当前位置:首页>文档>专题02矩形的判定与性质重难点题型专训(13大题型+15道拓展培优)(教师版)_初中数学_八年级数学下册(人教版)_重难点专题提升-V7_2024版

专题02矩形的判定与性质重难点题型专训(13大题型+15道拓展培优)(教师版)_初中数学_八年级数学下册(人教版)_重难点专题提升-V7_2024版

  • 2026-04-11 01:49:05 2026-03-20 03:36:57

文档预览

专题02矩形的判定与性质重难点题型专训(13大题型+15道拓展培优)(教师版)_初中数学_八年级数学下册(人教版)_重难点专题提升-V7_2024版
专题02矩形的判定与性质重难点题型专训(13大题型+15道拓展培优)(教师版)_初中数学_八年级数学下册(人教版)_重难点专题提升-V7_2024版
专题02矩形的判定与性质重难点题型专训(13大题型+15道拓展培优)(教师版)_初中数学_八年级数学下册(人教版)_重难点专题提升-V7_2024版
专题02矩形的判定与性质重难点题型专训(13大题型+15道拓展培优)(教师版)_初中数学_八年级数学下册(人教版)_重难点专题提升-V7_2024版
专题02矩形的判定与性质重难点题型专训(13大题型+15道拓展培优)(教师版)_初中数学_八年级数学下册(人教版)_重难点专题提升-V7_2024版
专题02矩形的判定与性质重难点题型专训(13大题型+15道拓展培优)(教师版)_初中数学_八年级数学下册(人教版)_重难点专题提升-V7_2024版
专题02矩形的判定与性质重难点题型专训(13大题型+15道拓展培优)(教师版)_初中数学_八年级数学下册(人教版)_重难点专题提升-V7_2024版
专题02矩形的判定与性质重难点题型专训(13大题型+15道拓展培优)(教师版)_初中数学_八年级数学下册(人教版)_重难点专题提升-V7_2024版
专题02矩形的判定与性质重难点题型专训(13大题型+15道拓展培优)(教师版)_初中数学_八年级数学下册(人教版)_重难点专题提升-V7_2024版
专题02矩形的判定与性质重难点题型专训(13大题型+15道拓展培优)(教师版)_初中数学_八年级数学下册(人教版)_重难点专题提升-V7_2024版
专题02矩形的判定与性质重难点题型专训(13大题型+15道拓展培优)(教师版)_初中数学_八年级数学下册(人教版)_重难点专题提升-V7_2024版
专题02矩形的判定与性质重难点题型专训(13大题型+15道拓展培优)(教师版)_初中数学_八年级数学下册(人教版)_重难点专题提升-V7_2024版
专题02矩形的判定与性质重难点题型专训(13大题型+15道拓展培优)(教师版)_初中数学_八年级数学下册(人教版)_重难点专题提升-V7_2024版
专题02矩形的判定与性质重难点题型专训(13大题型+15道拓展培优)(教师版)_初中数学_八年级数学下册(人教版)_重难点专题提升-V7_2024版
专题02矩形的判定与性质重难点题型专训(13大题型+15道拓展培优)(教师版)_初中数学_八年级数学下册(人教版)_重难点专题提升-V7_2024版
专题02矩形的判定与性质重难点题型专训(13大题型+15道拓展培优)(教师版)_初中数学_八年级数学下册(人教版)_重难点专题提升-V7_2024版
专题02矩形的判定与性质重难点题型专训(13大题型+15道拓展培优)(教师版)_初中数学_八年级数学下册(人教版)_重难点专题提升-V7_2024版
专题02矩形的判定与性质重难点题型专训(13大题型+15道拓展培优)(教师版)_初中数学_八年级数学下册(人教版)_重难点专题提升-V7_2024版
专题02矩形的判定与性质重难点题型专训(13大题型+15道拓展培优)(教师版)_初中数学_八年级数学下册(人教版)_重难点专题提升-V7_2024版
专题02矩形的判定与性质重难点题型专训(13大题型+15道拓展培优)(教师版)_初中数学_八年级数学下册(人教版)_重难点专题提升-V7_2024版
专题02矩形的判定与性质重难点题型专训(13大题型+15道拓展培优)(教师版)_初中数学_八年级数学下册(人教版)_重难点专题提升-V7_2024版
专题02矩形的判定与性质重难点题型专训(13大题型+15道拓展培优)(教师版)_初中数学_八年级数学下册(人教版)_重难点专题提升-V7_2024版
专题02矩形的判定与性质重难点题型专训(13大题型+15道拓展培优)(教师版)_初中数学_八年级数学下册(人教版)_重难点专题提升-V7_2024版
专题02矩形的判定与性质重难点题型专训(13大题型+15道拓展培优)(教师版)_初中数学_八年级数学下册(人教版)_重难点专题提升-V7_2024版
专题02矩形的判定与性质重难点题型专训(13大题型+15道拓展培优)(教师版)_初中数学_八年级数学下册(人教版)_重难点专题提升-V7_2024版
专题02矩形的判定与性质重难点题型专训(13大题型+15道拓展培优)(教师版)_初中数学_八年级数学下册(人教版)_重难点专题提升-V7_2024版
专题02矩形的判定与性质重难点题型专训(13大题型+15道拓展培优)(教师版)_初中数学_八年级数学下册(人教版)_重难点专题提升-V7_2024版
专题02矩形的判定与性质重难点题型专训(13大题型+15道拓展培优)(教师版)_初中数学_八年级数学下册(人教版)_重难点专题提升-V7_2024版
专题02矩形的判定与性质重难点题型专训(13大题型+15道拓展培优)(教师版)_初中数学_八年级数学下册(人教版)_重难点专题提升-V7_2024版
专题02矩形的判定与性质重难点题型专训(13大题型+15道拓展培优)(教师版)_初中数学_八年级数学下册(人教版)_重难点专题提升-V7_2024版
专题02矩形的判定与性质重难点题型专训(13大题型+15道拓展培优)(教师版)_初中数学_八年级数学下册(人教版)_重难点专题提升-V7_2024版
专题02矩形的判定与性质重难点题型专训(13大题型+15道拓展培优)(教师版)_初中数学_八年级数学下册(人教版)_重难点专题提升-V7_2024版
专题02矩形的判定与性质重难点题型专训(13大题型+15道拓展培优)(教师版)_初中数学_八年级数学下册(人教版)_重难点专题提升-V7_2024版
专题02矩形的判定与性质重难点题型专训(13大题型+15道拓展培优)(教师版)_初中数学_八年级数学下册(人教版)_重难点专题提升-V7_2024版
专题02矩形的判定与性质重难点题型专训(13大题型+15道拓展培优)(教师版)_初中数学_八年级数学下册(人教版)_重难点专题提升-V7_2024版
专题02矩形的判定与性质重难点题型专训(13大题型+15道拓展培优)(教师版)_初中数学_八年级数学下册(人教版)_重难点专题提升-V7_2024版
专题02矩形的判定与性质重难点题型专训(13大题型+15道拓展培优)(教师版)_初中数学_八年级数学下册(人教版)_重难点专题提升-V7_2024版
专题02矩形的判定与性质重难点题型专训(13大题型+15道拓展培优)(教师版)_初中数学_八年级数学下册(人教版)_重难点专题提升-V7_2024版
专题02矩形的判定与性质重难点题型专训(13大题型+15道拓展培优)(教师版)_初中数学_八年级数学下册(人教版)_重难点专题提升-V7_2024版
专题02矩形的判定与性质重难点题型专训(13大题型+15道拓展培优)(教师版)_初中数学_八年级数学下册(人教版)_重难点专题提升-V7_2024版
专题02矩形的判定与性质重难点题型专训(13大题型+15道拓展培优)(教师版)_初中数学_八年级数学下册(人教版)_重难点专题提升-V7_2024版
专题02矩形的判定与性质重难点题型专训(13大题型+15道拓展培优)(教师版)_初中数学_八年级数学下册(人教版)_重难点专题提升-V7_2024版
专题02矩形的判定与性质重难点题型专训(13大题型+15道拓展培优)(教师版)_初中数学_八年级数学下册(人教版)_重难点专题提升-V7_2024版
专题02矩形的判定与性质重难点题型专训(13大题型+15道拓展培优)(教师版)_初中数学_八年级数学下册(人教版)_重难点专题提升-V7_2024版
专题02矩形的判定与性质重难点题型专训(13大题型+15道拓展培优)(教师版)_初中数学_八年级数学下册(人教版)_重难点专题提升-V7_2024版
专题02矩形的判定与性质重难点题型专训(13大题型+15道拓展培优)(教师版)_初中数学_八年级数学下册(人教版)_重难点专题提升-V7_2024版
专题02矩形的判定与性质重难点题型专训(13大题型+15道拓展培优)(教师版)_初中数学_八年级数学下册(人教版)_重难点专题提升-V7_2024版
专题02矩形的判定与性质重难点题型专训(13大题型+15道拓展培优)(教师版)_初中数学_八年级数学下册(人教版)_重难点专题提升-V7_2024版
专题02矩形的判定与性质重难点题型专训(13大题型+15道拓展培优)(教师版)_初中数学_八年级数学下册(人教版)_重难点专题提升-V7_2024版
专题02矩形的判定与性质重难点题型专训(13大题型+15道拓展培优)(教师版)_初中数学_八年级数学下册(人教版)_重难点专题提升-V7_2024版
专题02矩形的判定与性质重难点题型专训(13大题型+15道拓展培优)(教师版)_初中数学_八年级数学下册(人教版)_重难点专题提升-V7_2024版
