当前位置:首页>文档>3第33讲 烃和卤代烃 新题培优练_05高考化学_新高考复习资料_2022年新高考资料_2022年一轮复习各版本_1.高考化学2022年一轮复习通用版_2022年高考化学一轮复习讲义(全国版)

3第33讲 烃和卤代烃 新题培优练_05高考化学_新高考复习资料_2022年新高考资料_2022年一轮复习各版本_1.高考化学2022年一轮复习通用版_2022年高考化学一轮复习讲义(全国版)

  • 2026-04-02 15:05:54 2026-03-27 02:15:47

文档预览

3第33讲 烃和卤代烃 新题培优练_05高考化学_新高考复习资料_2022年新高考资料_2022年一轮复习各版本_1.高考化学2022年一轮复习通用版_2022年高考化学一轮复习讲义(全国版)
3第33讲 烃和卤代烃 新题培优练_05高考化学_新高考复习资料_2022年新高考资料_2022年一轮复习各版本_1.高考化学2022年一轮复习通用版_2022年高考化学一轮复习讲义(全国版)
3第33讲 烃和卤代烃 新题培优练_05高考化学_新高考复习资料_2022年新高考资料_2022年一轮复习各版本_1.高考化学2022年一轮复习通用版_2022年高考化学一轮复习讲义(全国版)
3第33讲 烃和卤代烃 新题培优练_05高考化学_新高考复习资料_2022年新高考资料_2022年一轮复习各版本_1.高考化学2022年一轮复习通用版_2022年高考化学一轮复习讲义(全国版)
3第33讲 烃和卤代烃 新题培优练_05高考化学_新高考复习资料_2022年新高考资料_2022年一轮复习各版本_1.高考化学2022年一轮复习通用版_2022年高考化学一轮复习讲义(全国版)
3第33讲 烃和卤代烃 新题培优练_05高考化学_新高考复习资料_2022年新高考资料_2022年一轮复习各版本_1.高考化学2022年一轮复习通用版_2022年高考化学一轮复习讲义(全国版)
3第33讲 烃和卤代烃 新题培优练_05高考化学_新高考复习资料_2022年新高考资料_2022年一轮复习各版本_1.高考化学2022年一轮复习通用版_2022年高考化学一轮复习讲义(全国版)
3第33讲 烃和卤代烃 新题培优练_05高考化学_新高考复习资料_2022年新高考资料_2022年一轮复习各版本_1.高考化学2022年一轮复习通用版_2022年高考化学一轮复习讲义(全国版)
3第33讲 烃和卤代烃 新题培优练_05高考化学_新高考复习资料_2022年新高考资料_2022年一轮复习各版本_1.高考化学2022年一轮复习通用版_2022年高考化学一轮复习讲义(全国版)
3第33讲 烃和卤代烃 新题培优练_05高考化学_新高考复习资料_2022年新高考资料_2022年一轮复习各版本_1.高考化学2022年一轮复习通用版_2022年高考化学一轮复习讲义(全国版)
3第33讲 烃和卤代烃 新题培优练_05高考化学_新高考复习资料_2022年新高考资料_2022年一轮复习各版本_1.高考化学2022年一轮复习通用版_2022年高考化学一轮复习讲义(全国版)
3第33讲 烃和卤代烃 新题培优练_05高考化学_新高考复习资料_2022年新高考资料_2022年一轮复习各版本_1.高考化学2022年一轮复习通用版_2022年高考化学一轮复习讲义(全国版)

