当前位置:首页>文档>秘籍05立体几何小题:截面与球(7个题型)(解析版)_2.2025数学总复习_2023年新高考资料_备战2023年高考数学抢分秘籍(新高考专用)

秘籍05立体几何小题:截面与球(7个题型)(解析版)_2.2025数学总复习_2023年新高考资料_备战2023年高考数学抢分秘籍(新高考专用)

  • 2026-03-30 10:00:05 2026-03-22 17:22:19

文档预览

秘籍05立体几何小题:截面与球(7个题型)(解析版)_2.2025数学总复习_2023年新高考资料_备战2023年高考数学抢分秘籍(新高考专用)
秘籍05立体几何小题:截面与球(7个题型)(解析版)_2.2025数学总复习_2023年新高考资料_备战2023年高考数学抢分秘籍(新高考专用)
秘籍05立体几何小题:截面与球(7个题型)(解析版)_2.2025数学总复习_2023年新高考资料_备战2023年高考数学抢分秘籍(新高考专用)
秘籍05立体几何小题:截面与球(7个题型)(解析版)_2.2025数学总复习_2023年新高考资料_备战2023年高考数学抢分秘籍(新高考专用)
秘籍05立体几何小题:截面与球(7个题型)(解析版)_2.2025数学总复习_2023年新高考资料_备战2023年高考数学抢分秘籍(新高考专用)
秘籍05立体几何小题:截面与球(7个题型)(解析版)_2.2025数学总复习_2023年新高考资料_备战2023年高考数学抢分秘籍(新高考专用)
秘籍05立体几何小题:截面与球(7个题型)(解析版)_2.2025数学总复习_2023年新高考资料_备战2023年高考数学抢分秘籍(新高考专用)
秘籍05立体几何小题:截面与球(7个题型)(解析版)_2.2025数学总复习_2023年新高考资料_备战2023年高考数学抢分秘籍(新高考专用)
秘籍05立体几何小题:截面与球(7个题型)(解析版)_2.2025数学总复习_2023年新高考资料_备战2023年高考数学抢分秘籍(新高考专用)
秘籍05立体几何小题:截面与球(7个题型)(解析版)_2.2025数学总复习_2023年新高考资料_备战2023年高考数学抢分秘籍(新高考专用)
秘籍05立体几何小题:截面与球(7个题型)(解析版)_2.2025数学总复习_2023年新高考资料_备战2023年高考数学抢分秘籍(新高考专用)
秘籍05立体几何小题:截面与球(7个题型)(解析版)_2.2025数学总复习_2023年新高考资料_备战2023年高考数学抢分秘籍(新高考专用)
秘籍05立体几何小题:截面与球(7个题型)(解析版)_2.2025数学总复习_2023年新高考资料_备战2023年高考数学抢分秘籍(新高考专用)
秘籍05立体几何小题:截面与球(7个题型)(解析版)_2.2025数学总复习_2023年新高考资料_备战2023年高考数学抢分秘籍(新高考专用)
秘籍05立体几何小题:截面与球(7个题型)(解析版)_2.2025数学总复习_2023年新高考资料_备战2023年高考数学抢分秘籍(新高考专用)
秘籍05立体几何小题:截面与球(7个题型)(解析版)_2.2025数学总复习_2023年新高考资料_备战2023年高考数学抢分秘籍(新高考专用)
秘籍05立体几何小题:截面与球(7个题型)(解析版)_2.2025数学总复习_2023年新高考资料_备战2023年高考数学抢分秘籍(新高考专用)
秘籍05立体几何小题:截面与球(7个题型)(解析版)_2.2025数学总复习_2023年新高考资料_备战2023年高考数学抢分秘籍(新高考专用)
秘籍05立体几何小题:截面与球(7个题型)(解析版)_2.2025数学总复习_2023年新高考资料_备战2023年高考数学抢分秘籍(新高考专用)
秘籍05立体几何小题:截面与球(7个题型)(解析版)_2.2025数学总复习_2023年新高考资料_备战2023年高考数学抢分秘籍(新高考专用)
秘籍05立体几何小题:截面与球(7个题型)(解析版)_2.2025数学总复习_2023年新高考资料_备战2023年高考数学抢分秘籍(新高考专用)
秘籍05立体几何小题:截面与球(7个题型)(解析版)_2.2025数学总复习_2023年新高考资料_备战2023年高考数学抢分秘籍(新高考专用)
秘籍05立体几何小题:截面与球(7个题型)(解析版)_2.2025数学总复习_2023年新高考资料_备战2023年高考数学抢分秘籍(新高考专用)
秘籍05立体几何小题:截面与球(7个题型)(解析版)_2.2025数学总复习_2023年新高考资料_备战2023年高考数学抢分秘籍(新高考专用)
秘籍05立体几何小题:截面与球(7个题型)(解析版)_2.2025数学总复习_2023年新高考资料_备战2023年高考数学抢分秘籍(新高考专用)
秘籍05立体几何小题:截面与球(7个题型)(解析版)_2.2025数学总复习_2023年新高考资料_备战2023年高考数学抢分秘籍(新高考专用)
秘籍05立体几何小题:截面与球(7个题型)(解析版)_2.2025数学总复习_2023年新高考资料_备战2023年高考数学抢分秘籍(新高考专用)
秘籍05立体几何小题:截面与球(7个题型)(解析版)_2.2025数学总复习_2023年新高考资料_备战2023年高考数学抢分秘籍(新高考专用)
秘籍05立体几何小题:截面与球(7个题型)(解析版)_2.2025数学总复习_2023年新高考资料_备战2023年高考数学抢分秘籍(新高考专用)
秘籍05立体几何小题:截面与球(7个题型)(解析版)_2.2025数学总复习_2023年新高考资料_备战2023年高考数学抢分秘籍(新高考专用)
秘籍05立体几何小题:截面与球(7个题型)(解析版)_2.2025数学总复习_2023年新高考资料_备战2023年高考数学抢分秘籍(新高考专用)
秘籍05立体几何小题:截面与球(7个题型)(解析版)_2.2025数学总复习_2023年新高考资料_备战2023年高考数学抢分秘籍(新高考专用)
秘籍05立体几何小题:截面与球(7个题型)(解析版)_2.2025数学总复习_2023年新高考资料_备战2023年高考数学抢分秘籍(新高考专用)
秘籍05立体几何小题:截面与球(7个题型)(解析版)_2.2025数学总复习_2023年新高考资料_备战2023年高考数学抢分秘籍(新高考专用)
秘籍05立体几何小题:截面与球(7个题型)(解析版)_2.2025数学总复习_2023年新高考资料_备战2023年高考数学抢分秘籍(新高考专用)