专题02矩形的判定与性质重难点题型专训(13大题型+15道拓展培优)(教师版)_初中数学_八年级数学下册(人教版)_重难点专题提升-V7_2024版
专题02矩形的判定与性质重难点题型专训(13大题型+15道拓展培优)(教师版)_初中数学_八年级数学下册(人教版)_重难点专题提升-V7_2024版
专题02矩形的判定与性质重难点题型专训(13大题型+15道拓展培优)(教师版)_初中数学_八年级数学下册(人教版)_重难点专题提升-V7_2024版
专题02矩形的判定与性质重难点题型专训(13大题型+15道拓展培优)(教师版)_初中数学_八年级数学下册(人教版)_重难点专题提升-V7_2024版
专题02矩形的判定与性质重难点题型专训(13大题型+15道拓展培优)(教师版)_初中数学_八年级数学下册(人教版)_重难点专题提升-V7_2024版
专题02矩形的判定与性质重难点题型专训(13大题型+15道拓展培优)(教师版)_初中数学_八年级数学下册(人教版)_重难点专题提升-V7_2024版
专题02矩形的判定与性质重难点题型专训(13大题型+15道拓展培优)(教师版)_初中数学_八年级数学下册(人教版)_重难点专题提升-V7_2024版
专题02矩形的判定与性质重难点题型专训(13大题型+15道拓展培优)(教师版)_初中数学_八年级数学下册(人教版)_重难点专题提升-V7_2024版
专题02矩形的判定与性质重难点题型专训(13大题型+15道拓展培优)(教师版)_初中数学_八年级数学下册(人教版)_重难点专题提升-V7_2024版
专题02矩形的判定与性质重难点题型专训(13大题型+15道拓展培优)(教师版)_初中数学_八年级数学下册(人教版)_重难点专题提升-V7_2024版
专题02矩形的判定与性质重难点题型专训(13大题型+15道拓展培优)(教师版)_初中数学_八年级数学下册(人教版)_重难点专题提升-V7_2024版
专题02矩形的判定与性质重难点题型专训(13大题型+15道拓展培优)(教师版)_初中数学_八年级数学下册(人教版)_重难点专题提升-V7_2024版
专题02矩形的判定与性质重难点题型专训(13大题型+15道拓展培优)(教师版)_初中数学_八年级数学下册(人教版)_重难点专题提升-V7_2024版
专题02矩形的判定与性质重难点题型专训(13大题型+15道拓展培优)(教师版)_初中数学_八年级数学下册(人教版)_重难点专题提升-V7_2024版
专题02矩形的判定与性质重难点题型专训(13大题型+15道拓展培优)(教师版)_初中数学_八年级数学下册(人教版)_重难点专题提升-V7_2024版
专题02矩形的判定与性质重难点题型专训(13大题型+15道拓展培优)(教师版)_初中数学_八年级数学下册(人教版)_重难点专题提升-V7_2024版
专题02矩形的判定与性质重难点题型专训(13大题型+15道拓展培优)(教师版)_初中数学_八年级数学下册(人教版)_重难点专题提升-V7_2024版
专题02矩形的判定与性质重难点题型专训(13大题型+15道拓展培优)(教师版)_初中数学_八年级数学下册(人教版)_重难点专题提升-V7_2024版
专题02矩形的判定与性质重难点题型专训(13大题型+15道拓展培优)(教师版)_初中数学_八年级数学下册(人教版)_重难点专题提升-V7_2024版
专题02矩形的判定与性质重难点题型专训(13大题型+15道拓展培优)(教师版)_初中数学_八年级数学下册(人教版)_重难点专题提升-V7_2024版
专题02矩形的判定与性质重难点题型专训(13大题型+15道拓展培优)(教师版)_初中数学_八年级数学下册(人教版)_重难点专题提升-V7_2024版
专题02矩形的判定与性质重难点题型专训(13大题型+15道拓展培优)(教师版)_初中数学_八年级数学下册(人教版)_重难点专题提升-V7_2024版
专题02矩形的判定与性质重难点题型专训(13大题型+15道拓展培优)(教师版)_初中数学_八年级数学下册(人教版)_重难点专题提升-V7_2024版
专题02矩形的判定与性质重难点题型专训(13大题型+15道拓展培优)(教师版)_初中数学_八年级数学下册(人教版)_重难点专题提升-V7_2024版
专题02矩形的判定与性质重难点题型专训(13大题型+15道拓展培优)(教师版)_初中数学_八年级数学下册(人教版)_重难点专题提升-V7_2024版
专题02矩形的判定与性质重难点题型专训(13大题型+15道拓展培优)(教师版)_初中数学_八年级数学下册(人教版)_重难点专题提升-V7_2024版
专题02矩形的判定与性质重难点题型专训(13大题型+15道拓展培优)(教师版)_初中数学_八年级数学下册(人教版)_重难点专题提升-V7_2024版
专题02矩形的判定与性质重难点题型专训(13大题型+15道拓展培优)(教师版)_初中数学_八年级数学下册(人教版)_重难点专题提升-V7_2024版
专题02矩形的判定与性质重难点题型专训(13大题型+15道拓展培优)(教师版)_初中数学_八年级数学下册(人教版)_重难点专题提升-V7_2024版
专题02矩形的判定与性质重难点题型专训(13大题型+15道拓展培优)(教师版)_初中数学_八年级数学下册(人教版)_重难点专题提升-V7_2024版
专题02矩形的判定与性质重难点题型专训(13大题型+15道拓展培优)(教师版)_初中数学_八年级数学下册(人教版)_重难点专题提升-V7_2024版
专题02矩形的判定与性质重难点题型专训(13大题型+15道拓展培优)(教师版)_初中数学_八年级数学下册(人教版)_重难点专题提升-V7_2024版
专题02矩形的判定与性质重难点题型专训(13大题型+15道拓展培优)(教师版)_初中数学_八年级数学下册(人教版)_重难点专题提升-V7_2024版
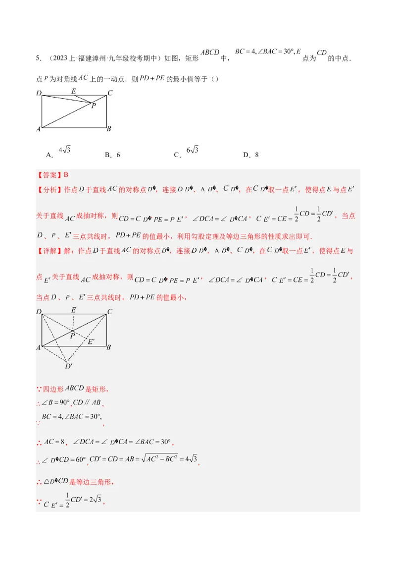
专题02矩形的判定与性质重难点题型专训(13大题型+15道拓展培优)(教师版)_初中数学_八年级数学下册(人教版)_重难点专题提升-V7_2024版

文档信息

文档格式
docx
文档大小
6.985 MB
文档页数
85 页
上传时间
2026-03-20 03:36:57

文档内容

专题02 矩形的判定与性质重难点题型专训(13大题型+15道拓展培优) 【题型目录】 题型一 矩形的性质理解 题型二 利用矩形的性质求角度 题型三 根据矩形的性质求线段长 题型四 根据矩形的性质求面积 题型五 利用矩形的性质证明 题型六 求矩形在坐标系中的坐标 题型七 矩形与折叠问题 题型八 矩形的判定定理理解 题型九 添一个条件使四边形是矩形 题型十 证明四边形是矩形 题型十一 根据矩形的性质与判定求角度 题型十二 根据矩形的性质与判定求线段长 题型十三 根据矩形的性质与判定求面积 【知识梳理】 知识点1:矩形的概念与性质 1. 概念:有一个角是直角的平行四边形是矩形。 2. 性质:(1)矩形的对边平行且相等; (2)矩形的四个角都是直角; (3)矩形的对角线相等。 知识点2:直角三角形斜边上的中线 直角三角形斜边上的中线 等于斜边的一半 知识点3:矩形的判定 (1)有一个角是直角的平行四边形是矩形; (2)对角线相等的平行四边形是矩形; (3)有三各直角的四边形是矩形。 【经典例题一 矩形的性质理解】 【例1】(2023下·江苏盐城·八年级校联考阶段练习)矩形的一个内角平分线把矩形一条边分成3cm和 5cm两部分,则矩形的周长为( ) A.22cm和26cm B.22cm和24cm C.26cm D.22cm 【答案】A【分析】利用角平分线得到 ,矩形对边平行得到 ,进而得到 ,再得到 ,那么根据 的不同情况得到矩形的各个边长,进而求其周长,分如图 1和图2两种情况分别讨论求解即可. 【详解】解:如图1,∵ 平分 , ∴ , ∵ , ∴ , ∴ , ∴ , ∴矩形 的周长 ; 如图2,∵ 平分 , , , , , , ∴矩形 的周长 , 综上所述,矩形的周长为22cm或26cm, 故选:A. 【点睛】本题主要考查了矩形的性质和等腰三角形的判定,正确的进行分情况讨论是解本题的关键. 【变式训练】 1.(2023下·江苏·八年级专题练习)如图,在矩形 中,两条对角线相交于点 , , ,矩形的面积是( )A. B. C.8 D.12 【答案】B 【分析】根据直角三角形 角所对的直角边等于斜边的一半可得 ,再根据勾股定理求出 ,最 后即可求出矩形的面积. 【详解】解:∵ 为矩形, , ∴ , ∵ , ∴ , , ∴矩形的面积是 , 故选:B 【点睛】本题考查了矩形的性质、直角三角形 角所对的直角边等于斜边的一半的性质,勾股定理.此 题难度不大. 2.(2023下·江苏南京·八年级南京市第二十九中学校考阶段练习)如图,在平面直角坐标系中,矩形 的点 和点 分别落在 轴和 轴上, , ,直线 以每秒 个单位长度向下移动, 经过 秒该直线可将矩形 的面积平分. 【答案】 【分析】首先连接 、 ,交于点 ,当 经过 点时,该直线可将矩形 的面积平分,然 后计算出过 且平行直线 的直线解析式,从而可得直线 要向下平移 个单位,进而可得答 案. 【详解】解:连接 、 ,交于点 ,当 经过 点时,该直线可将矩形 的面积平分; , 是 的对角线, , , , , , 根据题意设平移后直线的解析式为 , , ,解得 , 平移后的直线的解析式为 , 直线 要向下平移 个单位, 时间为 秒, 故答案为: . 