当前位置:首页>文档>数学-2023年高考押题预测卷01(云南,安徽,黑龙江,山西,吉林五省新高考专用)(全解全析)_2.2025数学总复习_2023年新高考资料_42023年高考数学押题预测卷

数学-2023年高考押题预测卷01(云南,安徽,黑龙江,山西,吉林五省新高考专用)(全解全析)_2.2025数学总复习_2023年新高考资料_42023年高考数学押题预测卷

  • 2026-03-23 12:06:20 2026-03-21 08:06:48

文档预览

数学-2023年高考押题预测卷01(云南,安徽,黑龙江,山西,吉林五省新高考专用)(全解全析)_2.2025数学总复习_2023年新高考资料_42023年高考数学押题预测卷
数学-2023年高考押题预测卷01(云南,安徽,黑龙江,山西,吉林五省新高考专用)(全解全析)_2.2025数学总复习_2023年新高考资料_42023年高考数学押题预测卷
数学-2023年高考押题预测卷01(云南,安徽,黑龙江,山西,吉林五省新高考专用)(全解全析)_2.2025数学总复习_2023年新高考资料_42023年高考数学押题预测卷
数学-2023年高考押题预测卷01(云南,安徽,黑龙江,山西,吉林五省新高考专用)(全解全析)_2.2025数学总复习_2023年新高考资料_42023年高考数学押题预测卷
数学-2023年高考押题预测卷01(云南,安徽,黑龙江,山西,吉林五省新高考专用)(全解全析)_2.2025数学总复习_2023年新高考资料_42023年高考数学押题预测卷
数学-2023年高考押题预测卷01(云南,安徽,黑龙江,山西,吉林五省新高考专用)(全解全析)_2.2025数学总复习_2023年新高考资料_42023年高考数学押题预测卷
数学-2023年高考押题预测卷01(云南,安徽,黑龙江,山西,吉林五省新高考专用)(全解全析)_2.2025数学总复习_2023年新高考资料_42023年高考数学押题预测卷
数学-2023年高考押题预测卷01(云南,安徽,黑龙江,山西,吉林五省新高考专用)(全解全析)_2.2025数学总复习_2023年新高考资料_42023年高考数学押题预测卷
数学-2023年高考押题预测卷01(云南,安徽,黑龙江,山西,吉林五省新高考专用)(全解全析)_2.2025数学总复习_2023年新高考资料_42023年高考数学押题预测卷
数学-2023年高考押题预测卷01(云南,安徽,黑龙江,山西,吉林五省新高考专用)(全解全析)_2.2025数学总复习_2023年新高考资料_42023年高考数学押题预测卷
数学-2023年高考押题预测卷01(云南,安徽,黑龙江,山西,吉林五省新高考专用)(全解全析)_2.2025数学总复习_2023年新高考资料_42023年高考数学押题预测卷
数学-2023年高考押题预测卷01(云南,安徽,黑龙江,山西,吉林五省新高考专用)(全解全析)_2.2025数学总复习_2023年新高考资料_42023年高考数学押题预测卷
数学-2023年高考押题预测卷01(云南,安徽,黑龙江,山西,吉林五省新高考专用)(全解全析)_2.2025数学总复习_2023年新高考资料_42023年高考数学押题预测卷
数学-2023年高考押题预测卷01(云南,安徽,黑龙江,山西,吉林五省新高考专用)(全解全析)_2.2025数学总复习_2023年新高考资料_42023年高考数学押题预测卷
数学-2023年高考押题预测卷01(云南,安徽,黑龙江,山西,吉林五省新高考专用)(全解全析)_2.2025数学总复习_2023年新高考资料_42023年高考数学押题预测卷
