当前位置:首页>文档>冲刺985、211名校之2023届新高考题型模拟训练专题15圆锥曲线综合问题(单选+填空)(新高考通用)解析版_2.2025数学总复习_2023年新高考资料_专项复习

冲刺985、211名校之2023届新高考题型模拟训练专题15圆锥曲线综合问题(单选+填空)(新高考通用)解析版_2.2025数学总复习_2023年新高考资料_专项复习

  • 2026-04-13 03:32:21 2026-03-19 08:26:28

文档预览

冲刺985、211名校之2023届新高考题型模拟训练专题15圆锥曲线综合问题(单选+填空)(新高考通用)解析版_2.2025数学总复习_2023年新高考资料_专项复习
冲刺985、211名校之2023届新高考题型模拟训练专题15圆锥曲线综合问题(单选+填空)(新高考通用)解析版_2.2025数学总复习_2023年新高考资料_专项复习
冲刺985、211名校之2023届新高考题型模拟训练专题15圆锥曲线综合问题(单选+填空)(新高考通用)解析版_2.2025数学总复习_2023年新高考资料_专项复习
冲刺985、211名校之2023届新高考题型模拟训练专题15圆锥曲线综合问题(单选+填空)(新高考通用)解析版_2.2025数学总复习_2023年新高考资料_专项复习
冲刺985、211名校之2023届新高考题型模拟训练专题15圆锥曲线综合问题(单选+填空)(新高考通用)解析版_2.2025数学总复习_2023年新高考资料_专项复习
冲刺985、211名校之2023届新高考题型模拟训练专题15圆锥曲线综合问题(单选+填空)(新高考通用)解析版_2.2025数学总复习_2023年新高考资料_专项复习
冲刺985、211名校之2023届新高考题型模拟训练专题15圆锥曲线综合问题(单选+填空)(新高考通用)解析版_2.2025数学总复习_2023年新高考资料_专项复习
冲刺985、211名校之2023届新高考题型模拟训练专题15圆锥曲线综合问题(单选+填空)(新高考通用)解析版_2.2025数学总复习_2023年新高考资料_专项复习
冲刺985、211名校之2023届新高考题型模拟训练专题15圆锥曲线综合问题(单选+填空)(新高考通用)解析版_2.2025数学总复习_2023年新高考资料_专项复习
冲刺985、211名校之2023届新高考题型模拟训练专题15圆锥曲线综合问题(单选+填空)(新高考通用)解析版_2.2025数学总复习_2023年新高考资料_专项复习
冲刺985、211名校之2023届新高考题型模拟训练专题15圆锥曲线综合问题(单选+填空)(新高考通用)解析版_2.2025数学总复习_2023年新高考资料_专项复习
冲刺985、211名校之2023届新高考题型模拟训练专题15圆锥曲线综合问题(单选+填空)(新高考通用)解析版_2.2025数学总复习_2023年新高考资料_专项复习
冲刺985、211名校之2023届新高考题型模拟训练专题15圆锥曲线综合问题(单选+填空)(新高考通用)解析版_2.2025数学总复习_2023年新高考资料_专项复习
冲刺985、211名校之2023届新高考题型模拟训练专题15圆锥曲线综合问题(单选+填空)(新高考通用)解析版_2.2025数学总复习_2023年新高考资料_专项复习
冲刺985、211名校之2023届新高考题型模拟训练专题15圆锥曲线综合问题(单选+填空)(新高考通用)解析版_2.2025数学总复习_2023年新高考资料_专项复习
