当前位置:首页>文档>第33节圆锥曲线中的最值范围问题探究性问题(解析版)_2.2025数学总复习_赠品通用版(老高考)复习资料_一轮复习_备战2023年高考数学一轮复习考点帮(全国通用)

第33节圆锥曲线中的最值范围问题探究性问题(解析版)_2.2025数学总复习_赠品通用版(老高考)复习资料_一轮复习_备战2023年高考数学一轮复习考点帮(全国通用)

  • 2026-03-27 07:08:59 2026-03-25 15:41:07

文档预览

第33节圆锥曲线中的最值范围问题探究性问题(解析版)_2.2025数学总复习_赠品通用版(老高考)复习资料_一轮复习_备战2023年高考数学一轮复习考点帮(全国通用)
第33节圆锥曲线中的最值范围问题探究性问题(解析版)_2.2025数学总复习_赠品通用版(老高考)复习资料_一轮复习_备战2023年高考数学一轮复习考点帮(全国通用)
第33节圆锥曲线中的最值范围问题探究性问题(解析版)_2.2025数学总复习_赠品通用版(老高考)复习资料_一轮复习_备战2023年高考数学一轮复习考点帮(全国通用)
第33节圆锥曲线中的最值范围问题探究性问题(解析版)_2.2025数学总复习_赠品通用版(老高考)复习资料_一轮复习_备战2023年高考数学一轮复习考点帮(全国通用)
第33节圆锥曲线中的最值范围问题探究性问题(解析版)_2.2025数学总复习_赠品通用版(老高考)复习资料_一轮复习_备战2023年高考数学一轮复习考点帮(全国通用)
第33节圆锥曲线中的最值范围问题探究性问题(解析版)_2.2025数学总复习_赠品通用版(老高考)复习资料_一轮复习_备战2023年高考数学一轮复习考点帮(全国通用)
第33节圆锥曲线中的最值范围问题探究性问题(解析版)_2.2025数学总复习_赠品通用版(老高考)复习资料_一轮复习_备战2023年高考数学一轮复习考点帮(全国通用)
第33节圆锥曲线中的最值范围问题探究性问题(解析版)_2.2025数学总复习_赠品通用版(老高考)复习资料_一轮复习_备战2023年高考数学一轮复习考点帮(全国通用)
第33节圆锥曲线中的最值范围问题探究性问题(解析版)_2.2025数学总复习_赠品通用版(老高考)复习资料_一轮复习_备战2023年高考数学一轮复习考点帮(全国通用)
第33节圆锥曲线中的最值范围问题探究性问题(解析版)_2.2025数学总复习_赠品通用版(老高考)复习资料_一轮复习_备战2023年高考数学一轮复习考点帮(全国通用)
第33节圆锥曲线中的最值范围问题探究性问题(解析版)_2.2025数学总复习_赠品通用版(老高考)复习资料_一轮复习_备战2023年高考数学一轮复习考点帮(全国通用)
第33节圆锥曲线中的最值范围问题探究性问题(解析版)_2.2025数学总复习_赠品通用版(老高考)复习资料_一轮复习_备战2023年高考数学一轮复习考点帮(全国通用)
第33节圆锥曲线中的最值范围问题探究性问题(解析版)_2.2025数学总复习_赠品通用版(老高考)复习资料_一轮复习_备战2023年高考数学一轮复习考点帮(全国通用)
第33节圆锥曲线中的最值范围问题探究性问题(解析版)_2.2025数学总复习_赠品通用版(老高考)复习资料_一轮复习_备战2023年高考数学一轮复习考点帮(全国通用)
第33节圆锥曲线中的最值范围问题探究性问题(解析版)_2.2025数学总复习_赠品通用版(老高考)复习资料_一轮复习_备战2023年高考数学一轮复习考点帮(全国通用)