【点睛】此题主要考查了矩形的性质,以及一次函数图象与几何变换,关键是正确掌握经过矩形对角线交 点的直线平分矩形的面积. 3.(2023下·江苏常州·八年级校考期中)如图,已知矩形 , 是对角线. (1)将 沿 翻折得到 , 与 交于点F.用直尺和圆规在图中作出 (保留作图痕 迹,不要求写作法) (2)①求证: ; ②若 ,求 的度数.【答案】(1)作图见解析 (2)①证明见解析;② ; 【分析】(1)由翻折可得, , ,则根据作一个角等于已知角的方法作 ,再以点A为圆心, 的长为半径画弧,交 于点E,连接 即可. (2)①由翻折可得, , ,再结合矩形的性质可得 , ,根 据全等三角形的判定可得结论. ②根据全等三角形的性质可得 ,进而可得 ,则 . 【详解】(1)解:如图, 即为所求. (2)①证明:由翻折可得, , , ∵四边形 为矩形, ∴ , , ∴ , , ∵ , ∴ . ②解:∵ , ∴ , ∴ , ∵ , ∴ . 【点睛】本题考查翻折的性质、矩形的性质、全等三角形的判定与性质,作已知角的角平分线,熟练掌握 翻折的性质、矩形的性质、全等三角形的判定与性质是解答本题的关键.【经典例题二 利用矩形的性质求角度】 【例2】(2022下·江苏无锡·八年级统考期中)如图,延长矩形ABCD的边BC至点E,使CE=BD,连接 AE,如果∠ADB=30°,则∠E的度数是( ) A.45° B.30° C.20° D.15° 【答案】D 【分析】连接 ,由矩形性质可得 、 ,知 ,而 ,可得 度数 【详解】解:连接 ,如图所示: 四边形 是矩形, , ,且 , , 又 , , , , , , 故选:D. 【点睛】本题主要考查矩形性质、等腰三角形的性质,熟练掌握矩形对角线相等且互相平分、对边平行是 解题关键. 【变式训练】 1.(2023上·四川成都·九年级统考期末)如图,将含有 的直角三角尺 ( )直角顶点A放到矩形 的边 上,若 ,则 的度数是( ) A. B. C. D. 【答案】D 【分析】本题考查矩形的性质,平行线的性质,三角形的内角和定理,对顶角相等. 设 与 的交点为点 ,由角的和差可求得 ,根据矩形的性质得到 ,从而 ,根据三角形的内角和定理求得 , 再根据对顶角相等即可得 . 【详解】设 与 的交点为点 , ∵ , , ∴ , ∵在矩形 中, , ∴ ∵ , ∴ , ∴ . 故选:D 2.(2023上·四川成都·九年级成都外国语学校校考阶段练习)如图,矩形 的对角线 与 相交 于点 ,过点 作 ,交 于点 ,连接 .若 ,则 度.【答案】 【分析】利用矩形的性质可得: , ,再根据等边对等角即可求出 的度数,最后通 过平行线的性质即可求出 的度数. 【详解】解:∵四边形 是矩形, ∴ , , ∴ , , ∴ , ∵ , ∴ , ∴ , ∴ , ∴ , 故答案为: . 【点睛】此题考查了矩形的性质,解题的关键是熟练掌握矩形的性质和平行线的性质及其应用. 3.(2023下·江西宜春·八年级统考期中)如图,在矩形 中,对角线 和 相交于O点, 平 分 交 于点E,且 . (1)求证: 为等边三角形; (2)求 的度数. 【答案】(1)见解析(2) 【分析】(1)矩形的性质,得到 ,角平分线得到 ,进而得到 ,即可得证; (2)证明 为等腰三角形,三角形内角和定理,求出 ,进而求出 的度数,利用平角的 定义,即可得解. 【详解】(1)证明:∵矩形 , ∴ , , ∵ 平分 , ∴ , ∵ , ∴ , ∵ , ∴ 是等边三角形; (2)∵ 是等边三角形, ∴ , 在 中, ∵ , ∴ , ∴ , ∴ , ∵ , ∴ , ∴ , ∴ . 【点睛】本题考查矩形的性质,等边三角形的判定和性质,等腰三角形的判定和性质.熟练掌握矩形的性 质,是解题的关键. 【经典例题三 根据矩形的性质求线段长】 【例3】(2023下·江苏无锡·八年级统考期末)如图,在矩形 中, 是 的中点, 为 边上一点,且有 连接 ,若 ,则 的长为( ) A. B. C. D. 【答案】D 【分析】连接 , ,过点 作 于点 ,根据矩形的性质可得 ,由 可得 ,进而利用含 度角的直角三角形求出 ,然后利用等腰直角三角形的性质即可解决问题. 【详解】解:如图,连接 , ,过点 作 于点 , 在矩形 中, 是 的中点, , , , , , , , , ; ∵ ,∴ , ∵ , , ∴ , 又 , , . 故选:D. 【点睛】本题考查了矩形的性质,含 度角的直角三角形,等腰直角三角形的性质,勾股定理,解决本题 的关键是掌握矩形的性质. 【变式训练】 1.(2024上·陕西汉中·九年级统考期末)如图,矩形 的对角线交于点 , , , 为等边三角形,点 是直线 上一点,连接 ,则线段 的最小值为( ) A.1 B. C.2 D. 【答案】D 【分析】连接 交 于 ,当 时,线段 的值最小,根据矩形的性质得 , , , ,进而可得 ,再根据等边三角形的性质得 , ,再根据垂直平分线的判定及性质得 , ,在 中利用勾股定理得 ,进而可得 ,再根据含 角的直角三角形的特征即可求解. 【详解】解:连接 交 于 ,如图所示: 当 时,线段 的值最小, 四边形 是矩形,且 , , , , , , 是等边三角形, , , , 是 的垂直平分线, , , 在 中,根据勾股定理得: , , , 故选D. 【点睛】本题考查了含 角的直角三角形的特征、勾股定理、等边三角形的性质、垂直平分线的判定及 性质、矩形的性质,熟练掌握相关判定及性质,找准 的最小值时的位置是解题的关键. 2.(2021下·北京丰台·八年级北京市第十二中学校考期中)如图,在矩形 中, ,对角线 、 相交于点 , 垂直平分 于点 ,则 的长为 .【答案】 【分析】由矩形的性质和线段垂直平分线的性质证出 ,得出 ,由勾股定理 求出 即可. 【详解】解: 四边形 是矩形, , , , , 垂直平分 , , , , , 故答案为: . 【点睛】此题考查了矩形的性质、线段垂直平分线的性质、勾股定理;熟练掌握矩形的性质,证明三角形 是等边三角形是解决问题的关键. 3.(2023上·广东茂名·九年级校考阶段练习)在 中,过点 作 于点 ,点 在 上, ,连接 、 .(1)求证:四边形 是矩形; (2)若若 平分 , , .则 长为多少?. 【答案】(1)见解析 (2) 【分析】(1)先证明四边形 是平行四边形,再根据有一个角是90度的平行四边形是矩形即可判定. (2)首先证明 ,求出 ,由矩形的性质得 , ,则 , 由勾股定理即可解决问题. 【详解】(1)解:证明: 四边形 是平行四边形, , , , , , 四边形 是平行四边形, , , 四边形 是矩形. (2) , , 平分 , , , , 在 中, , , , , 四边形 是矩形, , , , , .【点睛】本题考查了平行四边形的判定和性质,矩形的判定和性质、角平分线的定义、等腰三角形的判定、 勾股定理等知识,注意运用平行线的性质和角平分线的常用组合考法. 【经典例题四 根据矩形的性质求面积】 【例4】(2020·江苏·九年级专题练习)如图,点P是矩形 的对角线 上一点,过点 作 , 分别交 , 于 , ,连接 , ,若 , ,则图中阴影部分的面积为( ) A.12 B.24 C.27 D.54 【答案】C 【分析】本题考查矩形的性质、三角形的面积等知识,解题的关键是证明 . 由矩形的性质可证明 ,即可求解. 【详解】解:作 于 ,交 于 . 则有四边形 ,四边形 ,四边形 ,四边形 都是矩形, , , , , , , , 故选:C. 【变式训练】1.(2023上·山东·九年级专题练习)如图,在矩形 中, , , 为 的中点,点 , G分别在 , 上, 为等腰直角三角形,且 ,则四边形 的面积为( ) A.18 B.14 C.16 D.12 【答案】C 【分析】本题考查了矩形的性质及等腰直角三角形的性质,全等三角形的判定与性质,解题的关键是能够 利用等腰三角形的性质证得两三角形全等. 首先根据等腰直角三角形的性质证得 ,从而得到 , ,然后根据梯 形面积公式求得结论即可. 【详解】解: 为等腰直角三角形, , , , 四边形 是矩形, , , , 在 和 中, , , , , , , 为 的中点, , , , , 故选:C. 2.(2023·江苏常州·校考一模)如图,现将四根木条钉成的矩形框 变形为平行四边形木框 ,且 与 相交于 边的中点E,若 , ,则原矩形 和平行四边形 重叠部分 的面积是 . 【答案】 【分析】根据矩形和平行四边形的性质可得: , , , ,从而得出 ,根据中点的定义即可求出 ,然后根据勾股定理即可求出 , 进而求出 ,最后根据梯形面积公式进行求解即可. 【详解】解:∵矩形木框 变形为平行四边形木框 ∴ , , , , ∴ ∵点E为 的中点, ∴ , 在 中,根据勾股定理可得: , ∴ , ∴ = 故答案为: . 【点睛】此题考查的是矩形的性质、平行四边形的性质、勾股定理,掌握矩形的性质定理、平行四边形的 性质定理、用勾股定理解直角三角形是解决此题的关键. 3.(2023上·山东枣庄·九年级校考阶段练习)如图,在矩形 中, , ,点P在 边上, 是不与A,过点P分别做 和 的垂线,垂足分别为E,F求 的值【答案】 【分析】连接 ,由矩形的性质得 , , , ,再由勾股定理求出 的长,然后由三角形的面积关系可得结论. 