当前位置:首页>文档>考向28利用空间向量求空间角(重点)-备战2023年高考数学一轮复习考点微专题(全国通用)(解析版)_2.2025数学总复习_赠品通用版(老高考)复习资料_一轮复习

考向28利用空间向量求空间角(重点)-备战2023年高考数学一轮复习考点微专题(全国通用)(解析版)_2.2025数学总复习_赠品通用版(老高考)复习资料_一轮复习

  • 2026-04-02 14:29:26 2026-03-27 05:33:14

文档预览

考向28利用空间向量求空间角(重点)-备战2023年高考数学一轮复习考点微专题(全国通用)(解析版)_2.2025数学总复习_赠品通用版(老高考)复习资料_一轮复习
考向28利用空间向量求空间角(重点)-备战2023年高考数学一轮复习考点微专题(全国通用)(解析版)_2.2025数学总复习_赠品通用版(老高考)复习资料_一轮复习
考向28利用空间向量求空间角(重点)-备战2023年高考数学一轮复习考点微专题(全国通用)(解析版)_2.2025数学总复习_赠品通用版(老高考)复习资料_一轮复习
考向28利用空间向量求空间角(重点)-备战2023年高考数学一轮复习考点微专题(全国通用)(解析版)_2.2025数学总复习_赠品通用版(老高考)复习资料_一轮复习
考向28利用空间向量求空间角(重点)-备战2023年高考数学一轮复习考点微专题(全国通用)(解析版)_2.2025数学总复习_赠品通用版(老高考)复习资料_一轮复习
考向28利用空间向量求空间角(重点)-备战2023年高考数学一轮复习考点微专题(全国通用)(解析版)_2.2025数学总复习_赠品通用版(老高考)复习资料_一轮复习
考向28利用空间向量求空间角(重点)-备战2023年高考数学一轮复习考点微专题(全国通用)(解析版)_2.2025数学总复习_赠品通用版(老高考)复习资料_一轮复习
考向28利用空间向量求空间角(重点)-备战2023年高考数学一轮复习考点微专题(全国通用)(解析版)_2.2025数学总复习_赠品通用版(老高考)复习资料_一轮复习
考向28利用空间向量求空间角(重点)-备战2023年高考数学一轮复习考点微专题(全国通用)(解析版)_2.2025数学总复习_赠品通用版(老高考)复习资料_一轮复习
考向28利用空间向量求空间角(重点)-备战2023年高考数学一轮复习考点微专题(全国通用)(解析版)_2.2025数学总复习_赠品通用版(老高考)复习资料_一轮复习
考向28利用空间向量求空间角(重点)-备战2023年高考数学一轮复习考点微专题(全国通用)(解析版)_2.2025数学总复习_赠品通用版(老高考)复习资料_一轮复习
考向28利用空间向量求空间角(重点)-备战2023年高考数学一轮复习考点微专题(全国通用)(解析版)_2.2025数学总复习_赠品通用版(老高考)复习资料_一轮复习
考向28利用空间向量求空间角(重点)-备战2023年高考数学一轮复习考点微专题(全国通用)(解析版)_2.2025数学总复习_赠品通用版(老高考)复习资料_一轮复习
考向28利用空间向量求空间角(重点)-备战2023年高考数学一轮复习考点微专题(全国通用)(解析版)_2.2025数学总复习_赠品通用版(老高考)复习资料_一轮复习
考向28利用空间向量求空间角(重点)-备战2023年高考数学一轮复习考点微专题(全国通用)(解析版)_2.2025数学总复习_赠品通用版(老高考)复习资料_一轮复习
考向28利用空间向量求空间角(重点)-备战2023年高考数学一轮复习考点微专题(全国通用)(解析版)_2.2025数学总复习_赠品通用版(老高考)复习资料_一轮复习
考向28利用空间向量求空间角(重点)-备战2023年高考数学一轮复习考点微专题(全国通用)(解析版)_2.2025数学总复习_赠品通用版(老高考)复习资料_一轮复习
考向28利用空间向量求空间角(重点)-备战2023年高考数学一轮复习考点微专题(全国通用)(解析版)_2.2025数学总复习_赠品通用版(老高考)复习资料_一轮复习
考向28利用空间向量求空间角(重点)-备战2023年高考数学一轮复习考点微专题(全国通用)(解析版)_2.2025数学总复习_赠品通用版(老高考)复习资料_一轮复习
考向28利用空间向量求空间角(重点)-备战2023年高考数学一轮复习考点微专题(全国通用)(解析版)_2.2025数学总复习_赠品通用版(老高考)复习资料_一轮复习
考向28利用空间向量求空间角(重点)-备战2023年高考数学一轮复习考点微专题(全国通用)(解析版)_2.2025数学总复习_赠品通用版(老高考)复习资料_一轮复习
考向28利用空间向量求空间角(重点)-备战2023年高考数学一轮复习考点微专题(全国通用)(解析版)_2.2025数学总复习_赠品通用版(老高考)复习资料_一轮复习
考向28利用空间向量求空间角(重点)-备战2023年高考数学一轮复习考点微专题(全国通用)(解析版)_2.2025数学总复习_赠品通用版(老高考)复习资料_一轮复习
考向28利用空间向量求空间角(重点)-备战2023年高考数学一轮复习考点微专题(全国通用)(解析版)_2.2025数学总复习_赠品通用版(老高考)复习资料_一轮复习
