当前位置:首页>文档>九上数学第二十三章旋转测试·基础卷(教师版)_初中数学_九年级数学上册(人教版)_知识点汇总-U105_2026版

九上数学第二十三章旋转测试·基础卷(教师版)_初中数学_九年级数学上册(人教版)_知识点汇总-U105_2026版

  • 2026-04-07 01:35:15 2026-03-25 18:21:31

文档预览

九上数学第二十三章旋转测试·基础卷(教师版)_初中数学_九年级数学上册(人教版)_知识点汇总-U105_2026版
九上数学第二十三章旋转测试·基础卷(教师版)_初中数学_九年级数学上册(人教版)_知识点汇总-U105_2026版
九上数学第二十三章旋转测试·基础卷(教师版)_初中数学_九年级数学上册(人教版)_知识点汇总-U105_2026版
九上数学第二十三章旋转测试·基础卷(教师版)_初中数学_九年级数学上册(人教版)_知识点汇总-U105_2026版
九上数学第二十三章旋转测试·基础卷(教师版)_初中数学_九年级数学上册(人教版)_知识点汇总-U105_2026版
九上数学第二十三章旋转测试·基础卷(教师版)_初中数学_九年级数学上册(人教版)_知识点汇总-U105_2026版
九上数学第二十三章旋转测试·基础卷(教师版)_初中数学_九年级数学上册(人教版)_知识点汇总-U105_2026版
九上数学第二十三章旋转测试·基础卷(教师版)_初中数学_九年级数学上册(人教版)_知识点汇总-U105_2026版
九上数学第二十三章旋转测试·基础卷(教师版)_初中数学_九年级数学上册(人教版)_知识点汇总-U105_2026版
九上数学第二十三章旋转测试·基础卷(教师版)_初中数学_九年级数学上册(人教版)_知识点汇总-U105_2026版
九上数学第二十三章旋转测试·基础卷(教师版)_初中数学_九年级数学上册(人教版)_知识点汇总-U105_2026版
九上数学第二十三章旋转测试·基础卷(教师版)_初中数学_九年级数学上册(人教版)_知识点汇总-U105_2026版
九上数学第二十三章旋转测试·基础卷(教师版)_初中数学_九年级数学上册(人教版)_知识点汇总-U105_2026版
九上数学第二十三章旋转测试·基础卷(教师版)_初中数学_九年级数学上册(人教版)_知识点汇总-U105_2026版
九上数学第二十三章旋转测试·基础卷(教师版)_初中数学_九年级数学上册(人教版)_知识点汇总-U105_2026版
九上数学第二十三章旋转测试·基础卷(教师版)_初中数学_九年级数学上册(人教版)_知识点汇总-U105_2026版
九上数学第二十三章旋转测试·基础卷(教师版)_初中数学_九年级数学上册(人教版)_知识点汇总-U105_2026版
九上数学第二十三章旋转测试·基础卷(教师版)_初中数学_九年级数学上册(人教版)_知识点汇总-U105_2026版
九上数学第二十三章旋转测试·基础卷(教师版)_初中数学_九年级数学上册(人教版)_知识点汇总-U105_2026版
九上数学第二十三章旋转测试·基础卷(教师版)_初中数学_九年级数学上册(人教版)_知识点汇总-U105_2026版
九上数学第二十三章旋转测试·基础卷(教师版)_初中数学_九年级数学上册(人教版)_知识点汇总-U105_2026版
九上数学第二十三章旋转测试·基础卷(教师版)_初中数学_九年级数学上册(人教版)_知识点汇总-U105_2026版
九上数学第二十三章旋转测试·基础卷(教师版)_初中数学_九年级数学上册(人教版)_知识点汇总-U105_2026版