数学-2023年高考押题预测卷01(云南,安徽,黑龙江,山西,吉林五省新高考专用)(全解全析)_2.2025数学总复习_2023年新高考资料_42023年高考数学押题预测卷
数学-2023年高考押题预测卷01(云南,安徽,黑龙江,山西,吉林五省新高考专用)(全解全析)_2.2025数学总复习_2023年新高考资料_42023年高考数学押题预测卷
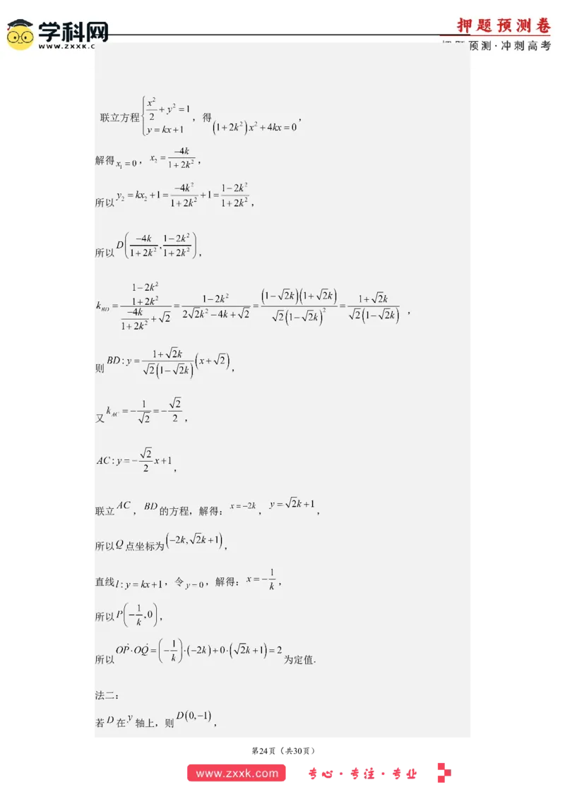
数学-2023年高考押题预测卷01(云南,安徽,黑龙江,山西,吉林五省新高考专用)(全解全析)_2.2025数学总复习_2023年新高考资料_42023年高考数学押题预测卷
数学-2023年高考押题预测卷01(云南,安徽,黑龙江,山西,吉林五省新高考专用)(全解全析)_2.2025数学总复习_2023年新高考资料_42023年高考数学押题预测卷
数学-2023年高考押题预测卷01(云南,安徽,黑龙江,山西,吉林五省新高考专用)(全解全析)_2.2025数学总复习_2023年新高考资料_42023年高考数学押题预测卷
数学-2023年高考押题预测卷01(云南,安徽,黑龙江,山西,吉林五省新高考专用)(全解全析)_2.2025数学总复习_2023年新高考资料_42023年高考数学押题预测卷
数学-2023年高考押题预测卷01(云南,安徽,黑龙江,山西,吉林五省新高考专用)(全解全析)_2.2025数学总复习_2023年新高考资料_42023年高考数学押题预测卷
数学-2023年高考押题预测卷01(云南,安徽,黑龙江,山西,吉林五省新高考专用)(全解全析)_2.2025数学总复习_2023年新高考资料_42023年高考数学押题预测卷
数学-2023年高考押题预测卷01(云南,安徽,黑龙江,山西,吉林五省新高考专用)(全解全析)_2.2025数学总复习_2023年新高考资料_42023年高考数学押题预测卷
数学-2023年高考押题预测卷01(云南,安徽,黑龙江,山西,吉林五省新高考专用)(全解全析)_2.2025数学总复习_2023年新高考资料_42023年高考数学押题预测卷
数学-2023年高考押题预测卷01(云南,安徽,黑龙江,山西,吉林五省新高考专用)(全解全析)_2.2025数学总复习_2023年新高考资料_42023年高考数学押题预测卷
数学-2023年高考押题预测卷01(云南,安徽,黑龙江,山西,吉林五省新高考专用)(全解全析)_2.2025数学总复习_2023年新高考资料_42023年高考数学押题预测卷
数学-2023年高考押题预测卷01(云南,安徽,黑龙江,山西,吉林五省新高考专用)(全解全析)_2.2025数学总复习_2023年新高考资料_42023年高考数学押题预测卷
数学-2023年高考押题预测卷01(云南,安徽,黑龙江,山西,吉林五省新高考专用)(全解全析)_2.2025数学总复习_2023年新高考资料_42023年高考数学押题预测卷
数学-2023年高考押题预测卷01(云南,安徽,黑龙江,山西,吉林五省新高考专用)(全解全析)_2.2025数学总复习_2023年新高考资料_42023年高考数学押题预测卷

文档信息

文档格式
docx
文档大小
1.617 MB
文档页数
30 页
上传时间
2026-03-21 08:06:48

文档内容

