当前位置:首页>文档>冲刺985、211名校之2023届新高考题型模拟训练专题09球体综合问题小题综合(新高考通用)解析版_2.2025数学总复习_2023年新高考资料_专项复习

冲刺985、211名校之2023届新高考题型模拟训练专题09球体综合问题小题综合(新高考通用)解析版_2.2025数学总复习_2023年新高考资料_专项复习

  • 2026-04-13 03:30:28 2026-03-19 08:18:02

文档预览

冲刺985、211名校之2023届新高考题型模拟训练专题09球体综合问题小题综合(新高考通用)解析版_2.2025数学总复习_2023年新高考资料_专项复习
冲刺985、211名校之2023届新高考题型模拟训练专题09球体综合问题小题综合(新高考通用)解析版_2.2025数学总复习_2023年新高考资料_专项复习
冲刺985、211名校之2023届新高考题型模拟训练专题09球体综合问题小题综合(新高考通用)解析版_2.2025数学总复习_2023年新高考资料_专项复习
冲刺985、211名校之2023届新高考题型模拟训练专题09球体综合问题小题综合(新高考通用)解析版_2.2025数学总复习_2023年新高考资料_专项复习
冲刺985、211名校之2023届新高考题型模拟训练专题09球体综合问题小题综合(新高考通用)解析版_2.2025数学总复习_2023年新高考资料_专项复习
冲刺985、211名校之2023届新高考题型模拟训练专题09球体综合问题小题综合(新高考通用)解析版_2.2025数学总复习_2023年新高考资料_专项复习
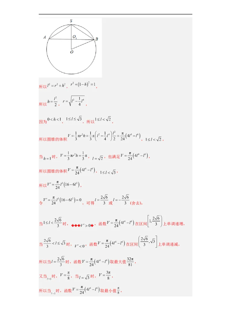
冲刺985、211名校之2023届新高考题型模拟训练专题09球体综合问题小题综合(新高考通用)解析版_2.2025数学总复习_2023年新高考资料_专项复习
冲刺985、211名校之2023届新高考题型模拟训练专题09球体综合问题小题综合(新高考通用)解析版_2.2025数学总复习_2023年新高考资料_专项复习
冲刺985、211名校之2023届新高考题型模拟训练专题09球体综合问题小题综合(新高考通用)解析版_2.2025数学总复习_2023年新高考资料_专项复习
冲刺985、211名校之2023届新高考题型模拟训练专题09球体综合问题小题综合(新高考通用)解析版_2.2025数学总复习_2023年新高考资料_专项复习
冲刺985、211名校之2023届新高考题型模拟训练专题09球体综合问题小题综合(新高考通用)解析版_2.2025数学总复习_2023年新高考资料_专项复习
冲刺985、211名校之2023届新高考题型模拟训练专题09球体综合问题小题综合(新高考通用)解析版_2.2025数学总复习_2023年新高考资料_专项复习
冲刺985、211名校之2023届新高考题型模拟训练专题09球体综合问题小题综合(新高考通用)解析版_2.2025数学总复习_2023年新高考资料_专项复习
冲刺985、211名校之2023届新高考题型模拟训练专题09球体综合问题小题综合(新高考通用)解析版_2.2025数学总复习_2023年新高考资料_专项复习
冲刺985、211名校之2023届新高考题型模拟训练专题09球体综合问题小题综合(新高考通用)解析版_2.2025数学总复习_2023年新高考资料_专项复习
冲刺985、211名校之2023届新高考题型模拟训练专题09球体综合问题小题综合(新高考通用)解析版_2.2025数学总复习_2023年新高考资料_专项复习
冲刺985、211名校之2023届新高考题型模拟训练专题09球体综合问题小题综合(新高考通用)解析版_2.2025数学总复习_2023年新高考资料_专项复习
冲刺985、211名校之2023届新高考题型模拟训练专题09球体综合问题小题综合(新高考通用)解析版_2.2025数学总复习_2023年新高考资料_专项复习
冲刺985、211名校之2023届新高考题型模拟训练专题09球体综合问题小题综合(新高考通用)解析版_2.2025数学总复习_2023年新高考资料_专项复习
冲刺985、211名校之2023届新高考题型模拟训练专题09球体综合问题小题综合(新高考通用)解析版_2.2025数学总复习_2023年新高考资料_专项复习
