当前位置:首页>文档>考向37圆锥曲线中的范围、最值问题(重点)-备战2023年高考数学一轮复习考点微专题(全国通用)(解析版)_2.2025数学总复习_赠品通用版(老高考)复习资料_一轮复习

考向37圆锥曲线中的范围、最值问题(重点)-备战2023年高考数学一轮复习考点微专题(全国通用)(解析版)_2.2025数学总复习_赠品通用版(老高考)复习资料_一轮复习

  • 2026-04-01 11:57:40 2026-03-27 06:47:27

文档预览

考向37圆锥曲线中的范围、最值问题(重点)-备战2023年高考数学一轮复习考点微专题(全国通用)(解析版)_2.2025数学总复习_赠品通用版(老高考)复习资料_一轮复习
考向37圆锥曲线中的范围、最值问题(重点)-备战2023年高考数学一轮复习考点微专题(全国通用)(解析版)_2.2025数学总复习_赠品通用版(老高考)复习资料_一轮复习
考向37圆锥曲线中的范围、最值问题(重点)-备战2023年高考数学一轮复习考点微专题(全国通用)(解析版)_2.2025数学总复习_赠品通用版(老高考)复习资料_一轮复习
考向37圆锥曲线中的范围、最值问题(重点)-备战2023年高考数学一轮复习考点微专题(全国通用)(解析版)_2.2025数学总复习_赠品通用版(老高考)复习资料_一轮复习
考向37圆锥曲线中的范围、最值问题(重点)-备战2023年高考数学一轮复习考点微专题(全国通用)(解析版)_2.2025数学总复习_赠品通用版(老高考)复习资料_一轮复习
考向37圆锥曲线中的范围、最值问题(重点)-备战2023年高考数学一轮复习考点微专题(全国通用)(解析版)_2.2025数学总复习_赠品通用版(老高考)复习资料_一轮复习
考向37圆锥曲线中的范围、最值问题(重点)-备战2023年高考数学一轮复习考点微专题(全国通用)(解析版)_2.2025数学总复习_赠品通用版(老高考)复习资料_一轮复习
考向37圆锥曲线中的范围、最值问题(重点)-备战2023年高考数学一轮复习考点微专题(全国通用)(解析版)_2.2025数学总复习_赠品通用版(老高考)复习资料_一轮复习
考向37圆锥曲线中的范围、最值问题(重点)-备战2023年高考数学一轮复习考点微专题(全国通用)(解析版)_2.2025数学总复习_赠品通用版(老高考)复习资料_一轮复习
考向37圆锥曲线中的范围、最值问题(重点)-备战2023年高考数学一轮复习考点微专题(全国通用)(解析版)_2.2025数学总复习_赠品通用版(老高考)复习资料_一轮复习
考向37圆锥曲线中的范围、最值问题(重点)-备战2023年高考数学一轮复习考点微专题(全国通用)(解析版)_2.2025数学总复习_赠品通用版(老高考)复习资料_一轮复习
考向37圆锥曲线中的范围、最值问题(重点)-备战2023年高考数学一轮复习考点微专题(全国通用)(解析版)_2.2025数学总复习_赠品通用版(老高考)复习资料_一轮复习
考向37圆锥曲线中的范围、最值问题(重点)-备战2023年高考数学一轮复习考点微专题(全国通用)(解析版)_2.2025数学总复习_赠品通用版(老高考)复习资料_一轮复习
考向37圆锥曲线中的范围、最值问题(重点)-备战2023年高考数学一轮复习考点微专题(全国通用)(解析版)_2.2025数学总复习_赠品通用版(老高考)复习资料_一轮复习