2023年高考押题预测卷01【云南,安徽,黑龙江,山西,吉林 五省专用】 数学•全解全析 一、单选题:本题共8小题,每小题5分,共40分。在每小题给出的四个选项中,只 有一项是符合题目要求的。 1.已知集合 , ,若 ,则实数 的取值范围是 ( ) A. B. C. D. 【答案】A 【分析】先解出集合 ,再根据 列不等式直接求解. 【详解】集合 , . 要使 ,只需 ,解得: . 故选:A 2.设i为虚数单位,且 ,则 的虚部为( ) A. B.2 C.2i D. 【答案】B 【分析】由复数的乘法运算化简,再由复数相等求出 ,即可求出 的虚部. 【详解】由 可得: , 则 ,所以 的虚部为2. 故选:B. 3.设向量 , ,则“ ”是“ ”的( ) A.充分不必要条件 B.必要不充分条件 C.充要条件 D.既不充分也不必要条件 【答案】B【分析】首先根据 ,求 的值,再判断充分,必要条件. 【详解】由条件可知, , 得 ,化简得 , 得 或 , 即 或 所以“ ”是“ ”的必要不充分条件. 故选:B 4.32名业余棋手组队与甲、乙2名专业棋手进行车轮挑战赛,每名业余棋手随机选择 一名专业棋手进行一盘比赛,每盘比赛结果相互独立,若获胜的业余棋手人数不少于 10名,则业余棋手队获胜.已知每名业余棋手与甲比赛获胜的概率均为 ,每名业余 棋手与乙比赛获胜的概率均为 ,若业余棋手队获胜,则选择与甲进行比赛的业余棋 手人数至少为( ) A.24 B.25 C.26 D.27 【答案】A 【分析】由二项分布及其期望计算即可. 【详解】设选择与甲进行比赛且获胜的业余棋手人数为X,选择与乙进行比赛且获胜 的业余棋手人数为Y; 设选择与甲进行比赛的业余棋手人数为n,则选择与乙进行比赛的业余棋手人数为32- n. X所有可能的取值为0,1,2, ,n,则 , ; Y所有可能的取值为0,1,2, ,32-n,则 , , 所以获胜的业余棋手总人数的期望 , 第2页(共30页)解得 . 故选:A. 5.若 ,则 ( ) A. B.1 C.15 D.16 【答案】C 【分析】利用赋值法结合条件即得. 【详解】因为 , 令 得, , 令 得, , 所以, . 故选:C. 6.在数学和许多分支中都能见到很多以瑞士数学家欧拉命名的常数,公式和定理,若 正整数 只有1为公约数,则称 互质,对于正整数 是小于或等于 的正 整数中与 互质的数的个数,函数 以其首名研究者欧拉命名,称为欧拉函数,例 如: , .记 为数列 的前 项和,则 ( ) A. B. C. D. 【答案】D 【分析】根据题意分析可得 ,结合等比数列求和公式运算求解. 【详解】由题意可知:若正整数 与 不互质,则 为3的倍数,共有 个, 故 , ∵ ,即数列 是以首项 ,公比 的等比数列,故 . 故选:D. 7.已知函数 , ,下列命题中: ① 的最小正周期是 ,最大值是 ; ② ; ③ 的单调增区间是 ( ); ④将 的图象向右平移 个单位得到的函数是偶函数, 其中正确个数为( ) A.1 B.2 C.3 D.4 【答案】C 【分析】化简可得 ,即可求出周期、最大值,得出①;代入 化简 ,即可得出②;解 ,即可得出③; 根据图象平移,得出 ,求出 即可判断④. 【详解】 . 第4页(共30页)对于①, , 因为 ,所以 的最大值为 ,故①正确; 对于②, ,故②正确; 对于③,由 可得, , 所以, 的单调增区间是 ( ),故③正确; 对于④,将 的图象向右平移 个单位得到的函数为 , ,故④错误. 综上所述,①②③正确. 故选:C. 8.已知 是定义在 上的奇函数, ,且 在 上单调递增,则不 等式 的解集为( ) A. B. C. D. 【答案】A 【分析】由题意不等式 等价于 ,再根据函数的单调性分和 两种情况讨论即可得解. 【详解】因为 是定义在 上的奇函数, ,且 在 上单调递增, 所以 在 上单调递增, 由 ,得 , 当 时,由 ,得 , 当 时,由 ,得 , 所以原不等式的解集为 . 