考向28利用空间向量求空间角(重点)-备战2023年高考数学一轮复习考点微专题(全国通用)(解析版)_2.2025数学总复习_赠品通用版(老高考)复习资料_一轮复习
考向28利用空间向量求空间角(重点)-备战2023年高考数学一轮复习考点微专题(全国通用)(解析版)_2.2025数学总复习_赠品通用版(老高考)复习资料_一轮复习
考向28利用空间向量求空间角(重点)-备战2023年高考数学一轮复习考点微专题(全国通用)(解析版)_2.2025数学总复习_赠品通用版(老高考)复习资料_一轮复习
考向28利用空间向量求空间角(重点)-备战2023年高考数学一轮复习考点微专题(全国通用)(解析版)_2.2025数学总复习_赠品通用版(老高考)复习资料_一轮复习
考向28利用空间向量求空间角(重点)-备战2023年高考数学一轮复习考点微专题(全国通用)(解析版)_2.2025数学总复习_赠品通用版(老高考)复习资料_一轮复习
考向28利用空间向量求空间角(重点)-备战2023年高考数学一轮复习考点微专题(全国通用)(解析版)_2.2025数学总复习_赠品通用版(老高考)复习资料_一轮复习
考向28利用空间向量求空间角(重点)-备战2023年高考数学一轮复习考点微专题(全国通用)(解析版)_2.2025数学总复习_赠品通用版(老高考)复习资料_一轮复习
考向28利用空间向量求空间角(重点)-备战2023年高考数学一轮复习考点微专题(全国通用)(解析版)_2.2025数学总复习_赠品通用版(老高考)复习资料_一轮复习
考向28利用空间向量求空间角(重点)-备战2023年高考数学一轮复习考点微专题(全国通用)(解析版)_2.2025数学总复习_赠品通用版(老高考)复习资料_一轮复习
考向28利用空间向量求空间角(重点)-备战2023年高考数学一轮复习考点微专题(全国通用)(解析版)_2.2025数学总复习_赠品通用版(老高考)复习资料_一轮复习
考向28利用空间向量求空间角(重点)-备战2023年高考数学一轮复习考点微专题(全国通用)(解析版)_2.2025数学总复习_赠品通用版(老高考)复习资料_一轮复习
考向28利用空间向量求空间角(重点)-备战2023年高考数学一轮复习考点微专题(全国通用)(解析版)_2.2025数学总复习_赠品通用版(老高考)复习资料_一轮复习
考向28利用空间向量求空间角(重点)-备战2023年高考数学一轮复习考点微专题(全国通用)(解析版)_2.2025数学总复习_赠品通用版(老高考)复习资料_一轮复习
考向28利用空间向量求空间角(重点)-备战2023年高考数学一轮复习考点微专题(全国通用)(解析版)_2.2025数学总复习_赠品通用版(老高考)复习资料_一轮复习
考向28利用空间向量求空间角(重点)-备战2023年高考数学一轮复习考点微专题(全国通用)(解析版)_2.2025数学总复习_赠品通用版(老高考)复习资料_一轮复习
考向28利用空间向量求空间角(重点)-备战2023年高考数学一轮复习考点微专题(全国通用)(解析版)_2.2025数学总复习_赠品通用版(老高考)复习资料_一轮复习
考向28利用空间向量求空间角(重点)-备战2023年高考数学一轮复习考点微专题(全国通用)(解析版)_2.2025数学总复习_赠品通用版(老高考)复习资料_一轮复习
考向28利用空间向量求空间角(重点)-备战2023年高考数学一轮复习考点微专题(全国通用)(解析版)_2.2025数学总复习_赠品通用版(老高考)复习资料_一轮复习
考向28利用空间向量求空间角(重点)-备战2023年高考数学一轮复习考点微专题(全国通用)(解析版)_2.2025数学总复习_赠品通用版(老高考)复习资料_一轮复习
考向28利用空间向量求空间角(重点)-备战2023年高考数学一轮复习考点微专题(全国通用)(解析版)_2.2025数学总复习_赠品通用版(老高考)复习资料_一轮复习
考向28利用空间向量求空间角(重点)-备战2023年高考数学一轮复习考点微专题(全国通用)(解析版)_2.2025数学总复习_赠品通用版(老高考)复习资料_一轮复习
考向28利用空间向量求空间角(重点)-备战2023年高考数学一轮复习考点微专题(全国通用)(解析版)_2.2025数学总复习_赠品通用版(老高考)复习资料_一轮复习
考向28利用空间向量求空间角(重点)-备战2023年高考数学一轮复习考点微专题(全国通用)(解析版)_2.2025数学总复习_赠品通用版(老高考)复习资料_一轮复习
考向28利用空间向量求空间角(重点)-备战2023年高考数学一轮复习考点微专题(全国通用)(解析版)_2.2025数学总复习_赠品通用版(老高考)复习资料_一轮复习
考向28利用空间向量求空间角(重点)-备战2023年高考数学一轮复习考点微专题(全国通用)(解析版)_2.2025数学总复习_赠品通用版(老高考)复习资料_一轮复习
考向28利用空间向量求空间角(重点)-备战2023年高考数学一轮复习考点微专题(全国通用)(解析版)_2.2025数学总复习_赠品通用版(老高考)复习资料_一轮复习
考向28利用空间向量求空间角(重点)-备战2023年高考数学一轮复习考点微专题(全国通用)(解析版)_2.2025数学总复习_赠品通用版(老高考)复习资料_一轮复习