文档信息

文档格式
doc
文档大小
0.449 MB
文档页数
8 页
上传时间
2026-03-27 02:15:47

文档内容

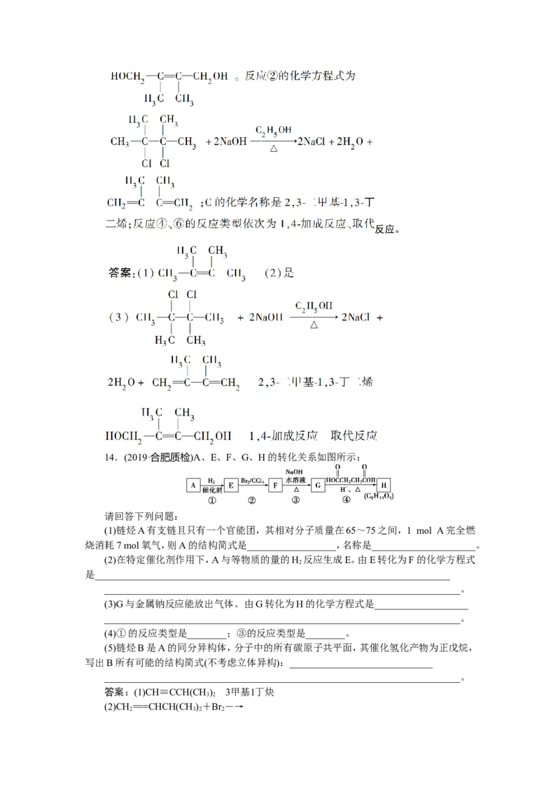
一、选择题 1.(2019·淄博模拟)下列关于有机化合物的说法中正确的是( ) A.乙烷中混有乙烯,通入氢气,在一定条件下反应,使乙烯转化为乙烷 B.丙烯能发生取代反应、加成反应,还能使酸性KMnO 溶液褪色 4 C.苯不能与溴水发生取代反应,用苯能萃取溴的四氯化碳溶液中的溴 D.相同质量的甲烷和乙烷完全燃烧乙烷耗氧量多 解析:选B。乙烷中的乙烯,若通过和H 发生加成反应除去,无法控制H 的用量,可能混 2 2 有新的杂质,可通过盛溴水的洗气瓶除去,A项错误;丙烯中含有碳碳双键,能发生加成反应, 能使酸性高锰酸钾溶液褪色,含有—CH,能发生取代反应,B项正确;苯与四氯化碳均为良 3 好的有机溶剂,二者互溶,C项错误;质量相同的烃完全燃烧比较耗氧量时,可将分子式都转 化为CH 的形式,x越大,耗氧量越多,故甲烷的耗氧量比乙烷多,D项错误。 x 2.(2019·淮南高三模拟)下列各项中的反应原理相同的是( ) A.乙醇与浓硫酸共热140 ℃、170 ℃均能脱去水分子 B.甲苯、乙烯均能使酸性KMnO 溶液褪色 4 C.溴水中加入己烯或苯充分振荡,溴水层均褪色 D.1溴丙烷分别与KOH水溶液、KOH乙醇溶液共热,均生成KBr 解析:选B。乙醇与浓硫酸共热时,140 ℃发生取代反应,生成乙醚,170 ℃发生消去反 应,生成乙烯,故A错误;甲苯、乙烯都能使酸性KMnO 溶液褪色,均是被KMnO 氧化,原理 4 4 相同,故B正确;溴水中加入己烯发生加成反应,加入苯,利用萃取使溴水褪色,故C错误;1- 溴丙烷与KOH水溶液发生取代反应,与KOH醇溶液发生消去反应,故D错误。 3.下列对有机物结构或性质的描述,错误的是( ) A.将溴水加入苯中,溴水的颜色变浅,这是由于发生了加成反应 B.苯分子中的6个碳原子之间的键完全相同,是一种介于碳碳单键和碳碳双键之间的 独特的键 C.乙烷和丙烯的物质的量共1 mol,完全燃烧生成3 mol H O 2 D.一定条件下,Cl 可在甲苯的苯环或侧链上发生取代反应 2 解析:选A。将溴水加入苯中,由于溴在苯中的溶解度比在水中的溶解度大,发生了萃取, 故溴水的颜色变浅,是物理变化,A项错误;苯分子中不存在碳碳单键、碳碳双键,而是存在 一种介于碳碳单键和碳碳双键之间的独特的键,B项正确;乙烷和丙烯的每个分子中都含有 6个氢原子,1 mol混合物中含6 mol氢原子,完全燃烧生成3 mol H O,C项正确;苯环上的 2 氢原子在催化剂作用下能被氯原子取代,苯环侧链烃基上的氢原子在光照时也可被氯原子 取代,D项正确。 4.下列有机化合物的结构与性质的叙述正确的是( ) A.甲苯分子结构中的7个碳原子在同一平面内 B.CHC≡CCH===CH 的所有原子在同一条直线上 3 2解析:选A。只有碳碳三键与其直接相连的碳原子在同一条直线上,B错误;名称应是2- 丁醇,C错误;连有—OH的碳原子的相邻碳原子上没有氢原子,不能发生消去反应,D错误。 5.某烃的分子式为C H ,它不能与溴水反应,但可使酸性KMnO 溶液褪色,分子结构 10 14 4 中只含有一个烷基,符合条件的烃有( ) A.2种 B.3种 C.4种 D.5种 解析:选B。由分子式C H 知该分子中不饱和程度很大,根据其性质分析,该烃为苯的 10 14 同系物 C H,由于—C H 有4种结构,但—C(CH) 中与苯环直接相连的碳原子上无 4 9 4 9 3 3 氢原子,不能使酸性KMnO 溶液褪色,故符合条件的烃有3种。 4 6.(2019·石家庄模拟)已知: ――→ ,下列说法正确的是( ) A.M能发生加聚反应、取代反应和氧化反应 B.M的二氯代物有10种(不考虑立体异构) C.N中所有碳原子在同一平面上 D.等物质的量的M、N分别完全燃烧,消耗O 的体积比为4∶5 2 解析:选B。M分子中不存在碳碳双键,不能发生加聚反应,故A错误;M分子中2个苯 环对称,苯环上有8个氢原子,根据定一议二可知二氯代物有7+3=10种(不考虑立体异构), 故B正确;N分子中所有碳原子均是饱和碳原子,不可能在同一平面上,故C错误;M、N的 分子式分别是C H 、C H ,所以等物质的量的M、N分别完全燃烧,消耗O 的体积比为 10 8 10 18 2 24∶29,故D错误。 7.(2019·贺州高三模拟)某有机物的结构简式为 下列叙述不正确的是( ) A.1 mol该有机物在加热和催化剂作用下,最多能与4 mol H 反应 2 B.该有机物能使溴水褪色,也能使酸性KMnO 溶液褪色 4 C.该有机物遇硝酸银溶液产生白色沉淀 D.该有机物在一定条件下能发生消去反应或取代反应 解析:选C。