冲刺985、211名校之2023届新高考题型模拟训练专题09球体综合问题小题综合(新高考通用)解析版_2.2025数学总复习_2023年新高考资料_专项复习
冲刺985、211名校之2023届新高考题型模拟训练专题09球体综合问题小题综合(新高考通用)解析版_2.2025数学总复习_2023年新高考资料_专项复习
冲刺985、211名校之2023届新高考题型模拟训练专题09球体综合问题小题综合(新高考通用)解析版_2.2025数学总复习_2023年新高考资料_专项复习
冲刺985、211名校之2023届新高考题型模拟训练专题09球体综合问题小题综合(新高考通用)解析版_2.2025数学总复习_2023年新高考资料_专项复习
冲刺985、211名校之2023届新高考题型模拟训练专题09球体综合问题小题综合(新高考通用)解析版_2.2025数学总复习_2023年新高考资料_专项复习
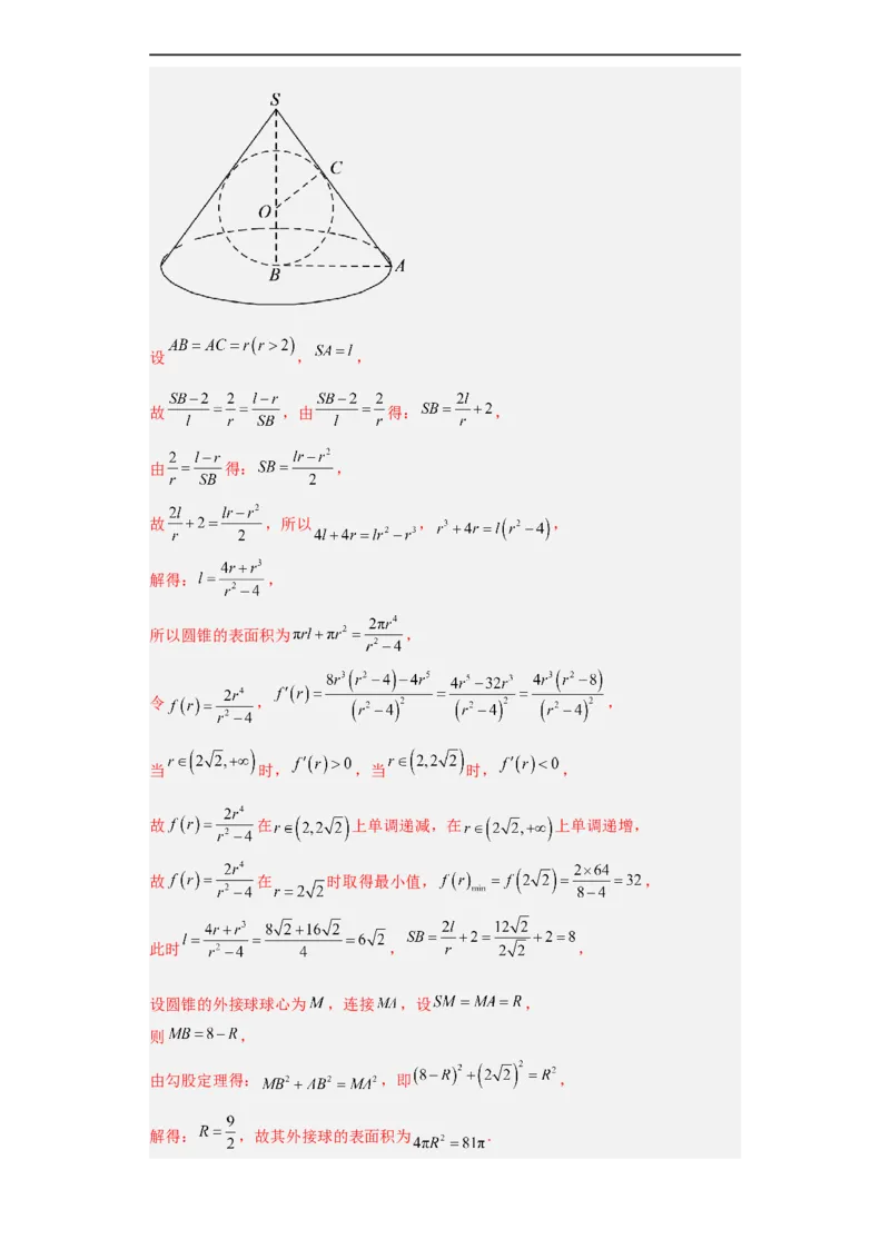
冲刺985、211名校之2023届新高考题型模拟训练专题09球体综合问题小题综合(新高考通用)解析版_2.2025数学总复习_2023年新高考资料_专项复习
冲刺985、211名校之2023届新高考题型模拟训练专题09球体综合问题小题综合(新高考通用)解析版_2.2025数学总复习_2023年新高考资料_专项复习
冲刺985、211名校之2023届新高考题型模拟训练专题09球体综合问题小题综合(新高考通用)解析版_2.2025数学总复习_2023年新高考资料_专项复习
冲刺985、211名校之2023届新高考题型模拟训练专题09球体综合问题小题综合(新高考通用)解析版_2.2025数学总复习_2023年新高考资料_专项复习
冲刺985、211名校之2023届新高考题型模拟训练专题09球体综合问题小题综合(新高考通用)解析版_2.2025数学总复习_2023年新高考资料_专项复习
冲刺985、211名校之2023届新高考题型模拟训练专题09球体综合问题小题综合(新高考通用)解析版_2.2025数学总复习_2023年新高考资料_专项复习
冲刺985、211名校之2023届新高考题型模拟训练专题09球体综合问题小题综合(新高考通用)解析版_2.2025数学总复习_2023年新高考资料_专项复习
冲刺985、211名校之2023届新高考题型模拟训练专题09球体综合问题小题综合(新高考通用)解析版_2.2025数学总复习_2023年新高考资料_专项复习
冲刺985、211名校之2023届新高考题型模拟训练专题09球体综合问题小题综合(新高考通用)解析版_2.2025数学总复习_2023年新高考资料_专项复习
冲刺985、211名校之2023届新高考题型模拟训练专题09球体综合问题小题综合(新高考通用)解析版_2.2025数学总复习_2023年新高考资料_专项复习
冲刺985、211名校之2023届新高考题型模拟训练专题09球体综合问题小题综合(新高考通用)解析版_2.2025数学总复习_2023年新高考资料_专项复习
冲刺985、211名校之2023届新高考题型模拟训练专题09球体综合问题小题综合(新高考通用)解析版_2.2025数学总复习_2023年新高考资料_专项复习
冲刺985、211名校之2023届新高考题型模拟训练专题09球体综合问题小题综合(新高考通用)解析版_2.2025数学总复习_2023年新高考资料_专项复习

文档信息

文档格式
docx
文档大小
3.027 MB
文档页数
38 页
上传时间
2026-03-19 08:18:02

文档内容