考向28利用空间向量求空间角(重点)-备战2023年高考数学一轮复习考点微专题(全国通用)(解析版)_2.2025数学总复习_赠品通用版(老高考)复习资料_一轮复习
考向28利用空间向量求空间角(重点)-备战2023年高考数学一轮复习考点微专题(全国通用)(解析版)_2.2025数学总复习_赠品通用版(老高考)复习资料_一轮复习
考向28利用空间向量求空间角(重点)-备战2023年高考数学一轮复习考点微专题(全国通用)(解析版)_2.2025数学总复习_赠品通用版(老高考)复习资料_一轮复习
考向28利用空间向量求空间角(重点)-备战2023年高考数学一轮复习考点微专题(全国通用)(解析版)_2.2025数学总复习_赠品通用版(老高考)复习资料_一轮复习
考向28利用空间向量求空间角(重点)-备战2023年高考数学一轮复习考点微专题(全国通用)(解析版)_2.2025数学总复习_赠品通用版(老高考)复习资料_一轮复习
考向28利用空间向量求空间角(重点)-备战2023年高考数学一轮复习考点微专题(全国通用)(解析版)_2.2025数学总复习_赠品通用版(老高考)复习资料_一轮复习
考向28利用空间向量求空间角(重点)-备战2023年高考数学一轮复习考点微专题(全国通用)(解析版)_2.2025数学总复习_赠品通用版(老高考)复习资料_一轮复习
考向28利用空间向量求空间角(重点)-备战2023年高考数学一轮复习考点微专题(全国通用)(解析版)_2.2025数学总复习_赠品通用版(老高考)复习资料_一轮复习
考向28利用空间向量求空间角(重点)-备战2023年高考数学一轮复习考点微专题(全国通用)(解析版)_2.2025数学总复习_赠品通用版(老高考)复习资料_一轮复习
考向28利用空间向量求空间角(重点)-备战2023年高考数学一轮复习考点微专题(全国通用)(解析版)_2.2025数学总复习_赠品通用版(老高考)复习资料_一轮复习
考向28利用空间向量求空间角(重点)-备战2023年高考数学一轮复习考点微专题(全国通用)(解析版)_2.2025数学总复习_赠品通用版(老高考)复习资料_一轮复习
考向28利用空间向量求空间角(重点)-备战2023年高考数学一轮复习考点微专题(全国通用)(解析版)_2.2025数学总复习_赠品通用版(老高考)复习资料_一轮复习
考向28利用空间向量求空间角(重点)-备战2023年高考数学一轮复习考点微专题(全国通用)(解析版)_2.2025数学总复习_赠品通用版(老高考)复习资料_一轮复习
考向28利用空间向量求空间角(重点)-备战2023年高考数学一轮复习考点微专题(全国通用)(解析版)_2.2025数学总复习_赠品通用版(老高考)复习资料_一轮复习

文档信息

文档格式
docx
文档大小
6.821 MB
文档页数
61 页
上传时间
2026-03-27 05:33:14

文档内容

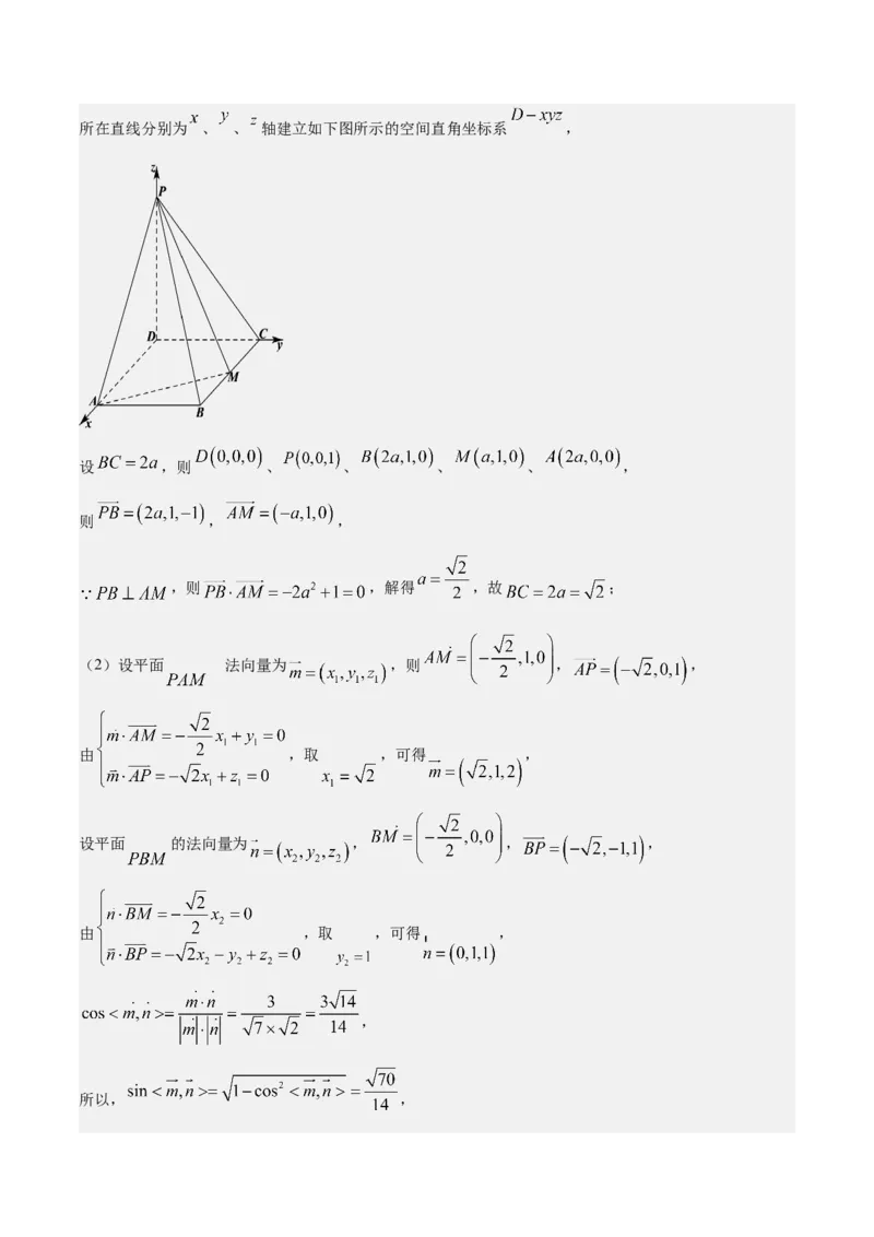
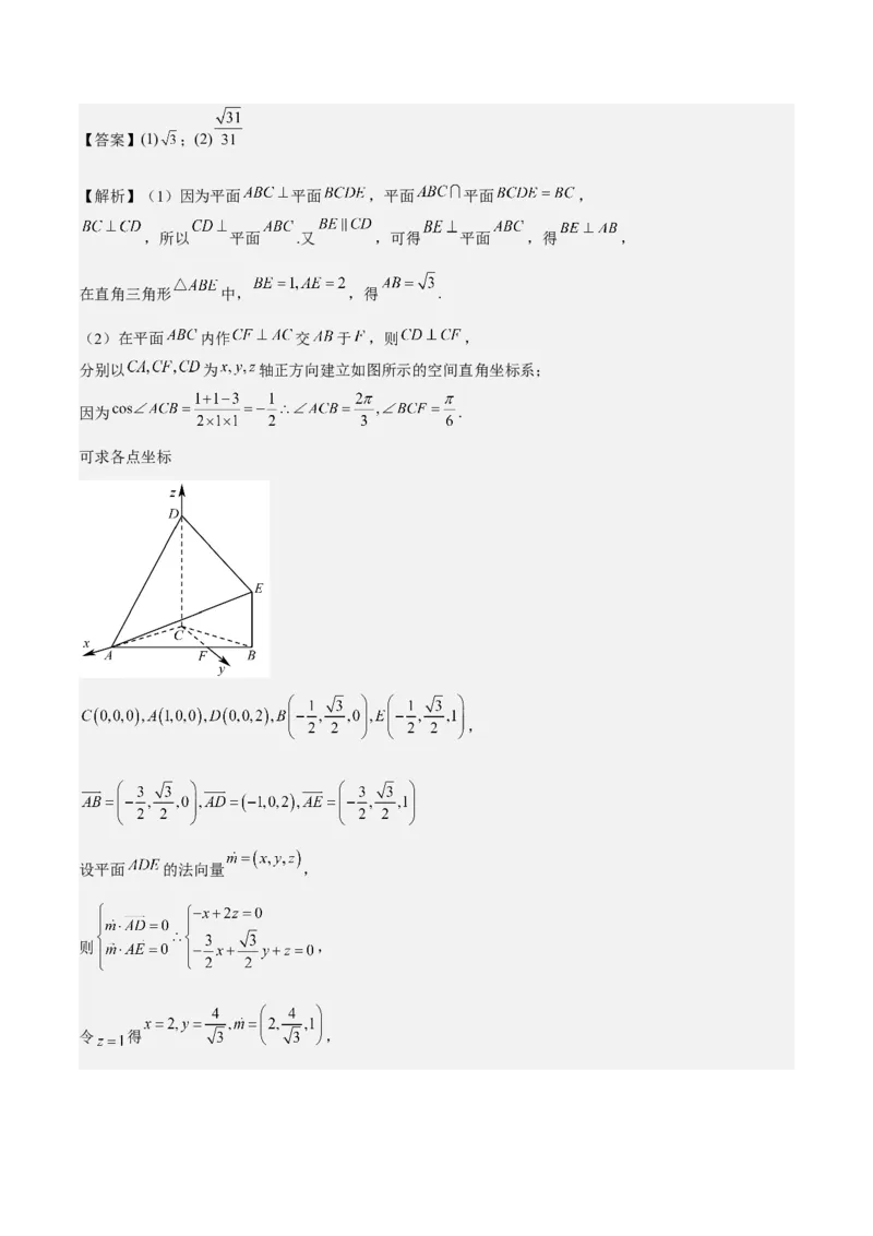
考向 28 利用空间向量求空间 角 1.(2022年甲卷理科第18题)在四棱锥 中, 底面 , , , , . (1)证明: ; (2)求 与平面 的所成的角的正弦值. 【答案】(1)见解析;(2) . 【解析】(1)∵ 底面 ,∴ , 取 中点 ,连接 ,可知 , ∵ ,∴ ,∴四边形 为平行四边形,∴ , ∵ ,∴ 为直角三角形, 为斜边,∴ , ∵ ,∴ 平面 ,∴ . (2)由(1)知, , , 两两垂直, , 建立空间直角坐标系如图所示,则, , , , ∴ , , , 设平面 的法向量为 ,则 ,即 , 不妨设 ,则 , 设 与平面 的所成角为 ,则 , ∴ 与平面 的所成的角的正弦值为 . 2.(2022年乙卷理科第18题)如图,四面体 中 为 中点. (1) 证明:平面 平面 ; (2) 设 点 在 上,当 的面积最小时,求 与平 面 所成角的正弦值.【答案】(1)见解析;(2) . 【解析】(1) . . , . 平面 平面 . (2)在 中, . 在 中,, , . . 、 、 两两互相垂直. 由点 在 上且 , 由于 当 的面积最小时在 中, 如图,以点 为坐标原点,直线 分别为 轴建立空间直角坐标系. 、 、 、 、 、 、 = 设平面 的法向量为 . 可得 设 设 与 所成的角为 , 与平面 所成角的为 所以 与平面 所成角的正弦值为 . 3.(2022年新高考1卷)19.(12分) 如图,直三棱柱 的体积为 , 的面积为 . (1)求 到平面 的距离;(2)设 为 的中点, ,平面 平面 ,求二面角 的正弦值. A 1 C 1 B 1 D A C B 【答案】(1) ;(2) . 【解析】(1)设 到平面 的距离为 , , ,所以 ,所以 ,所以 到平面 的距离为 . (2)取 的中点 ,连接 ,因为 ,所以 , 因为平面 平面 ,平面 平面 , 所以 平面 , ,则 ,所以 , 因为直三棱柱 ,所以 , 因为 ,所以 平面 ,所以 , 由 ,所以 , 以 为 轴, 为 轴, 为 轴,建立如图所示的空间直角坐标系, A 1 z C 1 B 1 D E y x A C B所以 , , , , , 平面BDC的法向量设为 ,平面BDA的法向量设为 , , , ,所以 ,所以 , 设 ,则 ,所以 ,所以 , 设二面角 的平面角为 ,则 , 所以二面角 的正弦值为 . 