当前位置:首页>文档>专题08水溶液中的离子反应与平衡(练习)(解析版)_05高考化学_新高考复习资料_2024年新高考资料_二轮复习资料_2024年高考化学二轮复习讲练测(新教材新高考)_配套练习(原卷版+解析版)

专题08水溶液中的离子反应与平衡(练习)(解析版)_05高考化学_新高考复习资料_2024年新高考资料_二轮复习资料_2024年高考化学二轮复习讲练测(新教材新高考)_配套练习(原卷版+解析版)

  • 2026-04-02 16:29:24 2026-03-27 09:40:01

文档预览

专题08水溶液中的离子反应与平衡(练习)(解析版)_05高考化学_新高考复习资料_2024年新高考资料_二轮复习资料_2024年高考化学二轮复习讲练测(新教材新高考)_配套练习(原卷版+解析版)
专题08水溶液中的离子反应与平衡(练习)(解析版)_05高考化学_新高考复习资料_2024年新高考资料_二轮复习资料_2024年高考化学二轮复习讲练测(新教材新高考)_配套练习(原卷版+解析版)
专题08水溶液中的离子反应与平衡(练习)(解析版)_05高考化学_新高考复习资料_2024年新高考资料_二轮复习资料_2024年高考化学二轮复习讲练测(新教材新高考)_配套练习(原卷版+解析版)
专题08水溶液中的离子反应与平衡(练习)(解析版)_05高考化学_新高考复习资料_2024年新高考资料_二轮复习资料_2024年高考化学二轮复习讲练测(新教材新高考)_配套练习(原卷版+解析版)
专题08水溶液中的离子反应与平衡(练习)(解析版)_05高考化学_新高考复习资料_2024年新高考资料_二轮复习资料_2024年高考化学二轮复习讲练测(新教材新高考)_配套练习(原卷版+解析版)
专题08水溶液中的离子反应与平衡(练习)(解析版)_05高考化学_新高考复习资料_2024年新高考资料_二轮复习资料_2024年高考化学二轮复习讲练测(新教材新高考)_配套练习(原卷版+解析版)
专题08水溶液中的离子反应与平衡(练习)(解析版)_05高考化学_新高考复习资料_2024年新高考资料_二轮复习资料_2024年高考化学二轮复习讲练测(新教材新高考)_配套练习(原卷版+解析版)
专题08水溶液中的离子反应与平衡(练习)(解析版)_05高考化学_新高考复习资料_2024年新高考资料_二轮复习资料_2024年高考化学二轮复习讲练测(新教材新高考)_配套练习(原卷版+解析版)
专题08水溶液中的离子反应与平衡(练习)(解析版)_05高考化学_新高考复习资料_2024年新高考资料_二轮复习资料_2024年高考化学二轮复习讲练测(新教材新高考)_配套练习(原卷版+解析版)
专题08水溶液中的离子反应与平衡(练习)(解析版)_05高考化学_新高考复习资料_2024年新高考资料_二轮复习资料_2024年高考化学二轮复习讲练测(新教材新高考)_配套练习(原卷版+解析版)
专题08水溶液中的离子反应与平衡(练习)(解析版)_05高考化学_新高考复习资料_2024年新高考资料_二轮复习资料_2024年高考化学二轮复习讲练测(新教材新高考)_配套练习(原卷版+解析版)
专题08水溶液中的离子反应与平衡(练习)(解析版)_05高考化学_新高考复习资料_2024年新高考资料_二轮复习资料_2024年高考化学二轮复习讲练测(新教材新高考)_配套练习(原卷版+解析版)
专题08水溶液中的离子反应与平衡(练习)(解析版)_05高考化学_新高考复习资料_2024年新高考资料_二轮复习资料_2024年高考化学二轮复习讲练测(新教材新高考)_配套练习(原卷版+解析版)
专题08水溶液中的离子反应与平衡(练习)(解析版)_05高考化学_新高考复习资料_2024年新高考资料_二轮复习资料_2024年高考化学二轮复习讲练测(新教材新高考)_配套练习(原卷版+解析版)