冲刺985、211名校之2023届新高考题型模拟训练专题15圆锥曲线综合问题(单选+填空)(新高考通用)解析版_2.2025数学总复习_2023年新高考资料_专项复习
冲刺985、211名校之2023届新高考题型模拟训练专题15圆锥曲线综合问题(单选+填空)(新高考通用)解析版_2.2025数学总复习_2023年新高考资料_专项复习
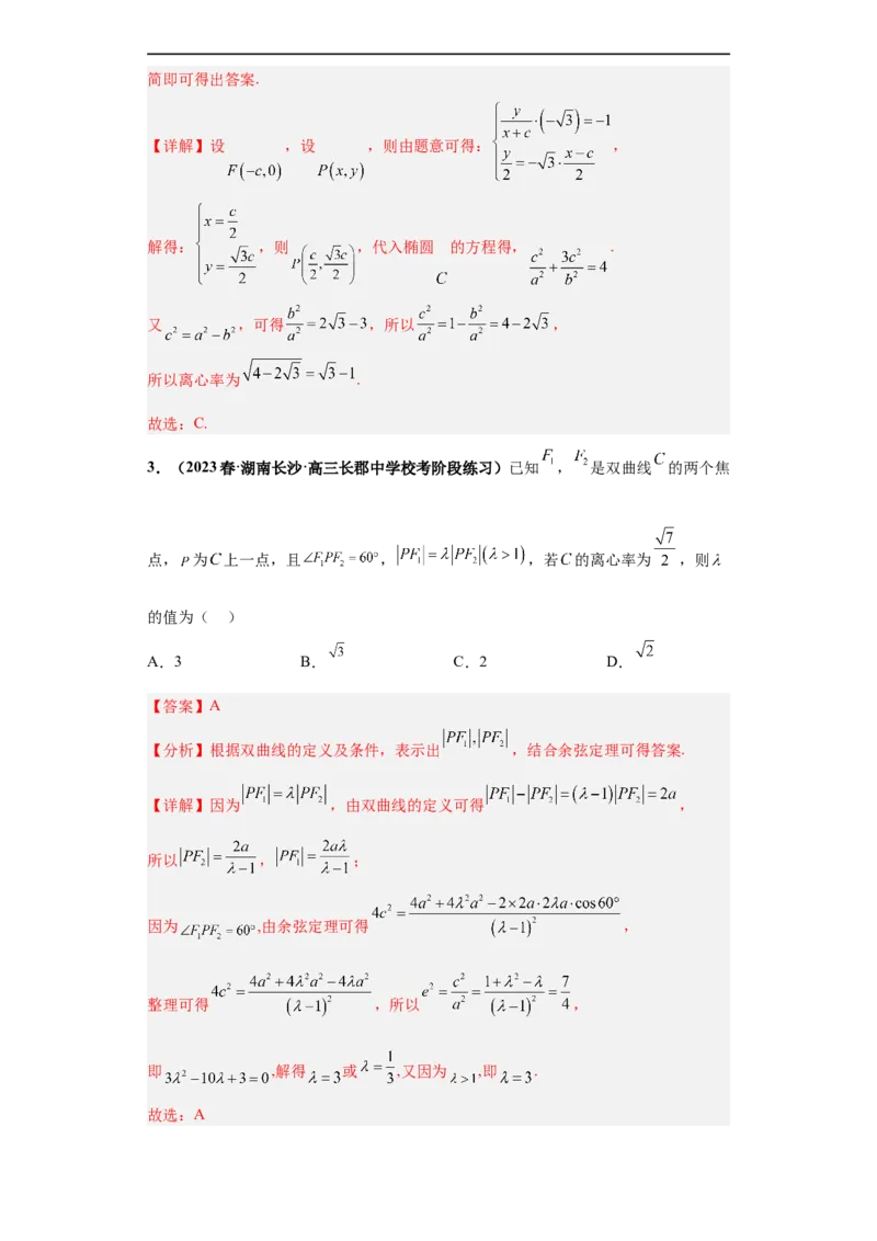
冲刺985、211名校之2023届新高考题型模拟训练专题15圆锥曲线综合问题(单选+填空)(新高考通用)解析版_2.2025数学总复习_2023年新高考资料_专项复习
冲刺985、211名校之2023届新高考题型模拟训练专题15圆锥曲线综合问题(单选+填空)(新高考通用)解析版_2.2025数学总复习_2023年新高考资料_专项复习
冲刺985、211名校之2023届新高考题型模拟训练专题15圆锥曲线综合问题(单选+填空)(新高考通用)解析版_2.2025数学总复习_2023年新高考资料_专项复习
冲刺985、211名校之2023届新高考题型模拟训练专题15圆锥曲线综合问题(单选+填空)(新高考通用)解析版_2.2025数学总复习_2023年新高考资料_专项复习
冲刺985、211名校之2023届新高考题型模拟训练专题15圆锥曲线综合问题(单选+填空)(新高考通用)解析版_2.2025数学总复习_2023年新高考资料_专项复习
冲刺985、211名校之2023届新高考题型模拟训练专题15圆锥曲线综合问题(单选+填空)(新高考通用)解析版_2.2025数学总复习_2023年新高考资料_专项复习
冲刺985、211名校之2023届新高考题型模拟训练专题15圆锥曲线综合问题(单选+填空)(新高考通用)解析版_2.2025数学总复习_2023年新高考资料_专项复习
冲刺985、211名校之2023届新高考题型模拟训练专题15圆锥曲线综合问题(单选+填空)(新高考通用)解析版_2.2025数学总复习_2023年新高考资料_专项复习
冲刺985、211名校之2023届新高考题型模拟训练专题15圆锥曲线综合问题(单选+填空)(新高考通用)解析版_2.2025数学总复习_2023年新高考资料_专项复习
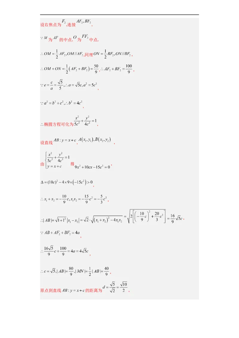
冲刺985、211名校之2023届新高考题型模拟训练专题15圆锥曲线综合问题(单选+填空)(新高考通用)解析版_2.2025数学总复习_2023年新高考资料_专项复习
冲刺985、211名校之2023届新高考题型模拟训练专题15圆锥曲线综合问题(单选+填空)(新高考通用)解析版_2.2025数学总复习_2023年新高考资料_专项复习
冲刺985、211名校之2023届新高考题型模拟训练专题15圆锥曲线综合问题(单选+填空)(新高考通用)解析版_2.2025数学总复习_2023年新高考资料_专项复习
冲刺985、211名校之2023届新高考题型模拟训练专题15圆锥曲线综合问题(单选+填空)(新高考通用)解析版_2.2025数学总复习_2023年新高考资料_专项复习
冲刺985、211名校之2023届新高考题型模拟训练专题15圆锥曲线综合问题(单选+填空)(新高考通用)解析版_2.2025数学总复习_2023年新高考资料_专项复习
冲刺985、211名校之2023届新高考题型模拟训练专题15圆锥曲线综合问题(单选+填空)(新高考通用)解析版_2.2025数学总复习_2023年新高考资料_专项复习