九上数学第二十三章旋转测试·基础卷(教师版)_初中数学_九年级数学上册(人教版)_知识点汇总-U105_2026版
九上数学第二十三章旋转测试·基础卷(教师版)_初中数学_九年级数学上册(人教版)_知识点汇总-U105_2026版
九上数学第二十三章旋转测试·基础卷(教师版)_初中数学_九年级数学上册(人教版)_知识点汇总-U105_2026版
九上数学第二十三章旋转测试·基础卷(教师版)_初中数学_九年级数学上册(人教版)_知识点汇总-U105_2026版
九上数学第二十三章旋转测试·基础卷(教师版)_初中数学_九年级数学上册(人教版)_知识点汇总-U105_2026版
九上数学第二十三章旋转测试·基础卷(教师版)_初中数学_九年级数学上册(人教版)_知识点汇总-U105_2026版
九上数学第二十三章旋转测试·基础卷(教师版)_初中数学_九年级数学上册(人教版)_知识点汇总-U105_2026版
九上数学第二十三章旋转测试·基础卷(教师版)_初中数学_九年级数学上册(人教版)_知识点汇总-U105_2026版
九上数学第二十三章旋转测试·基础卷(教师版)_初中数学_九年级数学上册(人教版)_知识点汇总-U105_2026版
九上数学第二十三章旋转测试·基础卷(教师版)_初中数学_九年级数学上册(人教版)_知识点汇总-U105_2026版
九上数学第二十三章旋转测试·基础卷(教师版)_初中数学_九年级数学上册(人教版)_知识点汇总-U105_2026版
九上数学第二十三章旋转测试·基础卷(教师版)_初中数学_九年级数学上册(人教版)_知识点汇总-U105_2026版

文档信息

文档格式
docx
文档大小
6.296 MB
文档页数
35 页
上传时间
2026-03-25 18:21:31

文档内容

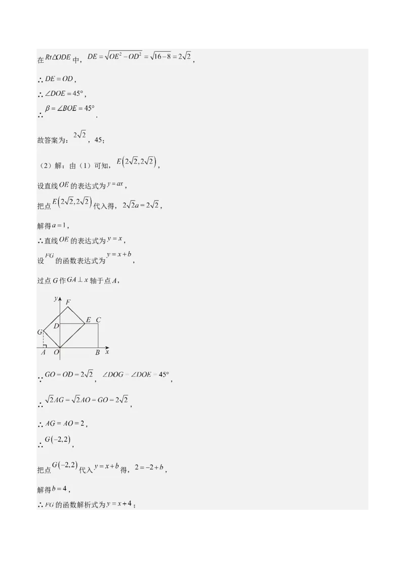
2025-2026 学年九年级上册数学单元检测卷 第二十三章 旋转·基础通关 建议用时:120分钟,满分:120分 一、选择题(本大题共10小题,每小题3分,共30分) 1.在平面直角坐标系中,点 于原点对称的点的坐标为( ) A. B. C. D. 【答案】C 【分析】本题考查平面直角坐标系中关于原点对称的点的坐标规律.根据原点对称的性质,两个对称点的 横纵坐标均互为相反数,直接应用即可得出答案. 【详解】解:在平面直角坐标系中,点 关于原点对称的点的坐标为 . 故选:C. 2.下列人工智能App图标中,是中心对称图形的是( ) A. B. C. D. 【答案】B 【分析】本题考查了中心对称图形的定义,熟练掌握中心对称图形的定义是解答本题的关键. 根据中心对称图形的定义解答即可. 【详解】解:A、该图形不是中心对称图形,故A选项不符合题意; B、该图形是中心对称图形,故B选项符合题意; C、该图形不是中心对称图形,故C选项不符合题意; D、该图形不是中心对称图形,故D选项不符合题意; 故选:B. 3.如图,风力发电机的叶片在风的吹动下转动,使风能转化为电能.图中的三个叶片组成的图形绕着它 的中心旋转角 后,能够与它本身重合,则角 的大小可以为( )A. B. C. D. 【答案】B 【分析】本题主要考查了求旋转角,把一个图形绕着一个定点旋转一个角度后,与初始图形重合,这种图 形叫做旋转对称图形,这个定点叫做旋转对称中心,旋转的角度叫做旋转角,据此求解即可. 【详解】解:由题意得,整个图形由三个叶片组成,则相邻叶片之间的夹角为 , ∴该叶片图案绕中心至少旋转 后能与原来的图案重合, ∴角 的大小可以为 , 故选:B. 4.如图,在 中, ,将 绕点A逆时针旋转得到 .