卷下载 【点睛】本题考查了相似三角形的判定及性质,直径的判定,熟练掌握相似三角形的判定及性质是解决本 题的关键. 题型四: 胡不归问题 (2019·湖南张家界·中考真题)已知抛物线y=ax2+bx+c(a≠0)过点A(1,0),B(3,0)两点,与y轴交 于点C,OC=3. (1)求抛物线的解析式及顶点D的坐标; (2)过点A作AM⊥BC,垂足为M,求证:四边形ADBM为正方形; (3)点P为抛物线在直线BC下方图形上的一动点,当ΔPBC面积最大时,求点P的坐标; 1 (4)若点Q为线段OC上的一动点,问:AQ+ QC是否存在最小值?若存在,求出这个最小值;若不存在, 2 请说明理由. 3 3 【答案】(1)抛物线的表达式为:y=x2−4x+3,顶点D(2,−1);(2)证明见解析;(3)点P( ,− );(4) 2 4 1 3+√3 存在,AQ+ QC的最小值为 . 2 2 【分析】(1)设交点式y=a(x−1)(x−3),利用待定系数法进行求解即可; (2)先证明四边形ADBM为菱形,再根据有一个角是直角的菱形是正方形即可得证; 40 40关注公众号:陆陆高分冲刺 ~领取:最新版“小中高考-总复习”、最新试卷下载 (3)先求出直线BC的解析式,过点P作y轴的平行线交BC于点N,设点P(x,x2−4x+3),则点N 1 (x,−x+3),根据S = PN×OB可得关于x的二次函数,继而根据二次函数的性质进行求解即可; ΔPBC 2 (4)存在,如图,过点C作与y轴夹角为30°的直线CF交x轴于点F,过点A作AH⊥CF,垂足为H,交y轴 1 1 于点Q,此时HQ= CQ,则AQ+ QC最小值=AQ+HQ=AH,求出直线HC、AH的解析式即可求得H点坐标, 2 2 进行求得AH的长即可得答案. 【详解】解:(1)函数的表达式为:y=a(x−1)(x−3)=a(x2−4x+3), 即:3a=3,解得:a=1, 故抛物线的表达式为:y=x2−4x+3, 则顶点D(2,−1); (2)∵OB=OC=3,∴∠OBC=∠OCB=45°, ∵A(1,0),B(3,0),∴OB=3,OA=1, ∴AB=2, ∴AM=MB=ABsin45°=√2, 又∵D(2,-1), ∴AD=BD=√(2−1) 2+(−1−0) 2=√2, ∴AM=MB=AD=BD, ∴四边形ADBM为菱形, 又∵∠AMB=90°, ∴菱形ADBM为正方形; (3)设直线BC的解析式为y=mx+n, 3m+n=0 将点B、C的坐标代入得:{ , n=3 m=−1 解得:{ , n=3 所以直线BC的表达式为:y=-x+3, 过点P作y轴的平行线交BC于点N, 设点P(x,x2−4x+3),则点N (x,−x+3), 41 41关注公众号:陆陆高分冲刺 ~领取:最新版“小中高考-总复习”、最新试卷下载 1 3 3 则S = PN×OB= (−x+3−x2+4x−3)=− (x2−3x), ΔPBC 2 2 2 3 3 ∵− <0,故S 有最大值,此时x= , 2 ΔPBC 2 3 3 故点P( ,− ); 2 4 (4)存在,理由: 如图,过点C作与y轴夹角为30°的直线CF交x轴于点F,过点A作AH⊥CF,垂足为H,交y轴于点Q, 1 此时HQ= CQ, 2 1 则AQ+ QC最小值=AQ+HQ=AH, 2 FO 在Rt△COF中,∠COF=90°,∠FOC=30°,OC=3,tan∠FCO= , CO ∴OF=√3, ∴F(-√3,0), 利用待定系数法可求得直线HC的表达式为:y=√3x+3…①, ∵∠COF=90°,∠FOC=30°, ∴∠CFO=90°-30°=60°, ∵∠AHF=90°, ∴∠FAH=90°-60°=30°, √3 ∴OQ=AO•tan∠FAQ= , 3 √3 ∴Q(0, ), 3 √3 √3 利用待定系数法可求得直线AH的表达式为:y=− x+ …②, 3 3 1−3√3 联立①②并解得:x= , 4 1−3√3 3+√3 故点H( , ),而点A(1,0), 4 4 √12+6√3 3+√3 则AH= = , 4 2 1 3+√3 即AQ+ QC的最小值为AH= . 