冲刺985、211名校之2023届新高考题型模拟训练专题15圆锥曲线综合问题(单选+填空)(新高考通用)解析版_2.2025数学总复习_2023年新高考资料_专项复习
冲刺985、211名校之2023届新高考题型模拟训练专题15圆锥曲线综合问题(单选+填空)(新高考通用)解析版_2.2025数学总复习_2023年新高考资料_专项复习
冲刺985、211名校之2023届新高考题型模拟训练专题15圆锥曲线综合问题(单选+填空)(新高考通用)解析版_2.2025数学总复习_2023年新高考资料_专项复习

文档信息

文档格式
docx
文档大小
2.228 MB
文档页数
35 页
上传时间
2026-03-19 08:26:28

文档内容

【冲刺985/211名校之2023届新高考题型模拟训练】 专题15 圆锥曲线综合问题(单选+填空) (新高考通用) 一、单选题 1.(2023·江苏南通·统考模拟预测)已知抛物线 的焦点为 ,点 在 抛物线上,且 ,若 的面积为 ,则 ( ) A.2 B.4 C. D. 【答案】B 【分析】根据抛物线定义求得 点横坐标,代入抛物线方程得纵坐标,再利用三角形 面积公式即可得 的值. 【详解】抛物线的焦点为 ,点 在抛物线上,由抛物线的定义可得 , ,则 , ,解得 或 (舍). 故选:B. 2.(2023秋·浙江绍兴·高三统考期末)若椭圆 的左焦点 关 于 对称的点 在椭圆 上,则椭圆的离心率为( ) A. B. C. D. 【答案】C 【分析】设 ,由题意求出 ,代入椭圆 的方程得, ,化简即可得出答案. 【详解】设 ,设 ,则由题意可得: , 解得: ,则 ,代入椭圆 的方程得, . 又 ,可得 ,所以 , 所以离心率为 . 故选:C. 3.(2023春·湖南长沙·高三长郡中学校考阶段练习)已知 , 是双曲线 的两个焦 点, 为 上一点,且 , ,若 的离心率为 ,则 的值为( ) A.3 B. C.2 D. 【答案】A 【分析】根据双曲线的定义及条件,表示出 ,结合余弦定理可得答案. 【详解】因为 ,由双曲线的定义可得 , 所以 , ; 因为 ,由余弦定理可得 , 整理可得 ,所以 , 即 ,解得 或 ,又因为 ,即 . 故选:A4.(2023春·湖北·高三统考阶段练习)如图所示, , 是双曲线 的左、右焦点,双曲线 的右支上存在一点 满足 , 与双曲线 的左支的交点A平分线段 ,则双曲线 的离心率为( ) A. B. C. D. 【答案】C 【分析】设 ,由双曲线的定义可求得 , , ,利用勾股定理求得 ,在 中利用勾股定理即可求得 的 关系式,从而求得答案. 【详解】设 ,由双曲线的定义得 , , , 由 得 , 解得 ,所以 , , 在 中,由勾股定理得 , 整理得 ,即双曲线 的离心率 , 故选:C. 5.(2023秋·江苏无锡·高三统考期末)双曲线 的左、右焦点分别为 , ,过 的直线与双曲线左、右两支分别交于点P,Q,若 ,M 为PQ的中点,且 ,则双曲线的离心率为( ). A. B. C. D.2 【答案】C 【分析】由 得出 , , ,在 中利 用勾股定理得出离心率. 【详解】解:M为PQ中点, ,∴ 等腰三角形. 令 ,则 , , , ∴ ,∴ , ∴ , , , , , , , ∴ 中, , ∴ ,∴ . 故选:C. 6.(2023秋·江苏苏州·高三统考期末)在平面直角坐标系 中,已知双曲线C: ( , )的左顶点为 ,右焦点为F,过点F作C的一条渐近线的 垂线,垂足为P,过点P作x轴的垂线,垂足为Q.