当 恰好落在 上时, 连接 ,则 的度数为( ) A. B. C. D. 【答案】B 【分析】本题主要考查了旋转的性质,找出旋转角和旋转前后的对应边得出等腰三角形是解答此题的关键. 由旋转的性质可知,旋转前后对应边相等,对应角相等,得出等腰三角形,再根据等腰三角形的性质求解. 【详解】解:由旋转的性质可知, , , ∴ , 在 中, , ∴ , 解得: . 故选:B 5.如图, 绕点O旋转 得到 ,下列说法错误的是( )A. 与 关于点B成中心对称 B.点B和点E关于点O对称 C. D. 【答案】A 【分析】此题主要考查了中心对称图形,关键是掌握中心对称图形的定义.根据把一个图形绕某一点旋转 ,如果旋转后的图形能够与原来的图形重合,那么这个图形就叫做中心对称图形,根据中心对称的性 质进而可得答案. 【详解】解: 绕点O旋转 得到 , A、 与 关于点O成中心对称,符合题意 B、点B和点E关于点O对称,说法正确,不符合题意; C、∵ 绕点O旋转 得到 , ∴ , , ∴ , ∴说法正确; 不符合题意; D、∵ 绕点O旋转 得到 , ∴ , ∴ , ∴说法正确; 不符合题意; 故选A. 6.如图,在平面直角坐标系中, 的顶点均为格点(网格线的交点),将 绕某点顺时针旋转, 每次旋转 .已知第1次旋转结束时,得到 (点 , , 均为格点),则第82次旋转结束时, 点 的对应点的坐标为( )A. B. C. D. 【答案】A 【分析】本题考查了坐标与图形变化—旋转,由旋转的性质可得 的对应点为 , 的对应点为 , 的 对应点为 ,同时旋转中心在 和 的垂直平分线上,进而求出旋转中心坐标,然后得到每旋转4次一 个周期,由 得到第82次旋转结束时,点 的对应点的坐标和点H的坐标相等,进而求解 即可.掌握知识点的应用是解题的关键. 【详解】解:如图所示, 由旋转的性质可得 的对应点为 , 的对应点为 , 的对应点为 , ∴交点在 和 的垂直平分线上,如图, ∴旋转中心的坐标为 , 如图所示,设旋转中心为M,将 绕点M顺时针旋转 得到 ,将 绕点M顺时针旋转 得到 ,将 绕点M顺时针旋转 得到 ,∴每旋转4次一个周期 ∵ ∴第82次旋转结束时,点 的对应点的坐标和点H的坐标相等 ∴点 的对应点的坐标为 . 故选:A. 7.如图,在 中, ,将 绕顶点A按顺时针方向旋转得到 ,当 首次 经过点D时,旋转角的度数为( ) A. B. C. D. 【答案】C 【分析】本题考查了平行四边形的性质,旋转的性质,等边对等角. 根据平行四边形的性质得到 ,由旋转的性质得到 , ,根据 等边对等角得到 ,即可求出旋转角 的度数. 【详解】解:∵在 中, , ∴ , ∵ 绕顶点A按顺时针方向旋转得到 ,∴ , , ∴ , ∴ , 故选:C 8.如图,抛物线 与 轴交于点 , 为 轴负半轴上一点,将线段 绕点 顺时针旋转 得到线段 ,若点 恰好在抛物线上,则点 的坐标为( ) A. B. C. D. 【答案】D 【分析】本题考查二次函数的图象,旋转的性质,全等三角形的判定和性质,解一元二次方程,能作辅助 线构造全等三角形是解题的关键.先求出 ,然后设点 的坐标为 ,过点 作 于点 , 证得 ,即可得点 的坐标为 ,代入二次函数解析式即可求解. 【详解】解:令 ,则 , , 设点 的坐标为 ,过点 作 于点 , 由旋转可得: , ,, , , , , , 点 的坐标为 ,点 的坐标为 , 把 代入 得 , 解得 , 舍去 , 点 的坐标为 , 故选:D. 9.如图,矩形 绕点D逆时针旋转 得到矩形 ,连接 交 于点E,F为 的中点, 连接 交 于点G,连接 , .