【详解】解:如图,连接 , 四边形 是矩形, , , , , , , , , , , 即 的值为 . 【点睛】本题考查了矩形的性质,勾股定理,三角形的面积,熟练掌握矩形性质并利用三角形中线平分三 角形面积是解题的关键. 【经典例题五 利用矩形的性质证明】 【例5】(2023下·江苏盐城·八年级校联考阶段练习)如图,已知正方形 的边长为4, 是对角线 上一点, 于点 , 于点 ,连接 , .给出下列结论:① ;②四 边形 的周长为8;③ 一定是等腰三角形;④ ,其中正确结论的序号为( )A.①②④ B.①③④ C.②④ D.②③ 【答案】A 【分析】①证明 , 是等腰直角三角形,即可说明 ;②先证明四边形 为 矩形,根据等腰直角三角形和矩形的性质可得其周长为 ,则四边形 的周长为8;③根据 的任 意性可以判断 不一定是等腰三角形;④四边形 为矩形,通过正方形的轴对称性,证明 . 【详解】解:① , , , 又 , 四边形 是矩形, . 四边形 是正方形, , 是等腰直角三角形, ,故①正确; ② , , , 四边形 为矩形, 四边形 的周长 ,故②正确; ③ 点 是正方形 的对角线 上任意一点, , 当 或 或 时, 是等腰三角形, 除此之外, 不是等腰三角形,故③错误. ④ 四边形 为矩形, , , 正方形为轴对称图形, ,,故④正确; 故选:A. 【点睛】本题考查了正方形的性质,等腰三角形的判定与性质,勾股定理的运用等知识;熟练掌握正方形 的性质和等腰三角形的性质是解题的关键. 【变式训练】 1.(2023下·浙江台州·八年级统考期末)如图,点P是矩形 的对角线上一动点,过点P作 的垂 线,分别交边 于点E,F,连接 .则下列结论不成立的是( ) A.四边形 的面积是定值 B. 的值不变 C. 的值不变 D. 【答案】C 【分析】过点C作 ,交 的延长线于点G,可得四边形 是平行四边形, ,推出 ,即可判断结论A;由 ,可判断结论B;利用勾股定理即可判断结 论D;根据选择题有唯一选项即可得出答案. 【详解】解:过点C作 ,交 的延长线于点G,∵四边形 是矩形, ∴ , ∴四边形 是平行四边形, ∴ , ∴ , ∴ ,即 , ∴四边形 的面积是定值,故A正确; ∵ , ∴ 的值不变,故B正确; ∵ , ∴ ,故D正确; ∴ 的值不变不成立, 故选:C. 【点睛】本题考查了矩形的性质,三角形面积,勾股定理,平行四边形的判定和性质等,证明四边形 是平行四边形是解题的关键. 2.(2023上·山东青岛·九年级统考阶段练习)如图,在矩形 中, 的平分线交 于点 于点 ,连接 并延长交 于点 ,连接 交 于点 ,下列结论: ; ; ; . 其中正确的有 填序号【答案】 【分析】 根据角平分线的定义可得 ,然后求出 是等腰直角三角形,根据等腰 直角三角形的性质可得 ,从而得到 ; 然后利用角角边证明 和 全等,根据全等三角形对应边相等可得 ,再根据等腰三 角形两底角相等求出 ,根据平角等于 求出 ,从而判断出 正确; 求出 ,然后根据等角对等边可得 ,判断出 正 确; 连接 ,利用全等三角形的性质证明 ,再证明 ,可得结论. 【详解】解: 四边形 是矩形, , 平分 , , 是等腰直角三角形, , , ,故 正确, 在 和 中, , , , , , , ,故 正确; , ,, , , , , ,故 正确; 连接 . , , , , , , , ,故 正确. 故答案为: . 【点睛】本题考查了矩形的性质,全等三角形的判定与性质,角平分线的定义,等腰三角形的判定与性质; 熟记各性质并仔细分析题目条件,根据相等的度数求出相等的角,从而得到三角形全等的条件或判断出等 腰三角形是解题的关键. 3.(2024上·山东威海·七年级统考期末)如图,在长方形 中, , , ,点 是边 上一点,将 沿 折叠,点 的对应点 刚好落在 上,若 , .(1)判断 与 是否全等,并说明理由; (2)求 的长度. 【答案】(1) ,理由见解析 (2) 【分析】(1)根据翻折变换的对应关系及矩形的性质,易得 , 和 , 从而证明 ; (2)根据翻折变换的对应关系及矩形的性质,易得 , ,在 中,利用勾股 定理求出 长度,从而求出 长度. 【详解】(1)解: ,理由如下: 四边形 是长方形, , , , , 沿 折叠后为 , , , , 在 与 中, , ; (2)解: 四边形 是长方形, , , , ,在 中,由勾股定理有 , . 【点睛】本题主要考查了图形的翻折变换,矩形的性质,全等三角形的判定和性质,勾股定理等知识,灵 活运用相关知识,找准对应边、对应角是解题关键. 【经典例题六 求矩形在坐标系中的坐标】 【例6】(2023下·江苏·八年级专题练习)在平面直角坐标系中,长方形 如图所示, ,则点 的坐标为( ) A. B. C. D. 【答案】C 【分析】根据长方形的性质求出点 的横、纵坐标即可获得答案. 【详解】解:∵四边形 为长方形, ∴ , , ∵ , ∴点 的横坐标与点 相同,为 , 点 的纵坐标与点 相同,为 , ∴点 的坐标为 . 故选:C. 【点睛】本题主要考查了坐标与图形的性质,解题关键是利用矩形“对边平行且相等”的性质解决问题. 【变式训练】 1.(2022·云南红河·统考二模)如图,在平面直角坐标系中,矩形ABOC的顶点A的坐标为 ,D是OB的中点,E是OC上的一点,当 的周长最小时,点E的坐标是( ) A. B. C. D. 【答案】B 【分析】画出A点关于y轴的对称点 ,连接 ,与y轴交于点E,根据连接两点的连线中,线段最短, 可知此时 的周长最小,再由待定系数法求得直线DA′函数式,进而求出点E的坐标即可. 【详解】解:如图,作A点关于y轴的对称点 ,连接 ,与y轴交于点E, 此时 的周长最小, ∵ , ∴ , 设直线 表达式是 , 则 ,解得: , ∴ , 所以点E的坐标是 . 故选B. 【点睛】本题考查了根据轴对称求最短距离问题,待定系数法求一次函数解析式,以及关于坐标轴对称的 点的坐标特点,解题的关键是根据对称把AE转化为 ,利用两点之间线段最短的性质解决问题. 2.(2023下·安徽黄山·八年级统考期末)如图,四边形 是矩形,其中点 和点 分别在 轴和 轴 上,连接 ,点 的坐标为 , 的平分线与 轴相交于点 ,则 点的坐标为 . 【答案】 【分析】利用勾股定理求出 ,作 于点E,如图,根据角平分线的性质可得 ,证 明 ,推出 ,得到 ,设 ,利用勾股定理构建方程求 解即可. 【详解】解:∵四边形 是矩形,点 的坐标为 , ∴ , ∴ , 作 于点E,如图, ∵ 是 的平分线, ∴ ,∵ , ∴ , ∴ , ∴ , 设 ,则 , 在直角三角形 中,根据勾股定理可得: , 即 ,解得 , ∴ 点的坐标为 ; 故答案为: . 【点睛】本题考查了矩形的性质、角平分线的性质、全等三角形的判定和性质以及勾股定理等知识,熟练 掌握相关图形的性质定理、构建方程是解题的关键. 3.(2021下·福建福州·七年级统考期中)如图,长方形 中,O为平而直角坐标系的原点, ,点B在第一象限,D是长方形边上的一个动点,设 ,且 ,连接 . (1)长方形 的周长为 . (2)若点D在长方形的边 上,且线段 把长方形 的周长分成 两部分,求点D坐标; (3)若点D在长方形的边 上,将线段 向下平移3个单位长度,得到对应线段 (F为点D的对应点),连接 ,求三角形 的面积(可用含m的式子表示). 【答案】(1) (2) (3) 【分析】(1)已知 长度,即可求出周长; (2)由题意得: ,根据此式可求出 的长度,即可得出答案; (3)画出图形,根据 即可求出. 【详解】(1)解:长方形 的周长为: ; (2)解:由题意得: , 设 ,则 , ∴ , 解得: , ∴ ; (3)解:如图, 由题意得: , , ∴ , , ,∴ ; 【点睛】本题考查四边形综合问题,熟练使用面积转化的方法表示三角形的面积是解题关键. 【经典例题七 矩形与折叠问题】 【例7】(2023上·江西上饶·七年级统考期末)如图,把一长方形纸片ABCD的一角沿AE折叠,点D的对 应点 落在 内部.若 ,且 ,则 的度数为( ) A. B. C. D. 【答案】B 【分析】设 , ,根据折叠的性质列式 ,解之可得答案. 本题考查了长方形,折叠.解决问题的关键是熟练掌握长方形的性质,折叠的性质,设未知数数构建方程. 【详解】设 ,则 , 由折叠知, , ∵四边形 是长方形, ∴ , ∴ , ∴ , 解得: , ∴ . 故选:B. 【变式训练】 1.(2024上·辽宁丹东·九年级统考期末)如图,现有一张矩形纸片 ,其中 ,点E是 的中点.将纸片沿直线 折叠,使点B落在点 ,则 ,C两点之间的距离是( ) A. B. C. D. 【答案】B 【分析】本题主要考查了矩形与折叠问题,勾股定理,熟知相关知识是解题的关键. 过点 作 ,垂足为F,连接 ,设 与 交于点O,由折叠的性质可得 , ,先求出 ,利用勾股定理求出 ,利用三角形面积公式求出 ,则 ,设 ,在 中, ,在 中, ,则 ,解得 ,则 , , , ,在 中, . 【详解】解:如图所示:过点 作 ,垂足为F,连接 ,设 与 交于点O, 由折叠的性质可得 , , ∵点E是 的中点, ∴ ,在 中, , ∵ ∴ , ∴ , 设 , 在 中, , 在 中, , ∴ , ∴ , 解得 , ∴ , ∴ , ∴ , 在 中, , 故选B. 2.