若 , , 成等差数列,则C的离心率为( ) A. B. C.2 D. 【答案】B 【分析】不妨设渐近线方程为 ,计算 点坐标得到 , , ,根据等差数列性质得到 ,解得答案. 【详解】 , ,不妨设渐近线方程为 ,则直线 为: , ,解得 ,故 , , , , , 成等差数列,故 ,整理得到 , 解得 或 (舍). 故选:B 7.(2023·山东日照·统考一模)已知椭圆 : 的左、右焦点为 , ,点 为椭圆 内一点,点 在双曲线 : 上,若椭圆上存 在一点 ,使得 ,则 的取值范围是( ) A. B. C. D. 【答案】A 【分析】先求出椭圆左焦点 坐标为 ,由题得 , 解不等式得到 ,再解不等式 即得解.【详解】点 在双曲线 : 上,所以 . 所以椭圆左焦点 坐标为 . 因为 ,所以 , 所以 . 因为 ,所以 . 点 为椭圆 内一点,所以 , 所以 或 . 综上: . 故选:A 8.(2023·山东威海·统考一模)已知双曲线 的左焦点为 , M为C上一点,M关于原点的对称点为N,若 ,且 ,则C的 渐近线方程为( ) A. B. C. D. 【答案】D 【分析】由对称性知四边形 为平行四边形,可求得 及 ,在 中,由余弦定理建立 的关系,从而求得渐近线方程. 【详解】如图所示,不妨设 在左支,设右焦点为 ,连接 , 由对称性知四边形 为平行四边形, 由 得 , 由双曲线定义知: , 所以 , 因为 ,所以 在 中,由余弦定理得 , 即 , 整理得 ,即 ,所以 , 则C的渐近线方程为 . 故选:D 【点睛】求双曲线的渐近线就是求 与 的关系,通过可通过几何关系或代数式建立关 于 的一个齐次等式,求解 均可得到渐近线方程.几何关系通过用到平面几何 中的有关知识建立关系,甚至平面向量、正弦定理、余弦定理都可以用来建立关系式. 9.(2023春·湖北·高三统考阶段练习)已知双曲线 为双 曲线的右焦点,过点 作渐近线的垂线 ,垂足为 ,交另一条渐近线于,若 ,则双曲线 的离心率的取值范围是( ) A. B. C. D. 【答案】C 【分析】设 ,根据 列式,根据 的取值范围求得 的取 值范围,进而求得离心率的取值范围. 【详解】依题意可知 在第一象限, 在第二象限, 到渐近线 的距离为 , 即 ,设 ,则 , , 由 得 , 故 , , . 故选:C 10.(2023·湖南邵阳·统考二模)已知椭圆 的左、右焦点分别为 , ,半焦距为 .在椭圆上存在点 使得 ,则椭圆离心率 的取值范围是( ) A. B. C. D. 【答案】B【分析】由正弦定理及椭圆定义得 ,得 , 结合 ,得关于 的不等式,从而求出 的范围. 【详解】由 ,得 ,得 , 又 ,则 , ∴ ,即 , 又 ,∴ . 故选:B. 11.(2023·江苏南通·校联考模拟预测)如图1所示,抛物面天线是指由抛物面(抛物 线绕其对称轴旋转形成的曲面)反射器和位于焦点上的照射器(馈源,通常采用喇叭 天线)组成的单反射面型天线,广泛应用于微波和卫星通讯等领域,具有结构简单、 方向性强、工作频带宽等特点.图2是图1的轴截面,A,B两点关于抛物线的对称轴 对称,F是抛物线的焦点,∠AFB是馈源的方向角,记为 ,焦点F到顶点的距离f与 口径d的比值 称为抛物面天线的焦径比,它直接影响天线的效率与信噪比等.如果 某抛物面天线馈源的方向角 满足, ,则其焦径比为( ) A. B. C. D.【答案】C 【分析】建立直角坐标系,设抛物线的标准方程为: , , ,代入抛物线方程可得 ,根据 ,解得 与 的关系,即可得出 . 