【冲刺985/211名校之2023届新高考题型模拟训练】 专题09 球体综合问题 小题综合 (新高考通用) 一、单选题 1.(2023秋·广东揭阳·高三统考期末)一个圆锥的轴截面是等边三角形,且该圆锥内 部最大的球的表面积为 .若该圆锥的轴截面的所有顶点都在球O的球面上,则球O 的表面积为( ) A. B. C. D. 【答案】D 【分析】首先求出内切球的半径 ,依题意可得圆锥的内切球和外接球的球心是同一 个点,且球 的半径为该等边三角形外接圆的半径,设球 的半径为 ,则 , 最后根据球的表面积公式计算可得. 【详解】解:设该圆锥内切球的半径为 ,则 ,所以 . 因为该圆锥的轴截面是等边三角形,所以其内切球和外接球的球心是同一个点, 即该等边三角形的中心,则球 的半径为该等边三角形外接圆的半径, 设球 的半径为 ,则 ,所以球 的表面积为 . 故选:D. 2.(2023·广东广州·统考一模)已知三棱锥 的四个顶点都在球 的球面上, , ,则球 的表面积为( ) A. B. C. D. 【答案】A 【分析】根据给定条件,证明 平面 ,再确定球心O的位置,求出球半径作 答. 【详解】在三棱锥 中,如图, ,则 ,同理 ,而 平面 ,因此 平面 , 在等腰 中, ,则 , , 令 的外接圆圆心为 ,则 平面 , , 有 ,取 中点D,连接OD,则有 ,又 平面 ,即 , 从而 ,四边形 为平行四边形, ,又 , 因此球O的半径 , 所以球 的表面积 . 故选:A 3.(2023秋·浙江丽水·高三浙江省丽水中学校联考期末)将菱形 沿对角线 折起,当四面体 体积最大时,它的内切球和外接球表面积之比为( ) A. B. C. D. 【答案】C 【分析】当平面 平面 时,四面体 的高最大,并利用导函数讨论体 积的最大值,构造长方体求外接球的半径,利用等体积法求内切球的半径,进而可求 解. 【详解】不妨设菱形的边长为 , , , 外接球半径为 ,内切球半径为 ,取 中点为 ,连接 , 因为 ,所以 , 当平面 平面 时,平面 平面 , 平面 ,所以 平面 , 此时四面体 的高最大为 , 因为 ,所以 所以 , , 令 解得 , 令 解得 , 所以 在 单调递增, 单调递减, 所以当 时 最大,最大体积为 , 此时 , 以四面体的顶点构造长方体,长宽高为 , 则有 解得 ,所以 , 所以外接球的表面积为 ,又因为 , 所以 , , 所以 , 所以 , 所以 ,所以内切球的表面积为 , 所以内切球和外接球表面积之比为 , 故选:C. 4.(2023秋·浙江湖州·高三安吉县高级中学校考期末)如图所示的多面体由正四棱锥 和三棱锥 组成,其中 .若该多面体有外接球且外接球的体积 是 ,则该多面体体积的最大值是( ) A. B. C. D. 【答案】D 【分析】根据求得体积可得其半径 ,分析可得四棱锥 的外接球的球心为底面中心 ,根据等体积法可求得点 到平面 的距离 ,进而分析可 得三棱锥 的高的最大值为 ,进而可求多面体体积的最大值. 【详解】设正四棱锥 的外接球的半径为 ,则 ,解得 , 连接 交于点 ,连接 , ∵正方形 的边长为2,则 , ∴ 为四棱锥 的外接球的球心, 则 ,故 的是以边长为2的等边三角形, 过 作平面 的垂线 ,垂足为 ,连接 , 由三棱锥 的体积可得: ,解得 , 由题意可知:点 在四棱锥 的外接球的球面上,则 , ∵ ,即 , 当且仅当 三点共线,则 面 时等号成立, 可得三棱锥 的高的最大值为 , ∴三棱锥 的体积 , 故该多面体体积 .故选:D. 【点睛】关键点定睛: (1)求出球的半径结合正方形的边长分析得球心为底面中心; (2)根据几何性质 ,分析可得三棱锥 的高的最大值. 5.(2023·浙江·模拟预测)在《九章算术》中记载,堑堵是底面为直角三角形的直三 棱柱,阳马指底面为矩形,一侧棱垂直于底面的四棱锥,鳖臑为四个面都为直角三角 形的三棱锥,如图,在堑堵 中, ,鳖臑 的外接 球的体积为 ,则阳马 体积的最大值为( ) A. B. C. D.4 【答案】B 【分析】设 的外接球半径为r,根据鳖臑 的外接球 的体积即可求得r,再根据 的外接球的半径与三棱柱 的外接球的 半径相同可得到x,y的关系式,再根据四棱锥的体积公式结合基本不等式即可求解. 【详解】设 的外接球半径为r,则 的外接球的体积为 . . 又阳马 的体积为 , 所以阳马 体积的最大值为 . 故选:B. 6.(2023春·安徽阜阳·高三阜阳市第二中学校考阶段练习)如图1,四边形 中, , , ,将 沿 翻折至 ,使二面角 的正切值等于 ,如图2,四面体 的四个顶点都在同一个球面上, 则该球的表面积为( ) A. B. C. D. 【答案】B 【分析】取 中点 ,连接 ,进而证明 是二面角 的平面角, 再结合题意得 ,进而根据余弦定理得 ,再求几何体的外接球 的半径,表面积即可. 