考向37圆锥曲线中的范围、最值问题(重点)-备战2023年高考数学一轮复习考点微专题(全国通用)(解析版)_2.2025数学总复习_赠品通用版(老高考)复习资料_一轮复习
考向37圆锥曲线中的范围、最值问题(重点)-备战2023年高考数学一轮复习考点微专题(全国通用)(解析版)_2.2025数学总复习_赠品通用版(老高考)复习资料_一轮复习
考向37圆锥曲线中的范围、最值问题(重点)-备战2023年高考数学一轮复习考点微专题(全国通用)(解析版)_2.2025数学总复习_赠品通用版(老高考)复习资料_一轮复习
考向37圆锥曲线中的范围、最值问题(重点)-备战2023年高考数学一轮复习考点微专题(全国通用)(解析版)_2.2025数学总复习_赠品通用版(老高考)复习资料_一轮复习
考向37圆锥曲线中的范围、最值问题(重点)-备战2023年高考数学一轮复习考点微专题(全国通用)(解析版)_2.2025数学总复习_赠品通用版(老高考)复习资料_一轮复习
考向37圆锥曲线中的范围、最值问题(重点)-备战2023年高考数学一轮复习考点微专题(全国通用)(解析版)_2.2025数学总复习_赠品通用版(老高考)复习资料_一轮复习
考向37圆锥曲线中的范围、最值问题(重点)-备战2023年高考数学一轮复习考点微专题(全国通用)(解析版)_2.2025数学总复习_赠品通用版(老高考)复习资料_一轮复习
考向37圆锥曲线中的范围、最值问题(重点)-备战2023年高考数学一轮复习考点微专题(全国通用)(解析版)_2.2025数学总复习_赠品通用版(老高考)复习资料_一轮复习
考向37圆锥曲线中的范围、最值问题(重点)-备战2023年高考数学一轮复习考点微专题(全国通用)(解析版)_2.2025数学总复习_赠品通用版(老高考)复习资料_一轮复习
考向37圆锥曲线中的范围、最值问题(重点)-备战2023年高考数学一轮复习考点微专题(全国通用)(解析版)_2.2025数学总复习_赠品通用版(老高考)复习资料_一轮复习
考向37圆锥曲线中的范围、最值问题(重点)-备战2023年高考数学一轮复习考点微专题(全国通用)(解析版)_2.2025数学总复习_赠品通用版(老高考)复习资料_一轮复习
考向37圆锥曲线中的范围、最值问题(重点)-备战2023年高考数学一轮复习考点微专题(全国通用)(解析版)_2.2025数学总复习_赠品通用版(老高考)复习资料_一轮复习
考向37圆锥曲线中的范围、最值问题(重点)-备战2023年高考数学一轮复习考点微专题(全国通用)(解析版)_2.2025数学总复习_赠品通用版(老高考)复习资料_一轮复习
考向37圆锥曲线中的范围、最值问题(重点)-备战2023年高考数学一轮复习考点微专题(全国通用)(解析版)_2.2025数学总复习_赠品通用版(老高考)复习资料_一轮复习
考向37圆锥曲线中的范围、最值问题(重点)-备战2023年高考数学一轮复习考点微专题(全国通用)(解析版)_2.2025数学总复习_赠品通用版(老高考)复习资料_一轮复习
考向37圆锥曲线中的范围、最值问题(重点)-备战2023年高考数学一轮复习考点微专题(全国通用)(解析版)_2.2025数学总复习_赠品通用版(老高考)复习资料_一轮复习