秘籍05立体几何小题:截面与球(7个题型)(解析版)_2.2025数学总复习_2023年新高考资料_备战2023年高考数学抢分秘籍(新高考专用)
秘籍05立体几何小题:截面与球(7个题型)(解析版)_2.2025数学总复习_2023年新高考资料_备战2023年高考数学抢分秘籍(新高考专用)
秘籍05立体几何小题:截面与球(7个题型)(解析版)_2.2025数学总复习_2023年新高考资料_备战2023年高考数学抢分秘籍(新高考专用)
秘籍05立体几何小题:截面与球(7个题型)(解析版)_2.2025数学总复习_2023年新高考资料_备战2023年高考数学抢分秘籍(新高考专用)
秘籍05立体几何小题:截面与球(7个题型)(解析版)_2.2025数学总复习_2023年新高考资料_备战2023年高考数学抢分秘籍(新高考专用)
秘籍05立体几何小题:截面与球(7个题型)(解析版)_2.2025数学总复习_2023年新高考资料_备战2023年高考数学抢分秘籍(新高考专用)
秘籍05立体几何小题:截面与球(7个题型)(解析版)_2.2025数学总复习_2023年新高考资料_备战2023年高考数学抢分秘籍(新高考专用)
秘籍05立体几何小题:截面与球(7个题型)(解析版)_2.2025数学总复习_2023年新高考资料_备战2023年高考数学抢分秘籍(新高考专用)
秘籍05立体几何小题:截面与球(7个题型)(解析版)_2.2025数学总复习_2023年新高考资料_备战2023年高考数学抢分秘籍(新高考专用)
秘籍05立体几何小题:截面与球(7个题型)(解析版)_2.2025数学总复习_2023年新高考资料_备战2023年高考数学抢分秘籍(新高考专用)
秘籍05立体几何小题:截面与球(7个题型)(解析版)_2.2025数学总复习_2023年新高考资料_备战2023年高考数学抢分秘籍(新高考专用)
秘籍05立体几何小题:截面与球(7个题型)(解析版)_2.2025数学总复习_2023年新高考资料_备战2023年高考数学抢分秘籍(新高考专用)
秘籍05立体几何小题:截面与球(7个题型)(解析版)_2.2025数学总复习_2023年新高考资料_备战2023年高考数学抢分秘籍(新高考专用)
秘籍05立体几何小题:截面与球(7个题型)(解析版)_2.2025数学总复习_2023年新高考资料_备战2023年高考数学抢分秘籍(新高考专用)
秘籍05立体几何小题:截面与球(7个题型)(解析版)_2.2025数学总复习_2023年新高考资料_备战2023年高考数学抢分秘籍(新高考专用)
秘籍05立体几何小题:截面与球(7个题型)(解析版)_2.2025数学总复习_2023年新高考资料_备战2023年高考数学抢分秘籍(新高考专用)
秘籍05立体几何小题:截面与球(7个题型)(解析版)_2.2025数学总复习_2023年新高考资料_备战2023年高考数学抢分秘籍(新高考专用)
秘籍05立体几何小题:截面与球(7个题型)(解析版)_2.2025数学总复习_2023年新高考资料_备战2023年高考数学抢分秘籍(新高考专用)
秘籍05立体几何小题:截面与球(7个题型)(解析版)_2.2025数学总复习_2023年新高考资料_备战2023年高考数学抢分秘籍(新高考专用)
秘籍05立体几何小题:截面与球(7个题型)(解析版)_2.2025数学总复习_2023年新高考资料_备战2023年高考数学抢分秘籍(新高考专用)
秘籍05立体几何小题:截面与球(7个题型)(解析版)_2.2025数学总复习_2023年新高考资料_备战2023年高考数学抢分秘籍(新高考专用)
秘籍05立体几何小题:截面与球(7个题型)(解析版)_2.2025数学总复习_2023年新高考资料_备战2023年高考数学抢分秘籍(新高考专用)
秘籍05立体几何小题:截面与球(7个题型)(解析版)_2.2025数学总复习_2023年新高考资料_备战2023年高考数学抢分秘籍(新高考专用)
秘籍05立体几何小题:截面与球(7个题型)(解析版)_2.2025数学总复习_2023年新高考资料_备战2023年高考数学抢分秘籍(新高考专用)
秘籍05立体几何小题:截面与球(7个题型)(解析版)_2.2025数学总复习_2023年新高考资料_备战2023年高考数学抢分秘籍(新高考专用)
秘籍05立体几何小题:截面与球(7个题型)(解析版)_2.2025数学总复习_2023年新高考资料_备战2023年高考数学抢分秘籍(新高考专用)
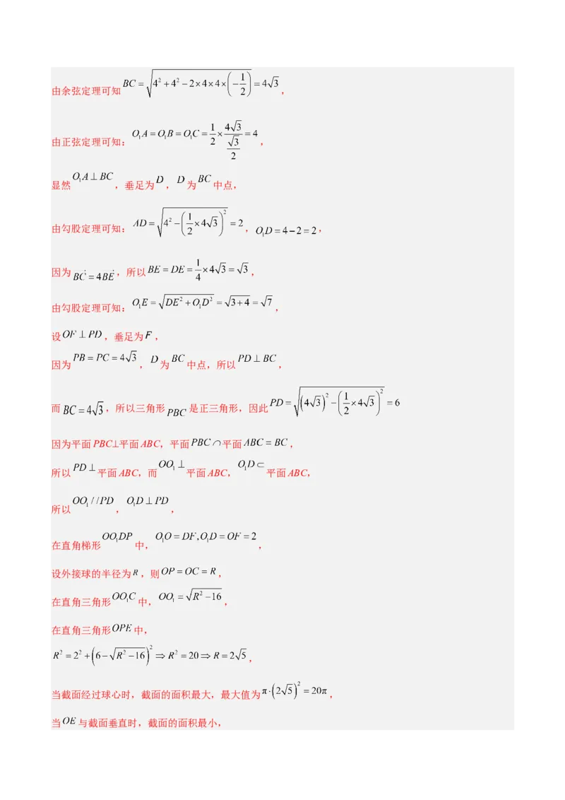
秘籍05立体几何小题:截面与球(7个题型)(解析版)_2.2025数学总复习_2023年新高考资料_备战2023年高考数学抢分秘籍(新高考专用)

文档信息

文档格式
docx
文档大小
4.970 MB
文档页数
62 页
上传时间
2026-03-22 17:22:19

文档内容

秘籍 05 立体几何小题:截面与球 概率预测 ☆ ☆ ☆ ☆ 题型预测 选择题、填空题☆ ☆ ☆ ☆ ☆ 考向预测 外接球表面积与体积最值问题 立体几何的考察主要会以截面、组合体外接球和内切球以及轨迹动点求最值等的形式来考察学生对于 空间想象能力的考察,难度不小,一般会出现在选填的压轴题里,也有可能出现在多选以多个维度去考察。 这里主要对各个题型进行总结,需要在掌握题型的基础上锻炼自己的空间想象能力。 【题型一】 截面最值 求截面方法: 1. 平行线法: (1)利用两条平行线确定一个平面, (2)一个平面与两个平行平面相交,交线平行 2.相交线法: (1)两条相交直线确定一个平面 (2)若两个相交平面中一条直线与棱不平行,则与棱的交点,也在另一个平面内 1. 正方体 为棱长为2,动点 , 分别在棱 , 上,过点 , , 的平面截该正 方体所得的截面记为 ,设 , ,其中 , ,下列命题正确的是_____.(写出所有正 确命题的编号)①当 时, 为矩形,其面积最大为4;②当 时, 的面积为 ;③当 , 时,设 与棱 的交点为 ,则 ;④当 时,以 为顶点, 为底面的棱锥的体积为定值 . 【答案】②③④ 【详解】解: 当 时,点 与点 重合, ,此时 为矩形,当点 与点 重合时, 的面积最大, .故①错误; 当 , 时, 为 的中位线, , , , 为等腰梯形 的面积,过 作 于 , , , , , , ,故②正确; 由图可设 与 交于点 ,可得 , , ,则 , ,故③正确; 当 时,以 为定点, 为底面的棱锥为 , ,故④正 确; 故答案为:②③④. 2.