(2023·山东泰安·统考一模)如图,矩形纸片 中, , ,点 、 分别在 、 上,将 、 分别沿 、 翻折,翻折后点 与点 重合,点 与点 重合 当 、 、 、 四点在同一直线上时,线段 长为 .【答案】 【分析】本题考查了翻折变换(折叠问题),矩形的性质,勾股定理,根据勾股定理列方程是解题的关键. 根据矩形的性质得到 , , ,根据折叠的性质得到 , , ,根据勾股定理得到 ,设 ,由勾股定理列方程得到 , ,由折叠的性质得到 , ,求得 ,设 ,则 ,根据勾 股定理列方程即可得到结论. 【详解】解:在矩形纸片 中, , , , , , 将 沿 翻折,翻折后点 与点 重合, , , , , 设 , , , , , 解得: , , , 将 沿 翻折,翻折后点 与点 重合, , , , , 设 , 则 , , , ,线段 长为 , 故答案为: . 3.(2024上·江西南昌·八年级统考期末)已知直线1为长方形 的对称轴, , ,点E为 射线DC上一个动点,把 沿直线 折叠,点D的对应点 恰好落在对称轴1上. (1)如图,当点E在边 上时, ①填空:点 到边 的距离是__________;(直接写出结果) ②求 的长. (2)当点E在边 的延长线上时,(友情提醒:可在备用图上画图分析) ①填空:点 到边 的距离是__________;(直接写出结果) ②填空:此时 的长为__________.(直接写出结果) 【答案】(1)①3 ② (2)①8 ②10 【分析】本题主要考查了勾股定理与折叠的问题; (1)设直线l交 于点M,交 于点N,①点E在边 上,则点 在线段 上,由长方形的性质 得 , ,由轴对称的性质得 , , , ,则 ,由折叠得 , ,勾股定理求得 即可求解;②先求得 ,则 ,再根据勾股定理列方程 ,求得 ; (2)①点E在边 的延长线上,则点 线段 的延长线上, ,则 ,于是得到问题的 答案; ②由勾股定理得 ,而 , , , 则 ,求得 ,于是得到问题的答案. 【详解】(1)解:设直线l交 于点M,交 于点N, ①如图1,点E在边 上,则点 在线段 上, 四边形 是长方形, , , , , 直线l是矩形 的对称轴, , , , , , , 由折叠得 , , , 点 到边 的距离是3, 故答案为:3. ② , , , , , , ,, 解得 , 的长为 . (2)①如图2,点E在边 的延长线上,则点 线段 的延长线上, , , , , , 点 到边 的距离是8, 故答案为:8. ② , , , , , , 解得 , 故答案为:10. 【经典例题八 矩形的判定定理理解】 【例8】(2023下·四川广安·八年级校考期中)下列能够判断四边形是矩形的是( )A.两组对角相等 B.对角线互相垂直 C.对角线互相垂直且相等 D.对角线互相平分且相等 【答案】D 【分析】根据矩形的判定逐项判断即可得到结论. 【详解】 、两组对角相等的四边形不一定是矩形,故此选项不能判定四边形是矩形,不符合题意,排除; 、对角线互相垂直的四边形不一定是矩形,故此选项不能判定四边形是矩形,不符合题意,排除; 、对角线互相垂直且相等的四边形不一定是矩形,故此选项不能判定四边形是矩形,不符合题意,排除; 、对角线互相平分且相等四边形是矩形,故此选项能判定四边形是矩形,符合题意; 故选: . 【点睛】此题考查了矩形的判定条件,解题的关键在于能够熟练掌握矩形的判定条件. 【变式训练】 1.(2023下·浙江宁波·八年级统考期末)如图,在 中,点 , 分别是 , 的中点,点 M, 在对角线 上, ,则下列说法正确的是( ) A.若 ,则四边形 是矩形 B.若 ,则四边形 是矩形 C.若 ,则四边形 是矩形 D.若 ,则四边形 是矩形 【答案】D 【分析】取 中点O,连接 、 ,先证明四边形 是平行四边形,再根据矩形的判定定理依次 判定即可得到答案. 本题考查了平行四边形、矩形的判定定理,掌握矩形的判定定理是解题的关键. 【详解】如图,取 中点O,连接 、 ,∵ 中,点E,F分别是 , 的中点, , , , , , , , , ∴E,O,F三点共线, 又 , , ,即 , 四边形 是平行四边形(对角线互相平分的四边形是平行四边形), A选项, 不能推出四边 形有 内角,故不能证明四边形 是矩形; B、C、D选项,只有D选项能由 、 ,得到 ,根据对角线相等的平行四边形是 矩形可得四边形 是矩形. 故选:D 2.(2023下·河北廊坊·八年级统考期末)在平面直角坐标系中,已知点 ,点 ,点 ,在平面直角坐标系中找一点 ,使以点 为顶点的四边形为矩形,则 的长为 ,点 的坐标为 . 【答案】 4 【分析】由 的纵坐标相同, 的横坐标相同可得 ,轴, 轴, , ,根据题意画出图,得到使以点 为顶点的四边形为矩形的情况,根据图即可得到 答案. 【详解】解: 的纵坐标相同, 的横坐标相同, 轴, 轴, , , 是锐角, 使以点 为顶点的四边形为矩形只能是如图所示这种情况,, ,点 的坐标为 , 故答案为:4, . 【点睛】主要考查了矩形的判定,坐标与图形,熟练掌握矩形的判定定理,采用数形结合的思想解题,是 解题的关键. 3.(2023上·安徽宿州·九年级校联考阶段练习)如图,已知平行四边形 的对角线 、 相交于 点O, , ,两动点E、F同时分别以 的速度从点A、C出发在线段 上运动, (1)求证:当E、F运动过程中不与点O重合,四边形 一定为平行四边形; (2)设E、F的运动时间为 ,则当t为何值时,四边形 为矩形. 【答案】(1)见解析 (2)当 或 时,四边形 为矩形 【分析】(1)证明 ,根据对角线互相平分,即可得证; (2)根据矩形的性质,可得 ,进而分类讨论,即可求解. 【详解】(1)证明:由题意得: , 四边形 是平行四边形, , , 或 , 即 ,四边形 一定是平行四边形; (2)解:由(1)知:四边形 是平行四边形, 当 时,四边形 是矩形, 运动时间为 , , 当 、 没重合时, , , 解得: , 当 、 重合后时, , , 解得: , 当 或 时,四边形 为矩形. 【点睛】本题考查了平行四边形的性质与判定,矩形的性质,熟练掌握平行四边形的性质与判定,矩形的 性质是解题的关键. 【经典例题九 添一个条件使四边形是矩形】 【例9】(2023下·河南商丘·八年级统考期末)如图,在 中, 于点E,点 在 边的延 长线上,则添加下列条件不能证明四边形 是矩形的是( ) A. B. C. D. 【答案】D 【分析】本题考查了矩形的判定、平行四边形的判定与性质等知识,熟练掌握矩形的判定和平行四边形的 判定与性质是解题的关键. 由平行四边形的性质得 , ,再证 ,得四边形 是平行四边形,然后证 ,即可得出结论. 【详解】解: 四边形 是平行四边形,∴ , , , , , , 四边形 是矩形,故A不符合题意; , , ∵ , , 四边形 是矩形,故B不符合题意; , , 即 , , 四边形 是平行四边形, 又 , , 平行四边形 是矩形,故C不符合题意; , ,故四边形 不能判定是矩形,故D符合题意; 故选:D. 【变式训练】 1.(2023下·上海黄浦·八年级统考期末)在 中, 与 相交于点O,要使四边形 是矩 形,还需添加一个条件,这个条件可以是( ) A. ; B. ; C. ; D. . 【答案】D 【分析】根据对角线相等的平行四边形是矩形得出即可. 【详解】解:添加选项D: , 理由是:∵四边形 是平行四边形, ∴ , ∵ ,∴ , ∴ 为矩形, 补充其他选项推导: A选项, ,对角线互相垂直,可以证明 为菱形,但不能证明 为矩形,不符合题 意; B选项、 ,对角线 平分内角 ,可以证明 为菱形,但不能证明 为 矩形,不符合题意; C选项,不能证明 为矩形,不符合题意. 故选D. 【点睛】本题考查矩形的判定、平行四边形的性质等知识,解题的关键是熟练掌握基本知识,属于中考基 础题. 2.(2023·山西晋城·统考一模)如图,在 中,对角线 , 相交于点O,点E,F在 上, 且 ,连接 , , , .若添加一个条件使四边形 是矩形,则该条件可以是 .(填写一个即可) 【答案】 (答案不唯一) 【分析】根据平行四边形的判定和性质定理以及矩形的判定定理即可得到结论. 【详解】解: , 理由:∵四边形 是平行四边形, ∴ , , ∵ , ∴ . 即 . ∴四边形 为平行四边形, ∵ , ∴四边形 是矩形. 故答案为: (答案不唯一). 【点睛】此题主要考查了矩形的判定和性质,平行四边形的判定和性质,熟练掌握平行四边形的判定和性 质定理是解题的关键.3.(2023下·河南洛阳·八年级统考期末)如图,已知四边形 是平行四边形, 的平分线 交 边 于F, 的平分线 交边 于G,且 与 交于点E. (1)求证: ; (2)求证: 是直角三角形; (3)在平行四边形 中,添上一个什么条件,使 是等腰直角三角形.直接写出这个条件 __________. 【答案】(1)见解析; (2)见解析; (3) . 【分析】(1)根据平行四边形的对边平行得到 , ,在根据角平分线的定 义得到 , ,从而 , , 根据“等角对等边”得到 , ,因此有 ,进而得证 ; (2)根据平行四边形的对边平行得到 ,因此 ,从而 ,根据三角形的内角和定理求得 ,又 ,因此得证结论; (3)由于 是直角三角形,所以需要 ,即 .由于 , ,需要 ,相当于 ,又 ,所以需要满 足 ,由于四边形 是平行四边形,所以添加的条件是使 成为矩形即可, 故添加的条件可以是 . 