4.(2022年新高考2卷)如图, 是三棱锥 的高, , , 是 的中点, (1)求证: 平面 ; 2)若 , , ,求二面角 的正弦值. ( 【答案】(1)见解析;(2) . 【解析】(1)法一:连接 、 ,因为 是三棱锥 的高,所以 平面 ,所以 , , 所以 ,又 , ,所以 ,所以 , 作 中点 ,连接 、 ,则有 ,又 ,所以 , 又因为 平面 , 平面 ,所以 平面 , 又 、 分别为 、 的中点,所以,在 中, 又因为 平面 , 平面 ,所以 平面 , 又 、 平面 , ,所以平面 平面 , 又 平面 ,所以 平面 ; 法二:(1)连接 、 , 因为 是三棱锥 的高,所以 平面 ,所以 , , 所以 ,又 , ,所以 , 所以 ,又 ,在 中, 为 中点, 延长 ,交 于 ,连接 , 所以在 中, 、 分别为 、 的中点,所以 , 因为 平面 , 平面 ,所以 平面 ; (2)法一:过点 作 ,以 为 轴, 为 轴, 为 轴. 建立如图所示的空间直角 坐标系. 因为 , ,由(1) , 又 ,所以 , ,所以 , , , ,设 ,则 , 平面 的法向量设为 ,直线 的方向向量可设为 ,直线 平面 ,直线 的方向向量为 ,所以 , 所以 ,设 ,则 , 所以 ; 平面 的法向量设为 , , ,所以 ,所以 ,设 ,则 , 所以 ; 所以 二面角 的平面角为 ,则 , 所以二面角 的正弦值为 法二:(2)过点 作 ,以 为 轴, 为 轴, 为 轴 建立如图所示的空间直角坐标系. 因为 , ,由(1) , 又 ,所以, ,所以 , , , ,设 ,则 ,平面 的法向量设为 , , ,所以 ,所以 ,设 ,则 , 所以 ; 平面 的法向量设为 , , ,所以 ,所以 ,设 ,则 , 所以 ; 所以 二面角 的平面角为 ,则 , 所以二面角 的正弦值为 。 1.利用向量法求异面直线所成角的一般步骤是: (1)选好基底或建立空间直角坐标系; (2)求出两直线的方向向量v,v; 1 2 (3)代入公式|cos〈v,v〉|=求解. 1 2 2.利用向量法求线面角的方法: (1)分别求出斜线和它在平面内的射影直线的方向向量,转化为求两个方向向量的夹角(或其补角); (2)通过平面的法向量来求,即求出斜线的方向向量与平面的法向量所夹的锐角或钝角的补角,取其余角就 是斜线和平面所成的角. 3.利用空间向量计算二面角大小的常用方法: (1)找法向量:分别求出二面角的两个半平面所在平面的法向量,然后通过两个平面的法向量的夹角得到二面角的大小,但要注意结合实际图形判断所求角的大小. (2)找与棱垂直的方向向量:分别在二面角的两个半平面内找到与棱垂直且以垂足为起点的两个向量,则这 两个向量的夹角的大小就是二面角的大小. 1.线面角θ的正弦值等于直线的方向向量a与平面的法向量n所成角的余弦值的绝对值,即sin θ=|cos 〈a,n〉|,不要误记为cos θ=|cos〈a,n〉|. 2.二面角与法向量的夹角:利用平面的法向量求二面角的大小时,当求出两半平面α,β的法向量n ,n 时, 1 2 要根据向量坐标在图形中观察法向量的方向,来确定二面角与向量n,n 的夹角是相等,还是互补. 1 2 一、单选题 1.如图, 平面ABCD,ABCD为正方形,且 ,E,F分别是线段PA,CD的中点,则异面直 线EF与BD所成角的余弦值为( ) A. B. C. D. 【答案】C 【解析】由题可知,分别以AB,AD,AP所在直线为x轴,y轴, 轴,建立如图所示的空间直角坐标系 .设 .则 . 故异面直线EF与BD所成角的余弦值为 . 故选:C 【点睛】本题主要考查空间向量和异面直线所成的角的向量求法,意在考查学生对这些知识的理解掌握水 平. 2.如图,将两个全等等腰直角三角形拼成一个平行四边形 ,将平行四边形 沿对角线 折起, 使平面 平面 ,则直线 与 所成角余弦值为( ) A. B. C. D. 【答案】C 【解析】由平面 平面 , 平面 平面 , 平面 所以 平面 ,又 平面 ,所以 ,又 所以作 轴// ,建立空间直角坐标系 ,如图设 ,所以 则 所以 所以 故选:C 3.如图,在正方体 中,点E是上底面 的中心,则异面直线 与 所成角的余 弦值为( ) A. B. C. D. 【答案】B 【解析】以 为原点, 为 轴正方向建立空间直角坐标系如图所示,设正方体棱长为2,所以 , 所以异面直线 与 所成角的余弦值为 . 故选:B 4.在正方体 中O为面 的中心, 为面 的中心.若E为 中点,则异面直 线 与 所成角的余弦值为( ) A. B. C. D. 【答案】B 【解析】设正方体的边长为 ,建立如图所示空间直角坐标系, , , 设异面直线 与 所成角为 ,则 . 故选:B5.在三棱锥 中, 平面ABC, , 是正三角形,M,N分别是AB,PC的中点, 则直线MN,PB所成角的余弦值为( ) A. B. C. D. 