故选:A. 二、多选题:本题共4小题,每小题5分,共20分。在每小题给出的选项中,有多项 符合题目要求。全部选对的得5分,部分选对的得2分,有选错的得0分。 9.已知点 , ,点P为圆C: 上的动点,则 ( ) A. 面积的最小值为 B. 的最小值为 C. 的最大值为 D. 的最大值为 【答案】BCD 【分析】对于A,点P动到圆C的最低点 时, 面积的最小值,利用三角形面 积公式;对于B,当点P动到 点时, 取到最小值,通过两点间距离公式即可求解; 对于C,当 运动到与圆C相切时, 取得最大值,利用正弦值,求角即可求 解;对于D,利用平面向量数量积的几何意义进行求解. 【详解】 , 圆C是以 为圆心, 为半径的圆. 第6页(共30页)对于A, 面积的最小值为点P动到圆C的最低点 时, , ,故选项A错误; 对于B,连接 交圆于 点,当点P动到 点时, 取到最小值为 ,故选项B正确; 对于C,当 运动到与圆C相切时, 取得最大值,设切点为 , , , ,故选项C正确; 对于D, ,当点P动到 点时, 取得最 大值,即 在 上的投影, ,故选项D正确; 故选:BCD. 10.如图,在正方体 中,点P为线段 上的一个动点(不包含端 点),则( )A. B.直线PC与直线 异面 C.存在点P使得PC与 所成的角为60° D.存在点P使得PC与底面ABCD所成的角为60° 【答案】ABD 【分析】由线面垂直的判定定理可判断A;证明 平面 ,PC 平面 ,可判断B;求出PC与 所成的角的最大值恒小于60°可判断C;求出PC 与底面ABCD所成的角为60°时, 的长度可判断D. 【详解】对A,在正方体 中,易得 , 底面 , 平面 , , , 平面 ,则 平面 , 因为 平面 ,所以 ,故A正确; 对B,因为 平面 , 平面 , 平面 ,且 , 所以直线PC与直线 异面,故B正确; 第8页(共30页)对C,因为 ,所以PC与 所成的角即为PC与 所成的角, 由图可知,当点 位于点 处时, 最大,此时 , 所以PC与 所成的角恒小于60°,故C不正确; 对D,过点 作 平面 交直线 于点 ,则 , 设正方体的边长为 ,PC与底面ABCD所成的角即为 , 若 ,则 , 则 ,所以存在点P使得PC与底面ABCD所成的角为60°. 故D正确. 故选:ABD. 11.以下说法正确的是( ) A.89,90,91,92,93,94,95,96,97的第75百分位数为95 B.具有相关关系的两个变量x,y的一组观测数据 , , , , 由此得到的线性回归方程为 ,回归直线 至少经过点 , , , 中的一个点 C.相关系数r的绝对值越接近于1,两个随机变量的线性相关性越强 D.已知随机事件A,B满足 , ,且 ,则事件A与B 不互斥 【答案】ACD 【分析】对于A选项:结合百分位数的定义即可求解;对于B选项:结合经验回归方程的性质即可求解; 对于C选项:根据相关系数的性质即可判断; 对于D选项:根据互斥事件的定义和事件的相互独立性即可求解. 【详解】对于A选项:从小到大排列共有9个数据,则 不是整数,则 第75百分位数为从小到大排列的第7个数据,即第75百分位数为95,所以A选项正 确; 对于B选项:线性回归方程 不一定经过点 , , , 中的任何一个点,但一定经过样本的中心点即 ,所以B选项错误; 对于C选项:若两个具有线性相关关系的变量的相关性越强,则线性相关系数 的绝 对值越接近于 ,所以C选项正确; 对于D选项:因为 ,则 , 则事件 与 相互独立,所以事件A与B不互斥,所以D选项正确; 故选:ACD. 12.