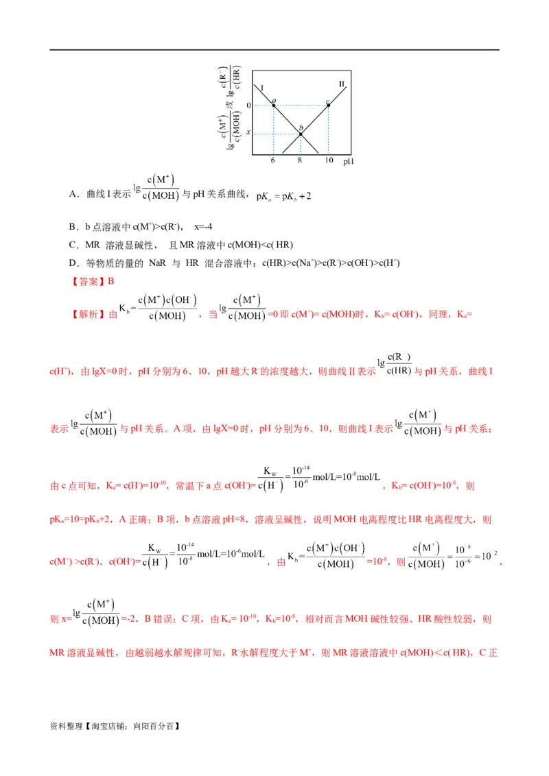
专题08水溶液中的离子反应与平衡(练习)(解析版)_05高考化学_新高考复习资料_2024年新高考资料_二轮复习资料_2024年高考化学二轮复习讲练测(新教材新高考)_配套练习(原卷版+解析版)
专题08水溶液中的离子反应与平衡(练习)(解析版)_05高考化学_新高考复习资料_2024年新高考资料_二轮复习资料_2024年高考化学二轮复习讲练测(新教材新高考)_配套练习(原卷版+解析版)
专题08水溶液中的离子反应与平衡(练习)(解析版)_05高考化学_新高考复习资料_2024年新高考资料_二轮复习资料_2024年高考化学二轮复习讲练测(新教材新高考)_配套练习(原卷版+解析版)
专题08水溶液中的离子反应与平衡(练习)(解析版)_05高考化学_新高考复习资料_2024年新高考资料_二轮复习资料_2024年高考化学二轮复习讲练测(新教材新高考)_配套练习(原卷版+解析版)
专题08水溶液中的离子反应与平衡(练习)(解析版)_05高考化学_新高考复习资料_2024年新高考资料_二轮复习资料_2024年高考化学二轮复习讲练测(新教材新高考)_配套练习(原卷版+解析版)
专题08水溶液中的离子反应与平衡(练习)(解析版)_05高考化学_新高考复习资料_2024年新高考资料_二轮复习资料_2024年高考化学二轮复习讲练测(新教材新高考)_配套练习(原卷版+解析版)
专题08水溶液中的离子反应与平衡(练习)(解析版)_05高考化学_新高考复习资料_2024年新高考资料_二轮复习资料_2024年高考化学二轮复习讲练测(新教材新高考)_配套练习(原卷版+解析版)
专题08水溶液中的离子反应与平衡(练习)(解析版)_05高考化学_新高考复习资料_2024年新高考资料_二轮复习资料_2024年高考化学二轮复习讲练测(新教材新高考)_配套练习(原卷版+解析版)
专题08水溶液中的离子反应与平衡(练习)(解析版)_05高考化学_新高考复习资料_2024年新高考资料_二轮复习资料_2024年高考化学二轮复习讲练测(新教材新高考)_配套练习(原卷版+解析版)
专题08水溶液中的离子反应与平衡(练习)(解析版)_05高考化学_新高考复习资料_2024年新高考资料_二轮复习资料_2024年高考化学二轮复习讲练测(新教材新高考)_配套练习(原卷版+解析版)
专题08水溶液中的离子反应与平衡(练习)(解析版)_05高考化学_新高考复习资料_2024年新高考资料_二轮复习资料_2024年高考化学二轮复习讲练测(新教材新高考)_配套练习(原卷版+解析版)
专题08水溶液中的离子反应与平衡(练习)(解析版)_05高考化学_新高考复习资料_2024年新高考资料_二轮复习资料_2024年高考化学二轮复习讲练测(新教材新高考)_配套练习(原卷版+解析版)
专题08水溶液中的离子反应与平衡(练习)(解析版)_05高考化学_新高考复习资料_2024年新高考资料_二轮复习资料_2024年高考化学二轮复习讲练测(新教材新高考)_配套练习(原卷版+解析版)
专题08水溶液中的离子反应与平衡(练习)(解析版)_05高考化学_新高考复习资料_2024年新高考资料_二轮复习资料_2024年高考化学二轮复习讲练测(新教材新高考)_配套练习(原卷版+解析版)
专题08水溶液中的离子反应与平衡(练习)(解析版)_05高考化学_新高考复习资料_2024年新高考资料_二轮复习资料_2024年高考化学二轮复习讲练测(新教材新高考)_配套练习(原卷版+解析版)
专题08水溶液中的离子反应与平衡(练习)(解析版)_05高考化学_新高考复习资料_2024年新高考资料_二轮复习资料_2024年高考化学二轮复习讲练测(新教材新高考)_配套练习(原卷版+解析版)