【答案】D 【解析】如图,以AC的中点O为坐标原点建立空间直角坐标系,设 则 ,则直线MN,PB所成角的余弦值为 故选:D. 6.在正方体 中, , 分别为 , 的中点,则异面直线 与 所成角的余弦值 是( ) A. B. C. D.【答案】A 【解析】如图,以AB、AD、 分别为x、y、z轴,建立空间直角坐标系,设正方体棱长为2,则 则 因为 所以异面直线 与 所成角的余弦值为 . 故选:A 二、填空题 7.已知长方体 的棱 ,则异面直线 与 所成角的余弦值是 ________________.【答案】 【解析】建立如图所示的空间直角坐标系: 在长方体 中, , , , , , , , , , 异面直线 与 所成角的预下载是 . 8.在正方体 中,点 、 分别为棱 、 的中点,则异面直线 与 所成角的余弦值为_____. 【答案】 【解析】建立如图所示的空间直角坐标系,设该正方体的棱长为 , , , 异面直线 与 所成角的余弦值: , 故答案为: 9.如图,已知正三棱柱 的侧棱长为底面边长的2倍, 是侧棱 的中点,则异面直线 和 所成的角的余弦值为__________ 【答案】【解析】设底面边长为1,则测棱长为2,如下图建立空间直角坐标系, 、 、 、 所以 所以 . 故答案为: 10.已知正四面体 和平面 , ,正四面体 绕边 旋转,当 与平面 所成角最大 时, 与平面 所成角的正弦值为______ 【答案】 【解析】由题意可得:当 与平面 所成角最大时即平面 , 以 的中点为原点建立空间直角坐标系 (如图),过 作 平面 ,垂足为 ,设 , 则 ,即 , 设 与平面 所成角为 ,平面 的法向量为 , 则 即 与平面 所成角的正弦值为 故答案为: 三、解答题 11.如图,在五面体 中,平面 平面 , . (1)求棱 的长度; (2)求 与平面 所成角的正弦值.【答案】(1) ;(2) 【解析】(1)因为平面 平面 ,平面 平面 , ,所以 平面 .又 ,可得 平面 ,得 , 在直角三角形 中, ,得 . (2)在平面 内作 交 于 ,则 , 分别以 为 轴正方向建立如图所示的空间直角坐标系; 因为 . 可求各点坐标 , 设平面 的法向量 , 则 , 令 得 ,, 设 与平面 所成角为 , 则 , 因此直线 与平面 所成角的正弦值等于 . 12.如图,在正三棱柱 中,底面边长为2, ,D为 的中点,点E在棱 上,且 ,点P为线段 上的动点. (1)求证: ; (2)若直线 与 所成角的余弦值为 ,求平面 和平面 的夹角的余弦值. 【答案】(1)证明见解析; (2) . 【解析】(1)在矩形 中, ,D为 的中点, 所以 ,所以 , 因为 是正三角形,D为 的中点,所以 ,又因为 是正三棱柱,所以 平面 , 而 平面 ,所以 ,而 平面 , 所以 平面 ,因为 平面 ,所以 , 因为 平面 ,点P为线段 上, 所以 平面 ,而 平面 ,所以 ; (2)如图以 的中点为坐标原点建立空间直角坐标系 ,如图, 则 ,设 , 则 , 所以 ,即 ,解得 , 所以 , 设 为平面 的法向量,则 令 ,则 ,所以 , 取 为平面 的法向量,所以 ,所以平面 与平面 的夹角的余弦值为 . 13.如图1,在等边 中,点D,E分别为边AB,AC上的动点且满足 ,记 .将△ADE 沿DE翻折到△MDE的位置并使得平面MDE⊥平面DECB,连接MB,MC得到图2,点N为MC的中点. (1)当EN∥平面MBD时,求λ的值; (2)试探究:随着λ值的变化,二面角BMDE的大小是否改变?如果改变,请说明理由;如果不改变,请求 出二面角 的正弦值大小. 【答案】(1) ;(2)不改变, 【解析】(1)取 的中点为 ,连接 , , 因为 , ,所以NP∥BC, 又DE∥BC,所以NP∥DE,即N,E,D,P四点共面, 又EN∥平面BMD,EN 平面NEDP, 平面NEDP∩平面MBD⊂=DP, 所以EN∥PD,即NEDP为平行四边形, 所以NP=DE,则DE= BC,即λ= . (2)取 的中点 ,连接MO,则MO⊥DE,因为平面MDE⊥平面DECB, 平面MDE∩平面DECB=DE,且MO⊥DE,所以MO⊥平面DECB, 如图建立空间直角坐标系, 不妨设 ,则 , , , 所以 , , 设平面 的法向量为 ,则 ,即 , 令 ,即 . 又平面 的法向量 , 所以 , 即随着 值的变化,二面角 的大小不变. 且 . 所以二面角 的正弦值为 . 14.图1是由矩形 , 和菱形 组成的一个平面图形,其中 , , .将该图形沿 , 折起使得 与 重合,连接 ,如图2.(1)证明:图2中C,D,E,G四点共面; (2)求图2中二面角 的平面角的余弦值. 【答案】(1)证明见解析;(2) 【解析】(1)证明:∵四边形 和 分别是矩形和菱形, ∴ , ,∴ ,∴ , , , 四点共面. (2)在平面 内过点 作 ,以 为原点, , , 所在直线分别为 , , 轴, 建立如图所示空间直角坐标系, 则 , , , . ∴ , , , . 设平面 的一个法向量为 ,则 ,即 . 令 ,则 .∴ . 设平面 的一个法向量为 .则 ,令 ,可得 .