给出下面四个结论:① ;② ;③ ; ④ . 上述结论中,所有正确结论的序号是( ) A.①②③④ B.①②④ C.②③④ D.①③ 【答案】A 【分析】连接 ,根据旋转性质可以确定 ,根据直角三角形斜边中线等于斜边的一半即可得 出结论①;根据旋转性质证明 从而得出结论②;证明 ,通过勾 股定理从而得出结论③;延长 交 于点H,通过平行线的判定与性质即可证明结论④. 【详解】解:如图,连接 ,矩形 绕点D逆时针旋转 得到矩形 , , F为 的中点, ,故①正确; 矩形 绕点D逆时针旋转 得到矩形 , , , , , , F为 的中点, , , , , 又 , , , ,故②正确; , , , , ,为等腰直角三角形, ,故③正确; 如图,延长 交 于点H, , , , , ,即 , , , ,故④正确, 故选:A. 【点睛】本题考查了旋转的性质求解,矩形的性质,等腰三角形的判定与性质,平行线的判定与性质,全 等三角形的判定与性质,勾股定理等知识,熟练掌握相关性质定理为解题关键. 10.如图,正六边形 的顶点 对应的坐标分别为 和 ,将正六边形 沿 轴正方向滚动,每滚动一次都会有一条边落在 轴上,有下列说法: ①滚动一次后,点 落在点 处; ②正六边形 的顶点不可能和点 重合; ③在滚动过程中,顶点 可能和点 的重合.其中正确的说法是( ) A.①② B.①③ C.②③ D.①②③ 【答案】D 【分析】本题主要考查了正多边形的性质和旋转的性质.核心素养表现为空间观念和推理能力. 根据正多边形的内角和定理得到 , ,如图,连接 ,过点 作 于点 ,由 含 角的直角三角形的性质,旋转的性质,数学结合分析即可求解. 【详解】解:在正六边形 中,每个内角的度数为 ,即 , ∵顶点 对应的坐标分别为 和 , ∴正六边形 的边长为2,即 , 如图,连接 ,过点 作 于点 ,则 , , , , , , 滚动一次后,点 落在 处, 点 的坐标为 ,①正确; 点 的坐标为 ,每滚动一次,落在 轴上的边的右侧顶点的横坐标就会增加2, 正六边形 的顶点不可能和点 重合,②正确; 由图可知,当正六边形滚动三次后,点 的坐标为 ,③正确. 故选:D. 二、填空题(本大题共6小题,每小题3分,共18分) 11.下列图形既是轴对称图形又是中心对称图形的是 .(填序号) ①等边三角形;②直角三角形;③长方形;④正五边形;⑤圆;⑥平行四边形【答案】 / 【分析】③本题⑤主⑤要③考查了中心对称图形和轴对称的定义,解题的关键是掌握中心对称图形和轴对称的定义, 轴对称,把一个图形一部分沿着某一条直线折叠,能够与另一部分重合的图形;中心对称,一个图形围绕 着某一个旋转180度能够与原来的图形重合;旋转图形,一个图形围绕着某一个点旋转任意角度能够与原 来的图形重合. 根据轴对称图形与中心对称图形的概念求解. 【详解】解:等边三角形,正五边形是轴对称图形,不是中心对称图形;一般的直角三角形既不是轴对称 图形也不是中心对称图形;平行四边形是中心对称图形,不是轴对称图形;长方形、圆既是轴对称图形又 是中心对称图形. 故答案为:③⑤ . 12.如图,格点三角形甲经过旋转后得到格点三角形乙,则其旋转中心是点 . 【答案】M 【分析】本题考查了旋转的性质:①对应点到旋转中心的距离相等;②对应点与旋转中心所连线段的夹角 等于旋转角;③旋转前、后的图形全等.熟练掌握旋转的性质是确定旋转中心的关键所在. 判断哪个点到两个三角形的对应点的距离相等,且夹角也相等,即可求解. 【详解】解:如图,连接M和两个三角形的对应点; 发现两个三角形的对应点到点M的距离相等,且夹角都是 , 因此格点M就是所求的旋转中心. 