第33节圆锥曲线中的最值范围问题探究性问题(解析版)_2.2025数学总复习_赠品通用版(老高考)复习资料_一轮复习_备战2023年高考数学一轮复习考点帮(全国通用)
第33节圆锥曲线中的最值范围问题探究性问题(解析版)_2.2025数学总复习_赠品通用版(老高考)复习资料_一轮复习_备战2023年高考数学一轮复习考点帮(全国通用)
第33节圆锥曲线中的最值范围问题探究性问题(解析版)_2.2025数学总复习_赠品通用版(老高考)复习资料_一轮复习_备战2023年高考数学一轮复习考点帮(全国通用)
第33节圆锥曲线中的最值范围问题探究性问题(解析版)_2.2025数学总复习_赠品通用版(老高考)复习资料_一轮复习_备战2023年高考数学一轮复习考点帮(全国通用)
第33节圆锥曲线中的最值范围问题探究性问题(解析版)_2.2025数学总复习_赠品通用版(老高考)复习资料_一轮复习_备战2023年高考数学一轮复习考点帮(全国通用)
第33节圆锥曲线中的最值范围问题探究性问题(解析版)_2.2025数学总复习_赠品通用版(老高考)复习资料_一轮复习_备战2023年高考数学一轮复习考点帮(全国通用)
第33节圆锥曲线中的最值范围问题探究性问题(解析版)_2.2025数学总复习_赠品通用版(老高考)复习资料_一轮复习_备战2023年高考数学一轮复习考点帮(全国通用)
第33节圆锥曲线中的最值范围问题探究性问题(解析版)_2.2025数学总复习_赠品通用版(老高考)复习资料_一轮复习_备战2023年高考数学一轮复习考点帮(全国通用)
第33节圆锥曲线中的最值范围问题探究性问题(解析版)_2.2025数学总复习_赠品通用版(老高考)复习资料_一轮复习_备战2023年高考数学一轮复习考点帮(全国通用)
第33节圆锥曲线中的最值范围问题探究性问题(解析版)_2.2025数学总复习_赠品通用版(老高考)复习资料_一轮复习_备战2023年高考数学一轮复习考点帮(全国通用)

文档信息

文档格式
docx
文档大小
0.973 MB
文档页数
25 页
上传时间
2026-03-25 15:41:07

文档内容

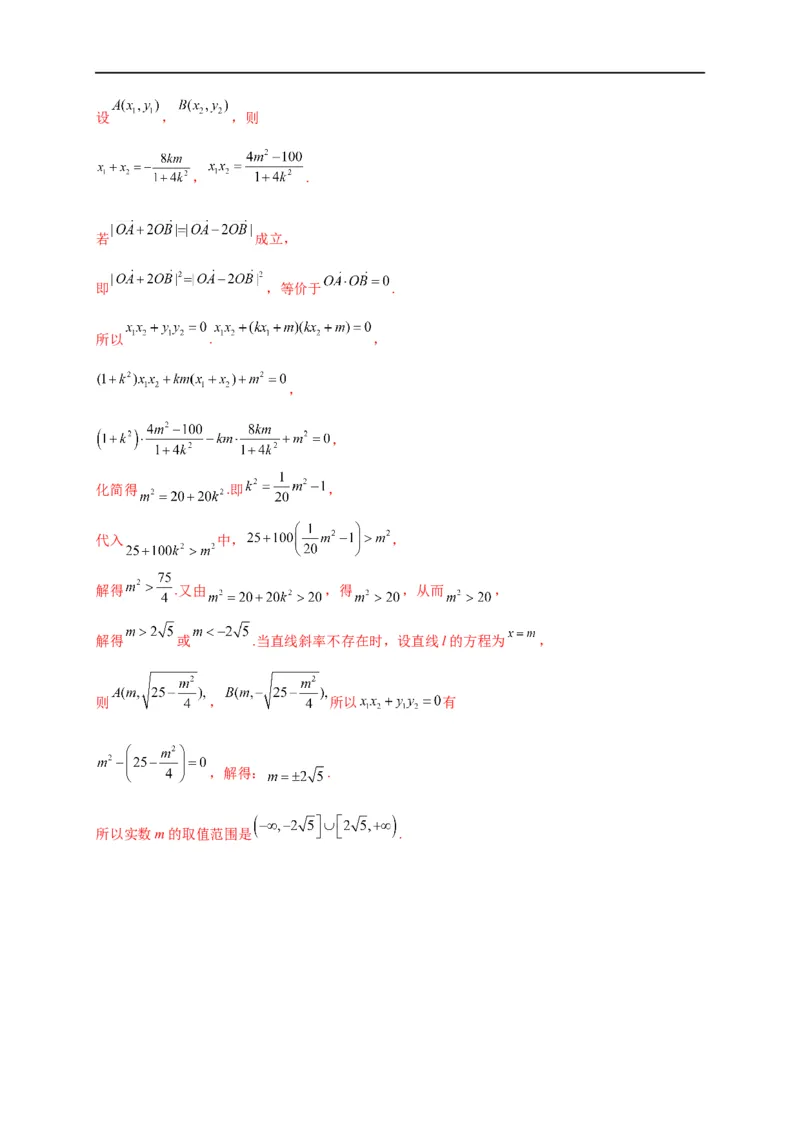
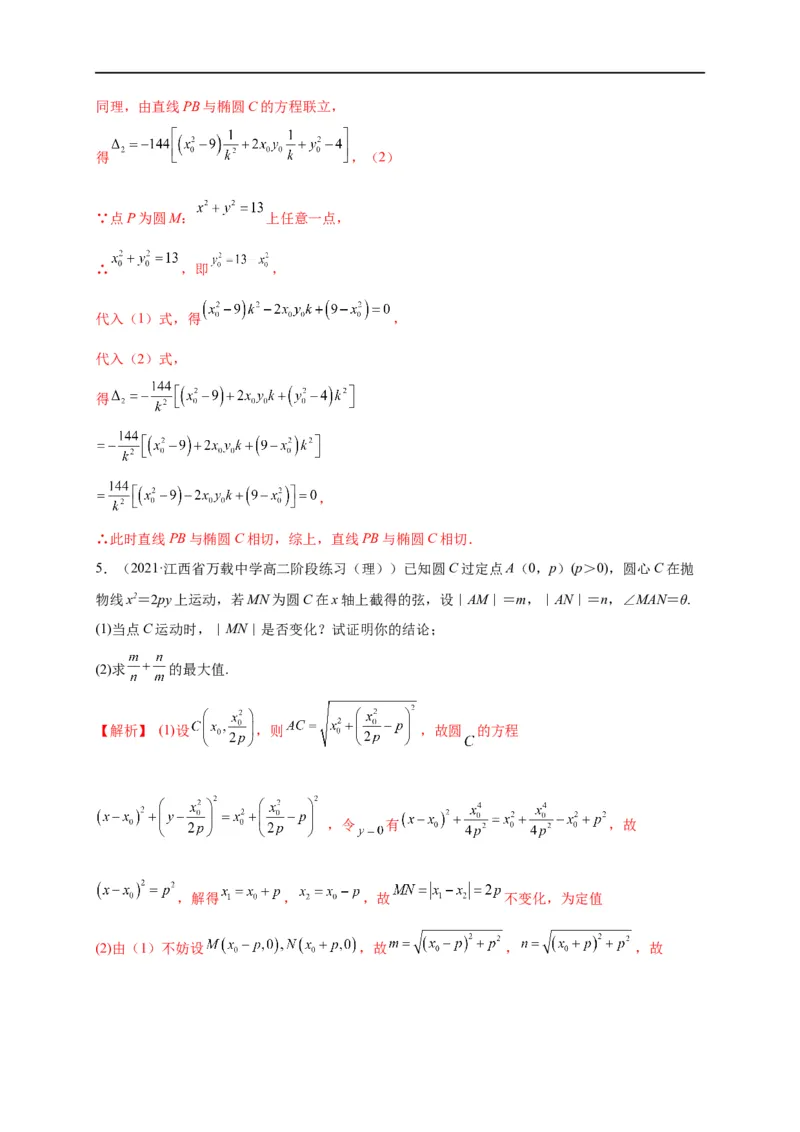
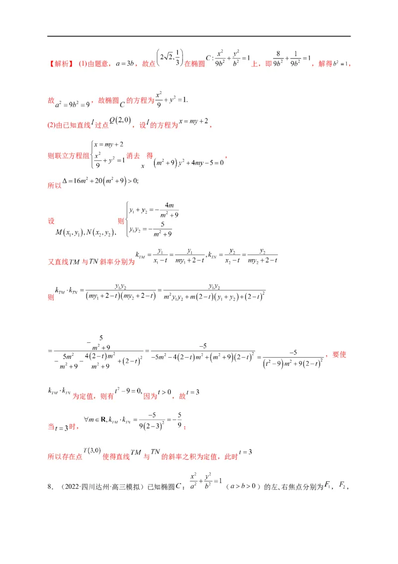
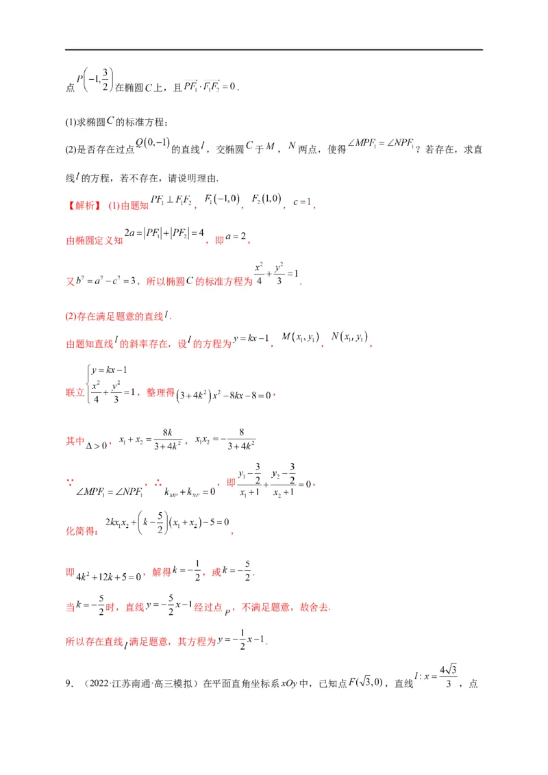
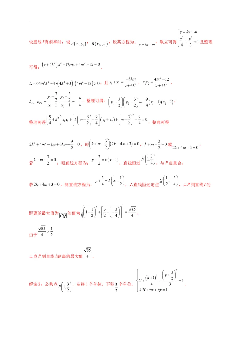
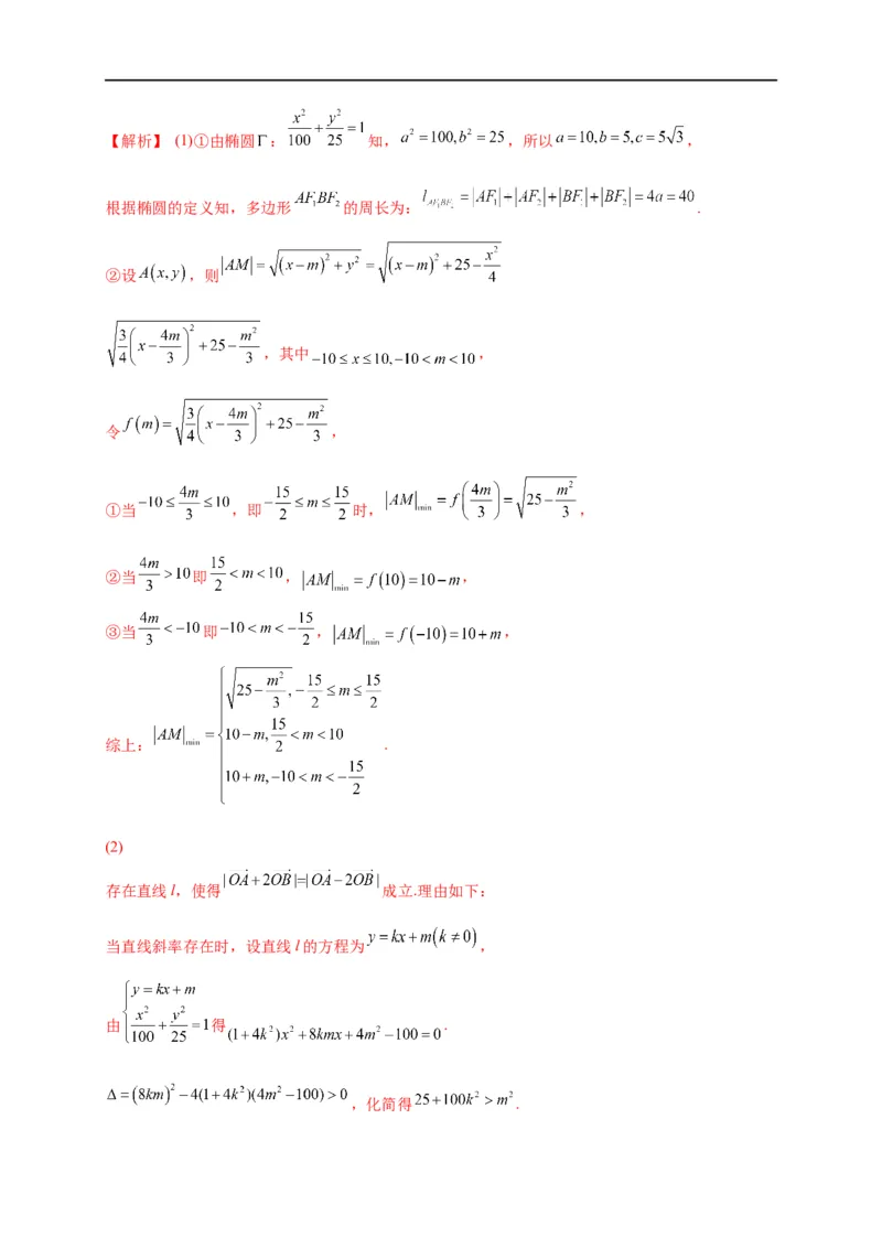
第 33 节 圆锥曲线中的范围最值问题及探究性问题 基本技能要落实 考点一 最值问题 【例1】(2021·齐齐哈尔一模)已知椭圆Γ:+=1(a>b>0)的左、右焦点分别为F ,F .短 1 2 轴的两个顶点与F ,F 构成面积为2的正方形, 1 2 (1)求Γ的方程; (2)如图所示,过右焦点 F 的直线交椭圆 Γ于A,B两点,连接 AO并延长,交 Γ于点 2 C,求△ABC面积的最大值. 