【详解】如图所示,建立直角坐标系, 设抛物线的标准方程为: , , ,代入抛物线方程可得: ,解得 , 由于 ,得 或 (舍) 又 ,化为: , 解得 或 (舍) . 故选:C. 12.(2023·广东广州·统考一模)已知抛物线 的顶点为坐标原点 ,焦点 在 轴上,过点 的直线交 于 两点,且 ,线段 的中点为 ,则直线 的 斜率的最大值为( ) A. B. C. D.1 【答案】A 【分析】根据给定条件,设出抛物线C及直线PQ的方程,借助垂直关系求出抛物线 方程及点M的坐标,再用斜率坐标公式建立函数,利用均值不等式求解作答. 【详解】依题意,抛物线 的焦点在x轴的正半轴上,设 的方程为: , 显然直线 不垂直于y轴,设直线PQ的方程为: ,点 , 由 消去x得: ,则有 , 由 得: ,解得 , 于是抛物线 : 的焦点 ,弦 的中点 的纵坐标为 ,则点 , 显然直线 的斜率最大,必有 ,则直线 的斜率 , 当且仅当 ,即 时取等号, 所以直线 的斜率的最大值为 . 故选:A13.(2023春·广东珠海·高三珠海市第一中学校考阶段练习)已知点 是双曲线 的右焦点,过点F向C的一条渐近线引垂线垂足为A,交另一 条渐近线于点B.若 ,则双曲线C的方程为( ) A. B. C. D. 【答案】A 【分析】根据给定条件,利用点到直线距离公式、二倍角的余弦公式、勾股定理列式 计算作答. 【详解】双曲线 的渐近线方程为: ,不妨令点A在直线 上, ,如图, 因为 ,则 ,而 ,即有 , , ,由 知,点 在y轴 同侧, 于是 , , , 在 中, ,由 得: ,整理得: ,化简得 ,解得 或 (舍去), 所以 , ,双曲线方程为 . 故选:A 14.(2023·浙江·模拟预测)已知椭圆 的左、右焦点为 为椭圆上一点,过P点作椭圆的切线l,PM垂直于直线l且与x轴交于点M,若M为 的中点,则该椭圆的离心率为( ) A. B. C. D. 【答案】C 【分析】由椭圆方程和切点坐标,写出切线方程,得M点坐标,由M的位置,求得离 心率. 【详解】因为 为椭圆 上一点,所以过P作椭圆的切线 , 切线斜率 ,所以PM的斜率 ,直线PM的方程为 , 令 ,得 ,所以 ,由题 , ,所以 , . 故选:C. 15.(2023·江苏宿迁·江苏省沭阳高级中学校考模拟预测)椭圆具有光学性质:从椭圆 的一个焦点发出的光线,经过椭圆反射后,反射光线过椭圆的另一个焦点(如图).已知 椭圆 的左、右焦点分别为 ,过 的直线与椭圆E交与点 A,B,过点A作椭圆的切线l,点B关于l的对称点为M,若 ,则 ( )A. B. C. D. 【答案】A 【分析】结合题目所给信息及图形可得 ,后由椭圆定义及条件可得 , .最后由 可得答案. 【详解】如图,由椭圆的光学性质可得 三点共线. 设 ,则 , . 故 ,解得 .又 ,所以 , . 所以 . 故选:A. 16.(2023春·湖北·高三统考阶段练习)如图, 为双曲线的左右焦点,过 的 直线交双曲线于 两点, 为线段的 中点,若对于线段 上的任意 点 ,都有 成立,且 内切圆的圆心在直线 上.则双曲线的离心率是( ) A. B. C.2 D. 【答案】D 【分析】由 可得 .由 ,可得 . 又由 内切圆的圆心在直线 上,可得 ,据此可得答案. 【详解】如图1,取 中点为Q,连接EQ,PQ.则 , . 因 ,则 ,因直线外一点 到直线连线中垂线段最短,则 为 垂线.因Q为 中点,E为 中点,则 ,得 .又DO为直角三角形斜边 中线,则 . 