专题08水溶液中的离子反应与平衡(练习)(解析版)_05高考化学_新高考复习资料_2024年新高考资料_二轮复习资料_2024年高考化学二轮复习讲练测(新教材新高考)_配套练习(原卷版+解析版)
专题08水溶液中的离子反应与平衡(练习)(解析版)_05高考化学_新高考复习资料_2024年新高考资料_二轮复习资料_2024年高考化学二轮复习讲练测(新教材新高考)_配套练习(原卷版+解析版)
专题08水溶液中的离子反应与平衡(练习)(解析版)_05高考化学_新高考复习资料_2024年新高考资料_二轮复习资料_2024年高考化学二轮复习讲练测(新教材新高考)_配套练习(原卷版+解析版)
专题08水溶液中的离子反应与平衡(练习)(解析版)_05高考化学_新高考复习资料_2024年新高考资料_二轮复习资料_2024年高考化学二轮复习讲练测(新教材新高考)_配套练习(原卷版+解析版)
专题08水溶液中的离子反应与平衡(练习)(解析版)_05高考化学_新高考复习资料_2024年新高考资料_二轮复习资料_2024年高考化学二轮复习讲练测(新教材新高考)_配套练习(原卷版+解析版)
专题08水溶液中的离子反应与平衡(练习)(解析版)_05高考化学_新高考复习资料_2024年新高考资料_二轮复习资料_2024年高考化学二轮复习讲练测(新教材新高考)_配套练习(原卷版+解析版)
专题08水溶液中的离子反应与平衡(练习)(解析版)_05高考化学_新高考复习资料_2024年新高考资料_二轮复习资料_2024年高考化学二轮复习讲练测(新教材新高考)_配套练习(原卷版+解析版)
专题08水溶液中的离子反应与平衡(练习)(解析版)_05高考化学_新高考复习资料_2024年新高考资料_二轮复习资料_2024年高考化学二轮复习讲练测(新教材新高考)_配套练习(原卷版+解析版)
专题08水溶液中的离子反应与平衡(练习)(解析版)_05高考化学_新高考复习资料_2024年新高考资料_二轮复习资料_2024年高考化学二轮复习讲练测(新教材新高考)_配套练习(原卷版+解析版)
专题08水溶液中的离子反应与平衡(练习)(解析版)_05高考化学_新高考复习资料_2024年新高考资料_二轮复习资料_2024年高考化学二轮复习讲练测(新教材新高考)_配套练习(原卷版+解析版)
专题08水溶液中的离子反应与平衡(练习)(解析版)_05高考化学_新高考复习资料_2024年新高考资料_二轮复习资料_2024年高考化学二轮复习讲练测(新教材新高考)_配套练习(原卷版+解析版)
专题08水溶液中的离子反应与平衡(练习)(解析版)_05高考化学_新高考复习资料_2024年新高考资料_二轮复习资料_2024年高考化学二轮复习讲练测(新教材新高考)_配套练习(原卷版+解析版)

文档信息

文档格式
docx
文档大小
1.429 MB
文档页数
38 页
上传时间
2026-03-27 09:40:01

文档内容

专题 08 水溶液中的离子反应与平衡 目 录 01 弱电解质的电离平衡 02 水的电离和溶液的酸碱性 03 酸碱中和滴定 04 盐类水解和粒子浓度大小比较 05 难溶电解质的溶解平衡 01 弱电解质的电离平衡 1.已知NH ·H O为弱碱,下列实验事实能证明某酸HA为弱酸的是( ) 3 2 A.浓度为0.1 mol·L-1HA的导电性比浓度为0.1 mol·L-1硫酸的导电性弱 B.0.1 mol·L-1 NH A溶液的pH等于7 4 C.0.1 mol·L-1的HA溶液能使甲基橙变红色 D.