【解析】(1)因为椭圆C的短轴的两个顶点与F ,F 构成面积为2的正方形, 1 2 所以b=c,S =a2=2,则a=,b=c=1, 正 故椭圆Γ的方程为+y2=1. (2)①当直线AB的斜率存在时,设直线AB的方程为y=k(x-1), 联立消去y整理得(1+2k2)x2-4k2x+2k2-2=0, 设A(x ,y ),B(x ,y ), 1 1 2 2 则x +x =,x x =, 1 2 1 2 所以|AB|=· =·=, 点O到直线kx-y-k=0的距离d=, 因为O是线段AC的中点,所以点C到直线AB的距离为2d=, 所以△ABC面积S=·|AB|·2d =××=2· =2·<, ②当直线AB的斜率不存在时,不妨取A,B,C, 故△ABC面积S=×2×=, 综上,△ABC面积的最大值为. 【方法技巧】圆锥曲线中的最值问题类型较多,解法灵活多变,但总体上主要有两种方法:一是几 何方法,即通过利用圆锥曲线的定义、几何性质以及平面几何中的定理、性质等进行 求解;二是代数方法,即把要求最值的几何量或代数表达式表示为某个(些)变量的函数 (解析式),然后利用函数方法、不等式方法等进行求解. 【跟踪训练】 1.(2020·浙江卷)如图,已知椭圆C :+y2=1,抛物线C :y2=2px(p>0),点A是椭圆 1 2 C 与抛物线C 的交点,过点A的直线l交椭圆C 于点B,交抛物线C 于点M(B,M不 1 2 1 2 同于A). (1)若p=,求抛物线C 的焦点坐标; 2 (2)若存在不过原点的直线l使M为线段AB的中点,求p的最大值. 【解析】(1)由p=,得抛物线C 的焦点坐标是. 2 (2)由题意可设直线l:x=my+t(m≠0,t≠0),点A(x ,y ). 0 0 将直线l的方程代入椭圆C :+y2=1,得 1 (m2+2)y2+2mty+t2-2=0, 所以点M的纵坐标y =-. M 将直线l的方程代入抛物线C :y2=2px,得y2-2pmy-2pt=0, 2 所以y y =-2pt,解得y =, 0 M 0 因此x =. 0 由+y=1,得=4+2≥160, 当且仅当m=,t=时,p取到最大值. 考点二 范围问题 【例2】已知椭圆C :+=1(a>b>0)的左、右顶点分别是双曲线C :-y2=1的左、右 1 2 焦点,且C 与C 相交于点. 1 2 (1)求椭圆C 的标准方程; 1 (2)设直线l:y=kx-与椭圆C 交于A,B两点,以线段AB为直径的圆是否恒过定点? 1 若恒过定点,求出该定点;若不恒过定点,请说明理由. 【解析】(1)将代入-y2=1,解得m2=1,∴a2=m2+1=2, 将代入+=1,解得b2=1, ∴椭圆C 的标准方程为+y2=1. 1 (2)设A(x ,y ),B(x ,y ), 1 1 2 2 由整理得(9+18k2)x2-12kx-16=0, ∴x +x =,x x =, 1 2 1 2 Δ=144k2+64(9+18k2)>0. 由对称性可知,以AB为直径的圆若恒过定点,则定点必在y轴上. 设定点为M(0,y ),则 0 MA=(x ,y -y ),MB=(x ,y -y ), 1 1 0 2 2 0 MA·MB=x x +(y -y )(y -y ) 1 2 1 0 2 0 =x x +y y -y (y +y )+y 1 2 1 2 0 1 2 =x x +k2x x -(x +x )-y++y 1 2 1 2 1 2 0 =(1+k2)x x -k(x +x )+y+y + 1 2 1 2 0 ==0, ∴解得y =1, 0 ∴M(0,1), ∴以线段AB为直径的圆恒过定点(0,1). 