2 2 42 42关注公众号:陆陆高分冲刺 ~领取:最新版“小中高考-总复习”、最新试卷下载 【点睛】本题考查了二次函数的综合题,涉及了待定系数法,解直角三角形的应用,正方形的判定,最值 问题等,综合性较强,有一定的难度,正确把握相关知识,会添加常用辅助线是解题的关键. 【解题关键】在求形如“BC+kAC”的式子的最值问题中,关键是构造与 kAC 相等的线段,将 “BC+kAC”型问题转化为“BC+CE”型.(若k>1,则提取系数,转化为小于1的形式解决即可). B C' C m A E M 1 1.(2021·四川绵阳·三模)如图,在平面直角坐标系中,直线y= x+2与x轴交于点A,与y轴交于点 2 3 C.抛物线y=ax2+bx+c的对称轴是x=- 且经过A、C两点,与x轴的另一交点为点B. 2 (1)求二次函数y=ax2+bx+c的表达式; 43 43关注公众号:陆陆高分冲刺 ~领取:最新版“小中高考-总复习”、最新试卷下载 (2)点P为线段AB上的动点,求AP+2PC的最小值; (3)抛物线上是否存在点M,过点M作MN垂直x轴于点N,使得以点A,M,N为顶点的三角形与△ABC 相似?若存在,求出点M的坐标;若不存在,请说明理由. 1 3 【答案】(1)抛物线表达式为:y=− x2− x+2; 2 2 (2)AP+2PC的最小值是2√3+4; (3)存在M(0,2)或(-3,2)或(2,-3)或(5,-18),使得以点A、M、N为顶点的三角形与△ABC相似. 1 【分析】(1)先求的直线y= x+2与x轴,y轴交点的坐标,然后利用抛物线的对称性可求得点B的坐 2 标;设抛物线的解析式为y=a(x+4)(x-1),然后将点C的坐标代入即可求得a的值,从而得抛物线的表达 式; (2)如图1,作∠OAE=30°,交y轴于E,过点P作PH⊥AE于H,当C,P,H三点共线时,AP+2PC 的值最小,根据直角三角形含30度角的性质可得CH的长,从而可得结论; (3)首先可证明 ABC是直角三角形,且有AC=2BC,然后分三种情况讨论即可:①当M点与C点重合, 即M(0,2)时,△ MAN∽△BAC;②根据抛物线的对称性,当M(-3,2)时, MAN∽△ABC; ③当 点M在第四象限时△,解题时,需要注意相似三角形的对应关系. △ 1 【详解】(1)y= x+2中,当x=0时,y=2,当y=0时,x=-4, 2 ∴C(0,2),A(-4,0), 3 由抛物线的对称性可知:点A与点B关于x=− 对称, 2 ∴点B的坐标为(1,0). ∵抛物线y=ax2+bx+c过A(-4,0),B(1,0), 可设抛物线表达式为y=a(x+4)(x-1), 又∵抛物线过点C(0,2), ∴2=-4a, 1 ∴a=− , 2 1 3 ∴抛物线表达式为:y=− x2− x+2; 2 2 (2)如图1,作∠OAE=30°,交y轴于E,过点P作PH⊥AE于H, 44 44关注公众号:陆陆高分冲刺 ~领取:最新版“小中高考-总复习”、最新试卷下载 1 ∴PH= AP, 2 (1 ) ∵AP+2PC=2 