等物质的量浓度的NaA和HA混合溶液pH小于7 【答案】B 【解析】A项,硫酸为二元强酸,当浓度均为0.1 mol·L-1时,硫酸溶液中的离子浓度一定大于HA溶 液中离子的浓度,不能说明HA是否完全电离,A项错误;B项,NH A溶液中,由于NH +水解使溶液呈 4 4 酸性,若HA为强酸,NH A溶液pH<7,而pH=7说明A-水解,说明HA为弱酸,B项正确;C项,当 4 溶液的pH小于3.1时,甲基橙均能变红色,不能说明0.1 mol·L-1的HA溶液pH是否大于1,C项错误;D 项, 若HA为强酸,等浓度的NaA、HA混合溶液pH也小于7,D项错误;故选B。 资料整理【淘宝店铺:向阳百分百】2.已知25 ℃时有关弱酸的电离平衡常数如下表: 弱酸化学式 HX HY HCO 2 3 K =4.4×10-7 电离平衡常数/mol·L-1 7.8×10-9 3.7×10-15 1 K =4.7×10-11 2 下列推断正确的是( ) A.HX、HY两种弱酸的酸性:HX>HY B.相同条件下溶液的碱性:NaX>NaCO>NaY>NaHCO 2 3 3 C.结合H+的能力:CO>Y->X->HCO D.HX和HY酸性相同,都比HCO 弱 2 3 【答案】A 【解析】根据电离平衡常数可知酸性:HCO >HX>HCO>HY,则结合H+的能力:Y->CO>X-> 2 3 HCO,故A正确、C、D错误;酸越弱,其对应的盐的水解能力越强,故相同条件下溶液的碱性:NaY> NaCO>NaX>NaHCO ,故B错误。 2 3 3 3.根据下表提供的数据,判断下列离子方程式或化学方程式正确的是( ) 化学式 电离常数 HClO K=3×10-8 HCO K =4×10-7 K =6×10-11 2 3 a1 a2 A.向NaCO 溶液中滴加少量氯水:CO+2Cl+HO===2Cl-+2HClO+CO↑ 2 3 2 2 2 B.向NaHCO 溶液中滴加少量氯水:2HCO+Cl===Cl-+ClO-+2CO↑+HO 3 2 2 2 C.向NaClO溶液中通入少量CO:CO+NaClO+HO===NaHCO+HClO 2 2 2 3 D.向NaClO溶液中通入过量CO:CO+2NaClO+HO===Na CO+2HclO 2 2 2 2 3 【答案】C 【解析】HClO的电离常数小于HCO 的第一步电离,向NaCO 溶液中滴加少量氯水,不能生成二氧 2 3 2 3 化碳,应该生成碳酸氢根,A项错误;向NaHCO 溶液中滴加少量氯水,氯水中的氯化氢和碳酸氢钠反应 3 生成氯化钠、二氧化碳和水,次氯酸不能和碳酸氢钠反应,产物应为次氯酸,B项错误;向NaClO溶液中 通入过量CO,反应生成碳酸氢钠和次氯酸,D项错误。 2 4.(2023·北京市牛栏山一中高三检测)室温下,对于1L 醋酸溶液,下列判断正确的是( ) A.该溶液中CHCOO-的粒子数为 个 3 B.加入少量CHCOONa固体后,溶液的pH升高 3 C.滴加NaOH溶液过程中,c(CHCOO-)与c(CHCOOH)之和始终为0.1mol/L 3 3 D.与NaCO 溶液反应的离子方程式为CO2-+2H+=H O+CO↑ 2 3 3 2 2 【答案】B 【解析】A项, 1L 0.1mol•L-1醋酸溶液中醋酸的物质的量为0.1mol,醋酸属于弱酸,是弱电解质,在 溶液中部分电离,则CHCOO-的粒子数小于6.02×1022,A项错误;B项,加入少量CHCOONa固体后,溶 3 3 液中CHCOO-的浓度增大,根据同离子效应,会抑制醋酸的电离,溶液中的氢离子浓度减小,酸性减弱, 3 则溶液的pH升高,B项正确;C项,1L 0.1mol•L-1醋酸溶液中醋酸的物质的量为0.1mol,滴加NaOH溶液 资料整理【淘宝店铺:向阳百分百】过程中,溶液中始终存在物料守恒,n(CHCOO-)+n(CH COOH)=0.1mol,但溶液体积不确定,故二者浓度 3 3 之和无法计算,C项错误;D项,醋酸是弱电解质,离子反应中不能拆写,则离子方程式为CO2- 3 +2CH COOH=H O+CO↑+2CH COO-,D项错误;故选B。 