故答案为:M. 13.如图,在 中, 为 的中点,点 在 边上(不与端点重合),将 射线 绕点 顺时针旋转 后与 交于点 ,则四边形 的面积是 .【答案】9 【分析】本题主要考查了等腰直角三角形的判定和性质,全等三角形的判定和性质,旋转的性质.连接 ,证明 ,可得 ,从而得到四边形 的面积 ,即可求解. 【详解】解:如图,连接 , ∵ 为 的中点, ∴ , ∴ , , ∴ 是等腰直角三角形, ∴ , 根据题意得: , ∴ , ∴ , 即 , 在 和 中, ∵ , , , ∴ , ∴ , ∴四边形 的面积. 故答案为:9 14.如图,有两个边长为2的正方形,其中正方形 的顶点 与正方形 的中心重合.在正方形 绕点 旋转的过程中,两个正方形重叠部分的面积是 . 【答案】1 【分析】此题主要考查了动点问题的函数图象,旋转的性质,全等三角形的判定和性质,过点E作 于点P, 于点Q,则可证明 ,得出 ,根据 得出答案即可. 【详解】解:如图,过点E作 于点P, 于点Q, 则 , ∵点E是正方形 的中心, ∴ , ∵ , ∴四边形 为矩形, ∵ , ∴ ,∴ , ∴ , ∴ , ∴ . 故答案为:1. 15.如图,在正方形内有一点 ,连接 , , ,将 顺时针旋转 得到 ,连接 , 点 恰好在线段 上,若 , ,则 的长度为 . 【答案】 【分析】本题考查旋转的性质,正方形的性质,勾股定理,根据旋转得到 , , ,结合勾股定理求出 ,求出 结合勾股定理即可得到答案. 【详解】解:∵ 顺时针旋转 得到 , ∴ , , , ∴ , , ∴ , ∴ , ∵ , ∴ , ∴ ,故答案为: . 16. 中, , ,点 是 的中点,将 绕点 向三角形外部旋转 角时 ,得到 ,当 恰为等腰三角形时, 的值为 . 【答案】 或 或 【分析】本题考查旋转变换、全等三角形的判定和性质、等腰三角形的性质,解题的关键是学会题分类讨 论的思想思考问题.分三种情形讨论①如图1中,当 时,②如图2中,当 时,③如图3 中,当 时,分别利用全等三角形的性质计算即可. 【详解】解:在 中, , , ①如图1中, 当 时, 在 和 中, , , . ②如图2中,当 时,同理可证 ,, . ③如图3中,当 时,同理可证 , , 故答案为 或 或 . 三、解答题(第17,18,19,20题,每题6分;第21,22,23题,每题8分;第24,25题,每题12分; 共9小题,共72分) 17.如图,在 中, , , ,将 逆时针旋转一角度后与 重 合,且点D恰好是 的中点. (1)旋转中心是点 , 的长为 ; (2)求 的度数. 【答案】(1)A,(2) 【分析】本题考查了旋转的相关知识点. (1)由“ 顺时针旋转一定角度后与 重合”可得旋转中心点,根据旋转的性质得出 , ,据此可求得 ; (2)根据旋转的性质得出 . 【详解】(1)解:在 中, , , ∴ , 即 , ∵ 顺时针旋转一定角度后与 重合, ∴旋转中心为点A,旋转的度数为 ; ∴ , , ∵点D恰好成为 的中点, ∴ , ∴ ; 故答案为:A, ; (2)解:∵ 顺时针旋转一定角度后与 重合, ∴旋转中心为点A,旋转的度数为 ; ∴ , 故答案为: . 18.如图所示的正方形网格中, 的顶点均在格点上,请在所给直角坐标系中按要求画图和解答下列 问题: (1)将 绕点O顺时针旋转90度,得到 .在图中画出旋转后的 ; (2)作 关于坐标原点成中心对称的 ;(3) 的坐标_________, 的坐标_________. 