【方法技巧】 解决圆锥曲线中的取值范围问题应考虑的五个方面 (1)利用圆锥曲线的几何性质或判别式构造不等关系,从而确定参数的取值范围; (2)利用已知参数的范围,求新参数的范围,解这类问题的核心是建立两个参数之间的 等量关系; (3)利用隐含的不等关系建立不等式,从而求出参数的取值范围; (4)利用已知的不等关系构造不等式,从而求出参数的取值范围; (5)利用求函数的值域的方法将待求量表示为其他变量的函数,求其值域,从而确定参 数的取值范围. 【跟踪训练】 1.(2022·齐鲁名校联合测试)已知椭圆E:+=1(a>b>0)的焦距为2,左、右焦点分别为 F ,F ,过点F 的直线l(不与x轴重合)交椭圆于A,B两点. 1 2 1(1)若点A恰好为椭圆的上顶点,且|AB|=|F B|,求椭圆E的标准方程; 1 (2)若点A关于点F 的对称点为点C,且点C恰好在椭圆上,求点B的横坐标的取值范 2 围. 【解析】(1)由题意得,F (-1,0),A(0,b),设B(x ,y ), 1 0 0 由|AB|=|F B|可得AF1=F1B,于是得(-1,-b)=(x +1,y ), 1 0 0 所以得 因为点B在椭圆上,所以+=1, 得a2=5,所以b2=5-1=4, 故椭圆E的标准方程为+=1. (2)由题意及椭圆的对称性,得AC为椭圆的通径. 不妨设点A(1,y )(y >0),点B(x ,y ), 1 1 B B 将点A的坐标代入+=1,得+=1,得y =, 1 于是直线l的斜率为=, 直线l的方程为y=(x+1). 联立方程消去y,整理得 (a2+3)x2+2(a2-1)x-3a2-1=0, 由根与系数的关系,得1·x =-, B 于是,x =-. B 设a2=t(t>1),则x =-=-3+, B 令f(t)=-3+, 则f(t)在(1,+∞)上单调递减,所以当t>1时,x =-3+的取值范围为(-3,-1), B 即点B的横坐标的取值范围是(-3,-1). 考点三 探究性问题 【例3】(2022·郑州模拟)已知圆C:(x-a)2+(y-b)2=的圆心C在抛物线x2=2py(p>0) 上,圆C过原点且与抛物线的准线相切. (1)求该抛物线的方程. (2)过抛物线焦点F的直线l交抛物线于A,B两点,分别在点A,B处作抛物线的切线, 两条切线交于P点,则△PAB的面积是否存在最小值?若存在,求出这个最小值及此 时对应的直线l的方程;若不存在,请说明理由. 【解析】(1)由已知可得圆心C(a,b),半径r=,焦点F,准线方程为y=-.因为圆C与抛物线的准线相切, 所以b=-,且圆C过焦点F. 又圆C过原点,所以圆心C必在线段OF的垂直平分线上,即b=. 所以b=-=,求得p=2. 于是抛物线的方程为x2=4y. (2)由抛物线方程x2=4y知,F(0,1). 易知直线l的斜率存在,则设直线l的方程为y=kx+1. 由消去y并整理,得x2-4kx-4=0, Δ=(-4k)2-4×(-4)=16k2+16>0, 设A(x ,y ),B(x ,y ),则x +x =4k,x x =-4. 1 1 2 2 1 2 1 2 对y=求导,得y′=,即直线AP的斜率k =,则直线AP的方程为y-y =(x-x ),即 AP 1 1 y=x-x. 同理可得直线BP的方程为y=x-x.