∴ ,显然二面角 为锐角. ∴二面角 的平面角的余弦值为 . 一、单选题 1.(2022·湖北·鄂南高中模拟预测)已知正方体 的棱长为 .以 为坐标原点,以 为 轴正半轴, 为 轴正半轴, 为 轴正半轴建立空间直角坐标系,动点 满足直线 与 所成夹角为 的最大值为( ) A. B. C.1 D.2 【答案】D 【解析】正方体 的棱长为 ,可得 , , 点 ,则 ,由动点 满足直线 与 所成夹角为 可得 ,整理得 由 ,可得 ,当 时取等号,即最大值为2, 故选:D2.(2022·吉林长春·模拟预测(理))在矩形ABCD中,O为BD中点且 ,将平面ABD沿对角线 BD翻折至二面角 为90°,则直线AO与CD所成角余弦值为( ) A. B. C. D. 【答案】C 【解析】在平面 中过 作 ,垂足为 ; 在平面 中过 作 ,垂足为 . 由于平面 平面 ,且交线为 , 所以 平面 , 平面 , 设 , , 同理可得 , 以 为原点,建立如图所示空间直角坐标系, 则 , ,设 与 所成角为 ,则 . 故选:C 3.(2022·安徽·合肥市第八中学模拟预测(理))平行六面体 中, ,则 与底面 所成的线面角的正弦值是( ) A. B. C. D. 【答案】A 【解析】如图所示,连接 , 相交于点 ,连接 . 平行六面体 中 ,且 , 不妨令 , , 都是等边三角形. 是等边三角形. , , , 平面 平面 , 平面 ,平面 平面 , 是 与底面 所成角. 因为 , ,所以 . 如图建立空间直角坐标系,则 , , , , 其中 的坐标计算如下,过 作 交 于点 , 因为 , ,所以 , 所以 , , 因为 所以 ,所以 , 显然平面 的法向量为 , 设 与底面 所成的角为 ,则故选:A 4.(2022·浙江·效实中学模拟预测)已知圆锥 的高 是底面上圆 的直径, , 是圆 上的动点, 是 的中点,则直线 与平面 所成角的正弦值的最大值为( ) A. B. C. D.1 【答案】C 【解析】做 交圆上一点 , 以 为原点, 所在的直线为 轴的正方向建立空间直角坐标系, 则 , , , , 设 ,则 ,且 , 当 时, 与 重合,此时 构不成平面, 当 时, 与 重合,此时 构不成平面,即 , , 所以 , , , 设平面 的一个法向量为 , 所以 ,即 ,令 ,则 , 所以 ,设直线 与平面 所成的角为 , , 令 , 当 时, , 单调递增, 当 时, , 单调递减,所以 , , 直线 与平面 所成角的正弦值的最大值为 . 故选:C.5.(2022·福建龙岩·模拟预测)已知直三棱柱 的所有棱长都相等, 为 的中点,则 与 所成角的正弦值为( ) A. B. C. D. 【答案】C 【解析】取线段 的中点 ,则 ,设直三棱柱 的棱长为 , 以点 为原点, 、 、 的方向分别为 、 、 的正方向建立如下图所示的空间直角坐标系, 则 、 、 、 , 所以, , , .所以, . 故选:C. 6.(2022·北京·首都师范大学附属中学三模)如图,在正方体 中, 为棱 上的动点, 为棱 的中点,则下列选项正确的是( ) A.直线 与直线 相交 B.当 为棱 上的中点时,则点 在平面 的射影是点 C.存在点 ,使得直线 与直线 所成角为 D.三棱锥 的体积为定值 【答案】D 【解析】A:由题意知, , 平面 , 平面 所以 平面 , 又 平面 ,所以 与 不相交,故A错误; B:连接 ,如图,当点 为 的中点时, ,又 ,所以 , 若点 在平面 的射影为 ,则 平面 ,垂足为 , 所以 ,设正方体的棱长为2,则 , 在 中, ,所以 , 即 不成立,故B错误; C:建立如图空间直角坐标系 ,连接 ,则 , 所以异面直线 与 所成角为直线 与 所成角, 设正方体的棱长为2,若存在点 使得 与 所成角为 , 则 ,所以 , 所以 ,又 , 得 ,解得 , 不符合题意,故不存在点 使得 与 所成角为 ,故C错误; D:如图,由等体积法可知 , 又 , 为定值,所以 为定值, 所以三棱锥 的体积为定值,故D正确. 故选:D. 二、填空题 7.(2021·河南·三模(理))如图,在四棱锥 中, 平面 , , , , 为 的中点,则直线 与平面 所成角的正弦值为__________. 【答案】 【解析】建立如图所示的空间直角坐标系,设 ,则 , , 设平面 的法向量为 , 则 ,即 ,取 ,则 , 直线 与平面 所成角为 , , 故答案为: . 8.(2022·浙江·赫威斯育才高中模拟预测)如图,在四棱锥 中, , 分别是 , 的中点, 底面 , , , ,若平面 平面 ,则二面角 的正弦值是_________.【答案】 【解析】设 ,则平面 平面 , 由重心的性质可得 , 因为 底面 , ,设 , ,建立如图所示的空间直角坐标系, 则 , 所以 , , , 设平面 , 的法向量为 , 则 , , 所以 ,由图可知, 二面角 的平面角为钝角,所以二面角 的余弦值为 , 正弦值为 . 故答案为:9.(2022·青海·模拟预测(理))手工课可以提高学生的动手能力、反应能力、创造力,使学生在德、智、 体、美、劳各方面得到全面发展,某小学生在一次手工课上制作了一座漂亮的房子模型,它可近似地看成 是一个直三棱柱和一个长方体的组合图形,其直观图如图所示, , , P,Q,M,N分别是棱AB, , , 的中点,则异面直线PQ与MN所成角的余弦值是______. 