该有机物中含有1个苯环和1个碳碳双键,1 mol该有机物最多能与4 mol H 加成,A项正确;碳碳双键能使溴水和酸性KMnO 溶液褪色,B项正确;该有机物不能电 2 4 离出Cl-,故不能与Ag+反应产生沉淀,C项错误;分子中含有氯原子,在NaOH水溶液、加热 条件下可以水解,且与氯原子相连的碳原子的邻位碳原子上有氢原子,在NaOH醇溶液、加 热条件下能发生消去反应,D项正确。 8.(2019·海南中学月考)从溴乙烷制取1,2二溴乙烷,下列制备方案中最好的是( ) A.CHCHBr――→CHCHOH――→ 3 2 3 2 CH===CH ――→CHBrCHBr 2 2 2 2B.CHCHBr――→CHBrCHBr 3 2 2 2 C.CHCHBr――→CH===CH ――→CHCHBr 3 2 2 2 3 2 ――→CHBrCHBr 2 2 D.CHCHBr――→CH===CH ――→CHBrCHBr 3 2 2 2 2 2 解析:选D。D项步骤简单,无副产物生成。 9.(2019·岳阳高三质检)有机物a和苯通过反应合成b的过程如图所示(无机小分子产物 略去)。下列说法错误的是( ) A.该反应是取代反应 B.若R为—CH 时,b中所有碳原子共面 3 C.若R为—C H 时,则b中苯环上的一氯代物可能的结构共有12种 4 9 D.若R为—C HO时,1 mol b最多可以与4 mol H 加成 4 5 2 解析:选D。A项,根据合成过程可看出,R取代了苯环上一个H的位置,故该反应为取 代反应,正确;B项,苯的结构中6个碳原子和6个氢原子共平面,在b中,若R为甲基,甲基 中的碳取代苯中一个H的位置,故b中7个碳原子共平面,正确;C项,若R为—C H,其结 4 9 构有4种,氯在b的苯环上有邻、间、对3种位置,故b中苯环上的一氯代物可能的结构有 4×3=12种,正确;D项,若R为—C HO,其结构中含有两个双键或一个三键,最多可与2 4 5 分子氢气发生加成,同时b中的苯环可与3分子氢气发生加成,故1 mol b最多与5 mol氢气 发生加成,错误。 二、非选择题 (1)填写每步反应所属的反应类型(只填字母):a.取代反应;b.加成反应;c.消去反应;d.加 聚反应。 ①________;②________;③________;④________; ⑤________;⑥________。 (2)写出①、⑤、⑥三步反应的化学方程式: ① ________________________________________________________________________。 ⑤ ________________________________________________________________________ 。 ⑥ ________________________________________________________________________ 。 答案:(1)①a ②b ③c ④b ⑤c ⑥b 11.(2019·吉林松原扶余一中月考)根据要求回答下列有关问题: Ⅰ.由乙烷和乙烯都能制得一氯乙烷。 (1)由乙烷制一氯乙烷的化学方程式为________________________________,反应类型 为________________________________________________________________________。 (2)由乙烯制一氯乙烷的化学方程式为________________________________,反应类型 为________________________________________________________________________。 (3)以上两种方法中________[填“(1)”或“(2)”]更合理,原因是________________。 Ⅱ.分别用一个化学方程式解释下列问题。 (1)甲烷与氯气的混合物在漫射光下一段时间,出现白雾:____________________。 (2)溴水中通入乙烯颜色褪去:_______________________________________ ________________________________________________________________________。 (3)工业上通过乙烯水化获得乙醇:_________________________________________ ________________________________________________________________________。 答案:Ⅰ.(1)CH CH+Cl――→CHCHCl+HCl 取代反应 3 3 2 3 2 (2)CH ===CH +HCl―→CHCHCl 加成反应 2 2 3 2 (3)(2) 方法(2)没有副产物生成 Ⅱ.(1)CH +Cl――→CHCl+HCl(或其他合理答案) 4 2 3 (2)CH ===CH +Br ―→CHBrCHBr 2 2 2 2 2 (3)CH ===CH +HO―→CHCHOH 2 2 2 3 2 12.