【详解】解:如图,取 中点 ,连接 , 因为,在图1中, , , , 所以 , , 为等边三角形, 所以 , 所以, 是二面角 的平面角, 因为二面角 的正切值等于 ,即 ,所以 , 所以,在 中, , ,即 , 所以 , , 所以 , , , 所以 两两垂直且相等, 所以,四面体 的外接球的半径即为以 为棱的正方体的外接球半径, 所以四面体 的外接球的半径 满足 , 所以,该球的表面积为 故选:B 7.(2023·安徽马鞍山·统考一模)已知六棱锥的所有顶点都在半径为2的球的球面上, 当六棱锥的体积最大时,其侧棱长为( ) A. B. C. D. 【答案】A 【分析】结合球和正六棱锥的性质求出体积的表达式,令 , 求导,利用函数的单调性求得取最值时的条件,进而求解即可. 【详解】由题意可知:六棱锥的底面六边形的顶点在同一个截面圆上. 易知当六边形为正六边形时,其面积最大.要使六棱锥的体积最大,则该六棱锥为正六 棱锥. 不妨设正六边形的边长为 ,六棱锥的高为 , 则正六边形的外接圆的半径为 .由球的性质可知: ,则 ,所以正六棱锥的体积 , 设 ,则 , 当 时, ;当 时, , 所以函数 在 上单调递增,在 上单调递减,当 时,函数 取最大 值, 即 时, 取最大值,此时 ,所以正六棱锥的侧棱长 , 故选: . 8.(2023春·重庆沙坪坝·高三重庆一中校考阶段练习)我们把轴截面为等腰直角三角 形的圆锥称为直角圆锥.在直角圆锥 中,点 与底面圆 都在同一个球面上,若球的 表面积为 ,则圆锥的侧面积为( ) A. B. C. D. 【答案】C 【分析】根据题意,可判断得圆锥底面圆的半径等于圆锥的高等于球的半径,由球的 表面积公式求解球的半径,结合圆锥的侧面积公式求解即可. 【详解】由题意,设直角圆锥 的底面圆的半径为 , 则直角圆锥 的高 ,又在直角圆锥 中, 点 与底面圆 都在同一个球面上,所以球心为圆锥的底面圆心 , 设球的半径为 ,则 ,又因为球的的表面积为 , 则 ,得 ,即 . 所以圆锥的母线长为 , 所以圆锥的侧面积为 . 故选:C 9.(2023·辽宁·校联考模拟预测)在平面中,若正 内切圆的面积为 ,内切圆与外接圆之间的圆环面积为 ,则 在空间中,若正四面体 内切球的体积 为 ,内切球之外与外接球之内的几何体的体积为 ,则 ( ) A. B. C. D. 【答案】B 【分析】设正四面体 的内切球与外接球的半径分别为 , ,点 到底面 的距离为 ,底面 的面积为 ,先利用等体积法求出 ,再结合勾股定理求出 , 再根据球的体积公式即可得出答案. 【详解】设正四面体 的内切球与外接球的半径分别为 , ,点 到底面 的距离为 ,底面 的面积为 , 由等体积法得 , 设 ,正 的中心为 , 则 , , 由 ,得 , 故 故选:B. 10.(2023秋·江苏扬州·高三校联考期末)一球的表面积为 ,它的内接圆锥的母线 长为l,且 ,则该内接圆锥体积的取值范围是( ). A. B.C. D. 【答案】B 【分析】利用球的表面积公式求球的半径,根据圆锥的高的大小分情况利用圆锥的母 线长表示圆锥的底面半径和高,根据圆锥体积公式求其体积,可得体积的函数表达式, 再利用导数求其范围. 【详解】设球的半径为 ,圆锥的底面半径为 ,高为 , 因为球的表面积为 ,所以 ,故 , 当 时,过圆锥的轴作球和圆锥的截面可得截面图如下: 所以 , , 所以 , , 又 , ,所以 , , 所以圆锥的体积 , , 当 时,过圆锥的轴作球和圆锥的截面可得截面图如下:所以 , , 所以 , , 因为 , ,所以 , 所以圆锥的体积 , , 当 时, , ,也满足 , 所以圆锥的体积 , , 所以 , 令 ,可得 或 (舍去), 当 时, ,函数 在区间 上单调递增, 当 时, ,函数 在区间 上单调递减, 所以当 时,函数 取最大值 , 又当 时, ,当 时, , 所以当 时,函数 取最小值 ,所以内接圆锥体积的取值范围是 同理可得内接圆锥体积的取值范围是 , 故选:B. 11.(2023春·福建泉州·高三校联考阶段练习)已知A,B,C为球O的球面上的三个 点,若 , ,球O的表面积为 ,则三棱锥 的体积最大值为 ( ) A. B. C. D. 【答案】D 【分析】利用球的表面积公式及直角三角形的外接圆的圆心在斜边的中点,结合勾股 定理及重要不等式,再利用棱锥的体积公式即可求解. 