已知函数 满足:① 为偶函数;② , . 是 的导函数,则下列结论正确的是( ) A. 关于 对称 B. 的一个周期为 C. 不关于 对称 D. 关于 对称 【答案】ABD 【分析】A选项,对 两边求导可判断选项正误; B选项,由①②可知 的一个周期为 ,即可判断选项正误; C选项,验证 是否等于2d即可判断选项正误; D选项,验证 是否成立可判断选项正误. 第10页(共30页)【详解】A选项,由 两边求导得 ,即 关于 对称,故A正确; B选项,由 为偶函数,知 . 又 , 则 ,即 的一个周期为 ,则 的一个周期为 , 故B正确; C选项,注意到当 时, . 则 ,即此时 关于 ,即 对称,故C错误; D选项,由 为偶函数,知 关于 对称,即 ,则 ,即 关于 对称,故D正确. 故选:ABD. 三、填空题:本题共4小题,每小题5分,共20分。 13.已知 ,若对任意 ,都有 ,则 的最大值为________. 【答案】 /0.5 【分析】运用整体法,根据正弦型函数的图像求解. 【详解】由题意, , ,又 ,, 由正弦函数 的单调性和周期性可知: ; 故答案为: . 14.平面四边形 中, , , , , ,点 在直线 上,点 在直线 上,且 , , ,则 的最小值为______. 【答案】 【分析】过点 作 于 点,以点 为坐标原点,建立平面直角坐标系,根据 已知得出点以及向量的坐标,根据 ,得出 ,然后根据基本不等式 “1”的代换,即可得出答案. 【详解】过点 作 于 点. 因为 , , 所以 , , . 如图,以点 为坐标原点,分别以 所在的直线为 轴,建立平面直角坐标系, 则 , , , , , 第12页(共30页)所以, , , , , 所以, , , 所以, , . 因为 , 所以有 , 所以 ,所以 , 所以, , 当且仅当 ,即 , 时等号成立. 故答案为: . 15.如图,多面体 中,面 为正方形, 平面 ,且 为棱 的中点, 为棱 上的动点,有下列结论: ①当 为 的中点时, 平面 ; ②存在点 ,使得 ; ③三棱锥 的体积为定值; ④三棱锥 的外接球的体积为 . 其中正确的结论序号为__________. 【答案】③ 【分析】根据线面平行的判定定理,及线线垂直的判定,结合棱锥体积的计算公式, 以及棱锥外接球半径的求解,对每一项进行逐一求解和分析即可.【详解】①:当H为DE的中点时,取 中点为 ,连接 ,如下所示: 因为 分别为 的中点,故可得 // , , 根据已知条件可知: // ,故 // , 故四边形 为平行四边形,则 // ,显然 与面 , 故 与面 相交,即不平行,故①错误; ②:因为 面 面 ,故 , 又四边形 为矩形,故 ,则 两两垂直, 以 为坐标原点,建立空间直角坐标系如下所示: 则 ,设 , , 所以 ,故不垂直,故②错误; ③: ,因为 均为定点,故 为定值, 又 // 面 面 ,故 //面 , 又点 在 上运动,故点 到面 的距离是定值, 第14页(共30页)故三棱锥 的体积为定值,则③正确; ④:取△ 的外心为 ,过 作平面 的垂线 , 则三棱锥 的外接球的球心 一定在 上, 因为 面 , 面 面 ,则 ,又 , 面 ,故 面 ,即 面 , 则 // ,故 在同一个平面,过 作 ,连接 如图所示. 在△ 中,容易知 , 由余弦定理得 ,故 , 由正弦定理得 ; 设三棱锥 的外接球半径为 ,则 ,且P为BC中点, 在△ 中 , ,又 , 由勾股定理知: ,即 , 该棱锥外接球的体积 ,故④错误. 故答案为:③. 16.