(1)苯、四氯化碳、乙醇、汽油是常见的有机溶剂,其中能与水互溶的是____________; 不溶于水,且密度比水小的是____________。 (2)一瓶无色气体,可能含有CH 和CH===CH 或其中的一种,与一瓶Cl 混合后光照, 4 2 2 2 观察到黄绿色逐渐褪去,瓶壁有少量无色油状小液滴。 ①由上述实验现象推断出该瓶气体中一定含有CH,你认为是否正确,为什么? 4 ________________________________________________________________________ ________________________________________________________________________②上述实验可能涉及的反应类型有_____________________________________。 (3)含有 的化合物与CH===CH 一样,在一定条件下可聚合成高分子化合物。 2 2 ①广泛用作农用薄膜的聚氯乙烯塑料,是由CH===CHCl 聚合而成的,其化学反应方程 2 式是________________________________________________________________________ ________________________________________________________________________。 ②电器包装中大量使用的泡沫塑料的主要成分是聚苯乙烯 ,它是 由____________(写结构简式)聚合而成的。 答案:(1)乙醇 苯、汽油 (2)①不正确,因为CH===CH 可以与Cl 发生加成反应,而使黄绿色逐渐褪去,生成的 2 2 2 CHClCH Cl也是油状液体。 2 2 ②取代反应、加成反应 13.(2019·湖北七市联考)某烃类化合物A的质谱图表明其相对分子质量为84,红外光谱 表明分子中含有碳碳双键,核磁共振氢谱表明分子中只有一种类型的氢。 (1)A的结构简式为_____________________________________________________。 (2)A中的碳原子是否都处于同一平面?________(填“是”或“不是”)。 (3)在如图中,D、D 互为同分异构体,E、E 互为同分异构体。 1 2 1 2 反应②的化学方程式为____________________________________________ ________________________________________________________________________; C的化学名称是_______________________________________________________;E 的 2 结构简式是________________________;反应④、⑥的反应类型依次是________、________。反应。 14.(2019·合肥质检)A、E、F、G、H的转化关系如图所示: 请回答下列问题: (1)链烃A有支链且只有一个官能团,其相对分子质量在65~75之间,1 mol A完全燃 烧消耗7 mol氧气,则A的结构简式是__________________,名称是_____________________。 (2)在特定催化剂作用下,A与等物质的量的H 反应生成E。由E转化为F的化学方程式 2 是________________________________________________________________________ ________________________________________________________________________。 (3)G与金属钠反应能放出气体。由G转化为H的化学方程式是___________________ ________________________________________________________________________。 (4)①的反应类型是________;③的反应类型是________。 (5)链烃B是A的同分异构体,分子中的所有碳原子共平面,其催化氢化产物为正戊烷, 写出B所有可能的结构简式(不考虑立体异构):_____________________________ ________________________________________________________________________。 答案:(1)CH≡CCH(CH ) 3甲基1丁炔 3 2 (2)CH ===CHCH(CH)+Br ―→ 2 3 2 2CHBrCHBrCH(CH) 2 3 2 +2HO 2 (4)加成反应 取代反应 (5)CH CH===CHCH===CH 、CHCHC≡CCH 3 2 3 2 3