【详解】设球 的半径为 ,则 ,所以 , 因为 , , 所以 的外接圆的半径为 , 所以点 到平面 的距离为 , 设 ,则 ,所以 ,当且仅当 成立 所以三棱锥 的体积为 . 故选:D. 12.(2023·福建福州·统考二模)已知三棱锥 的四个顶点都在球 的球面上, , ,则球 的体积为( ) A. B. C. D. 【答案】C 【分析】过 点作 平面 ,垂足为 ,结合 可得 为 的外心,则 ,则 ,可得 ,进而可得 ,设 为球心, 为球的半径,结合勾股定理可得 ,进而求解. 【详解】过 点作 平面 ,垂足为 , 因为 , 所以 为 的外心, 则 ( 为 的外接圆半径), 则 ,所以 , , 设 为球心, 为球的半径,则 , 因为 , 解得 , 所以球 的体积为 . 故选:C. 13.(2023·湖南·模拟预测)在三棱锥 中, 平面BCD, ,则三棱锥 的外接球的表面积与三棱锥 的体积之比为( ) A. B. C. D. 【答案】D【分析】证明 , 为直角三角形后可得 的中点 为外接球的球心, 为半径,分别计算外接球的表面积与三棱锥 的体积即可. 【详解】 取 的中点 ,连接 , 因为 面 面 面 所以 , 所以 , 所以 , , 因为 面 面 所以 面 , 又因为 面 , 所以 , 所以 ,所以 , 所以 为三棱锥 的外接球的圆心,半径 , 所以球的表面积为 , 三棱锥 的体积为 , 故 . 故选:D 14.(2023春·湖南·高三校联考阶段练习)在直三棱柱 中, 为等边 三角形,若三棱柱 的体积为 ,则该三棱柱外接球表面积的最小值为 ( ) A. B. C. D. 【答案】A【分析】根据直三棱柱的体积得到 ,根据直三棱柱外接球半径的求法得到 ,然后构造函数,求导得到 的最小值,即可得到外接球表面积 的最小值. 【详解】设直三棱柱的高为 ,外接球的半径为 , 外接圆的半径为 ,则 ,所以 ,又 ,令 ,则 ,易知 的最小值为 ,此时 ,所以该三棱柱 外接球表面积的最小值为 . 故选:A. 15.(2023·山东济宁·统考一模)已知直三棱柱 , 为线段 的中点, 为线段 的中点, 过 的内切圆圆心,且 , , , 则三棱锥 的外接球表面积为( ) A. B. π C. D. 【答案】B 【分析】计算 , ,过 分别作平面 ,平面 的垂线, 两垂线交于点 ,点 为三棱取 的外接球球心,计算 , ,再 利用勾股定理得到 ,计算表面积得到答案. 【详解】如图, 为线段 的中点, , 平面 , 平面 , 故 , , 平面 ,故 平面 , 平面 ,故 ,故 , 因为 为线段 的中点且 过 的内切圆圆心, 故 ,即 . 所以 . 取 的中点 ,连接 、 , 分别在 、 上取 、 的外接圆圆心 、 . 过 分别作平面 ,平面 的垂线, 两垂线交于点 , 则点 为三棱取 的外接球球心. 在 中由余弦定理得: , 所以 . 设 、 的外接圆半径分别为 、 , 三棱锥 的外接球半径为 . ,解得 ,同理 , 所以 , , 所以三㥄锥 的外接球表面积为 . 故选:B【点睛】关键点点睛:本题考查了线面垂直,三棱锥的外接球表面积,意在考查学生 的计算能力,空间想象能力和转化能力,其中,确定过圆心的垂线交点是球心再利用 勾股定理求解是解题的关键,此方法是常考方法,需要熟练掌握. 16.(2023·广东梅州·统考一模)《九章算术》是我国古代著名的数学著作,书中记载 有几何体“刍甍”.现有一个刍甍如图所示,底面 为正方形, 平面 , 四边形 , 为两个全等的等腰梯形, ,且 ,则此刍 甍的外接球的表面积为( ) A. B. C. D. 【答案】C 【分析】根据给定条件,求出点 到平面 的距离,再由几何体的结构特征确定 球心位置,结合球面的性质求解作答. 【详解】取 、 中点 、 ,正方形 中心 , 中点 ,连接 , 根据题意可得 平面 , ,点 是 的中点, , 在等腰 中, , , 同理 , 则等腰梯形 的高为 ,根据几何体的结构特征可知,刍甍的外接球的球心 在直线 上,连接 , 正方体 的外接圆的半径 , 则有 , 而 , , 当点 在线段 的延长线(含点 )时, 视 为非负数,若点 在线段 的 延长线(不含点 )时, 视 为负数, 即有 , 则 ,解得 , 则刍甍的外接球的半径为 , 则刍甍的外接球的表面积为 , 故选:C. 17.