如图,长方体 中,AB=BC=4, ,M是线段 的中点,点N在线段 上,MN BD,则长方体 被平面AMN所截得的截面面积为___________.【答案】 【详解】 如图,M是线段 的中点,点N在线段 上,MN BD,所以N为 的中点.延长 交直线MN于 点P,连接AP交 于点E;延长 交直线MN于点Q, 连接AQ交 于点F.则PM=MN,NQ=MN.于是易得E、F分别为 、 的三等分点,因此截面为五边形 AEMNF, , , , , 过 作 于 ,交 于 ,由 , 可得 ,故 . 故答案为: . 3.如图,在正四棱台 中,上底面边长为4,下底面边长为8,高为5,点 分别在 上,且 .过点 的平面 与此四棱台的下底面会相交,则平面 与四棱台的面的 交线所围成图形的面积的最大值为A. B. C. D. 【答案】B 【详解】当斜面α经过点 时与四棱台的面的交线围成的图形的面积最大,此时α为等腰梯形,上底 为MN=4,下底为BC=8 此时作正四棱台 俯视图如下: 则MN中点在底面的投影到BC的距离为8-2-1=5 因为正四棱台 的高为5,所以截面等腰梯形的高为 所以截面面积的最大值为 所以选B 1.(2023·重庆九龙坡·统考二模)正多面体统称为柏拉图体,被喻为最有规律的立体结构,其所有面都只 由一种正多边形构成(各面都是全等的正多边形,且每个顶点所接的面数都一样,各相邻面所成的二面角 都相等),正多面体共有5种,它们分别是正四面体、正六面体(即正方体)、正八面体、正十二面体、正二 十面体.连接正方体中相邻面的中心(如图1),得到另一个柏拉图体,即正八面体 (如图 2),设 分别为 的中点,则下列说法正确的是( )A. 与 为异面直线 B.经过 的平面截此正八面体所得的截面为正五边形 C.平面 平面 D.平面 平面 【答案】D 【详解】 如图,将正方体补充完整为 , 连接 , 则在 中, 为 的中点, 所以 , 在 中, 为 的中点, 所以 ,从而 ,A错误; 取 的中点依次为 , 连接 ,则有 , 且 , 所以经过 的平面截此正八面体所得的截面为正六边形,B错误; 要证平面 平面PCD,即证平面 平面 , 连接 , 因为 平面 , 所以 平面 , 平面 , 所以 ,且 所以 且 平面 , 所以 平面 , 又因为 平面 ,所以 所以 为平面 与平面 所成的角, 设正方体的边长为 , 则 , 从而 ,所以 ,故C错误; 因为 , 平面 , 平面 , 所以 平面 , 因为 , 平面 , 平面 , 所以 平面 , 且 平面 , , 所以平面 平面 ,D正确, 故选:D. 2.(2023·贵州·统考模拟预测)如图,某环保组织设计一款苗木培植箱,其外形由棱长为2(单位: ) 的正方体截去四个相同的三棱锥(截面为等腰三角形)后得到.若将该培植箱置于一球形环境中,则该球表面积的最小值为___________ 【答案】 【详解】如图将正方体补全,依题意可得 、 、 、 为正方体底面边上的中点, 要使球的表面积最小,即为求 的外接球的表面积, 如图建立空间直角坐标系,则 , ,则几何体 外接球的球心必在上、下底 面中心的连线上, 设球心为 ,球的半径为 ,则 , 即 ,解得 , 所以 , 所以外接球的表面积 ,即该球表面积的最小值为 . 故答案为: 3.(2023·宁夏吴忠·高三统考阶段练习)已知表面积为54的正方体 的顶点都在球O上,过球心O的平面截正方体所得的截面过正方体相对两棱 , 的中点F,E,设该截面与 及 的 交点分别为M,N,点P是正方体表面上一点,则以截面EMFN为底面,以点P为顶点的四棱锥的体积的 最大值为___________. 【答案】9 【详解】设该正方体的棱长为a,球的半径为r,所以有 ,解得 ,所以该正方体的棱长为3. 如题图,由题意可知,若该截面必过正方体相对两棱BB,DD 的中点F,E,则该截面EMFN为菱形,显 1 1 然 ,而 ,所以 ,显然 ,所以 ,而 , , 平面 ,所以 平面 . 由题图可以看出当点 与点 或点 重合时棱锥的高最大,为球的半径. ,而 ,则 ;综上所述,所求四棱锥的体积的最大值为9. 故答案为:9 【题型二】 球截面 用一个平面 去截球,若平面 经过球心,所得的截面称为球的大圆;若平面 不经过球心,所得的截面 称为球的小圆。小圆圆心与球心的连线必垂直于小圆面。1. 在三棱锥A-BCD中, ,∠ADC=∠ABC=90°,平面ABC⊥平面ACD,三棱 锥A-BCD的所有顶点都在球O的球面上,E,F分别在线段OB,CD上运动(端点除外), . 当三棱锥E-ACF的体积最大时,过点F作球O的截面,则截面面积的最小值为( ) A.π B. C. D.2π 【答案】C 【详解】如图,取AC的中点O,连接OF,OB, 因为∠ADC=∠ABC=90°,所以 ,即O为球心, 则球O的半径R=2.又AB=BC,所以OB⊥AC, 又平面ABC⊥平面ACD,平面 平面ACD=AC, 平面ABC, 所以OB⊥平面ACD. 设CF=x,则 ,所以 , 所以三棱锥E-ACF的体积 , 当 时,V取得最大值 .由于OA=OB=OC=OD, 在 COF中,由余弦定理得: △ , 根据球的性质可知,当OF垂直于截面时,截面圆的面积最小,设此时截面圆的半径为r,所以 , 则截面面积的最小值为 .故选:C. 2.已知一个正四面体的棱长为2,则其外接球与以其一个顶点为球心,1为半径的球面所形成的交线的长度 为___________. 【答案】 【详解】设外接球半径为 ,外接球球心到底面的距离为 , 则 ,所以 ,两球相交形成形成的图形为圆, 如图,在 中, , ,在 中, , 所以交线所在圆的半径为 ,所以交线长度为 .故答案为: 3.在正四棱锥 中,已知 , 为底面 的中心,以点 为球心作一半径为 的 球,则平面 截该球的截面面积为________. 【答案】 . 【详解】由正棱锥性质知: 平面 , 取 中点 ,连接 ,作 ,垂足为 ,平面 , 平面 , , 分别为 中点, ,又 , , 平面 , , 平面 ,又 平面 , ,又 , 平面 , , 平面 ,则由球的性质可知: 为平面 截球 所得截面圆的圆心, 设 为该截面圆与 的一个交点,连接 , , , , , ,又 , ; , ,即截面圆的半径 , 截面圆的面积 .故答案为: . 1.(2023·四川绵阳·四川省绵阳南山中学校考模拟预测)已知四棱锥 的各个顶点都在球O的表 面上,PA⊥平面ABCD,底面ABCD是等腰梯形, , , , , M是线段AB上一点,且 .过点M作球O的截面,所得截面圆面积的最小值为 ,则 =___. 