设P(x ,y ), 0 0 联立直线AP与BP的方程,可得 即P(2k,-1). |AB|=|x -x | 1 2 =· =·=4(1+k2), 点P到直线AB的距离d==2, 所以△PAB的面积S=×4(1+k2)×2=4(1+k2)≥4, 当且仅当k=0时等号成立. 故△PAB面积的最小值为4,此时直线l的方程为y=1. 【方法技巧】 此类问题一般分为探究条件、探究结论两种.若探究条件,则可先假设条件成立,再验 证结论是否成立,成立则存在,否则不存在;若探究结论,则应先求出结论的表达式, 再针对其表达式进行讨论,往往涉及对参数的讨论. 【跟踪训练】 1.(2022·西安模拟)设中心在原点,焦点在x轴上的椭圆E过点,且离心率为,F为E的 右焦点,P为E上一点,PF⊥x轴,圆F的半径为PF. (1)求椭圆E和圆F的方程;(2)若直线l:y=k(x-)(k>0)与圆F交于A,B两点,与椭圆E交于C,D两点,其中 A,C在第一象限,是否存在k使|AC|=|BD|?若存在,求l的方程;若不存在,说明理 由. 【解析】(1)由题意可设椭圆的标准方程为+=1(a>b>0), ∵椭圆的离心率e=,∴=, ∵a2=b2+c2,∴a=2b, 将点代入椭圆的方程得+=1, 联立a=2b,解得a=2且b=1. ∴椭圆E的方程为+y2=1. ∴F(,0),∵PF⊥x轴,∴P, ∴圆F的半径为,圆心为(,0), ∴圆F的方程为(x-)2+y2=. (2)不存在满足题意的k,理由如下: 由A,B在圆上得|AF|=|BF|=|PF|=. 设点C(x ,y ),D(x ,y ). 1 1 2 2 |CF|==2-x , 1 同理|DF|=2-x . 2 若|AC|=|BD|,则|AC|+|BC|=|BD|+|BC|,即|AB|=|CD|=1,4-(x +x )=1, 1 2 由得(4k2+1)x2-8k2x+12k2-4=0, ∴x +x =,∴4-=1, 1 2 得12k2=12k2+3,无解,故不存在. 考点四 证明问题 【例4】(2022·成都诊断)已知点A(1,-)在椭圆C:+=1(a>b>0)上,O为坐标原点, 直线l:-=1的斜率与直线OA的斜率乘积为-. (1)求椭圆C的方程; (2)不经过点A的直线y=x+t(t≠0且t∈R)与椭圆C交于P,Q两点,P关于原点的对称点为R(与点A不重合),直线AQ,AR与y轴分别交于两点M,N,求证:|AM|=|AN|. 【解析】(1)解 由题意知,k ·k=-·=-=-, OA l 即a2=4b2,① 又+=1,② 所以联立①②,解得, 所以椭圆C的方程为+y2=1. (2)证明 设P(x ,y ),Q(x ,y ),则R(-x ,-y ), 1 1 2 2 1 1 由 得x2+tx+t2-1=0, 所以Δ=4-t2>0,即-2<t<2, 又t≠0,所以t∈(-2,0)∪(0,2), x +x =-t,x ·x =t2-1. 1 2 1 2 法一 要证明|AM|=|AN|,可转化为证明直线AQ,AR的斜率互为相反数, 即证明k +k =0. AQ AR 由题意知,k +k =+ AQ AR = = == =0, 所以|AM|=|AN|. 法二 要证明|AM|=|AN|,可转化为证明直线AQ,AR与y轴的交点M,N连线的中点 S的纵坐标为-,即AS垂直平分MN即可. 直线AQ与AR的方程分别为 l :y+=(x-1),l :y+=(x-1), AQ AR 分别令x=0,得y =-,y =-, M N 所以y +y =+- M N =- =- =-=-, y ==-,即AS垂直平分MN. S 所以|AM|=|AN|. 