3 2 2 3 5.醋酸溶液中存在电离平衡:CHCOOH H++CHCOO-,下列叙述不正确的是 3 3 A.0.1 mol/L 的CHCOOH 溶液加水稀释或加热均可使CHCOO-的物质的量增多 3 3 B.0.1 mol/L 的CHCOOH 溶液加水稀释,c(CHCOO-)/[c(CHCOOH) ·c(OH-)]不变 3 3 3 C.向0.1 mol/L CH COOH溶液中加入少量纯醋酸,平衡向右移动,电离程度增大 3 D.0.1 mol/L CH COOH溶液加水稀释后,溶液中c(CHCOOH)/c(CHCOO-)的值减小 3 3 3 【答案】C 【解析】A项,0.1 mol/L 的CHCOOH 溶液加水稀释或加热,平衡正向移动,均可使CHCOO-的物 3 3 质的量增多,故不选A;B项,0.1 mol/L 的CHCOOH 溶液加水稀释,c(CHCOO-)/[c(CHCOOH) 3 3 3 ·c(OH-)]=K/K ,只受温度影响,加水稀释不发生变化,故不选B;C项,向0.1 mol/L CH COOH溶液中 a w 3 加入少量纯醋酸,平衡向右移动,电离程度减小,故选C;D项,0.1 mol/L CH COOH溶液加水稀释,平 3 衡正向移动,溶液中c(CHCOOH)/c(CHCOO-)= n(CHCOOH)/n(CHCOO-)的值减小,故不选D。 3 3 3 3 6.(2023·浙江省宁波市高三选考模拟考试)下列说法正确的是( ) A.25℃时,将pH=5的醋酸溶液与pH=5的盐酸等体积混合,混合后溶液pH>5 B.25℃时,等浓度的盐酸与醋酸分别稀释相同倍数,稀释后溶液pH:盐酸<醋酸 C.25℃时,等体积、等pH的盐酸与醋酸分别用等浓度的NaOH溶液中和,盐酸消耗NaOH溶液多 D.25℃时,pH=3的一元酸HA溶液与pH=11的一元碱MOH溶液等体积混合后溶液呈酸性,则HA 是强酸 【答案】B 【解析】A项,pH=5的醋酸溶液与pH=5的盐酸中氢离子浓度相同,都是10-5mol/L,等体积混合后, 氢离子浓度不变,故pH为5,A错误;B项,等浓度的盐酸与醋酸分别稀释相同倍数后其浓度依然相同, 醋酸是弱酸,部分电离,氢离子浓度较小,pH大,B正确;C项,等体积、等pH的盐酸与醋酸,其中醋 酸的浓度大,用氢氧化钠中和时消耗的氢氧化钠较多,C错误;D项,混合后溶液呈酸性,说明酸的浓度 较大,则酸HA为弱酸,MOH是相对较强的碱,但是不一定是强碱,D错误;故选B。 7.已知某温度下 CHCOOH 和 NH ·H O 的电离常数相等,现向 10 mL 浓度为 0.1 mol·L-1的 3 3 2 CHCOOH溶液中滴加相同浓度的氨水,在滴加过程中( ) 3 A.水的电离程度始终增大 B.c(NH)/c(NH ·H O)先增大再减小 3 2 C.c(CHCOOH)与c(CHCOO-)之和始终保持不变 3 3 D.当加入氨水的体积为10 mL时,c(NH)=c(CHCOO-) 3 【答案】D 【解析】开始滴加氨水时,水的电离程度增大,二者恰好完全反应时,水的电离程度最大,再继续滴 加氨水时,水的电离程度减小,A项错误;向醋酸中滴加氨水,溶液的酸性减弱,碱性增强,c(OH-)增大, 资料整理【淘宝店铺:向阳百分百】由 NH ·H O NH+OH-可知 K=,则=,故减小,B 项错误;根据原子守恒知 n(CHCOO-)与 3 2 3 n(CHCOOH)之和不变,但滴加氨水过程中,溶液体积不断增大,故 c(CHCOO-)与c(CHCOOH)之和减小, 3 3 3 C项错误;由CHCOOH和NH ·H O的电离常数相等可知当二者恰好完全反应时,溶液呈中性,结合电荷 3 3 2 守恒知c(CHCOO-)+c(OH-)=c(NH)+c(H+),则c(CHCOO-)=c(NH),D项正确。 