文档信息

文档格式
docx
文档大小
1.493 MB
文档页数
26 页
上传时间
2026-03-27 06:47:27

文档内容

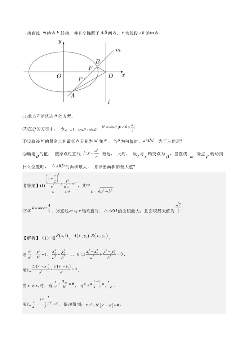
考向 37 圆锥曲线中的范围、 最值问题 8.(2022·浙江卷T21)如图,已知椭圆 .设A,B是椭圆上异于 的两点,且点 在线段 上,直线 分别交直线 于C,D两点. (1)求点P到椭圆上点的距离的最大值; (2)求 的最小值. 【答案】(1) ; (2) . 【解析】 (1)设 是椭圆上任意一点, ,则,当且仅当 时取等号,故 的最大值是 . (2)设直线 ,直线 方程与椭圆 联立,可得 , 设 ,所以 , 因为直线 与直线 交于 , 则 ,同理可得, .则 , 当且仅当 时取等号,故 的最小值为 . 【点睛】本题主要考查最值的计算,第一问利用椭圆的参数方程以及二次函数的性质较好解决,第二问思路简单,运算量较大,求最值的过程中还使用到柯西不等式求最值,对学生的综合能力要求较高,属于较 难题. 1.解决圆锥曲线中的取值范围问题应考虑的五个方面 (1)利用圆锥曲线的几何性质或判别式构造不等关系,从而确定参数的取值范围. (2)利用已知参数的范围,求新参数的范围,解这类问题的核心是建立两个参数之间的等量关系. (3)利用隐含的不等关系建立不等式,从而求出参数的取值范围. (4)利用已知的不等关系构造不等式,从而求出参数的取值范围. (5)利用求函数的值域的方法将待求量表示为其他变量的函数,求其值域,从而确定参数的取值范围. 2.几何方法求解圆锥曲线中的最值问题,即通过圆锥曲线的定义、几何性质将最值转化,利用平面几何中 的定理、性质,结合图形的直观性求解最值问题,常用的结论有: (1)两点间线段最短; (2)点到直线的垂线段最短. 1.已知椭圆的一个顶点A(0,-1),焦点在x轴上,离心率为. (1)求椭圆的标准方程; (2)设直线y=kx+m(k≠0)与椭圆交于不同的两点M,N.当|AM|=|AN|时,求m的取值范围. 【答案】(1)+y2=1;(2). 【解析】(1)设椭圆的标准方程为+=1(a>b>0),联立 解得故椭圆的标准方程为+y2=1. (2)设P(x,y)为弦MN的中点,M(x,y),N(x,y). 0 0 1 1 2 2 联立得(4k2+1)x2+8kmx+4(m2-1)=0. 则x+x=,xx=. 1 2 1 2 Δ=(8km)2-16(4k2+1)(m2-1)>0,所以m2<1+4k2. ① 所以x==-,y=kx+m=. 0 0 0 所以k ==-. AP 又|AM|=|AN|,所以AP⊥MN, 则-=-,即3m=4k2+1. ② 把②代入①得m2<3m,解得0<m<3.由②得k2=>0,解得m>. 综上可知,m的取值范围为. 2.已知直线l:x-y+1=0与焦点为F的抛物线C:y2=2px(p>0)相切. (1)求抛物线C的方程; (2)过焦点F的直线m与抛物线C分别相交于A,B两点,求A,B两点到直线l的距离之和的最小值. 【答案】(1)y2=4x;(2) 【解析】(1)∵直线l:x-y+1=0与抛物线C:y2=2px(p>0)相切, 联立消去x得y2-2py+2p=0,从而Δ=4p2-8p=0,解得p=2或p=0(舍去). ∴抛物线C的方程为y2=4x. (2)由于直线m的斜率不为0, 可设直线m的方程为ty=x-1,A(x,y),B(x,y). 1 1 2 2 联立消去x得y2-4ty-4=0,∵Δ>0, ∴y+y=4t,即x+x=4t2+2, 1 2 1 2 ∴线段AB的中点M的坐标为(2t2+1,2t). 设点A到直线l的距离为d ,点B到直线l的距离为d ,点M到直线l的距离为d, A B 则d +d =2d=2·=2|t2-t+1|=2, A B ∴当t=时,A,B两点到直线l的距离之和最小,最小值为. 3.设圆x2+y2+2x-15=0的圆心为A,直线l过点B(1,0)且与x轴不重合,l交圆A于C,D两点,过B作 AC的平行线交AD于点E. (1)证明|EA|+|EB|为定值,并写出点E的轨迹方程; (2)设点E的轨迹为曲线C ,直线l交C 于M,N两点,过B且与l垂直的直线与圆A交于P,Q两点, 1 1 求四边形MPNQ面积的取值范围. 