AP+PC =2(PH+PC), 2 ∴当C,P,H三点共线时,AP+2PC的值最小, ∵∠APH=∠OPC,∠COP=∠AHP=90°, ∴∠OCP=∠OAE=30°, Rt AOE中,AO=4, △ OA 4√3 OE= = , √3 3 1 1( 4√3) 2√3 Rt CHE中,EH= CE= 2+ =1+ , 2 2 3 3 △ ∴CH=√3EH=√3+2 ∴AP+2PC的最小值是2CH=2(√3+2)=2√3+4; (3)∵A(-4,0),B(1,0),C(0,2), ∴AC=√22+42=2√5,BC=√12+22=√5,AB=4+1=5, ∴AC2+BC2=AB2, ∴∠ACB=90°,AC=2BC, 点A,M,N为顶点的三角形与 ABC相似存在以下3种情况: ①如图2,当M点与C点重合,△即M(0,2)时, MAN∽△BAC; △ 45 45关注公众号:陆陆高分冲刺 ~领取:最新版“小中高考-总复习”、最新试卷下载 ②如图3,根据抛物线的对称性,当M(-3,2)时, MAN∽△ABC; △ ③如图4,当M在第四象限时,设M ( n,− 1 n2− 3 n+2 ) ,则N(n,0), 2 2 1 3 ∴MN= n2+ n−2,AN=n+4, 2 2 AN 1 3 当 =2时,AN=2MN,即 n2+ n−2=2(n+4), MN 2 2 整理得:n2+2n-8=0, 解得:n=-4(舍),n=2, 1 2 ∴M(2,-3); 46 46关注公众号:陆陆高分冲刺 ~领取:最新版“小中高考-总复习”、最新试卷下载 AN 1 1 3 当 = 时,MN=2AN,即 n2+ n−2=2(n+4), MN 2 2 2 整理得:n2-n-20=0, 解得:n=-4(舍),n=5, 1 2 ∴M(5,-18). 综上所述:存在M(0,2)或(-3,2)或(2,-3)或(5,-18),使得以点A、M、N为顶点的三角形与 ABC相似. △【点睛】本题主要考查的是二次函数与相似三角形的综合应用,还考查了轴对称-最短路径问题,难度较大, 解答本题需要同学们熟练掌握二次函数和相似三角形的相关性质. 2.(23-24九年级下·江苏南通·阶段练习)在平面直角坐标系xOy中,抛物线y=ax2−2ax−3a与x轴交 于A,B两点,若AB=m,函数y=ax2−2ax−3a的最小值为n,且m+n=0. (1)求该抛物线的解析式; (2)如果将该抛物线在x轴下方的部分沿x轴向上翻折,得到的图象与剩余的图象组成新图形G.当函数 y =kx−1+2k的图象与图形G的公共点的个数大于2时,求k的取值范围; 1 (3)在(2)的条件下,当k取最大值时,函数y =kx−1+2k的图象与图形G的对称轴交于点P,若过P作 1 平行于x轴的直线交图形G于点Q,过点Q作y轴的平行线交函数y =kx+1−2k的图象于点R,D为线段 1 RQ上的一点,动点C从点R出发,沿RD→DP运动到点P停止,已知点C在RD上运动的速度为√5单位 长度每秒,在DP上运动的速度为1单位长度每秒.求当点C运动的时间最短时,对应的点D的坐标. 【答案】(1)y=x2−2x−3 (2)1≤k≤2 ( 7) ( 13) (3)D −2, 或D 4, 2 2 【分析】(1)令y=0,解方程求得AB=4,得出m=4,进而根据二次函数的性质,得出−4a=−4求得a 的值,即可求解; (2)先得出y =kx−1+2k过点(−2,−1),根据题意画出图象,观察函数图象可得当y =kx−1+2k过 1 1 点A时,与抛物线有3个交点,当y =kx−1+2k与抛物线y=−x2+2x+3(−1