如图2,设 内切圆的圆心为I,内切圆与 交点为M,与 交点为T,与 交点为N.则 , ,又 ,则 .又由切线性质,可知 ,则 . 则离心率为 . 故选:D 【点睛】结论点睛:本题涉及以下结论: (1)极化恒等式: ; (2)双曲线焦点三角形的内切圆圆心在直线 上. 17.(2023·湖北·统考模拟预测)已知 , 分别是双曲线 的左、右焦点,过 的直线分别交双曲线左、右两支于A,B两点,点C在x轴上, , 平分 ,则双曲线 的离心率为( ) A. B. C. D. 【答案】A 【分析】根据 可知 ,再根据角平分线定理得到 的关系,再 根据双曲线定义分别把图中所有线段用 表示出来,根据边的关系利用余弦定理即 可解出离心率.【详解】 因为 ,所以 ∽ , 设 ,则 ,设 ,则 , . 因为 平分 ,由角平分线定理可知, , 所以 ,所以 , 由双曲线定义知 ,即 , ,① 又由 得 , 所以 ,即 是等边三角形, 所以 . 在 中,由余弦定理知 , 即 ,化简得 , 把①代入上式得 ,所以离心率为 . 故选:A. 18.(2023春·浙江温州·高三统考开学考试)直线l与双曲线 的左, 右两支分别交于点A,B,与双曲线的两条渐近线分别交于点C,D(A,C,D,B从 左到右依次排列),若 ,且 , , 成等差数列,则双曲线的离 心率的取值范围是( )A. B. C. D. 【答案】D 【分析】先设直线方程及四个点,联立后分别求出两根和和两根积,再应用 , , 成等差数列,列式求解即可 【详解】设 直线 , 联立 ,可得 ,则 ① 联立 ,可得 ,则 ② 因为 ,所以 ,所以 ③ 因为 ,所以 ,所以 ,即得 ④ 因为 ,所以 中点为 的中点,所以 , 因为 成等差数列,所以 ,又因为A,C,D,B从左到 右依次排列,所以 , 所以 ,代入①②③有 , 因为 且 ,又因为 ,则 所以 ,所以 ,即综上, 故选:D. 19.(2023春·浙江宁波·高三校联考阶段练习)已知椭圆 的左、 右焦点分别为 为椭圆上不与顶点重合的任意一点, 为 的内心,记直 线 的斜率分别为 ,若 ,则椭圆 的离心率为( ) A. B. C. D. 【答案】B 【分析】设 ,设圆与 轴相切于点 ,结合圆的切线 长的性质证明 ,结合椭圆性质可得 ,由内切圆性质可得 ,由条件确定 关系,由此可求离心率. 【详解】设 ,设圆与 轴相切于点 , 则 , 又 , , 所以 , 所以 , 即 , 过点 作直线 的垂线,垂足为 ,则 , 所以 , 所以 ,所以 , ∴ , ∴ , 由三角形面积相等,得 , , , , 所以 , ,即得 . 故选:B. . 【点睛】方法点睛:椭圆的离心率是椭圆最重要的几何性质,求椭圆的离心率(或离心率的取值范围),常见有两种方法: ①求出a,c,代入公式 ; ②只需要根据一个条件得到关于a,b,c的齐次式,结合b2=a2-c2转化为a,c的齐 次式,然后等式(不等式)两边分别除以a或a2转化为关于e的方程(不等式),解方程(不 等式)即可得e(e的取值范围). 二、填空题 20.(2023秋·浙江·高三期末)已知椭圆 ,过椭圆左焦点F任作一条弦 (不与长轴重合),点A,B是椭圆的左右顶点,设直线 的斜率为 ,直线 的斜率为 ,则 的最小值为_______. 【答案】 【分析】设直线 ,联立直线与椭圆的方程由韦达定理 代入求出 , 再求出 ,即可求出 ,再由基本不等式即可求出 的最小值. 