(2023·江苏连云港·统考模拟预测)已知圆锥内切球(与圆锥侧面、底面均相切的 球)的半径为2,当该圆锥的表面积最小时,其外接球的表面积为( ) A. B. C. D. 【答案】A 【分析】作出图形,设 , ,由三角形相似得到 ,得 到圆锥的表面积为 ,令 ,由导函数得到当 时,圆 锥的表面积取得最小值,进而得到此时 与 ,作出圆锥的外接球,设外接球半径为 ,由勾股定理列出方程,求出外接球半径和表面积. 【详解】设圆锥的顶点为 ,底面圆的圆心为 ,内切球圆心为 , 则 , , 因为 ⊥ , ⊥ ,所以 ∽ ,则 ,设 , , 故 ,由 得: , 由 得: , 故 ,所以 , , 解得: , 所以圆锥的表面积为 , 令 , , 当 时, ,当 时, , 故 在 上单调递减,在 上单调递增, 故 在 时取得最小值, , 此时 , , 设圆锥的外接球球心为 ,连接 ,设 , 则 , 由勾股定理得: ,即 , 解得: ,故其外接球的表面积为 .故选:A 【点睛】解决与球有关的内切或外接的问题时,解题的关键是确定球心的位置.对于 外切的问题要注意球心到各个面的距离相等且都为球半径;对于球的内接几何体的问 题,注意球心到各个顶点的距离相等,解题时要构造出由球心到截面圆的垂线段、小 圆的半径和球半径组成的直角三角形,利用勾股定理求得球的半径. 二、填空题 18.(2023春·广东·高三校联考阶段练习)半正多面体亦称“阿基米德体”“阿基米 德多面体”,是以边数不全相同的正多边形为面的多面体.某半正多面体由4个正三角 形和4个正六边形构成,其可由正四面体切割而成,如图所示.已知 ,若在该半 正多面体内放一个球,则该球表面积的最大值为__________. 【答案】 【分析】分析出球心的位置,得出半正多面体所在的正四面体的高,求出点 到正六 边形所在平面的距离,到正三角形所在平面的距离,即可求出当球的表面积最大时, 该球的半径,进而得出表面积. 【详解】由题意,半正多面体由4个正三角形和4个正六边形构成,其可由正四面体切割而成, , 当球的表面积最大时,该球的球心即为半正多面体所在正四面体的外接球的球心,记 球心为 . 在 中, , , 该半正多面体所在的正四面体的高为: , 设点 到正六边形所在平面的距离为 , 过点 作 于 , 由几何知识得, ∴ ,即 , 解得: , ∴当球的表面积最大时,该球的半径为 ,表面积为 . 故答案为: . 19.(2023·河北衡水·高三河北衡水中学校考阶段练习)在三棱锥 中, .若三棱锥 的所有顶点 都在同一球面上,则该球的表面积为__________. 【答案】 【分析】根据勾股定理可得 是等腰直角三角形,从而求出 ,在 中利用余弦定理求出 ,根据勾股定理可判断 ,从而得知 平面 ,从 而可将三棱锥 补为直三棱柱 ,外接球球心为 的中点 ,根据 几何关系即可求解. 【详解】由题意得 ,所以 ,且 , 所以 . 在 中,由余弦定理得 , 所以 , 所以 . 又 , 平面 ,所以 平面 , 故可将三棱锥 补为直三棱柱 ,如图所示, 则直三棱柱 的外接球即为三棱锥 的外接球. 设 外接圆圆心为 , 的外接圆圆心为 , 则直三棱柱的外接球球心为 的中点 ,连接 , 则 即为外接球的半径. 在 中,根据正弦定理可得 , 所以 , 所以 , 所以该外接球的表面积为 . 故答案为: .20.(2023春·黑龙江哈尔滨·高三哈尔滨德强学校校考开学考试)如图,在梯形ABCD 中, ,将 沿边AC翻折,使点D翻折 到P点,且 ,则三棱锥 外接球的表面积是___________. 【答案】 【分析】先证明出 面 ,作出 的外心 ,过 作 ,判断出 三棱锥 外接球的球心 必在直线 上,设外接球的半径为 ,利用球的性 质列方程 求出 ,即可求出三棱锥 外接球的表面积. 【详解】在梯形ABCD中, , 所以梯形ABCD为等腰梯形, . 因为 ,所以 ,所以 ,即 . 所以 , . 因为 ,所以 ,所以 . 又 面 , 面 , , 所以 面 . 在 中, 作出其外心 如图所示:所以 , . 过 作 ,由球的性质可知,三棱锥 外接球的球心 必在直线 上. 设外接球的半径为 ,由球的性质可得: ,即 ,解得: . 