【答案】(1)图见解析 (2)图见解析 (3) 【分析】本题考查坐标与图形变换,旋转和中心对称,熟练掌握旋转和中心对称的性质,是解题的关键: (1)根据旋转的性质,画出 即可; (2)根据中心对称的性质,画出 即可; (3)根据图形直接写出两个点的坐标即可. 【详解】(1)解:如图, 即为所求; (2)如图, 即为所求; (3)由图可知: . 19.如图,点 为等腰直角三角形 斜边 上一动点(点 不与线段 两端点重合),将 绕点顺时针方向旋转 到 ,连接 、 、 . (1)求证: ; (2)若 , ,求 的长; 【答案】(1)证明见解析; (2) . 【分析】(1)由旋转性质得: , ,结合等腰直角三角形性质可利用“边角边”证明 ,最后由全等三角形性质即可得证; (2)结合全等三角形性质、等腰直角三角形性质推得 是直角三角形,由勾股定理求出 、 , 则 . 【详解】(1)证明:由旋转性质得: , , 是等腰直角三角形, , , 即 , , 即 , 在 和 中, , , . (2)解:依题得: , , 中, ,, , 是等腰直角三角形, , , 中, , . 【点睛】本题考查的知识点是旋转性质、等腰直角三角形性质、全等三角形的判定与性质、勾股定理,解 题关键是熟练掌握全等三角形的判定与性质. 20.如图1所示,是一个家用医药箱,将其侧面抽象为如图2所示的正方形 ,在打开医药箱的过程 中,矩形 (箱盖)可以绕点 逆时针旋转,落在 的位置,且 , . (1)如图2,当旋转角 时,求点 与点 之间的距离; (2)如图2,当旋转角 时,求点 到 的距离.(结果保留根号) 【答案】(1) (2) 【分析】(1)判定 是等边三角形,解答即可; (2)过点 作 于点 ,垂足为点 ,且与 交于点 .利用等边三角形的性质,勾股定理, 矩形的性质解答即可. 本题考查了矩形的性质,等边三角形的判定和性质,勾股定理,熟练掌握性质和定理是解题的关键. 【详解】(1)解:如图,连接 ,由题意得 , 是等边三角形, ,故点 与点 之间的距离为 . (2)解:过点 作 于点 ,垂足为点 ,且与 交于点 . 由题易得四边形 为矩形, , 由(1)可知 ,则 答:点 到 的距离为 . 21.如图1,正方形 和正方形 三点共线, , .将正方形 绕点 逆时针旋转 ,连接 . (1)如图2,求证: ; (2)如图3,在旋转的过程中,当 三点共线时,试求 的长; 【答案】(1)见解析(2) 【分析】本题主要考查了正方形的性质,旋转的性质,勾股定理,全等三角形的性质与判定等等,熟知相 关知识是解题的关键. (1)根据正方形的性质可得 , , ,再求出 ,然后 利用“边角边”证明 ,根据全等三角形对应边相等证明即可; (2)过点 作 于 ,根据正方形的性质与勾股定理得 ,从而求得 ,再在在 中,由勾股定理,求得 ,即可由 求解. 【详解】(1)证明:∵四边形 和四边形 都是正方形, ∴ , , , , , , 在 和 中, , , ; (2)解:如图所示,过点 作 于 , ∵在正方形 中,, , ∴ , ∴ , ∵ ,∴ , 在 中,由勾股定理,得 , ∴ . 22.如图,在平面直角坐标系 中,直线 与抛物线 相交于 , 两点(点 在点 的 左侧). (1)求 , 两点的坐标. (2)将直线 向上平移 个单位长度后,平移后的直线与抛物线 仅有1个公共点,求 的值. (3)将直线 绕点 顺时针旋转 ,得到直线 , 为旋转后的直线与抛物线 的交点,求 点 的坐标. 