【详解】(1)∵在 中, , ∴ , , ∵ 平分 , 平分 ,∴ , , ∴ , , ∴ , , ∵在 中, , ∴ , ∴ , 即 . (2)∵在 中, , ∴ , ∵ , ∴ , ∴ , ∴ , ∴ 是直角三角形. (3)当 时, 是等腰直角三角形. ∵四边形 是平行四边形, , ∴ 是矩形, ∴ , ∴ , , ∵在 中, , ∴ , , ∴ , ∴ , ∵ , ∴ 是等腰直角三角形.故答案为: 【点睛】本题考查平行四边形的性质,等腰三角形的性质与判定,矩形的判定,熟练掌握平行四边形的性 质,等腰三角形的性质与判定,矩形的判定是解题的关键. 【经典例题十 证明四边形是矩形】 【例10】(2024下·全国·八年级假期作业)如图,在 中, , 是 上两点, ,连 接 , , , 后得到四边形 .下列条件中,不能使四边形 是矩形的是( ) A. B. C. D. 【答案】D 【变式训练】 1.(2023上·福建宁德·九年级福鼎市第一中学校考期中)七巧板是一种古老的中国传统智力玩具,它由七 个板块组成,用如图所示的七巧板拼图,下列说法正确的是( ) A.能拼成平行四边形,不能拼成矩形 B.不能拼成平行四边形,能拼成矩形 C.既能拼成平行四边形,也能拼成矩形 D.既不能拼成平行四边形,也不能拼成矩形 【答案】C 【分析】本题考查了七巧板的应用,灵活运用所学知识求解是解决本题的关键.根据七巧板的拼法进行判 断即可. 【详解】解:如图所示,由图可得,七巧板既能拼成长方形,也能拼成平行四边形, 故选:C. 2.(2023上·福建宁德·九年级统考期末)如图,矩形 中, 将矩形 绕点C顺 时针旋转得到矩形 ,当 的对应边 恰好经过点D时,连接 ,则 . 【答案】 【分析】本题主要考查旋转的性质,矩形的判定与性质以及勾股定理,作 于H, 于Q, 利用勾股定理求出 即可解决问题. 【详解】解:如图,作 于H, 于Q, ∵四边形 是矩形, ∴ , 由旋转得, , 在 中, ∵ ,∴ , ∵ , ∴ , ∵ ∴四边形 是矩形, ∴ , ∴ , 在 中, , 故答案为: . 3.(2024上·全国·九年级专题练习)如图, 中,点 是边 上一个动点,过 作直线 . 设 交 的平分线于点 ,交 的外角平分线于点 . (1)求证: ; (2)若 , ,求 的长; (3)当点 在边 上运动到什么位置时,四边形 是矩形?并说明理由. 【答案】(1)证明见解析 (2) (3)点 在边 上运动到 中点 【分析】(1)根据平行线的性质以及角平分线的性质得出 , ,进而得出答案; (2)根据已知得出 ,进而利用勾股定理求出 的长,即可得出 的长; (3)根据平行四边形的判定以及矩形的判定得出即可.【详解】(1)证明:∵ 交 的平分线于点 ,交 的外角平分线于点 , ∴ , , ∵ , ∴ , , ∴ , , ∴ , , ∴ ; (2)解:∵ , , ∴ ,即 , ∵ , , ∴ , ∵ ,即 是 边上的中线, ∴ ; (3)解:点 在边 上运动到 中点时,四边形 是矩形. 证明:连接 , ∵点 为 的中点, ∴ , ∵ , ∴四边形 是平行四边形, ∵ , ∴平行四边形 是矩形. 【点睛】本题考查矩形的判定,平行四边形的判定,直角三角形的判定,角平分线的定义,平行线的性质, 等角对等边,勾股定理,直角三角形斜边上的中线等于斜边的一半等知识,根据已知得出 是 解题关键.【经典例题十一 根据矩形的性质与判定求角度】 【例11】(2023下·江苏·八年级期末)如图,在正方形 中, ,则 等于 ( ) A.45° B.55° C.65° D.75° 【答案】B 【分析】作 于F,证明 ,得到 ,利用 进行求解即可. 【详解】解:作 于F, 又四边形 是正方形, ∴ , ∴四边形 是矩形, ∴ . 在 和 中, , ∴ , ∴ , ∴ .故选:B. 【点睛】本题考查正方形的性质,矩形的判定和性质,全等三角形的判定和性质.解题的关键是添加辅助 线,构造全等三角形. 【变式训练】 1.(2021·河北唐山·统考二模)将矩形 绕点 顺时针旋转 ,得到矩形 .当 时,下列针对 值的说法正确的是( ) A. 或 B. 或 C. D. 【答案】A 【分析】当GB=GC时,点G在BC的垂直平分线上,分两种情况讨论,依据∠DAG=60°,即可得到旋转 角α的度数. 【详解】如图,当GB=GC时,点G在BC的垂直平分线上, 分两种情况讨论: ①当点G在AD右侧时,取BC的中点H,连接GH交AD于M, ∵GC=GB, ∴GH⊥BC, ∴四边形ABHM是矩形,∴AM=BH= , ∴GM垂直平分AD, ∴GD=GA=DA, ∴△ADG是等边三角形, ∴∠DAG=60°, ∴旋转角α=60°; ②当点G在AD左侧时,同理可得△ADG是等边三角形, ∴∠DAG=60°, ∴旋转角α=360°-60°=300°, 故选:A. 【点睛】本题主要考查了旋转的性质,全等三角形的判定与性质的运用,解题时注意:对应点与旋转中心 所连线段的夹角等于旋转角. 2(2023·江西·统考中考真题)如图,在 中, ,将 绕点 逆时针旋转角 ( )得到 ,连接 , .当 为直角三角形时,旋转角 的度数为 . 【答案】 或 或 【分析】连接 ,根据已知条件可得 ,进而分类讨论即可求解. 【详解】解:连接 ,取 的中点 ,连接 ,如图所示,∵在 中, , ∴ , ∴ 是等边三角形, ∴ , , ∴ ∴ , ∴ ∴ , 如图所示,当点 在 上时,此时 ,则旋转角 的度数为 , 当点 在 的延长线上时,如图所示,则 当 在 的延长线上时,则旋转角 的度数为 ,如图所示, ∵ , , ∴四边形 是平行四边形, ∵ ∴四边形 是矩形, ∴即 是直角三角形, 综上所述,旋转角 的度数为 或 或 故答案为: 或 或 . 【点睛】本题考查了平行四边形的性质与判定,等边三角形的性质与判定,矩形的性质与判定,旋转的性 质,熟练掌握旋转的性质是解题的关键. 3.(2023上·陕西榆林·九年级校考阶段练习)如图,四边形 的对角线 、 相交于点O,其中 , , ,E为 上一点,连接 、 . 平分 ,且 , 求 的度数. 【答案】 【分析】先证明四边形 是矩形,得到 , , ,再证明 是 等腰直角三角形,得到 ,进而证明 是等边三角形,得到 ,进而得到 ,最后利用等边对等角的性质和三角形内角和定理,即可求出 的度数. 【详解】解: , , 四边形 是平行四边形, . , , 平行四边形 是矩形, , , ,平分 , , 是等腰直角三角形, , , , 是等边三角形, , , , , , . 【点睛】本题考查了矩形的判定和性质,等腰三角形的判定和性质,等边三角形的判定和性质,三角形内 角和定理,灵活运用相关知识解决问题是解题关键. 【经典例题十二 根据矩形的性质与判定求线段长】 【例12】(2023上·内蒙古包头·九年级校考期中)如图,点 是菱形 对角线的交点, , ,连接 ,设 , ,则 的长为( ) A. B. C.20 D.10 【答案】B 【分析】本题主要考查了菱形的性质、矩形的判定与性质、勾股定理等知识,证明四边形 为矩形是 解题关键.结合题意及菱形的性质,证明四边形 为矩形,再在 中利用勾股定理解得,然后根据矩形的性质“矩形的对角线相等”,即可求得答案. 【详解】解:∵ , , ∴四边形 为平行四边形, ∵四边形 是菱形, , , ∴ , , , ∴ , , ∴平行四边形 为矩形, ∴ . 故选:B. 【变式训练】 1.(2023上·河北保定·九年级保定市第十七中学校考期中)如图,在 中, ,且 ,点D是斜边 上的一个动点,过点D分别作 于点M, 于点N,连接 ,点O为 的中点,则线段 的最小值为( ) A. B.5 C. D. 【答案】C 【分析】由勾股定理求出 的长,再证明四边形 是矩形,可得 ,根据垂线段最短可得当 时, 的值最小,再利用三角形面积求出 ,可得 ,即可解决问题. 【详解】解:如图,连接 ,,且 , , , , , , 四边形 是矩形, , , 当 时, 的值最小, 此时, , , 的最小值为 , 故选:C. 【点睛】本题主要考查了矩形的判定和性质、勾股定理、三角形面积、垂线段最短,关键是掌握矩形的对 角线相等. 2.(2023上·四川成都·八年级成都市青羊实验中学校考期中)如图,正方形 的边长为5,E为 上一点,且 ,F为 边上的一个动点,连接 ,以 为边向右侧作等边 ,连接 ,则 的最小值为 . 【答案】 / / 【分析】本题考查了矩形的判定和性质,全等三角形的判定和性质,等边三角形的性质等知识,添加恰当 辅助线构造全等三角形是解题的关键.以 为边作等边 ,连接 ,过点H作 于N,于M,可证四边形 是矩形,可证 ,证 ,可得 , 当 时, 有最小值,即 有最小值,即可求解. 【详解】解:如图,以 为边作等边 ,连接 ,过点H作 于N, 于M, 又∵ , ∴四边形 是矩形, ∴ , ∵ , ∴ , ∵ 是等边三角形, , ∴ , , , ∴ , ∵ 是等边三角形, ∴ , , ∴ , 在 和 中, , ∴ , ∴ , ∴当 时, 有最小值,即 有最小值,∴点F与点M重合时, , 故答案为: . 3.(2023上·广东深圳·九年级校联考阶段练习)如图,在 中, , 是 的平分线, 是 外角 的平分线, ,垂足为点E. (1)求证:四边形 为矩形; (2)若 ,求 的长. 【答案】(1)见解析 (2) 【分析】(1)证明 ,根据矩形的判定即可得到结论; (2)根据矩形的性质和勾股定理即可求出 的长. 