【答案】 或 【详解】在等腰梯形 中,连接 ,如图,因为 , , ,则 , , 于是 ,取 中点 ,连接 ,则 ,得 均为正三角形, 即有 ,即 是梯形 外接圆圆心, 而O为四棱锥 的外接球球心,因此 平面 ,又PA⊥平面ABCD, 则 ,而 为球O的弦,则过点O垂直于 的平面必过 的中点E,连接 , 于是 ,而 ,即有 ,四边形 为矩形, , 因此球O的半径 ,过点M的球O的最小截面圆所在平面必垂直于 , 而此截面圆半径为 ,则 ,连接 ,在 中, , 在 中, , , 即有 ,解得 或 , 所以 或 . 故答案为: 或 2.(2021春·浙江·高一期末)已知三棱锥 四个顶点都在球O上, 面ABC, , ,D是BC的中点,过点D作球O的截面,则截面面积的最小值是 ___________. 【答案】 【详解】解:如图,在 中,由 , ,得 ,因为D是BC的中点,所以 , 设 的外心为 ,则 , 因为 面ABC, , 设球O的半径为 ,设 ,过 作 ,则 , , 所以 ,解得 , 所以 , 所以截面面积的最小值为 , 故答案为: 3.(2023·河南郑州·统考二模)已知三棱锥P-ABC的各个顶点都在球O的表面上, , , ,平面PBC⊥平面ABC,若点E满足 ,过点E作球O的截面,则 所得截面面积的取值范围为______. 【答案】 【详解】如图所示,设O在平面 的射影为 , 在等腰三角形 中,由余弦定理可知 , 由正弦定理可知: , 显然 ,垂足为 , 为 中点, 由勾股定理可知: , , 因为 ,所以 , 由勾股定理可知: , 设 ,垂足为 , 因为 , 为 中点,所以 , 而 ,所以三角形 是正三角形,因此 因为平面PBC⊥平面ABC,平面 平面 , 所以 平面ABC,而 平面ABC, 平面ABC, 所以 , , 在直角梯形 中, , 设外接球的半径为 ,则 , 在直角三角形 中, , 在直角三角形 中, , 当截面经过球心时,截面的面积最大,最大值为 , 当 与截面垂直时,截面的面积最小,在直角三角形 中, , 此时截面的半径为 , 所以截面的面积最小值为 , 所以所得截面面积的取值范围为 , 故答案为: 【题型三】 线面垂直型求外接球 线面垂直型: 存在一条棱垂直一个底面(底面是任意多边形,实际是三角形或者四边形(少),它的外接圆半径是r, 满足正弦定理) 1.模板图形原理 图1 图2 2.计算公式 1.已知三棱锥S-ABC的所有顶点都在球O的球面上,SA⊥平面ABC, ,若球O的表面积为16π,则 三棱锥S-ABC的体积的最大值为( )A. B.3 C. D.6 【答案】A 【详解】设球的半径为R,则 ,解得: , 设三角形ABC的外接圆半径为r,则 , 即 ,解得: , 当三棱锥底面三角形ABC面积最大时,三棱锥S-ABC的体积取得最大值, 如图所示: 要想 面积最大,当A位于BC垂直平分线与圆的交点(BC与A点位于圆心两侧)时,此时三角形 ABC为等腰三角形时,面积最大, 连接BO并延长,交圆于点D,连接CD,则 ,BC⊥BC, 设 ,则 , , , 则 , 令 ,则 , 当 ,即 时, ,当 , 即 时, , 即 在 单调递增,在 上单调递减, 所以当 时, 取得最大值, , 则三棱锥S-ABC的体积的最大值为故选:A 2.已知三棱锥S-ABC的所有顶点都在球O的球面上,SA⊥平面ABC, ,若球O的表面积为16π,则 三棱锥S-ABC的体积的最大值为( ) A. B.3 C. D.6 【答案】A 【详解】设球的半径为R,则 ,解得: , 设三角形ABC的外接圆半径为r,则 , 即 ,解得: , 当三棱锥底面三角形ABC面积最大时,三棱锥S-ABC的体积取得最大值, 如图所示: 要想 面积最大,当A位于BC垂直平分线与圆的交点(BC与A点位于圆心两侧)时,此时三角形 ABC为等腰三角形时,面积最大, 连接BO并延长,交圆于点D,连接CD,则 ,BC⊥BC, 设 ,则 , , , 则 , 令 ,则 , 当 ,即 时, ,当 , 即 时, , 即 在 单调递增,在 上单调递减,所以当 时, 取得最大值, , 则三棱锥S-ABC的体积的最大值为 故选:A 3.已知 四点均在半径为 ( 为常数)的球 的球面上运动,且 , , ,若四面体 的体积的最大值为 ,则球 的表面积为( ) A. B. C. D. 【答案】C 【解析】由题意要使四面体的体积最大,则 在底面 的投影恰好为底面三角形外接圆的圆心 ,则 外接球的球心在 上,求出三棱锥的体积,由均值不等式可得 的值,进而求出外接球的表面积. 【详解】 因为 ,作 于 , 则 为 的中点,且 , 若四面体 的体积的最大值时,则 面 ,则外接球的球心在 上,设为 , 设外接球的半径为 ,连接 ,则 ,当且仅当 ,即 时取等号, 因为三棱锥的最大体积为 ,所以 ,可得 , 所以外接球的表面积为 ,故选:C. 1.(2023·西藏拉萨·统考一模)已知 的斜边 , ,现将 绕AB边旋转至 的位置,使 ,则所得四面体 外接球的表面积为( ) A. B. C. D. 【答案】D 【详解】如图,取CD的中点M,连接BM, , , , , , , 所以 是等腰直角三角形,则斜边CD的中点M为 外接圆的圆心. 因为 , , 平面BCD, 所以 平面BCD.过M作平面BCD的垂线,过AB的中点N作BM的平行线, 两直线的交点为O,点O即为四面体 外接球的球心. 连接OB,因为 , , 所以四面体 外接球的半径 , 故所求外接球的表面积为 .故选:D. 2.(2023·陕西汉中·统考二模)三棱锥 中, , , 则三棱锥 的外接球的表面积为( ) A. B. C. D. 【答案】C 【详解】如图所示,根据题意可将三棱锥 补形为长方体,则三棱锥 的外接球即为长方体 的外接球,可知该球的直径即为 , 设球的半径为 ,可得 ,即 , 故三棱锥 的外接球的表面积 . 故选:C. 3.(2023春·辽宁朝阳·高二北票市高级中学校考阶段练习)已知四棱锥 的外接球O的表面积为 , 平面ABCD,且底面ABCD为矩形, ,设点M在球O的表面上运动,则四棱锥 体积的最大值为______. 【答案】48 【详解】球O的表面积为 ,则半径 ,将四棱锥 补成长方体,长、宽、高分别设 为a、b、c,则 ,且 ,∴ ,∴ ,当且仅当 时取等号. 矩形ABCD面积的最大值为 , 要使四棱锥 的体积最大,只需点M为平面ABCD的中心 与球心O所在的直线与球的其中一 个离平面ABCD较远的交点, , , 可求得 体积最大值为 . 故答案为:48 【题型四】 面面垂直型 包含了面面垂直 一般情况下,俩面是特殊三角形。