【答案】(1) (2) (3) 【分析】本题主要考查一次函数,二次函数与几何图形的综合,掌握一次函数与二次函数交点的计算,一 次函数图形平移的性质,二次函数与几何图形的综合运用是关键. (1)联立方程组求解即可; (2)根据函数的平移得到平移后的解析式为 ,根据只有一个交点得到关于 的一元二次方程的判别式 ,由此即可求解; (3)根据题意,过点 作 轴于点 ,过点 作 延长线于点 ,设旋转后的直线与 轴交 于点 ,则 ,可得 是等腰直角三角形, 是等腰直角三角形, ,则 ,运用待定系数法得到直线 的解析式,联立方程求解即可. 【详解】(1)解:根据题意,联立方程组得, , 解得, , ∴ ; (2)解:直线 向上平移 个单位长度后的解析式为 , ∵平移后的直线与抛物线 仅有1个公共点, ∴ ,整理得, , ∴ , 解得, ; (3)解:如图所示,过点 作 轴于点 ,过点 作 延长线于点 ,设旋转后的直线与 轴交于点 ,则 , ∵ , ∴ ,∴ , ∴ ,且 , ∴ 是等腰直角三角形, ∴ , ∴ , ∴ , ∴ 是等腰直角三角形, , ∴ , 设直线 的解析式为 , ∴ , 解得, , ∴直线 的解析式为 , 联立直线 于抛物线 为方程得, , 解得, , ∴ . 23.如图,两个等腰直角 和 中, . (1)观察猜想如图1,点E在 上,线段 与 的数量关系是________,位置关系是_________.(2)探究证明把 绕直角顶点C旋转到图2的位置,(1)中的结论还成立吗?说明理由; (3)拓展延伸:把 绕点C在平面内自由旋转,若 , ,当A、E、D三点在直线上 时,请直接写出 的长. 【答案】(1)相等,垂直 (2)(1)中的结论还成立,理由见解析 (3) 的长的长为17或31 【分析】(1)延长 交 于 ,证明 ,得出 , ,再由三 角形内角和定理求出 ,即可得解; (2)延长 交 于 ,证明 ,得出 , ,再由三角形内角 和定理求出 ,即可得解; (3)分两种情况:当射线 在直线 上方时,作 于 ;当射线 在直线 的下方时,作 于 ,分别利用等腰三角形的性质、勾股定理求解即可. 【详解】(1)解:如图,延长 交 于 , , ∵ 和 为等腰直角三角形, , ∴ , , 在 和 中, , ∴ , ∴ , , ∵ , ∴ , ∴ ,∴ , ∴点E在 上,线段 与 的数量关系是相等,位置关系是垂直; 故答案为:相等;垂直 (2)解:(1)中的结论还成立,理由如下: 如图,延长 交 于 , , ∵ 和 为等腰直角三角形, , ∴ , , , ∴ , 在 和 中, , ∴ , ∴ , , ∵ , ∴ , ∴ , ∴ ; (3)解:如图,当射线 在直线 上方时,作 于 , , ∵ 为等腰直角三角形,∴ , ∵ , , ∴ , ∵ , ∴ , ∴ ; 当射线 在直线 的下方时,作 于 , , ∵ 为等腰直角三角形, ∴ , ∵ , , ∴ , ∵ , ∴ , ∴ ; 综上所述, 的长的长为17或31. 【点睛】本题考查了全等三角形的判定与性质、等腰三角形的判定与性质、勾股定理、三角形内角和定理, 熟练掌握以上知识点并灵活运用,采用分类讨论的思想是解此题的关键. 24.在平面直角坐标系中,已知矩形 ,点 ,现将矩形 绕点O逆时针旋转 得到矩形 ,点B、C、D的对应点分别为点E、F、G.(1)如图1,当点E落在边 上时,线段 ,旋转角 °; (2)在(1)的条件下,求直线 的函数表达式; (3)如图2,当C、E、F三点在一直线上时, 所在直线与 分别交于点H、M,求线段 的长 度. 