此题考查了矩形的判定和性质、勾股定理、等腰三角形的判定和性质等知识,熟练掌握矩形的判定和性质 是解题的关键. 【详解】(1)证明:∵ , 是 的平分线, ∴ , ∴ , ∵ 是 外角 的平分线, ∴ . ∴ , ∵ , ∴ . ∴ , ∴四边形 为矩形; (2)解:∵四边形 为矩形,∴ , ∵ , ∴ , ∵ , ∴ . 【经典例题十三 根据矩形的性质与判定求面积】 【例13】(2023上·四川达州·九年级统考阶段练习)如图,矩形 的两条对角线相交于点 , , ,若 , ,则四边形 的面积是( ) A.24 B.14 C.48 D.25 【答案】A 【分析】根据矩形的性质可得 ,根据题意可得四边形 是菱形,证明四边形 是平行四边形,得出 ,根据对角线乘积的一半即可求出菱形的面积. 【详解】解: ∵ , , ∴四边形 是平行四边形, ∵四边形 是矩形, ∴ , ∴四边形 是菱形, ∴ , 连接 ,则 , ∵ , ,∴四边形 是平行四边形, ∴ , ∴四边形 的面积为: . 故选:A 【点睛】本题考查矩形的性质和菱形的判定及性质,掌握以上知识是解题关键. 【变式训练】 1.(2023·浙江宁波·统考中考真题)如图,以钝角三角形 的最长边 为边向外作矩形 ,连结 ,设 , , 的面积分别为 ,若要求出 的值,只需知道( ) A. 的面积 B. 的面积 C. 的面积 D.矩形 的面积 【答案】C 【分析】过点 作 ,交 的延长线于点 , 的延长线于点 ,易得: ,利用矩形的性质和三角形的面积公式,可得 ,再根据 ,得到 ,即可得出结论. 【详解】解:过点 作 ,交 的延长线于点 , 的延长线于点 , ∵矩形 ,∴ , ∴ , ∴四边形 为矩形, ∴ , ∴ , ∴ , 又 , ∴ , ∴只需要知道 的面积即可求出 的值; 故选C. 【点睛】本题考查矩形的性质,求三角形的面积.解题的关键是得到 2.(2023上·四川成都·九年级四川省成都市第七中学初中学校校考期中)如图,在矩形 中,点 为 对角线 上一点,过点 作 交 于点 , ,作 交 于点 ,连接 ,已知 ,则 的面积等于 . 【答案】8 【分析】本题主要考查了矩形的性质与判定,先证明四边形 ,四边形 ,四边形 ,四边 形 都是矩形,得到 ,再根据矩形对角线平分矩形面积推出 ,据此求解即可. 【详解】解:∵四边形 是矩形, ∴ , , ∵ , ,∴ , ∴四边形 ,四边形 ,四边形 ,四边形 都是矩形, ∴ , , ∴ , ∴ , 故答案为:8. 3.(2023上·辽宁丹东·九年级统考期末)如图,在 中,点 是 边的中点,过点 作直线 , 的平分线和外角 的平分线分别交 于点 , . (1)求证:四边形 是矩形: (2)若 , ,求四边形 的面积. 【答案】(1)见详解 (2) 【分析】本题考查了平行线的性质、等腰三角形的性质与判定、矩形的判定;熟练掌握平行线的性质和矩 形判定方法,并能进行推理论证是解决问题的关键. (1)由已知 得到两对内错角相等,再由 、 分别平分 和 ,根据等量代换可 推出 , ,分别根据“等角对等边”得出的 ,点 是 的中点 时,则由 ,根据对角线互相平分且相等的四边形为矩形得证; (2)由已知和(1)得到的结论,可得 ,根据勾股定理求出边即可. 【详解】(1)证明: , , , 又 平分 , 平分 ,, , , , , , , 点 是 的中点, , ∴四边形 是平行四边形 ∵ ∴ 四边形 是矩形; (2) 由(1)知,四边形 是矩形, ∴ , 又∵ 为 的平分线 四边形 的面积= . 【拓展培优】 1.(2024上·河南郑州·八年级统考期末)如图,四边形 是一张放在平面直角坐标系中的长方形,点 O为坐标原点, , ,在 边上取一点E,连接 ,将 沿着 所在直线翻折,使点 C落在 边上的点F处,则点E的坐标为( )A. B. C. D. 【答案】C 【分析】本题考查勾股定理,矩形的性质,轴对称的性质. 由矩形 和翻折,在 中,根据勾股定理可求得 ,因此 ,设 ,则 , ,在 中,根据勾股定理即可 构造方程,求解得到 ,从而得到点E的坐标. 【详解】∵四边形 是长方形, ∴ , , , ∵将 翻折得到 , ∴ , , ∴在 中, , ∴ , 设 ,则 , , ∵在 中, , 即 , 解得 , ∴ , ∴点E的坐标为 . 故选:C 2.(2024上·四川宜宾·八年级统考期末)如图,在长方形 中, , ,动点P满足 ,则 的最小值为( )A. B. C. D. 【答案】A 【分析】本题考查矩形性质,勾股定理.根据题意先求出 的面积,再利用作对称分析线段相加最小 值后用勾股定理即可求出本题答案. 【详解】解:设 中 边上的高是 , ∵在长方形 中, , , ∴ , ∵ , ∴ , ∴ ,即 , ∴动点P在与 平行且与 的距离是2的直线 上,如图,作 关于直线 的对称点 ,连接 ,则 即为最短距离, , 在 中, ∵ , , ∴ , ∴ 的最小值为 , 故选:A. 3.(2024上·宁夏银川·九年级银川市第三中学校考期末)如图,在矩形纸片 中, , , 点E是 上一点,点F是 上一点,将矩形沿 折叠,使点B的对应点G正好落在 的中点处,则 的长为( )A. B. C. D. 【答案】A 【分析】此题主要考查了矩形的性质,图象的折叠变换及性质,勾股定理等,解答此题的关键是准确识图, 熟练掌握图象的折叠变换及性质.首先由翻折的性质得 ,设 ,则 ,然后在 中由勾股定理求出x即可. 【详解】解:∵四边形 为矩形,且 , , ∴ , , 由翻折的性质得: , 设 ,则 , ∴ , ∵点G为 的中点, ∴ , 在 中,由勾股定理得: , 即: , 解得: , ∴ , 故选:A. 4.(2023上·山西晋中·九年级统考期末)如图,在 中, , , ,P为边 上一 动点, 于点E, 于点F,点M为 中点,则 最小值为( ) A.2.4 B.2.5 C.4.8 D.5【答案】A 【分析】首先根据勾股定理的逆定理可以证明 ; 结合已知可以证明四边形 是矩形,由 此可得到对角线相等,M是 的中点; 要求 的最小值,实际上就是求 的最小值,当 , 利用三角形面积 ,即可求得最小值. 【详解】连接 , ∵ , , , ∴ , ∴ . ∵ , , ∴四边形 是矩形, ∴ . ∵M是 的中点, ∴ . 根据直线外一点与直线上任一点所连的线段中,垂线最短, 可知当 时, 最短.同样 也最 短. 当 时,有 , 即 , 解得 . ∴ 的最小值为, . 故选:A. 【点睛】本题主要考查了勾股定理的逆定理,矩形,垂线段,直角三角形斜边上的中线,直角三角形的面 积,熟练掌握勾股定理的逆定理判定直角三角形,矩形的判定与性质、垂线段最短的性质,直角三角形斜 边上的中线性质,由面积法求三角形的高,是解决问题的关键.5.(2023上·福建漳州·九年级校考期中)如图,矩形 中, 点为 的中点. 点 为对角线 上的一动点.则 的最小值等于() A. B.6 C. D.8 【答案】B 【分析】作点 于直线 的对称点 ,连接 、 、 ,在 取一点 ,使得点 与点 关于直线 成抽对称,则 , , , ,当点 、 、 三点共线时, 的值最小,利用勾股定理及等边三角形的性质求出即可. 【详解】解:作点 于直线 的对称点 ,连接 、 、 ,在 取一点 ,使得点 与 点 关于直线 成抽对称,则 , , , , 当点 、 、 三点共线时, 的值最小, ∵四边形 是矩形, ∴ , , ∵ , ∴ , , ∴ , , ∴ 是等边三角形, ∵ ,∴ , ∴ , ∴ 的最小值等于 故选:B. 【点睛】本题主要考查轴对称和最短路线问题,矩形的性质,等边三角形的判定及性质,勾股定理等知识 点,确定 点的位置是解答本题的关键. 6.(青海省西宁市2023-2024学年八年级上学期期末数学试题)如图,将长方形纸片 沿EF折叠, 使点 与点 重合,点 落在点 处, 为折痕, , ,则 (重叠部分)的面积是 . 【答案】10 【分析】本题考查了矩形的性质,折叠的性质,平行线的性质,等腰三角形的判定与性质,由矩形的性质 得 , ,由平行线的性质得 ,再由折叠性质得 , ,即可得 ,根据等腰三角形的判定得 ,已知 的底边 及 高 的长,根据三角形面积公式计算即可求解,解题关键是理清折叠前后重叠的角和边相等. 【详解】解:∵四边形 是矩形, ∴ , , ∴ , 由折叠得 , , ∴ , ∴ , ∵ , , , 等于 底边 上的高, , 故答案为:10.7.(2024·全国·八年级竞赛)如图,矩形 的边 厘米, 厘米,在直角梯形 中, 厘米, 厘米, 厘米,点 , , , 在同一直线上,且 厘米,矩形从 点开 始以 厘米/秒的速度沿直线 向右运动,同时点 从点 出发沿 的路线,以 厘米/秒的 速度运动,到点 停止.当点 共运动 秒时,点 与点 相距 厘米. 【答案】 、 或 【分析】本题主要考查了矩形的判定及性质以及勾股定理,熟练掌握勾股定理是解题的关键.分点 在 上和点 在 上利用勾股定理讨论求解即可. 【详解】解:如图 ,∵ 厘米,矩形从 点开始以 厘米/秒的速度沿直线 向右运动,同时点 从点 出发沿 的路线,以 厘米/秒的速度运动, ∴开始运动 秒后,点 运动到点 , 过点 作 于 ,则四边形 和四边形 以及四边形 都是矩形, ∴ (厘米), 设再过 秒,则 , 当点 与点 相距 厘米时,即 厘米, ∵ 厘米, , ∴ , 解得 或 , ∴点 共运动了 秒或 秒时,点 与点 相距 厘米; 开始运动 秒后,点 运动到点 ,此时, 厘米,如图 ,设再过 秒后,点 与点 相距 厘米, ∵ , ∴ 即 , 解得 (舍去)或 , ∴点 共运动了 秒时,点 与点 相距 厘米, 故答案为: 、 或 . 