【方法技巧】 圆锥曲线中的证明问题常见的有: (1)位置关系方面的:如证明直线与曲线相切,直线间的平行、垂直,直线过定点等. (2)数量关系方面的:如存在定值、恒成立、相等等. 在熟悉圆锥曲线的定义与性质的前提下,一般采用直接法,通过相关的代数运算证明, 但有时也会用反证法证明. 【跟踪训练】 (2021·景德镇一模)抛物线x2=2py(p>0)的焦点为F,C,D是抛物线上关于y轴对称的 两点,点E是抛物线准线l与y轴的交点,△ECD是面积为4的直角三角形. (1)求抛物线的方程; (2)若A为抛物线上第一象限的一动点,过F作AF的垂线交准线l于点B,求证:直线 AB与抛物线相切. 【解析】(1)解 抛物线x2=2py(p>0)的准线方程为y=-, 不妨设点C位于第一象限, 由题意可得△CDE为等腰直角三角形,可得直线EC的斜率为1,则直线EC的方程为y =x-, 联立解得 所以C,D,E, S =×2p×p=4,解得p=2, ECD 故 △ 抛物线的方程为x2=4y. (2)证明 由(1)得焦点F(0,1),设A(x ,y )(x >0,y >0), 0 0 0 0 则直线AF的斜率为, 故直线BF的方程为y=x+1, 令y=-1,得x=,所以点B, 则直线AB的斜率为==,由y=得y′=,即抛物线在点A处的切线的斜率为,故直线 AB与抛物线相切.达标检测要扎实 一、解答题 1.(2022·全国·高三专题练习)已知椭圆 的离心率为 ,过椭圆C右焦点 并垂直于x轴的直线PM交椭圆C于P,M(点P位于x轴上方)两点,且△OPM(O为坐标原 点)的面积为 . (1)求椭圆C的标准方程; (2)若直线l交椭圆C于A,B(A,B异于点P)两点,且直线PA与PB的斜率之积为 ,求点P 到直线l距离的最大值. 【解析】 (1)由题意可得 ,∴由题意可得 且 ,解得 , , ∴椭圆的方程为: . (2)解法1:由(1)可得 , 当直线 没有斜率时,设方程为: ,则 ,此时 ,化简得: 又 ,解得 或 (舍去),此时P到直线l的距离为设直线l有斜率时,设 , ,设其方程为: ,联立可得 且整理 可得: , ,且 , , ,整理可得: , 整理可得 ,整理可得 ,即 , 或 , 若 ,则直线方程为: ,直线恒过 ,与P点重合, 若 ,则直线方程为: ,∴直线恒过定点 ,∴P到直线l的 距离的最大值为 的值为 , 由于 ∴点P到直线l距离的最大值 . 解法2:公共点 ,左移1个单位,下移 个单位, ,, , ,等式两边同时除以 , , , , , 过 ,右移1个单位,上移 个单位,过 ,∴P到直线l的距离的最 大值为 的值为 , 由于 ∴点P到直线l距离的最大值 . 2.(2022·四川成都·模拟预测(文))平面直角坐标系中,过点 的圆 与直线 相切.圆 心 的轨迹记为曲线 . (1)求曲线 的方程; (2)设 为曲线 上的两点,记 中点为 ,过 作 的垂线交 轴于 . ①求 ; ②当 时,求 的最大值.【解析】 (1)设 ,由题意,则 到 的距离等于 到 的距离,故 的轨迹为抛物线 ; (2)设 ,则 , ① 故 , ,令 ,得 ,故 ,即 , ②由题意 ,即 ,故 . 3.(2022·吉林一中高二阶段练习(理))已知直线l:y=kx和l:y=kx与抛物线y2=2px(p> 1 1 2 2 0)分别相交于A,B两点(异于原点O)与直线l:y=2x+p分别相交于P,Q两点,且 . (1)求线段AB的中点M的轨迹方程; (2)求△POQ面积的最小值. 