垂面型,隐藏很深的线面垂直型,可以对两平面都用正弦定理来定球心。 1.已知三棱锥 中,平面 平面 ,且 和 都是边长为2的等边三角形,则该 三棱锥的外接球表面积为( ) A. B. C. D. 【答案】D【详解】如图, 由已知可得, 与 均为等边三角形,取 中点 ,连接 , ,则 , ∵平面 平面 ,则 平面 ,分别取 与 的外心 ,过 分别作两面的 垂线,相交于 ,则 为三棱锥 的外接球的球心,由 与 均为边长为 的等边三角形, 可得 , , ,∴三棱锥A−BCD的外接球的表面积为 .故选:D. 2.在四面体 中,三角形 为等边三角形,边长为 , , , ,则四面体 外接球表面积为( ) A. B. C. D. 【答案】D 【详解】 如图所示,取 的中点为 ,取 中点为点 ,连接 .因为 ,且点 为 的中点, 则 , 又 , , ,则 ,因为 // ,所以 , 所以 平面 ,则 , 又因为 , 中点为点 ,则 ,所以 平面 ,所以球心位于 上. 设球心位点 ,半径为 ,则 ,由勾股定理得: ,则 ,解得 ,故外接球的表面积为 .故选:D. 3.(2023·全国·浮梁县第一中学校联考模拟预测)《九章算术》卷五《商功》中描述几何体“阳马”为 “底面为矩形,一棱垂直于底面的四棱锥”,现有阳马 (如图), 平面 ,点E,F分别在 上,当空间四边形 的周长最小时,三棱锥 外接球的表面积为( ) A. B. C. D. 【答案】B 【详解】如图所示,把 剪开,使得 与矩形 在同一个平面内. 延长 到M,使得 ,则四点P,E,F,M在同一条直线上时, 取得最小值,即空 间四边形 的周长取得最小值.可得 ,∴ .∴点E为 的中点. 如图所示,设 的外心为 ,外接圆的半径为r,易得 , 则 . 设三棱锥 外接球的半径为R,球心为O,连接 ,则 , 则 .∴三棱锥 外接球的表面积 .故选:B. 1.(2023·四川成都·四川省成都市玉林中学校考模拟预测)在菱形 中, , ,将 绕对角线 所在直线旋转至 ,使得 ,则三棱锥 的外接球的表面积为( ) A. B. C. D. 【答案】B 【详解】如图,取 的中点 ,连接 , 在菱形 中, ,则 都是等边三角形, 则 , 因为平面 平面 , 所以 即为二面角 的平面角, 因为 ,所以 ,即 , 所以平面 平面 , 如图,设点 为 的外接圆的圆心,则 在 上,且 , 设点 为三棱锥 的外接球的球心,则 平面 外接球的半径为 ,设 , 则 ,解得 , 所以 , 所以三棱锥 的外接球的表面积为 .故选:B. 2.(2023·西藏拉萨·统考一模)已知 的斜边 , ,现将 绕 边旋转到 的位置,使 ,则所得四面体 外接球的表面积为_____. 【答案】 【详解】如图, , , , , , , 等腰直角三角形 斜边CD的中点M为 外接圆的圆心, 连接BM,过M作平面BCD的垂线,过AB的中点N作BM的平行线, 两直线的交点O即为四面体 外接球的球心. 连接OB,易知 , , 所以四面体 外接球的半径 , 所以四面体 外接球的表面积 . 故答案为: .3.(2023·全国·模拟预测)如图,在直三棱柱 中, .设D为 的中点,三棱 锥 的体积为 ,平面 平面 ,则三棱柱 外接球的表面积为______. 【答案】 【详解】取 的中点E,连接AE,如图. 因为 ,所以 . 又面 面 ,面 面 ,且 面 , 所以 面 , 面 ,所以 . 在直三棱柱 中, 面ABC, 面ABC,所以 . 又AE, 面 ,且AE, 相交,所以 面 , 面 ,所以 . 设 ,则 ,解得 , 所以 . 所以三棱柱 外接球的表面积 . 故答案为: 【题型五】 任意二面角定球心 1.等边或者直角:(1)等边三角形中心(外心)做面垂线,必过球心; 2.直角三角形斜边中点(外心)做面垂线,必过球心; 3.许多情况下,会和二面角结合。 1.如图,二面角 的平面角的大小为 , , , , ,则四面体 的外接球表面积为________. 【答案】 【详解】 在 中, , ,所以 , 设 的外接圆的半径为 ,则 ,所以 , 在 中, , , ,所以 , 设 的外接圆的半径为 ,则 ,所以 , 又作 ,所以 为二面角 的平面角,即 , 所以 , ,所以, 设四面体 的外接球的球心为 ,球半径为 ,则 , 所以 ,所以四面体 的外接球表面积为 , 故答案为: . 2. 在三棱锥 中, ,二面角 的余弦值为 ,当三棱锥 的 体积的最大值为 时,其外接球的表面积为 A. B. C. D. 【答案】B 【详解】如图,设球心 在平面 内的射影为 ,在平面 内的射影为 , 则二面角 的平面角为 , 点 在截面圆 上运动,点 在截面圆 上运动, 由图知,当 , 时,三棱锥 的体积最大,此时 与 是等边三角形, 设 ,则 , , , , 解得 ,所以 , , ,设 ,则 , 解得 ,∴ ,球 的半径 ,所求外接球的表面积为 ,故选B. 3..在三棱锥 中, ,则三棱锥 的外接球的表面积 为( ) A. B. C. D. 【答案】D 【详解】取 中点 ,连接 ,如图, 因为 ,所以 , 所以在 中, , , , 所以 , 设 外接圆圆心为 ,半径为 ,则 ,即 ; 同理可得: , 的外接圆半径也为2, 因为 ,所以 是等边三角形, 则 ,即二面角 为 , 球心 在平面 上,过平面 的截面如图所示,则 , 所以在 中, , 所以 ,即 , 所以外接球的表面积 . 故选:D.1.(2023·广东汕头·金山中学校考模拟预测)已知四边形ABCD为平行四边形, , , ,现将 沿直线BD翻折,得到三棱锥 ,若 ,则三棱锥 的内 切球与外接球表面积的比值为_________. 【答案】 【详解】在 中, , 故 ,即 , 则折成的三棱锥 中, , , , 即此三棱锥的对棱相等,故此三棱锥的三组对棱是一个长方体的六个面的对角线, 设长方体从同一个顶点出发的三条棱长分别为a,b,c 则 ,解得 , 此长方体的外接球是三棱锥 的外接球, 设外接球的直径 ,即 ,又因为三棱锥 是长方体切掉四个角, 故三棱锥 , 三棱锥 四个侧面是全等的, , 设内切球半径为 ,以内切球球心为顶点,把三棱锥分割为以球心为顶点,四个面为底面的的四个小三棱 锥,四个小三棱锥体积等于大三棱锥的体积, 故 , 则三棱锥 的内切球与外接球表面积的比值为 . 故答案为: . 2.(2023·浙江台州·统考二模)三棱锥 中, 平面 , , ,点 在三棱锥 外接球的球面上,且 ,则 的最小值为___________. 