3 3 8.(2023·浙江省诸暨市高三适应性考试)已知HR为二元弱酸,K (H R)=5.4×10-2,K (H R)=5.4×10- 2 a1 2 a2 2 5。室温下,下列说法不正确的是( ) A.0.1mol/L NaHR溶液pH<7 B.用NaOH溶液中和一定量的HR溶液至呈中性时,溶液中c(HR-)<c(R2-) 2 C.0.1mol/L H R溶液:.2mol/L+c(OH-)=c(H+)+c(H R)+c(HR-) 2 2 D.0.01mol/L的HR溶液与pH=12的NaOH溶液完全中和时,消耗酸与碱溶液的体积比为1∶2 2 【答案】C 【解析】A项,NaHR是弱酸HR的酸式盐,存在电离和水解, ,电离强于 2 水解,0.1mol/L NaHR溶液pH<7,A正确;B项,用NaOH溶液中和一定量的 HR溶液至呈中性时, 2 c(OH-)=c(H+)=10-7mol/L, ,故溶液中c(HR-)<c(R2-),B 正确;C 项,0.1mol/L H R 溶液中根据电荷守恒和元素守恒可得 c(HR)+c(HR-)+c(R2-)=0.1mol/L, 2 2 c(H+)=c(HR-)+2c(R2-)+c(OH-) , 故 .2mol/L+c(OH-)=c(H+)+2c(H R)+c(HR-) , C 错 误 ; D 项 , 2 HR+2NaOH=2HO+Na R,0.01mol/L的HR(二元酸)溶液与pH=12即0.01mol/L的NaOH溶液完全中和时, 2 2 2 2 消耗酸与碱溶液的体积比为1∶2,D正确;故选C。 9.(2024·山西吕梁高三阶段性测试)草酸(乙二酸)存在于自然界的植物中,其K =5.2×10-2,K =5.4×10- a1 a2 5。草酸的钠盐和钾盐易溶于水,而其钙盐难溶于水。草酸晶体(HC O·2H O)无色,熔点为101℃,易溶于 2 2 4 2 水,受热脱水、升华,170℃以上分解。有关草酸性质说法错误的是( ) A.草酸晶体(HC O·2H O)受热时先熔化后分解 2 2 4 2 B.草酸与澄清石灰水反应的离子方程式为:Ca2++2OH-+H C O =CaC O↓+2H O 2 2 4 2 4 2 C.草酸溶液中加入少量NaHCO 溶液,产生气泡:HC O+NaHCO=NaHC O+2CO +2H O 3 2 2 4 3 2 4 2 2 D.HC O 具有还原性,把草酸滴入酸性高锰酸钾溶液,溶液褪色,发生的反应为:2 MnO -+5C O2- 2 2 4 4 2 4 +16H+=2 Mn2++10CO ↑+8H O 2 2 【答案】D 【解析】A项,草酸晶体熔点为101℃,170℃以上分解,故A正确;B项,HC O 为二元弱酸,能与 2 2 4 氢氧化钙溶液发生中和反应,生成白色沉淀草酸钙和水,故B正确;C项,产生气泡证明有CO 产生,因 2 此可证明酸性HC O>H CO,加入少量NaHCO 溶液,草酸生成酸式盐,反应方程式为: 2 2 4 2 3 3 HC O+NaHCO=NaHC O+2CO +2H O,故C正确;D项,由其K值可知,草酸为弱酸,故在其参与的 2 2 4 3 2 4 2 2 资料整理【淘宝店铺:向阳百分百】离子方程式中要写其化学式,不能用草酸根表示,故D错误;故选D。 10.(2024·云南昆明高三适应性考试)已知:Ag++NH=[Ag(NH)]+ K=103.32、[Ag(NH)]+ +NH 3 3 1 3 3 [Ag(NH)]+ K ,Ag+、[Ag(NH)]+、[Ag(NH)]+的分布系数 δ 与 lg[c(NH)/(mol·L-1)]关系如图所示, 3 2 2 . 