8.(2024上·江苏盐城·九年级统考期末)如图,在矩形 中, , ,点E、F分别为 、 边上的点,且 的长为4,点G为 的中点,点P为 上一动点,则 的最小值为 . 【答案】 / 【分析】本题考查了利用轴对称求最短路径,解题关键利用轴对称和直角三角形的性质确定最短路径.作 点A关于 的对称点H,连接 , , ,可知当H、P、G、D共线时, 最小,求出 、 长即可. 【详解】解:作点A关于 的对称点H,连接 , , ,如图所示:∵ , ∴当H、P、G、D共线时, 最小, ∵ , , ∴ , , ∵ 的长为4,点 为 的中点, ∴ , ∴ , 故答案为: . 9.(2024上·山东淄博·八年级统考期末)如图,在矩形 中, , ,对角线 与 交于点 ,点 为 边上的一个动点, , ,垂足分别为点F,G,则 . 【答案】 / 【分析】本题考查了矩形的性质和勾股定理,连接 ,根据矩形的性质和勾股定理求出 ,从而求出 ,进而表示出 ,可得 即可求解.【详解】解:连接 ∵四边形 是矩形, ∴ , , ∵ , ∴ , ∴ , ∴ ∴ ,即 , ∴ , ∴ , 故答案为: . 10.(2023上·黑龙江哈尔滨·九年级校考阶段练习)如图,在矩形 中,点 在 上,连接 、 , ,点 在 上, ,若 ,则 的长为 . 【答案】 【分析】根据矩形的性质,得到角的数量关系,进而得到 ,作 于点M,通过证明 得到 ,设 ,结合条件,利用勾股定理列方程求出x,进而得解.【详解】解: ,设 , , 在矩形 中, , , , , , , 如图,作 于点M, , 又 , , , , , , , 设 , 则 , , 由勾股定理有: ,即 , 解得 , , , 故答案为: .【点睛】本题考查了矩形的性质、等角对等边、全等三角形的判定和性质、勾股定理等知识,掌握并灵活 运用相关知识,正确作出辅助线是解决问题的关键. 11.(2023上·河南周口·九年级校联考期末)如图,在平行四边形 中,点E在 的延长线上,且 ,连接 , , , 交 于点O,已知 . (1)求证:四边形 是矩形; (2)若 , ,求对角线 的长. 【答案】(1)见解析 (2) 【分析】(1)根据一组对边平行且相等,证明四边形 是平行四边形,根据等腰三角形的判定与性 质,可得 ,进而结论得证; (2)由(1)知 ,则 ,进而可求 . 【详解】(1)证明: 四边形 为平行四边形, , . 点E在 的延长线上, , , . 四边形 是平行四边形. , , . ,即 . 平行四边形 是矩形. (2)解:由(1)知 , , , . . 【点睛】本题考查了平行四边形的判定与性质,等腰三角形的判定与性质,矩形的判定与性质,含 的直角三角形.熟练掌握平行四边形的判定与性质,等腰三角形的判定与性质,矩形的判定与性质,含 的直角三角形是解题的关键. 12.(2024上·山东青岛·九年级统考期末)如图,在四边形 中,两条对角线相交于点O, ,垂足为点B, ,垂足为点D, ,点E,F分别是 , 的中点,连接 , , , . (1)求证: ; (2)从下列条件中任选一个作为已知条件后,试判断四边形 的形状,并证明你的结论. ① ,② . 选择的条件:______(填写序号). (注:如果选择①,②分别进行解答,按第一个解答计分) 【答案】(1)见解析 (2)见解析 【分析】本题考查了全等三角形的判定与性质:全等三角形的判定是结合全等三角形的性质证明线段和角 相等的重要工具.在判定三角形全等时,关键是选择恰当的判定条件.也考查了矩形的判定与性质. (1)先证明 得到 ,然后利用点E,F分别是 , 的中点,得到 ; (2)若选择①,四边形 为矩形.理由为:根据直角三角形斜边上的中线性质得到 ,则可 判断 为等边三角形,所以 , ,从而可判断四边形 为矩形. 若选择②,四边形 为矩形.理由为:利用 , ,得到 ,然后利用点 E,F分别是 , 的中点, ,得到 ,从而可判断四边形 为矩形. 【详解】(1)证明:∵ , , ∴ , 在 和 中,∴ , ∴ , ∵点E,F分别是 , 的中点, ∴ ; (2)解:选择①,四边形 为矩形. 理由如下: ∵ 为 的斜边上的中线, ∴ , ∵ , ∴ 为等边三角形, ∴ , ∵ , , ∴四边形 为平行四边形, ∵ , ∴ , ∴四边形 为矩形. 故答案为:① 若选择②,四边形 为矩形. 理由如下: ∵ , , ∴ , ∵点E,F分别是 , 的中点, , ∴ , ∴四边形 为矩形. 13.(2024上·江西吉安·八年级统考期末)通过对下面数学模型的研究学习,解决下列问题:. 【模型呈现】 某兴趣小组在从汉代数学家赵爽的弦图(如图1,由外到内含三个正方形)中提炼出两个三角形全等模型 图(如图2),即“一线三等角”模型和“K字”模型.(1)请在上图2中选择其中一个模型进行证明 . 【模型应用】 (2)如图3,正方形 中, , ,求 的面积. (3)如图4,四边形 中, , , , , ,求 的面积. 【答案】(1)详见解析 (2) (3) 【分析】本题考查了全等三角形的性质和判定,解答关键是在题目应用全等模型进行证明. (1)应用 证明三角形全等即可; (2)过C作 延长线的垂线 ,垂足为F,证明 ,得到 ,求 的面积 即可; (3)分别过C和E作 延长线的垂线 、 ,垂足分别为G、H,证明 ,得到 边 上的高为1,求 的面积即可; 【详解】证:(1)例如选第一个图形可证(同理可证第二个)∵ , ∴ 又∵ , , ∴ (2)过C作 延长线的垂线 ,垂足为F, 则由(1)易得 , ∴ , 即 边 上的高为4, ∴ . (3)分别过C和E作 延长线的垂线 、 ,垂足分别为为G、H, 则由(1)易得 , 又∵四边形 是矩形, ∴ , ∴ ,∴ ,即 边 上的高为1, ∴ . 14.(2024上·山东潍坊·八年级统考期末)如图1,在矩形 中,点E是边 上的一点,连接 . (1)若 平分 ,点G是 上的一点,连接 , ,且 .过点C作 于 , 延长线交 于H,过点H作 于P,如图. ①填空: 的形状是______三角形; ②求证: (2)将图1的矩形 画在纸上,若 平分 ,沿过点E的直线折叠,点C恰好落在 上的点 处,点B落在点 处,得到折痕 , 交 于点 ,如图.求证: . (3)如图,延长 交 的延长线于点K使得 ,此时恰好 ,连接 交 于点J,连接 . 请证明: .【答案】(1)①等腰直角;②见解析 (2)见解析 (3)见解析 【分析】(1)①根据矩形的性质和角平分线的性质可得 ,进而得出结果; ②可证得 , , , 进而得出结论; (2)连接 ,可证得 ,可得 ,根据等角对等边即可得出结论; (3)在线段 上取点I,使得 ,连接 ,可证 ,得 ,在证 ,得 , ,得出 ,进一步得出结论. 【详解】(1)① 四边形 是矩形, , 平分 , , , , , 等腰直角三角形, 故答案为:等腰直角 ②证明:如图,过点E作 于W. , , , , , , , , ,, , , , . (2)证明:如图,连接 , 由(1)知, 为等腰直角三角形, , 四边形 是矩形, , , 由折叠知, , , , , 又 , 在 和 中, , , , , . (3)如图,在线段 上取点I,使得 ,连接 , 在 与 中, , , , , ., , , , , , 为直角三角形, , . 【点睛】本题是四边形综合题,考查了等腰直角三角形的判定和性质,矩形的性质,全等三角形的判定和 性质,轴对称的性质,准确添加常用辅助线,构造特殊三角形和证明全等三角形是解本题的关键。 15.(2023·内蒙古锡林郭勒盟·统考三模)如图,矩形 中, ,点 在边 上,且不 与点 重合,直线 与 的延长线交于点 . (1)如图1,当点 是 的中点时,求证: ; (2)将 沿战线 折叠得到 ,点 落在矩形 的内部,延长 交 于点 . ①如图1,证明 ,并求出在(1)条件下 的值; ②如图2, 交 于点 ,点 是 的中点,当 时,试探究 与 的数量关系, 并说明理由. 【答案】(1)详见解析 (2)① ;② ,详见解析 【分析】(1)根据矩形的性质可得 , ,根据点P是 的中点,得出 , 即可求证; (2)①根据矩形的性质可得 ,由折叠得 ,则 ,即可求证 , ,则 , ,在 中,得出 ,列出方程求解即可;②如图,由折叠可知 ,过点 作 ,交 于点 ,根据等角对等边 的得出 .由点G为 中点,点H是 中点,得出 .则 .即可得出结论. 【详解】(1)证明:∵四边形 是矩形, ∴ , ∴ , , ∵点P是 的中点, ∴ , ∴ ; (2)解:①∵四边形 是矩形, ∴ , ∴ , 由折叠得 , ∴ , ∴ , 矩形 中, , , ∴ , ∵点P是 的中点, ∴ , 由折叠得 , 设 ,则 , ∴ , 在 中, , ∴ , 解得 ,即 ; ② 与 的数量关系是 . 理由:如图,由折叠可知 , 过点 作 ,交 于点 ,∴ , ∴ , ∴ , ∴点H是 中点, ∵ ,即 , ∴ . ∵ , ∴ . ∴ . ∴ . ∵点G为 中点,点H是 中点, ∴ . ∴ . ∴ . ∴ . 【点睛】本题主要考查了矩形的折叠问题,解题的关键是熟练掌握矩形的性质,勾股定理,全等三角形的 判定和性质,等腰三角形的判定和性质.