【答案】 / 【详解】如图所示: 分别取 、 的中点 、 ,连接 、 ,则 , 由题意知 平面 ,所以 , . 因为 ,所以 ,即 、 、 两两垂直.以 为坐标原点建立如图空间直角坐标系,则 , , , , . , 斜边 ,易知 为三棱锥 外接球球心,且半径 . 设点 ,则 . , 由题意 , 得 ,可设 . 故答案为: . 3.已知菱形 边长为3, , 为对角线 上一点, .将 沿 翻折到 的位置, 记为 且二面角 的大小为120°,则三棱锥 的外接球的半径为 ______;过 作平面 与该外接球相交,所得截面面积的最小值为______.【答案】 【详解】 因为 且四边形 为菱形,所以 均为等边三角形, 取 的重心为 ,过 作平面 、平面 的垂线,且垂线交于一点 , 此时 即为三棱锥 的外接球球心,如下图所示: 记 ,连接 ,因为二面角 的大小为 , 且 ,所以二面角 的平面角为 , 因为 ,所以 ,所以 , 又因为 ,所以 ,所以 , 所以 ,又 ,所以 , 所以三棱锥 的外接球的半径为 ; 当截面面积取最小值时,此时 截面,又因为截面是个圆,设圆的半径为 ,外接球的半径为 , 又因为 且 ,所以 , 所以 ,所以此时截面面积为 .故答案为: ; . 【题型六】内切球 椎体的内切球,多采用体积分割法求解。可做如下对比理解 一、三角形内切圆二、类比:三棱锥 1. 在四棱锥 中, ,且 , , 若该四棱锥存在半径为1的内切球,则 _______. 【答案】 ## 【详解】如图, ,且 ,可以在四棱锥上截取一个正四棱锥 , 此时四边形 为正方形,且边长为 , , , , 设 , ,且 , , ,O为BD中点, , , 又 , 平面 , , , , 又因为四棱锥 存在半径为1的内切球, , 即 , 即 , ,解得 , 因为四棱锥 存在半径为1的内切球,直径为2, , 而 ,故 , 故答案为:2.有一个棱长为6的正四面体,其中有一半径为 的球自由运动,正四面体内未被球扫过的体积为 【答案】 【详解】 如图设正四面体 ,当球运动到与平面 、平面 、平面 相切时,可得此时球无法继续 向上运动, 设切点分别为 ,则此时球面与正四面体顶点 之间的部分球无法扫过,同理可得正四面体顶点 均有相同的空间未被球扫过, 作与平面 平行且与此时球相切的平面 ,易得棱锥 为正四面体,设棱长为 ,作 平面 于 ,则 经过球心 ,易得 ,则 , 则正四面体 的体积 ,表面积 , 设球半径为 ,则 ,即 ,解得 ,作 ,易得 为 中 点,则 , 设4个顶点处未被球扫过空间的体积为 ,球的体积为 ,可得 ; 当球沿着 方向运动且始终与二面角 相切时,设球与平面 、平面 的切点始终为 , 过 的大圆与 交于 ,由垂径定理知 ,又 ,易得 ,则 即为二面角 的平面角, 易得未被球扫过的部分为柱体,且柱体的底面为扇形 与四边形 之间的部分,设 中点为 , 连接 , 易得 ,则 即为二面角 的平面角,又 , 由余弦定理得 ,则 ,则 , 则 , ,则 ,设扇形 与四边形 之间部分面 积为 , 扇形 面积为 , ,则 , 由上知 ,又 ,则柱体的高为 ,正四面体 的六条棱未被球扫过空间均为相 同的柱体, 设这部分体积为 ,则 ,则正四面体内未被球扫过的体积为 . 故答案为: . 3.已知一圆锥底面圆的直径为3,圆锥的高为 ,在该圆锥内放置一个棱长为 的正四面体,并且正四 面体在该几何体内可以任意转动,则 的最大值为( ) A.3 B. C. D. 【答案】B 【详解】依题意,四面体可以在圆锥内任意转动,故该四面体内接于圆锥的内切球 设球心为 ,球的半径为 ,下底面半径为 ,轴截面上球与圆锥母线的切点为 ,圆锥的轴截面如图: 则 ,因为 , 故可得: ; 所以 为等边三角形,故 是 的中心, 连接 ,则 平分 , 所以 ; 所以 ,即 , 即四面体的外接球的半径为 . 另正四面体可以从正方体中截得,如图: 从图中可以得到,当正四面体的棱长为 时,截得它的正方体的棱长为 , 而正四面体的四个顶点都在正方体上, 故正四面体的外接球即为截得它的正方体的外接球,所以 ,所以 .即 的最大值为 .故选:B. 1.已知某正方体的体积为64,它的内切球的球面上有四个不同点 , , , ,且 ,则 下列说法正确的是( ) A.若 ,则直线 与 可能异面 B.若 ,则直线 与 可能平行 C.若 ,则平行直线 与 间距离的取值范围是 D.若直线 与 相交,则四边形 面积的取值范围是 【答案】ABD 【详解】因为正方体的体积为64,所以该正方体的边长为 , 则它的内切球的球的半径为 , 因为 , 所以 是以 为半径的截面圆的直径, 对于A,若 ,假如以 为直径的截面圆和以 为直径的截面圆平行时, 则直线 与 异面,故A正确; 对于B,若 ,当 四点在同一个截面圆中时, 如图所示,由对角线 垂直且平分可得四边形 为正方形, 所以 ,故B正确;对于C,若 ,当以 为直径的截面圆和以 为直径的截面圆平行时, 平行直线 与 间距离最大, 此时 在同一个轴截面内,如图所示, 则 ,所以 , 所以平行直线 与 间距离的最大值为 , 又因平行直线 与 间距离大于 , 所以平行直线 与 间距离的取值范围是 ,故C错误; 对于D,直线 与 相交,则 四点在同一个截面圆中,如图所示, 设 交于点 ,设 , 则 ,, 则四边形 面积 , 因为 ,所以 , 所以四边形 面积的取值范围是 ,故D正确. 故选:ABD. 2.下列关于三棱柱 的命题,正确的是( ) A.任意直三棱柱 均有外接球 B.任意直三棱柱 均有内切球 C.若正三棱柱 有一个半径为 的内切球,则该三棱柱的体积为 D.若直三棱柱 的外接球球心在一个侧面上,则该三棱柱的底面是直角三角形 【答案】ACD 【详解】对于A,取连接直三棱柱上、下底面三角形外心的线段的中点 , 则点 到直三棱柱各个顶点的距离均为 ,其中 为底面三角形外接圆半径, 为直三棱柱的高, 点 即为直三棱柱的外接球球心,A正确; 对于B,若直三棱柱有内切球,则其高等于直径,底面内切圆半径等于内切球半径,即底面内切圆半径需为直三棱柱高的一半,不是所有直三棱柱都符合,B错误; 对于C,若正三棱柱的内切球半径为 ,则正三棱柱的高为 ,底面正三角形的高为 , 设正三棱柱底面正三角形的边长为 ,则 ,解得: , 该正三棱柱的体积 ,C正确; 对于D,若外接球球心在直三棱柱的侧面上,则球心为该侧面的中心,其到底面三角形各顶点的距离相等, 球心在底面上的射影到底面三角形三个顶点的距离也相等, 又侧面中心在底面的投影在底面三角形的一条边上, 该投影为底面三角形一条边的中点,且到另一顶点的距离为该边长的一半, 该底面三角形为直角三角形,D正确. 