3 3 2 3 。下列说法错误的是( ) A.曲线b代表[Ag(NH)]+ 3 2 B.[Ag(NH)]+ Ag+ +2NH 的平衡常数K=10-7.22 3 2 3 C.K=103.90 2 D.当c(NH )<0.01mol·L-1时,银元素主要以[Ag(NH)]+形式存在 3 3 2 【答案】D 【解析】随着NH 浓度的增大,Ag+与NH 的反应、[Ag(NH)]+与NH 的反应的化学平衡均正向移动, 3 3 3 3 因此NH 浓度的增大,银离子分布分数逐渐减小,[Ag(NH)]+分布分数先增大后减小,[Ag(NH)]+分布分 3 3 3 2 数逐渐增大,故a表示Ag+,b表示[Ag(NH)]+,c表示[Ag(NH)]+ 。A项,曲线b代表[Ag(NH)]+,A正 3 2 3 3 2 确;B项,从图中可知,lgc(NH)=-3.61时,银离子的分布分数等于[Ag(NH)]+的分布分数,此时 3 3 2 ,[Ag(NH)]+ Ag+ +2NH 的平衡常数K=c2(NH )=(10-3.61)2=10-7.22, B正确; 3 2 3 3 C项,从图中可知,lgc(NH)约为-3.90时,[Ag(NH)]+和[Ag(NH)]+的分布分数相同,则K= 3 3 2 3 2 ,C正确;D项,从图中可知,c(NH )<0.01mol/L时,Ag元素先后以Ag+、 3 [Ag(NH)]+等形式存在,D错误;故选D。 3 2 11.(2024·陕西商洛部分学校高三联考)常温下,向浓度均为 、体积均为 的一元酸 HX、HY溶液中分别滴加等浓度的 溶液,混合溶液中的粒子浓度变化关系如图所示。 资料整理【淘宝店铺:向阳百分百】下列说法正确的是( ) A.常温下,K(HY)=1×10-7 a B.将pH相等的 溶液均稀释10倍,稀释后溶液的pH:HX>HY C.滴加 溶液至N点时,加入的 溶液体积为 D.M点溶液中:c(X-)>c(K+)>c(OH―)>c(H+) 【答案】A 【解析】A项, ,由图可得,K(HY)=1×10-7,A正确;B项, a , ,由图可得, ,K(HY)=1×10-7,则酸性HX<HY,酸性越弱,稀释相同倍数,pH变化越小,将pH相 a 等的HX、HY溶液均稀释10倍,稀释后溶液的HX、HY:HX<HY,B错误;C项,向浓度为 0.1mol·L-1、体积为20 mL的一元酸HY溶液中滴加等浓度的KOH溶液,当加入的KOH溶液体积为20 mL时,HY与KOH恰好完全反应,生成KY,由于HY为弱酸,则KY为强碱弱酸盐,其水溶液呈碱性, 不是N点,C错误;D项,M点溶液中存在电荷守恒c(K+)+ c(H+)=c(X-)+ c(OH―),由图可知,M点溶液 中c(H+)= 1.0×10-8mol·L-1,c(H+)<c(OH―),则c(K+)>c(X-),M点溶液中存在c(K+)>c(X-)>c(OH―)> c(H+),D错误; 故选A。 02 水的电离和溶液的酸碱性 1.某温度下,测得0.01mol/LNaOH溶液pH=10,则下列说法正确的是( ) A.该溶液温度为25℃ B.与等体积的pH=4的盐酸刚好中和 C.该温度下蒸馏水pH=6 D.该溶液中c(H+)=10-12mol/L 【答案】C 资料整理【淘宝店铺:向阳百分百】【解析】A项,某温度下,测得0.01mol/LNaOH溶液pH=10,即氢离子浓度是10-10mol/L,氢氧化钠 是一元强碱,则氢氧根离子浓度是是0.01mol/L,所以水的离子积常数是0.01×10-10=10-12>10-14,升高温 度促进水的电离,该溶液温度大于25℃,A错误;B项,pH=4的盐酸溶液的浓度是10-4mol/L,所以与等 体积的pH=4的盐酸中和后氢氧化钠过量,B错误;C项,该温度下水的离子积常数是10-12,所以蒸馏水 的pH=6,C正确;D项,根据选项A分析可知该溶液中c(H+)=10-10mol/L,D错误;故选C。 