已知双曲线C: 的左顶点为A,P为C的一条渐近线上一点, AP与C的另一条渐近线交于点Q,若直线AP的斜率为1,且A为PQ的三等分点,则C的离心率为______. 【答案】 【分析】写出直线 的方程为 ,将其分别与双曲线渐近线联立解出 的纵 坐标,根据 为 的三等分点,得到关于 的方程,最后化为关于 的齐次方程, 即可得到离心率. 【详解】不妨设点 在第二象限,直线 的方程为 , 联立 ,得点 的纵坐标 ; 联立 ,得点 的纵坐标 . 由 为 的三等分点,可知 ,则有 ,整理得 , 则 ,则 ,故 的离心率 . 故答案为: . 四、解答题:共6小题,共70分。解答应写出文字说明、证明过程或演算步骤。 17.(10分) 的内角A,B,C的对边分别为a,b,c,已知 第16页(共30页). (1)求A; (2)若 ,求 面积的最大值. 【答案】(1) (2) 【分析】(1)由二倍角余弦公式及正弦边角关系得 ,根据余弦定理 求 的余弦值,进而确定其大小; (2)由已知和余弦定理得 ,再由 求面积最大值, 注意取值条件. 【详解】(1)由已知 , 即 ,由正弦边角关系得 , 所以 ,又 ,所以 . (2)由余弦定理,得 ,又 , 所以 ,当且仅当 时等号成立, 所以 ,故 的面积的最大值为 . 18.(12分)已知数列 中, , . (1)记 ,证明:数列 为等比数列; (2)求数列 的通项公式; (3)记 ,求数列 的前 项和 . 【答案】(1)证明见解析(2) (3) 【分析】(1)由已知可推出 ,即可得出证明; (2)求出 ,写出 的通项公式,即可得出 ; (3)将 的表达式代入 ,裂项可推得 ,然后求和即可 得出答案. 【详解】(1)因为 , 故数列 是公比为2的等比数列. (2)因为 , 所以 , 所以 , 所以 . (3)因为 , 所以 . 第18页(共30页)19.(12分)在四棱锥 中,四边形 为等腰梯形, , , , . (1)证明:平面 平面 ; (2)若 , ,求直线 与平面 所成角的正弦值. 【答案】(1)证明见解析 (2) 【详解】(1)证明:在等腰梯形 中, , , , 过点C作 于E,则 ,可知 , 由余弦定理知 , 则 ,所以 . 又 , , , 平面 , 所以 平面 . 又 平面 ,所以平面 平面 . (2)解:因为 平面 , ,所以C为坐标原点, , 的方向分 别为x轴、y轴的正方向建立空间直角坐标系.则 , , , , , , . 设平面 的法向量为 , 则 ,令 ,则 ,即 . 设直线 与平面 所成的角为 , 则 , 即直线 与平面 所成角的正弦值为 . 20.(12分)今年以来,人们的出行需求持续释放,各种旅游项目态势火爆,旅游预 订人数也开始增多.某调查组对400名不同年龄段的游客进行了问卷调查,其中有200 名游客进行了预订,这200名游客中各年龄段所占百分比如图所示: 第20页(共30页)年龄在19-35岁的人群称为青年人群,已知在所有调查游客中随机抽取1人,抽到不预 订的青年游客概率为 . (1)请将下列 列联表补充完整,并判断能否在犯错误概率不超过0.001的前提下, 认为旅游预订与是否为青年有关; 预定旅游 不预定旅游 合计 青年 非青年 合计 (2)按照分层抽样的方法,从预订旅游客群中选取5人,再从这5人中任意选取3人, 求3人中至少有2人是青年人的概率. 附:① ,其中 . ② 0.050 0.010 0.001 3.841 6.635 10.828 【答案】(1)列联表答案见解析,能在犯错误概率不超过0.001的前提下,认为旅游预 订与是否青年有关 (2) 【分析】(1)先求出青年游客预订旅游人数,再求出青年游客不预订旅游的人数,从 而得到 列联表,再利用 列联表求出 的值,从而得到结论; (2)先求出每层抽取的人数,再求出基本事件的个数和事件 包含的个数,利用古典概率公式即可求出结果. 