故选:ACD. 3.正四面体ABCD的棱长为3,P在棱AB上,且满足 ,记四面体ABCD的内切球为球 ,四面 体PBCD的外接球为球 ,则 _________. 【答案】 【详解】如图,设点 为 的中心,则 平面 ,连接 ,并延长 交 于点 ,则点 为 的中点, , 则四面体ABCD的内切球的球心 在 上, 且四面体PBCD的外接球的球心 在 上, 设四面体ABCD的内切球的半径为 , , 则 , 又 , 则 ,解得 ,即 ,由四面体PBCD的外接球的球心 在 上,得 , 记 的中点为 ,则 , , ,所以 , 则 ,所以 . 故答案为: . 【题型七】棱切球型最值 1. 已知球 与棱长为4的正方形 的所有棱都相切,点 是球 上一点,点 是 的 外接圆上的一点,则线段 的取值范围是 A. B. C. D. 【答案】C 【详解】因为球与正方体的每条棱都相切,故其直径为面对角线长,所以半径为 ,如图,球心为 正方体的中心,球心与 的外接圆上的点的距离为 ,其长为体对角线的一半,故 ,故,也就是 ,选C. 2.已知正三棱锥 ,球O与三棱锥 的所有棱相切,则球O的表 面积为_________. 【答案】 ## 【详解】取等边△ABC的中心E,连接SE,则SE⊥平面ABC, 连接AE并延长,交BC于点D,则D为BC中点,且AD⊥BC, 在SE上找到棱切球的球心O,连接OD,则OD即为棱切球的半径, 过点O作OF⊥SA于点F,则OF也是棱切球的半径,设 , 因为 ,所以求得 , 由勾股定理得: ,且∠ASE=30°,设OE=h, ,SO=3-h, , 由题意得: ,解得: 或 , 当 时, ,此时球O的表面积为 ; 当棱切球的半径最大时,切点为A,B,C,由于∠ASE=30°, , 可求得最大半径 , 而当 时, , 显然不成立,故 舍去, 综上:球O的表面积为故答案为: 3.点 是棱长为 的正方体 的棱切球上的一点,点 是 的外接圆上的一点,则线 段 的取值范围是(_____) A. B. C. D. 【答案】D 【详解】因为棱长为2的正方体的体对角线为其外接球直径,而面对角线为其棱切球的直径,且正方体的 棱切球与外接球球心重合, 所以正方体外接球和棱切球的半径分别为 和 , 因为 的外接圆是正方体外接球的一个小圆, 点在棱切球上运动, 点在外接球上某个小圆上动, 所以 ,即 . 故选:D. 1.(2023·广东·统考一模)水平桌面上放置了4个半径为2的小球,4个小球的球心构成正方形,且相邻 的两个小球相切.若用一个半球形的容器罩住四个小球,则半球形容器内壁的半径的最小值为( ) A.4 B. C. D.6 【答案】C 【详解】要使半球形容器内壁的半径的最小,只需保证小球与 球各面(含球面部分)都相切,此时,如上图示, 为半球的球心, 为其中一个小球球心,则 是棱长为2的正方体的体对角线,且 该小球与半球球面上的切点与 共线, 所以半球形容器内壁的半径的最小值为小球半径与 长度之和,即 , 故选:C 2.(2023·上海嘉定·统考二模)已知一个棱长为1的正方体,与该正方体每个面都相切的球半径记为 , 与该正方体每条棱都相切的球半径为 ,过该正方体所有顶点的球半径为 ,则下列关系正确的是( ) A. B. C. D. 【答案】C 【详解】与该正方体每个面都相切的球直径为棱长: , 与该正方体每条棱都相切的球直径为一个的面对角线: , 过该正方体所有顶点的球的直径为体对角线: , ,A错误; ,故C正确,B、D错误. 故选:C. 3.(2023春·广东深圳·高一校考期中)水平桌面上放置了3个半径为2的小球,它们两两相切,并均与桌 面相切.若用一个半球形容器(容器厚度忽略不计)罩住三个小球,则半球形容器的半径的最小值是____. 【答案】 【详解】当半球形容器的半径最小,即三个小球与半球球面都相切,且各切点与对应小球球心、半球球心 共线,各小球两两也相切,此时三个小球球心在桌面上投影所成正三角形的中心,即为半球最大圆的圆心(也为球心), 如下图示: 为三个小球球心, 分别为它们在桌面上的投影, 为半球球心, 所以 为边长为 的等边三角形,故 , 而 ,故 , 所以半球最小半径为 . 故答案为: 高考模拟练习 1.(2023·河南商丘·商丘市实验中学校联考模拟预测)已知四棱锥 的底面 是矩形,高为 ,则四棱锥 的外接球的体积为( ) A. B. C. D. 【答案】B 【详解】如图,在矩形 中,连接对角线 ,记 ,则点 为矩形 的外接圆圆 心, 取 的中点 ,连接 ,记 的外接圆圆心为 ,易知 ,且 共线. 因为 , 平面 ,所以 平面 , 所以 平面 , 平面 , , , 平面 , 所以 平面 ,所以 ,所以 ,易得 ,所以由正弦定理得 的外接圆半径为 ,即 . 过 作 平面 ,且 ,连接 ,由 平面 , 可知 ,则四边形 为矩形,所以 ,则 平面 . 根据球的性质,可得点 为四棱锥 的外接球的球心. 因为 ,所以四棱锥 的外接球的体积为 . 故选:B 2.(2023·广东茂名·统考二模)如图所示,正三棱锥 ,底面边长为2,点Р到平面ABC距离为 2,点M在平面PAC内,且点M到平面ABC的距离是点P到平面ABC距离的 ,过点M作一个平面,使 其平行于直线PB和AC,则这个平面与三棱锥表面交线的总长为( ) A. B. C. D. 【答案】B【详解】因为三棱锥 为正三棱锥,所有三角形 为等边三角形并且边长为2,即 . 又因为 为正三棱锥,因此过点P作底面 的垂线于点O,则点O为三角形 的中心. 过B作AC的垂线于H.由三角形 为等边三角形,因此 , 在直角三角形 中, . 又因为 ,在直角三角形 中, ,故 . 因为三棱锥 为正三棱锥,因此 均为等腰三角形. 又M到平面 距离为点P到平面 距离的 ,因此M为 的三等分点(靠近P), 过点M作 交 于 ,交 于 .过点 作 交 于 ,过点 作 交 于 ,连接 . 所以 ,则 四点共面. 因为 , 面 , 面所以 面 . 所以面 即为过点M且平行于直线PB和AC的平面. 利用三角形相似可得: , .这个平面与三棱锥表面交线的总 长为 . 故选:B 3.(2023·山东聊城·统考模拟预测)在三棱锥 中, , , ,二面角 的大小为 .若三棱锥 的所有顶点都在球O的球面上,则当三棱锥 的体积 最大时,球O的体积为( ) A. B. C. D. 【答案】D 【详解】设点P在平面ABC内的射影为H,连接AH, 考虑到二面角P-AB-C的大小为 ,则点H与点C在直线AB的两侧. 