【解析】 (1)联立 ,解得: , 把 代入 得: ,所以 , 同理可得: , 则线段AB的中点M的坐标为 , 因为 , 所以 , 消去 得: 所以线段AB的中点M的轨迹方程为 (2)设 , 则直线 ,与 联立得: , 则 ,所以 , 同理可得: , 则 , 其中 ,解得: , 设直线 ,与抛物线 联立得: ,则 ,又 ,所以 , 则 , , 所以 , 点O到直线PQ的距离为 , 所以△POQ面积为 , 令 ,则 , 所以 , 当 ,即 时,△POQ面积取得最小值,最小值为 . 4.(2022·全国·高三专题练习)已知椭圆C: 的一个焦点为 ,离心率 为 .点P为圆M: 上任意一点,O为坐标原点. (1)求椭圆C的标准方程; (2)记线段OP与椭圆C交点为Q,求 的取值范围; (3)设直线l经过点P且与椭圆C相切,l与圆M相交于另一点A,点A关于原点O的对称点为B, 试判断直线PB与椭圆C的位置关系,并证明你的结论. 【解析】 (1)由题意可知: , ,则 , ,∴椭圆的标准方程: ; (2)由题意可知: , 设 ,则 , ∴ , 由 ,当 时, ,当 时, , ∴ 的取值范围 ; (3)由题意,点B在圆M上,且线段AB为圆M的直径,∴ , 分3种情况讨论: ①当直线 轴时,易得直线PA的方程为 , 由题意,得直线PB的方程为 , 显然直线PB与椭圆C相切; ②同理当直线 轴时,直线PB也与椭圆C相切; ③当直线PA与x轴既不平行也不垂直时, 设点 ,直线PA的斜率为k,则 ,直线PB的斜率 , ∴直线PA: ,直线PB: , 由 ,消去y, 得 , ∵直线PA与椭圆C相切, ∴ , 整理,得 ,(1)同理,由直线PB与椭圆C的方程联立, 得 ,(2) ∵点P为圆M: 上任意一点, ∴ ,即 , 代入(1)式,得 , 代入(2)式, 得 , ∴此时直线PB与椭圆C相切,综上,直线PB与椭圆C相切. 5.(2021·江西省万载中学高二阶段练习(理))已知圆C过定点A(0,p)(p>0),圆心C在抛 物线x2=2py上运动,若MN为圆C在x轴上截得的弦,设|AM|=m,|AN|=n,∠MAN=θ. (1)当点C运动时,|MN|是否变化?试证明你的结论; (2)求 的最大值. 【解析】 (1)设 ,则 ,故圆 的方程 ,令 有 ,故 ,解得 , ,故 不变化,为定值 (2)由(1)不妨设 ,故 , ,故,当且仅当 ,即 时取 等号.故 的最大值为 6.(2022·安徽省临泉第一中学高二期末)已知椭圆 : 的离心率为 ,椭圆 的右焦点 与抛物线 的焦点重合. (1)求椭圆 的方程. (2)如图,A,B是椭圆的左、右顶点,过点F且斜率不为0的直线交椭圆C于点M,N,直线AM与 直线 交于点P.记PA,PF,BN的斜率分别为 , , ,是否存在实数 ,使得 ? 若存在,求出 的值;若不存在,请说明理由. 【解析】 (1)设椭圆 的焦距为 ,因为椭圆的右焦点 与抛物线 的焦点重合, 所以 . 因为椭圆 的离心率为 ,所以 ,解得 , 所以 ,所以椭圆 的方程为 . (2)设 , ,直线 的方程为 , 与椭圆 联立, 得 , 因为直线MN交椭圆C于M,N两点,所以 , 所以 , , 所以 . 直线 : 与直线 的交点 的坐标为 ,则 . 