【答案】 【解析】如图,以 为原点建立空间直角坐标系, 因为 , , 所以可得 , 所以 , 所以 ,所以异面直线PQ与MN所成角的余弦值是 . 故答案为: . 10.(2021·新疆乌鲁木齐·三模(文))如图,边长为1的正方形 所在平面与正方形 所在平面 互相垂直,动点 分别在正方形对角线 和 上移动,且 则下列结论: 则下列结论: ① ; ②当 时, 与 相交; ③ 始终与平面 平行; ④异面直线 与 所成的角为 正确的序号是___________. 【答案】③ 【解析】如图建立空间坐标系,则 ,0, , ,0, , ,1, , ,1, ,, ,0, , , , . ∴ , 显然 ,故①错误; 若 与 相交,则四点共面, 又∵ 在平面 , ∴当且仅当 在平面 时, 与 相交,此时 故②错误; 平面 的法向量为 , , 此时 ,∴ 始终与平面 平行,故③正确; 设异面直线 与 所成的角为 , ∴ , ∴异面直线 与 所成的角为 故④错误. 故答案为:③ 三、解答题 11.(2022·广西河池·模拟预测(理))如图,在四棱锥 中, 平面ABCD,四边形ABCD是菱形, , ,E是PB上任意一点. (1)求证: ; (2)已知二面角 的余弦值为 ,若E为PB的中点,求EC与平面PAB所成角的正弦值. 【答案】(1)证明见解析(2) 【解析】(1)证明:∵ 平面ABCD, 平面ABCD,∴ , 又四边形ABCD是菱形,∴ , , ∴ 平面PBD,又 平面PBD,∴ ; (2)分别以OA,OB,OE方向为x,y,z轴建立空间直角坐标系, 设 ,则 , , , , . ,; 由(1)知平面PBD的法向量为 , 令平面PAB的法向量为 ,则根据 得 , 令 得 , 因为二面角 的余弦值为 , 则 ,即 ,∴ ,∴ , 设直线EC与平面PAB所成的角为 ,∵ , , ∴ , 综上,直线EC与平面PAB所成的角的正弦值为 . 12.(2022·湖南永州·一模)如图甲,在边长为4的等边三角形 中, ,将 沿 折起, 使点 到达点 的位置,连接 ,得到如图乙所示的四棱锥 , 为线段 的中点. (1)求证: ; (2)当翻折到平面 平面 时,求平面 与平面 的夹角的余弦值. 【答案】(1)证明见解析;(2) .【解析】(1)取 的中点 ,连接 , 在等边三角形 中 为线段 的中点, 知 , 又 平面 , 平面 , 所以 平面 ,又 面 ,故 . (2)因为平面 平面 ,面 面 面 所以 面 , 面 ,则 两两垂直, 故可建立如图所示的空间直角坐标系 . 设 ,则 , 于是 , 平面 的一个法向量为 . 设平面 的一个法向量为 , 由 ,设 ,故 , 设平面 与平面 的夹角为 ,则 , 所以平面 与平面 的夹角的余弦值为 .13.(2018·陕西·安康市教学研究室三模(理))如图,直三棱柱 中, ,D、E在线段 上,且 ,过 作与 平行的平面交 于 点F. (1)证明:平面 平面 ; (2)求二面角 的余弦值. 【答案】(1)证明见解析(2) . 【解析】(1)证明:如图所示:连接 交 于G,连接 , ∵ 平面 ,∴ ,∴ , ∵ , ,∴ ,∴F是 的中点. 取 的中点O,连接 , ∵ ,∴ , ∵ 是直三棱柱,∴ 平面 ,∴ , ∵ ,∴ , , 又∵ , 平面 , 平面 , ∴ 平面 , 又∵ 平面 ,∴平面 平面 . (2)建立如图所示空间直角坐标系 , 设 ,则 , , 设平面 的一个法向量为 , 则 ,即 ,令 ,得 , 又平面 的一个法向量为 ,∴ , 由图知二面角 为锐角, ∴其余弦值为 . 14.(2022·黑龙江·佳木斯一中三模(理))已知梯形ABCD和矩形CDEF.在平面图形中, , .现将矩形CDEF沿CD进行如图所示的翻折,M为AE的中点. (1)设N是BC的中点,求证: 平面CDEF; (2)在翻折的过程中,当二面角A-CD-E的大小为 时,求直线BM与平面BCE所成角的正弦值. 【答案】(1)证明见解析(2) 【解析】(1)取 中点 ,连接 , 因为 分别是 中点, 是梯形( ), 则 , , 平面 , 平面 ,则 平面 ,同理 平面 , , 平面 ,所以平面 平面 , 又 平面 ,所以 平面 ;(2)因为 , ,所以 是二面角 的平面角,所以 , 在 上作 交 于 , 由 平面 , 得 平面 ,而 平面 , 所以 , 即 两两垂直,分别以 为 轴建立如图所示的空间直角坐标系, 则 , , ,又 , , 所以 点的竖坐标为 ,横坐标为 ,即 , 是 中点,则 , , , , 设平面 的一个法向量是 , 由 ,取 ,得 , ,即 , , 所以直线BM与平面BCE所成角的正弦值为 .1.【2021年乙卷】 如图,四棱锥 的底面是矩形, 底面 , , 为 的中点,且 . (1)求 ; (2)求二面角 的正弦值. 【答案】(1) ;(2) 【解析】(1) 平面 ,四边形 为矩形,不妨以点 为坐标原点, 、 、所在直线分别为 、 、 轴建立如下图所示的空间直角坐标系 , 设 ,则 、 、 、 、 , 则 , , ,则 ,解得 ,故 ; (2)设平面 法向量为 ,则 , , 的 由 ,取 ,可得 , 设平面 的法向量为 , , , 由 ,取 ,可得 , , 所以, ,因此,二面角 的正弦值为 . 