因为 平面 , 平面 , 所以 ,又 , , 平面 , 所以 平面 , 平面 , 所以 为二面角 的平面角的补角, 所以 ,又 , 所以 ,从而三棱锥 的高为1. 又 的面积 , 所以当 时, 的面积最大,最大值为 ,所以当 时,三棱锥 的体积最大, 因此点C和点P在图中两全等长方体构成的大长方体的体对角线的顶点上. 以A为坐标原点,建立如图所示的空间直角坐标系Axyz. 因为球O的球心O与 的外接圆的圆心的连线垂直平面 , 为 为斜边的直角三角形,所以其外接圆的圆心为 的中点, 所以球O的球心O在底面ABC内的射影为线段AC的中点, 于是设 .又 , , 由 ,得 , 解得 ,则球O的半径 , 所以球O的体积 . 故选:D. 4.(2023·河南商丘·商丘市实验中学校联考模拟预测)已知四棱锥 的底面ABCD是矩形, , , , .若四棱锥 的外接球的体积为 ,则该球 上的点到平面PAB的距离的最大值为( ) A.6 B.7 C.8 D.9 【答案】C 【详解】如图,在矩形ABCD中,连接对角线AC,BD,记 ,则点F为矩形ABCD的外接圆 圆心,设 ,在 中,由余弦定理得: , 即 , 的外接圆半径为 , 记 的外接圆圆心为G,则 ,取AD的中点E,连接PE,EF, 显然 , , ,且P,E,G共线, 因为 , , ,于是 平面PAD,即 平面PAD, 平面PAD, 有 ,而 平面ABCD,因此 平面ABCD, 过G作 平面PAD,使 ,连接FO, 于是 ,则四边形EFOG为矩形,有 ,则 平面ABCD, 根据球的性质,得点O为四棱锥 外接球的球心, 因为球O的体积为 ,则 ,解得 , 而 ,在 , , 因此 外接圆直径 , 取PB的中点H,连接OH,显然H为 外接圆圆心,则 平面PAB,且 , 所以四棱锥 的外接球上的点到平面PAB的距离的最大值为8. 故选:C 5.(2023·四川达州·统考二模)在中国唐、宋时期的单檐建筑中存在较多的2:1的比例关系,常用的A4 纸的长宽比无限接近 .把长宽比为 的矩形称做和美矩形.如图, 是长方体,, , , , , 分别是棱 , , , 的中点.把图中所有的矩形按是 否为和美矩形分成两类,再用分层抽样的方法在这两类矩形中共抽取5个,抽得的矩形中和美矩形的个数 是( ) A.4 B.3 C.2 D.1 【答案】B 【详解】由题意可知, , , , 能够称为和美矩形的有 , 共9个; 不能称为为和美矩形的有 共6个; 所以用分层抽样的方法在这两类矩形中共抽取5个,抽得的矩形中和美矩形的个数是 个. 故选:B. 6.(2023·广西柳州·柳州高级中学校联考模拟预测)在三棱锥P-ABC中, , ,且 , , , ,则此三棱锥外接球的体积为( ) A. B. C. D. 【答案】B【详解】如图1, 因为 , , , 所以 . 又 , , 所以在 中,有 , 所以, ,即 . 又 , 平面 , 平面 , , 所以 平面 . 则该三棱锥可以看作是长方体的一部分,如图2 其中, , , , 则 , 所以此三棱锥外接球的半径为 , 所以,此三棱锥外接球的体积为 . 故选:B. 7.(2023·四川达州·统考二模)三棱锥 的所有顶点都在球O的表面上,平面 平面BCD,, , ,则球O的体积为( ) A. B. C. D. 【答案】A 【详解】解:如图所示: 取BD的中点O, 因为 则 是直角三角形, 因为 。 所以 是直角三角形, 所以 和 的外接圆的圆心都是 , 又因为平面 平面BCD, 所以O为外接球的球心, 因为 , , 所以外接球的半径为 , 所以外接球的体积为 , 故选:A 8.(2023·浙江·统考二模)已知正方形 中, , 是平面 外一点.设直线 与平面 所成角为 ,设三棱锥 的体积为 ,则下列命题正确的是( ) A.若 ,则 的最大值是 B.若 ,则 的最大值是C.若 ,则 的最大值是 D.若 ,则 的最大值是 【答案】AC 【详解】由题意知,点P为动点,A、C为定点, , 由椭圆的定义知,点P的轨迹是以 为焦距,长轴为 的椭圆, 将此椭圆绕AC旋转一周,得到一个椭球,即点P的轨迹是一个椭球, 而椭球面为一个椭圆,由 , 即 ,得 , 当点P运动到椭球的上、下顶点时, 取到最大值, 此时 ; 设点P在平面ABCD上的射影为Q,则 , 又 ,且 , 所以当且仅当 时 最大,即 取到最大值 ; 当 时,由 ,得 , 则点P的轨迹是以AD为直径的球,设AD的中点为O,则O为球心, 当 即 时, 取到最大值,此时 ; 当直线BP与球相切于点P即 时, 取到最大值, 此时 ,则 . 故选:AC. 9.(2023·浙江·统考二模)某学校课外社团活动课上,数学兴趣小组进行了一次有趣的数学实验操作,课 题名称“不用尺规等工具,探究水面高度”.如图甲, 是一个水平放置的装有一定量水的四棱锥 密闭容器(容器材料厚度不计),底面 为平行四边形,设棱锥高为 ,体积为 ,现将容器以棱 为轴向左侧倾斜,如图乙,这时水面恰好经过 ,其中 分别为棱 的中点,则( ) A.水的体积为 B.水的体积为 C.图甲中的水面高度为D.图甲中的水面高度为 【答案】AC 【详解】如图将四棱锥补成平行六面体,设平行四面体的体积为 , 根据 分别为棱 的中点, 则 ,而三棱柱 与平行六面体的高相同, 则 , 根据四棱锥 与平行六面体底和高均相同,则 ,则 易知 , 则 ,故A正确,B错误, 图甲中上方的小四棱锥高为 ,则 ,则 ,故图甲中的水面高度为 ,故C正确,D错误; 故选:AC. 10.(2023·吉林通化·梅河口市第五中学校考模拟预测)在三棱锥 中,平面 平面 , 是等边三角形且 ,三棱锥 的四个顶点都在球 的球面上,若球 的体积为 ,则三棱锥 体积的最大值为______. 【答案】 【详解】设球的 ,因为球 的体积为 ,所以 ,得到 如图,设 的外接圆的圆心为 ,外接圆的半径为 ,球心为 ,又因为 是等边三角形且 , 由正弦定理知, ,所以 ,因为平面 平面 ,由面面垂直的性质知,点 在底面上的投影在 上, 因为三棱锥 的四个顶点都在球 的球面上,要使三棱锥 体积取到最大值,则点 在底面 上的投影为 的中点, 连接 并延长交 于 ,连 ,因为 为等边三角形,所以 为 的中点,即有 面 , 又易知 平面 ,所以 , 易知 ,又平面 平面 ,平面 平面 , 平面 ,所以 平面 , 过 作 面 于 ,由球的截面圆的性质知,点 在 上,所以 所以四边形 为矩形,故 , 在等边三角形 中, ,所以 , 所以 , 故 所以三棱锥 体积的最大值为 , 故答案为: .