【答案】(1)证明见解析;(2)[12,8) 【解析】(1)因为|AD|=|AC|,EB∥AC, 故∠EBD=∠ACD=∠ADC, 所以|EB|=|ED|, 故|EA|+|EB|=|EA|+|ED|=|AD|. 又圆A的标准方程为(x+1)2+y2=16,从而|AD|=4,所以|EA|+|EB|=4. 由题设得A(-1,0),B(1,0),|AB|=2,由椭圆定义可得点E的轨迹方程为+=1(y≠0). (2)当l与x轴不垂直时,设l的方程为y=k(x-1)(k≠0),M(x,y),N(x,y). 1 1 2 2 由得(4k2+3)x2-8k2x+4k2-12=0. Δ>0恒成立,则x+x=,xx=, 1 2 1 2 所以|MN|=|x-x|=. 1 2 过点B(1,0)且与l垂直的直线m:y=-(x-1), 点A到m的距离为,所以|PQ|=2=4. 故四边形MPNQ的面积S=|MN||PQ|=12.可得当l与x轴不垂直时,四边形MPNQ面积的取值范围为(12,8),当l与x轴垂直时,其方程为x= 1,|MN|=3,|PQ|=8,四边形MPNQ的面积为12. 综上,四边形MPNQ面积的取值范围为[12,8). 4.已知椭圆C:+=1(a>b>0)过点M(2,3),点A为其左顶点,且AM的斜率为. (1)求C的方程; (2)点N为椭圆上任意一点,求△AMN的面积的最大值. 【答案】(1)+=1;(2)18 【解析】 (1)由题意可知直线AM的方程为y-3=(x-2),即x-2y=-4. 当y=0时,解得x=-4,所以a=4. 由椭圆C:+=1(a>b>0)过点M(2,3),可得+=1,解得b2=12. 所以C的方程为+=1. (2)设与直线AM平行的直线方程为x-2y=m. 如图所示,当直线与椭圆相切时,与AM距离比较远的直线与椭圆的切点为N,此时△AMN的面积取 得最大值. 联立可得3(m+2y)2+4y2=48, 化简可得16y2+12my+3m2-48=0,所以Δ=144m2-4×16(3m2-48)=0, 即m2=64,解得m=±8,与AM距离比较远的直线方程为x-2y=8, 点N到直线AM的距离即两平行线之间的距离,即d==, 由两点之间的距离公式可得 |AM|==3. 所以△AMN的面积的最大值为×3×=18. 5.已知点A(0,-2),椭圆E:+=1(a>b>0)的离心率为,F是椭圆E的右焦点,直线AF的斜率为,O为坐 标原点. (1)求E的方程; (2)设过点A的动直线l与E相交于P,Q两点,当△OPQ的面积最大时,求l的方程. 【答案】(1)+y2=1;(2)2y±x+4=0 【解析】 (1)设F(c,0),由条件知,=,得c=. 又=,所以a=2,b2=a2-c2=1.故E的方程为+y2=1. (2)当l⊥x轴时不合题意,故设l:y=kx-2,P(x,y),Q(x,y). 1 1 2 2 将y=kx-2代入+y2=1,得(1+4k2)x2-16kx+12=0.当Δ=16(4k2-3)>0,即k2>时,x =. 1,2 从而|PQ|=|x-x|=. 1 2 又点O到直线PQ的距离d=. 所以△OPQ的面积S =·d·|PQ|=. △OPQ 设=t,则t>0,S ==≤1. △OPQ 当且仅当t=2,即k=±时等号成立,且满足Δ>0. 所以当△OPQ的面积最大时,l的方程为2y±x+4=0. 6.已知椭圆C:+y2=1的右焦点为F,过点F的直线(不与x轴重合)与椭圆C相交于A,B两点,直线l:x =2与x轴相交于点H.求四边形OAHB(O为坐标原点)面积的最大值. 【答案】 【解析】由题意得,F(1,0),设直线AB:x=my+1(m∈R),A(x,y),B(x,y), 1 1 2 2 由消去x,得(m2+2)y2+2my-1=0. 则Δ=4m2+4(m2+2)>0,y+y=-,yy=-, 1 2 1 2 ∴|y-y|=== 1 2 ∴四边形OAHB的面积S=|OH|·|y-y|=|y-y|=. 1 2 1 2 令=t,则t≥1,S==. ∵t+≥2(当且仅当t=1,即m=0时取等号),∴0