所以三棱锥 外接球的表面积为 . 故答案为: . 21.(2023·安徽·校联考模拟预测)已知三棱锥 的四个顶点都在球 的球面上, , , 是边长为 的等边三角形, 的面积为 , 则球 的体积为______. 【答案】 【分析】取 的中点 ,连接 , ,根据题干所给条件求出 ,再由勾股定 理求出 、 ,即可得到 ,从而得到 平面 , 将三棱锥 补成正三棱柱 ,三棱锥 的外接球即正三棱柱的外接球,利用勾股 定理求出外接球的半径,即可求出外接球的体积. 【详解】解:取 的中点 ,连接 , , , , 的面积 为 ,则 ,解得 , , , 又 , , 所以 ,即 ,又 , , 平面 , 可得 平面 , 将三棱锥 补成正三棱柱 ,三棱锥 的外接球即正三棱柱的 外接球, 外接球的球心 为上、下底面的外接圆圆心的连线 的中点,连接 , , 设外接球的半径为 ,下底面外接圆的半径为 , ,则 , 所以 , 所求外接球的体积为 ; 故答案为: 22.(2023·重庆沙坪坝·重庆南开中学校考模拟预测)已知三棱锥 的体积为 ,各顶点均在以 为直径的球面上, ,则该球的体积 为______. 【答案】 【分析】利用余弦定理求出 ,设 为 外接圆半径,利用正弦定理求出 ,再根据三棱锥 的体积,求出 到平面 的距离,即可得到球心 到平面 的距离,再由勾股定理求出外接球的半径,即可得解. 【详解】解:由 , , , 所以 ,即 ,所以 , 又 ,所以 ,设 为 外接圆半径, ,解得 ,所以 , 则 , , 即 到平面 的距离为2 外接球球心 的中点 到平面 的距离为 , 外接球半径 , , . 故答案为: 23.(2023·辽宁·校联考一模)正四面体 的棱 中点为O,平面 截球 所 得半径为 的圆与 相切,则球 的表面积为______. 【答案】【分析】 中点为 ,依题意 为球O的半径,设正四面体 的棱长为a, ,由平面 截球 所得的圆半径为 ,求出a,可解球 的表面积. 【详解】 中点为 ,连接 ,如图所示: 由 和 为等腰三角形,所以OE为AB和CD的公垂线段; 设正四面体 的棱长为a, 中, , 中, ,即球O的半径, 设 中心为 ,由对称性可知球 截平面 所得圆的圆心 在 上, 平面 且 平面 ,则 为 的中点,所以 . 因为 ,由 可得 . 于是球 的半径 ,球 的表面积为 . 故答案为: . 24.(2023·湖北·校联考模拟预测)已知正三棱锥的各顶点都在表面积为 球面上, 正三棱锥体积最大时该正三棱锥的高为______. 【答案】 ## 【分析】根据球的性质,结合导数的性质、棱锥的体积公式、球的表面积公式进行求 解即可.【详解】因为 ,所以正三棱锥外接球半径 , 如图所示,设外接球圆心为O,过 向底面作垂线垂足为D, , 要使正三棱锥体积最大,则底面 与 在圆心的异侧, 因为 是正三棱锥,所以D是 的中心, 所以 , 又因为 ,所以 , , 所以 , 令 , 解得 或 , 当 , ;当 , , 所以 在 递增,在 递减, 故当 时,正三棱锥的体积 最大,此时正三棱锥的高为 , 故正三棱锥体积最大时该正三棱锥的高为 . 故答案为: 25.(2023春·湖南长沙·高三长沙一中校考阶段练习)如图,在四棱锥 中, 底面 为菱形, 底面 , 为对角线 与 的交点,若 ,,则三棱锥 的外接球的体积为______. 【答案】 【分析】根据棱锥的性质,证明 的中点就是三棱锥 的外接球球心,得出 半径后可求体积. 【详解】取 中点 , 中点 ,连接 ,则 , 因为 底面 ,所以 平面 , 因为四边形 是菱形,则 ,所以 是 的外心, 又 底面 , 平面 ,所以 , 所以 到 四点距离相等,即为三棱锥 的外接球球心. 又 , ,所以 , 所以 , 所以三棱锥 的外接球体积为 . 故答案为: . 26.(2023春·湖北武汉·高三华中师大一附中校考阶段练习)蹴鞠(如图所示),又 名蹴球,蹴圆,筑球,踢圆等,蹴有用脚蹴、踢、蹋的含义,鞠最早系外包皮革、内 实米糠的球因而蹴鞠就是指古人以脚蹴、蹋、踢皮球的活动,类似于今日的足球.2006 年5月20日,蹴鞠作为非物质文化遗产经国务院批准已列入第一批国家非物质文化遗 产名录.已知某鞠(球)的表面上有四个点A,B,C,P,且球心О在PC上,, , ,则该鞠(球)的表面积为 __________. 