【详解】设直线 , 联立 ,所以 , , 由韦达定理可求得 , , 因为 在椭圆上,所以 ,即 , 由椭圆 : 可得 , , 所以 , 所以 , 则 ,等号显然可以取得,故最小值为 . 故答案为: . 21.(2023·浙江嘉兴·统考模拟预测)已知双曲线 的左、右焦点为 , ,过 的直线分别交两条渐近线于 , 两点,若 且 ,则 的离心率为______. 【答案】2 【分析】设直线 的方程为 ,通过联立方程组的方法求得 的坐标,进而 求得 中点 的坐标.对 进行分类讨论,由 化简求得双曲线 的 离心率. 【详解】设直线 的方程为 ,由 得 ,同理可得 ,所以 的中点 因为 ,所以 (1)当 时, 轴,此时 , , 又由 得 ,即 所以 ,这与 矛盾,不合题意,所以 (2)当 时,则 ,即 , 则 ,即 , 又由 得 , 化简得 ,所以 ,所以 . 由(1)(2)可知,双曲线的离心率为2. 故答案为:2 【点睛】求解直线和直线、直线和圆锥曲线的交点的问题,可通过联立方程组来进行 求解.求解双曲线的离心率问题,有两个思路,一个是求得 ,从而求得双曲线的离 心率;另一个是求得 或 的关系式,由此来求得双曲线的离心率. 22.(2023春·江苏南京·高三南京市第五高级中学校考阶段练习)已知椭圆的左、右焦点分别为 ,若以 为圆心,b-c为半径作圆 ,过椭圆上一点P作此圆的切线.切点为T,且|PT|的最小值为 ,则椭圆 的离心率e的取值范围是____________. 【答案】 【分析】当P点位于椭圆的右顶点的位置的时候, 最小值,且最小值为 =a -c,根据 最小值为 与 可得 ,根据 b>c易得 ,结合两式即可求解. 【详解】依题意,如图所示: 当P点位于椭圆的右顶点的位置的时候, 最小值,且最小值为 =a-c. ∵ , ∴ , ∴ , ∴ , ∴ ,∴ , 化为 ,即 . 解得 . 可得 .① ∵b>c, ∴ , ∴ , ∴ , ∴ .② 解得 . 由①②解得 . 故椭圆离心率的取值范围为 . 故答案为: . 23.(2023·山东泰安·统考一模)已知双曲线C: 的右顶点为 A,以A为圆心,b为半径的圆与双曲线C的一条渐近线交于M,N两点,若 ,则以 (e为双曲线C的离心率)为焦点的抛物线的标准方程为 ___________. 【答案】 【分析】根据已知条件求得双曲线的离心率,也即求得 ,从而求得抛物线的标准方 程. 【详解】依题意, ,双曲线的一条渐近线方程为 ,依题意,三角形 是边长为 的等边三角形, 所以 到 的距离是 , 即 , 所以对于抛物线 ,有 , 所以抛物线方程为 . 故答案为: 24.(2023春·湖北·高三统考阶段练习)已知抛物线 的焦点为 ,过 点 的直线与该抛物线交于 两点, 的中点纵坐标为 ,则 __________. 【答案】 或 【分析】由题可设直线 的方程为 , ,与抛物线联立可 得交点坐标关系,根据相交弦长公式及中点坐标公式即可求得 的值. 【详解】抛物线 的焦点 ,设直线 的方程为 , , 所以 ,则 , 联立 ,消去 得: ,恒成立, 所以 ,所以 ,则 , 又 , 整理得: ,所以 ,解得 或 . 故答案为: 或 . 25.(2023·湖北·统考模拟预测)已知 为抛物线 上一点,过 点 的直线与抛物线C交于A,B两点,且直线 与 的倾斜角互补,则 __________. 【答案】2 【分析】由题可得 ,然后利用韦达定理法,两点间距离公式结合条件即得. 【详解】由点 在抛物线 上得: ,即 , 所以抛物线C的方程为: , 设直线 的方程为 , , , 由直线 与 的倾斜角互补得 , 即 ,所以 , 联立 ,得 ,所以 , , 所以 ,即 ,所以 , 所以 . 