【点睛】思路点睛:利用空间向量法求解二面角的步骤如下: (1)建立合适的空间直角坐标系,写出二面角对应的两个半平面中对应的点的坐标; (2)设出法向量,根据法向量垂直于平面内两条直线的方向向量,求解出平面的法向量(注:若半平面 为坐标平面,直接取法向量即可); (3)计算(2)中两个法向量的余弦值,结合立体图形中二面角的实际情况,判断二面角是锐角还是钝角, 从而得到二面角的余弦值. 2.【2021年甲卷】 已知直三棱柱 中,侧面 为正方形, ,E,F分别为 和 的中点,D为棱 上的点. (1)证明: ; (2)当 为何值时,面 与面 所成的二面角的正弦值最小? 【答案】(1)见解析;(2) 【解析】因为三棱柱 是直三棱柱,所以 底面 ,所以 因为 , ,所以 ,又 ,所以 平面 . 所以 两两垂直. 以 为坐标原点,分别以 所在直线为 轴建立空间直角坐标系,如图. 所以 , . 由题设 ( ). (1)因为 , 所以 ,所以 . (2)设平面 的法向量为 , 因为 , 所以 ,即 . 令 ,则因为平面 的法向量为 , 设平面 与平面 的二面角的平面角为 , 则 . 当 时, 取最小值为 , 此时 取最大值为 .所以 ,此时 . 3.【2021年浙江卷】 如图,在四棱锥 中,底面 是平行四边形, ,M,N分别为 的中点, . (1)证明: ; (2)求直线 与平面 所成角的正弦值. 【答案】(1)证明见解析;(2) . 【解析】(1)在 中, , , ,由余弦定理可得 , 所以 , .由题意 且 , 平面 , 而 平面 ,所以 ,又 ,所以 .(2)由 , ,而 与 相交,所以 平面 ,因为 ,所 以 ,取 中点 ,连接 ,则 两两垂直,以点 为坐标原点,如图所示, 建立空间直角坐标系, 则 , 又 为 中点,所以 . 由(1)得 平面 ,所以平面 的一个法向量 从而直线 与平面 所成角的正弦值为 . 4.(2020·新课标Ⅰ)如图,D为圆锥的顶点,O是圆锥底面的圆心,AE为底面直径, . 是底面的内接正三角形,P为 上一点, . (1)证明: 平面 ; (2)求二面角 的余弦值.【答案】(1)证明见解析;(2) . 【解析】(1)由题设,知 为等边三角形,设 , 则 , ,所以 , 又 为等边三角形,则 ,所以 , ,则 ,所以 , 同理 ,又 ,所以 平面 ; (2)过O作 ∥BC交AB于点N,因为 平面 ,以O为坐标原点,OA为x轴,ON为y轴建 立如图所示的空间直角坐标系,则 , , , , 设平面 的一个法向量为 , 由 ,得 ,令 ,得 , 所以 , 设平面 的一个法向量为 由 ,得 ,令 ,得 , 所以 故 , 设二面角 的大小为 ,则 . 5.(2020·山东卷)如图,四棱锥P-ABCD的底面为正方形,PD⊥底面ABCD.设平面PAD与平面PBC的交 线为l. (1)证明:l⊥平面PDC; (2)已知PD=AD=1,Q为l上的点,求PB与平面QCD所成角的正弦值的最大值. P D C A B【答案】(1)证明见解析;(2) . 【解析】(1)证明: 在正方形 中, , 因为 平面 , 平面 ,所以 平面 , 又因为 平面 ,平面 平面 ,所以 , 因为在四棱锥 中,底面 是正方形,所以 且 平面 ,所以 因为 所以 平面 ; (2)如图建立空间直角坐标系 , 因为 ,则有 , 设 ,则有 , 设平面 的法向量为 , 则 ,即 , 令 ,则 ,所以平面 的一个法向量为 ,则根据直线的方向向量与平面法向量所成角的余弦值的绝对值即为直线与平面所成角的正弦值,所以直线与 平面所成角的正弦值等于 ,当且仅当 时取等号, 所以直线 与平面 所成角的正弦值的最大值为 . 6.(2020·天津卷)如图,在三棱柱 中, 平面 , ,点 分别在棱 和棱 上,且 为棱 的中点. (Ⅰ)求证: ; (Ⅱ)求二面角 的正弦值; (Ⅲ)求直线 与平面 所成角的正弦值. 【答案】(Ⅰ)证明见解析;(Ⅱ) ;(Ⅲ) .【解析】依题意,以 为原点,分别以 、 、 的方向为 轴、 轴、 轴的正方向建立空间直 角坐标系(如图), 可得 、 、 、 、 、 、 、 、 . (Ⅰ)依题意, , , 从而 ,所以 ; (Ⅱ)依题意, 是平面 的一个法向量, , . 设 为平面 的法向量, 则 ,即 ,不妨设 ,可得 . , . 所以,二面角 的正弦值为 ; (Ⅲ)依题意, .由(Ⅱ)知 为平面 的一个法向量,于是 . 所以,直线 与平面 所成角的正弦值为 . 7.(2020·江苏卷)在三棱锥A—BCD中,已知CB=CD= ,BD=2,O为BD的中点,AO⊥平面BCD, AO=2,E为AC的中点. (1)求直线AB与DE所成角的余弦值; (2)若点F在BC上,满足BF= BC,设二面角F—DE—C的大小为θ,求sinθ的值. 【答案】(1) (2) 【解析】(1)连 以 为 轴建立空间直角坐标系,则从而直线 与 所成角的余弦值为 (2)设平面 一个法向量为 令 设平面 一个法向量为 令 因此 、