【答案】 【分析】画出图形,做出辅助线,利用勾股定理求出球的半径,求出球的表面积. 【详解】 如图,取AB的中点M,连接MP,由 得: 连接CM并延长,交球O于点H,连接PH,因为PC球O的直径, 设球的半径为R,则 球的表面积为 故答案为: .三、双空题 27.(2023·浙江·校联考模拟预测)在三棱锥 中,对棱 , , ,则该三棱锥的外接球体积为________,内切球表面 积为________. 【答案】 ## 【分析】将三棱锥 补成长方体,计算出长方体长、宽、高的值,可计算出该 三棱锥 的外接球半径,计算出 的表面积与体积,利用等体积法可求 得该三棱锥内切球的半径,利用球体的体积和表面积公式可求得结果. 【详解】因为三棱锥 每组对棱棱长相等,所以可以把三棱锥 放入长方 体中, 设长方体的长、宽、高分别为 、 、 ,如下图所示: 则 , , ,解得 , , 外接球直径 ,其半径为 , 三棱锥 的体积 , 在 中, , ,取 的中点 ,连接 ,如下图所示: 则 ,且 ,所以, ,因为三棱锥 的每个面的三边分别为 、 、 , 所以,三棱锥 的表面积为 , 设三棱锥 的内切球半径为 ,则 ,可得 , 所以该三棱锥的外接球体积为 ,内切球表面积为 . 故答案为: ; . 28.(2023·辽宁沈阳·统考一模)三棱锥 中, , ,点E为CD中点, 的面积为 ,则AB与平面BCD所成角的正 弦值为______,此三棱锥外接球的体积为______. 【答案】 ## ## 【分析】设 平面 ,垂足为 ,可证得 在 的平分线 上,易知AB 与平面BCD所成角即为 , ,从而可求得 ,利用三角形面积公式可求得 ,结合已知条件与余弦定理,勾股定理 可证得 ,从而 为外接球直径,利用球的体积计算即可. 【详解】设 平面 ,垂足为 ,如图, 过 作 于点 ,过 作 于 ,连接 , 由 平面 , 平面 ,得 , 又 , 平面 , 平面 , 平面 ,得 ,同理 , 从而 均为直角三角形, ∵ , ,∴ ,则 在 的平分线 上,易知AB与平面BCD所成角即为 . ∵ , ∴ , 又 , ,即 ,则AB与平面BCD所成角的正弦值为 , 又 ,解得 , 又 , , ,同理 , , 为外接球直径, 三棱锥外接球的体积为 . 故答案为: , . 29.(2023春·广东·高三校联考阶段练习)已知圆锥的顶点为 ,轴截面为锐角 , ,则当 ________时,圆锥的内切球与外接球的表面积的比值最大,最大 值为__________. 【答案】 ## ## 【分析】作出图形,设 , , 为线段 的中点,连接 ,设圆锥 的内切球和外接球的半径分别为 、 ,计算出 、 关于 的表达式,结合二次函数 的基本性质可求得 的最大值及其对应的 值,即可得解. 【详解】如下图所示:不妨设 , , 为线段 的中点, 连接 ,圆锥的内切球球心为 ,半径为 ;外接球球心为 ,半径为 . 圆锥的内切球与外接球的表面积之比为 , 在 中, , , , 在 中, , , , 即 ,所以, , 所以, , 当且仅当 时,即当 时,等号成立, 所以,圆锥的内切球与外接球的表面积的比值的最大值为 . 故答案为: ; . 30.(2023秋·黑龙江哈尔滨·高三哈尔滨三中校考阶段练习) 中, ,沿 将 折起到 位置, 点不在 面内,当三棱锥 的体积最大时,三棱锥 的外接球半径是__________;当 时,三棱锥 的外接球表面积是__________. 【答案】 【分析】根据图形,得出面 外接圆的半径为 ,而后利用勾股定理求出三棱锥 的外接球半径;结合余弦定理,二倍角公式以及同角关系,求出 ,再由勾 股定理得出 ,进而求出三棱锥 的外接球表面积. 【详解】由题知,取 中点 ,连接 , , 设 的外接圆的圆心为 , 的外接圆的圆心为 ,三棱锥外接球的球心为 ,半径为 , 连接 , 如图所示, 要使三棱锥 的体积最大时,即要使得点 到平面 的距离最大,只有当平 面 平面 时,体积最大,即点 到 的距离最大,三棱锥体积最大. 此时,四边形 是正方形,假设 外接圆的半径为 , 则在 中,由勾股定理得: , 解得 ,所以 , . 当 时,由上述可知,结合余弦定理 , 由二倍角公式 ,, , , 三棱锥 的外接球表面积为 . 故答案为: ; .