【答案】(1) ,45; (2) ; (3)2 【分析】(1)由矩形的性质得, , , ,根据勾股定理求得 ,进而 可求出 ,进而可求出旋转角; (2)由(1)可得 ,求得直线 的表达式为 ,过点G作 轴于点A,利用勾股定 理求得 ,设 的函数表达式为 ,再利用待定系数法求解即可; (3)过点M作 于点N,连接 、 ,旋转的性质得 , ,再根据等腰三 角形的性质得 ,证明四边形 是矩形,可得 ,可证 ,可得 ,设 ,利用勾股定理列方程求解即可. 【详解】(1)解:∵四边形 是矩形, , ∴ , , , ∵矩形 是矩形 旋转得到, ∴ , ,在 中, , ∴ , ∴ , ∴ . 故答案为: ,45; (2)解:由(1)可知, , 设直线 的表达式为 , 把点 代入得, , 解得 , ∴直线 的表达式为 , 设 的函数表达式为 , 过点G作 轴于点A, ∵ , , ∴ , ∴ , ∴ , 把点 代入 得, , 解得 , ∴ 的函数解析式为 ;(3)解:如图,过点M作 于点N,连接 、 , ∵矩形 是矩形 旋转得到, ∴ , , ∵C、E、F三点在一条直线上, ∴ , ∵ , ∴四边形 是矩形, ∴ , ∴ , ∵ , , ∴ , ∴ , ∵ , , ∴ , ∴ , ∵ , ∴ , ∴ , 设 , 在 中, ,即 , 解得 , ∴ , ∴ , ∴ , ∴ ,∴线段 的长度为2; 【点睛】本题考查用待定系数法求一次函数解析式、矩形的性质与判定、勾股定理、旋转的性质、全等三 角形的判定与性质、平行线的性质,熟练掌握旋转的性质是解题的关键. 25.【课本再现】 如图1,正方形 的对角线相交于点 ,点 又是正方形 的一个顶点,而且这两个正方形的边 长相等,四边形 为两个正方形的重叠部分,正方形 可绕点 转动. 【问题发现】 (1)①线段 之间的数量关系是_______________; ②在①的基础上,连接 ,则线段 之间的数量关系是____________. 【拓展应用】 (2)如图2,若矩形 的一个顶点 是矩形 对角线 的中点, 与边 相交于点 ,延 长 交 于点 , 与边 相交于点 ,连接 .矩形 可绕点 转动,猜想 之间的数量关系,并进行证明. 【类比迁移】 (3)如图3,在 中, ,点 在边 的中点处,它的两条边 和 分别与直线 相交于点 . 可绕点 转动,当 时,请直接写出 的 面积. 【答案】(1)① ② (2) ,证明见解析(3) 或 【分析】本题属于四边形综合题,主要考查了矩形的性质,正方形的性质,菱形的性质,三角形全等的判 定和性质,等边三角形的判定和性质,勾股定理,解题的关键是作出辅助线,熟练掌握相关的判定和性质.(1)①根据题型先证明 ,进而即可得出线段 之间的数量关系; ②根据 ,得出 ,进而根据勾股定理得出 ,根据线段之间的数量 关系,即可得出结论; (2)猜想: ,连接 ,延长 交 于 ,证明 ,再利用勾股 定理证明即可; (3)设 ,分两种情况讨论:①当点 在线段 上时,②当点 在 延长线上时,结合勾股定理, 即可求解. 【详解】解:(1)①证明:∵四边形 是正方形, ∴ , , ∴ , ∴ , 在 和 中, , ∴ , ∴ ; ②解:∵ , ∴ , ∴ , ∴ , ∵ , , ∴ , ∴ , 故答案为: ; (2)解: ;理由如下: 连接 ,如图2:∵ 为矩形中心, ∴ , 延长 交 于 , ∵ , ∴ , 又 , ∴ , ∴ , 又∵四边形 是矩形, ∴ , ∴ 垂直平分 , ∴ , 在 中,由勾股定理得: , ∴ ; (3)设 , ①当 在线段 上时,如图3,∵ , ∴ , 在 中, , ∴ , ∴ , 又由(2)易知 , ∴ , ∴ , 解得 ,即 , ; ②当点 在 延长线上时, 同理可证 , ∴ , 又在 中, , ∴ , 解得 ,即 , ; 故 的面积为 或 .