假设存在满足条件的实数 ,则 , 所以 ,所以 . 7.(2022·河南许昌·高二期末(理))已知椭圆 的长轴是短轴的3倍,左、 右焦点分别为 , ,点 在椭圆上. (1)求椭圆C的方程; (2)若过点 且不与y轴垂直的直线l与椭圆C交于M,N两点,是否在x轴正半轴存在点 ,使得直线TM与TN的斜率之积为定值?若存在,求出t的值;若不存在,请说明理由.【解析】 (1)由题意, ,故点 在椭圆 上,即 ,解得 , 故 ,故椭圆 的方程为 (2)由已知直线 过点 ,设 的方程为 , 则联立方程组 消去 得 , 所以 设 则 又直线 与 斜率分别为 则 ,要使 为定值,则有 因为 ,故 当 时, ; 所以存在点 使得直线 与 的斜率之积为定值,此时 8.(2022·四川达州·高三模拟)已知椭圆 : ( )的左、右焦点分别为 , ,点 在椭圆 上,且 . (1)求椭圆 的标准方程; (2)是否存在过点 的直线 ,交椭圆 于 , 两点,使得 ?若存在,求直 线 的方程,若不存在,请说明理由. 【解析】 (1)由题知 , , , , 由椭圆定义知 ,即 , 又 ,所以椭圆 的标准方程为 . (2)存在满足题意的直线 . 由题知直线 的斜率存在,设 的方程为 , , , 联立 ,整理得 , 其中 , , ∵ ,∴ ,即 , 化简得: , 即 ,解得 ,或 . 当 时,直线 经过点 ,不满足题意,故舍去. 所以存在直线 满足题意,其方程为 . 9.(2022·江苏南通·高三模拟)在平面直角坐标系xOy中,已知点 ,直线 ,点M满足到点F的距离与它到直线l的距离之比为 ,记M的轨迹为C. (1)求C的方程; (2)过点M且与C相切的直线交椭圆 于A,B两点,射线MO交椭圆E于点N,试问 的面积是否为定值?请说明理由. 【解析】 (1)设 ,根据题意, ,其中 表示M到直线l的距离. 整理得 , 曲线C的方程为: . (2) 的面积为定值,理由如下: 设 , ①当直线斜率不存在时,过 直线方程为 ,不妨令 ,则 此时 , ,由题可得, 故 ; ②当直线斜率不存在时,设过 直线方程为 该直线与椭圆C相切 得: ① , ,则直线MO的方程为:, , 由题可得,M,N位于y轴两侧,故 .即 设 , , , ,将直线 代入椭圆 的方程,可得 ,由 ,可得 ,② 则有 , , 所以 ,将①代入得: 由直线 与 轴交于 , 则 的面积为 . 故 综上: 面积为定值 . 10.(2022·上海市建平中学高二期末)已知椭圆 : ,焦点为 、 ,过x轴上的一点 M(m,0)( )作直线l交椭圆于A、B两点. (1)若点M在椭圆内, ①求多边形 的周长; ②求 的最小值 的表达式; (2)是否存在与x轴不重合的直线l,使得 成立?如果存在,求出m的取值范 围;如果不存在,请说明理由.【解析】 (1)①由椭圆 : 知, ,所以 , 根据椭圆的定义知,多边形 的周长为: . ②设 ,则 ,其中 , 令 , ①当 ,即 时, , ②当 即 , , ③当 即 , , 综上: . (2) 存在直线l,使得 成立.理由如下: 当直线斜率存在时,设直线l的方程为 , 由 得 . ,化简得 .设 , ,则 , . 若 成立, 即 ,等价于 . 所以 . , , , 化简得 .即 , 代入 中, , 解得 .又由 ,得 ,从而 , 解得 或 .当直线斜率不存在时,设直线l的方程为 , 则 , 所以 有 ,解得: . 所以实数m的取值范围是 .