【详解】(1)200名有预订的游客中,青年游客人数为 , 200名不预订的游客中,青年游客人数为 , 可知 列联表如下 预订旅游 不预订旅游 合计 青年 120 75 195 非青年 80 125 205 合计 200 200 400 所以能在犯错误概率不超过0.001的前提下,认为旅游预订与是否青年有关. (2)按分层抽样,从预定游客中选取5人, 其中青年游客的人数为 人,非青年游客2人, 所以从5人中任取3人,其中至少有2人是青年人的概率为 . 21.(12分)已知椭圆 经过点 ,离心率为 , 与 轴交于两点 , ,过点 的直线 与 交于另一点 ,并与 轴交于 点 ,直线 与直线 交于点 . (1)求椭圆 的方程; (2)设 为原点,当点 异于点 时,求证: 为定值. 【答案】(1) (2)证明见解析 第22页(共30页)【分析】(1)由椭圆过点 及离心率,可得椭圆方程; (2)法一:设直线 方程,联立方程组确定点 ,联立直线 , 方程可得 ,从 而确定 ;法二:设 ,分别表示直线 , ,进而表示点 ,即可 确定 ,若直线 过点 ,可得 ,当直线 不过点 时,要证 ,即证 ,化简即可得证;法 三:设 ,分别表示直线 , ,进而表示点 ,即可确定 ,化简 即可. 【详解】(1)由题意得 , 又因为 ,解得 , , 所以 的方程为 ; (2) 法一: 若 的斜率不存在,则 , 此时 , ,不符合题意, 若 的斜率存在,则设 的斜率为 ,则 的方程为 ,联立方程 ,得 , 解得 , , 所以 , 所以 , , 则 , 又 , , 联立 , 的方程,解得: , , 所以 点坐标为 , 直线 ,令 ,解得: , 所以 , 所以 为定值. 法二: 若 在 轴上,则 , 第24页(共30页)此时 , ,不符合题意, 设 , 则 ,且 , , , , , , , 消去 得 , , 解得 , , , 令 ,解得 , , 特别地,当 过点 时, , ,此时 , 要证 恒成立,即 恒成立, 只需证 , 即证 , 即证 , 即 , 上式显然成立,所以 . 法三: 若 在 轴上,则 , 此时 , ,不符合题意, 设 , 则 ,且 , , , , , , , 消去 得 , , 解得 , , , 令 ,解得 , 第26页(共30页)所以 为定值. 22.(12分)已知函数 , 为 的导数. (1)讨论 的单调性; (2)若直线 与曲线 有两个交点,求a的取值范围. 【答案】(1)见解析 (2) 【分析】(1)设 ,对 求导,分 和 讨论即可; (2)分离参数得 ,设 ,利用导数研究其值域与图像即 可. 【详解】(1)设 的定义域为 , . 当 时, 在 上为增函数,在 上单调递增; 当 时,令 ,得 . 若 ,则 单调递增, 若 ,则 单调递减. 综上,当 时, 在 上单调递增; 当 时, 在区间 上单调递增,在区间 上单调递减.(2)直线 与曲线 有两个交点,即关于 的方程 有两个解, 整理方程,得 . 令 ,其中 , 则 . 令 ,则 . 当 时, ,此时函数 单调递增, 当 时, ,此时函数 单调递减. 由 , 得 时, ,则 , 当 时, ,则 , 当 时, ,则 , 则函数 在区间 上单调递增,在区间 上单调递减, 则 . 当 趋近于 时, 趋近于0,即当 时, ; 当 趋近于0时, 趋近于 , 作出如图所示图象: 第28页(共30页)故要使直线 与曲线 有两个交点,则需 , 即 的取值范围是 .第30页(共30页)