故答案为:2. 26.(2023·湖南·湖南师大附中校联考模拟预测)已知直线 ,抛物线 的焦点为 ,过点 的直线交抛物线 于 两点,点 关于 轴对称的 点为 .若过点 的圆与直线 相切,且与直线 交于点 ,则当 时,直 线 的斜率为___________. 【答案】 【分析】根据题意设直线 的方程为 ,联立抛物线方程,然后结合韦达定 理即可得到结果. 【详解】如图,易知过点 且与直线 相切的圆就是以 为直径的圆,设 , 则 ,由 有 , 设直线 的方程为 ,代入 有 ,所以 ,结合 ,得 . 故答案为: 27.(2023秋·湖南湘潭·高三校联考期末)已知双曲线 的右焦点为 , 直线 与双曲线 相交于 两点,点 ,以 为直径的圆与 相交于 两点,若 为线段 的中点,则 __________. 【答案】2 【分析】根据直线与双曲线的位置关系确定交点坐标关系,利用直线和圆的几何性质, 即可求得 的长. 【详解】解:如图,由题可知, 的坐标为 ,设 , 联立方程组 ,可得 , 则 , . 因为 为线段 的中点,所以 的坐标为 . 又以 为直径的圆与 相交于 两点,所以 ,所以, 解得 ,又 ,所以 , 所以 ,故 . 故答案为:2. 28.(2023·广东茂名·统考一模)已知直线 与双曲线 交于A,B两点(A在B的上方),A为BD的中点,过点A作直线与y轴垂直且交于 点E,若 的内心到y轴的距离不小于 ,则双曲线C的离心率取值范围是 ______. 【答案】 【分析】先求得 的坐标,根据三角形的内心以及角平分线定理以及 的内心 到 轴的距离 的范围,求得 的取值范围,进而求得离心率 的取值范围. 【详解】因为A在B的上方,且这两点都在C上, 所以 , ,则 . 因为A是线段BD的中点,又 轴, 所以 , , 所以 的内心G在线段EA上. 因为DG平分 ,所以在 中所以 , 设 ,所以 , 因为G到y轴的距离不小于 ,∴ ,∴ . ∴ ,故 . 故答案为: 29.(2023·广东·校联考模拟预测)已知抛物线 的焦点为 ,准线 交 轴于点 ,过点 的直线交该抛物线于 两点,则直线 与直线 的斜率之和为 ________. 【答案】 【分析】过 分别作 轴与准线 的垂线,利用直角三角形的边角关系以及直线斜 率与倾斜角的关系,即可得直线 与直线 的斜率之和. 【详解】如图,过 作 的垂线 ,垂足为 ,作准线 的垂线 ,垂足为 ,过 作 的垂线 ,垂足为 ,作准线 的垂线 ,垂足为 ,连接 ,则 , , 因为 ,所以 ,即 . 故答案为: . 30.(2023春·江苏南通·高三校考开学考试)已知椭圆C: 的离心 率为 ,F是左焦点,过F且倾斜角为45°的直线交C于点A,B.设M,N分别是 AF和BF的中点,O为坐标原点,若 ,则 的面积为______. 【答案】 ## 【分析】设右焦点为 ,连接 , 由中位线知 ,再由 及弦 的长可以求出 值,再由 长及原点到 的距离求出 的面积. 【详解】设右焦点为 ,连接 , 为 的中点, 为 中点, ,同理 , , , , , 椭圆方程可化为 , 设直线 , , 由 得 , , , , , , , 原点到直线 的距离为 ,所以 , 故答案为: 【点睛】椭圆中两个周长为定值的三角形: 若过椭圆焦点 的直线与椭圆交于 两点,另一焦点为 , ① 周长为定值 ; ② 周长为定值 ; 这两个三角形的边长为焦半径时可以与椭圆的定义联系在一起使用,而三角形的周长 也可以与三角形内切圆半径结合使用.