2.常温下,关于pH=12的NaOH溶液,下列说法正确的是( ) A.溶液中c(H+)=1.×10-2 mol·L-1 B.溶液中由水电离出的c(OH-)=1.0×10-2 mol·L-1 C.加水稀释100倍后,溶液的pH=10 D.加入等体积pH=2的醋酸溶液,溶液呈中性 【答案】C 【解析】pH=12的NaOH溶液,根据离子积可知,c(H+)=1.0×10-12 mol·L-1,A项不正确;溶液中由 水电离出的c(OH-)=c(H+)=1.0×10-12 mol·L-1,B项不正确;加水稀释100倍后,溶液的pH=10,C项正确; 由于醋酸为弱酸,大部分未发生电离,反应结束后,过量的醋酸电离,使溶液呈酸性,D项不正确。 3.工农业生产和科学实验中常常涉及溶液的酸碱性,生活和健康也与溶液的酸碱性有密切关系。pH 是表示溶液酸碱度的一种方法。下列说法不正确的是( ) A.可以用pH试纸测量溶液的pH,也可以用酸度计来测量 B.测量和调控溶液的pH,对工农业生产,科学研究都具有重要意义 C.pH试纸可测量任何溶液的pH值 D.酸碱指示剂是一些有机弱酸或弱碱,在溶液中存在电离平衡,指示剂的颜色变化在一定pH范围内 发生 【答案】C 【解析】A项,可以用pH试纸测量溶液的pH,也可以用酸度计来测量,选项A正确;B项,测试和 调控溶液的pH对工农业生产、科学研究及日常生活和医疗保健都有重要意义,选项B正确;C项,不是 任何溶液的pH都能用pH试纸测,因为试纸有范围要求,也不能测量氯水等溶液的pH,选项C不正确; D项,酸碱指示剂是一些有机弱酸或弱碱,在溶液中存在电离平衡,指示剂的颜色变化在一定pH范围内 发生,选项D正确;故选C。 03 酸碱中和滴定 1.关于滴定实验的下列说法正确的是( ) A.在酸碱中和滴定过程中,眼睛应注视锥形瓶内溶液颜色的变化 B.用NaOH标准溶液滴定未知浓度的盐酸,达到滴定终点时发现滴定管尖嘴部分有悬滴,会使测定 结果偏小 C.用KMnO 标准溶液滴定草酸时,KMnO 标准溶液盛装在碱式滴定管中 4 4 D.所有的滴定实验都需要加入指示剂 资料整理【淘宝店铺:向阳百分百】【答案】A 【解析】酸碱中和滴定过程中,左手控制活塞或橡胶管内的玻璃珠,右手轻轻摇动锥形瓶,眼睛注视 锥形瓶内溶液颜色的变化,A正确;用NaOH标准溶液滴定未知浓度的盐酸,达到滴定终点时发现滴定管 尖嘴部分有悬滴,则消耗NaOH标准溶液的体积偏大,测定结果偏大,B错误;KMnO 溶液具有强氧化性, 4 易腐蚀橡胶管,所以KMnO 标准溶液要盛放在酸式滴定管中,C错误;并不是所有的滴定实验都需要加入 4 指示剂,如用KMnO 标准溶液滴定含还原性物质(如草酸等)的溶液时,不需要加指示剂,达到滴定终点时, 4 溶液由无色变为浅红色,且半分钟内不褪色,D错误。 2.实验室用标准盐酸测定某NaOH溶液的浓度,用甲基橙作指示剂,下列对测定结果的评价错误的 是( ) 选项 操作 测定结果的评价 A 酸式滴定管在装液前未用标准盐酸润洗2~3次 偏高 B 开始实验时酸式滴定管尖嘴部分有气泡,在滴定过程中气泡消失 偏高 C 锥形瓶未干燥 无影响 D 盛NaOH溶液的锥形瓶滴定前用NaOH溶液润洗2~3次 偏低 【答案】D 【解析】A项,酸式滴定管在装液前未用标准盐酸润洗 2~3次,导致标准液被稀释,滴定时消耗标准 液的体积偏大,测定结果偏高,正确;B项,开始实验时酸式滴定管尖嘴部分有气泡,在滴定过程中气泡 消失,导致消耗标准液的体积偏大,测定结果偏高,正确;C项,锥形瓶未干燥,对待测液没有影响,不 影响测定结果,正确;D项,盛NaOH溶液的锥形瓶滴定前用NaOH溶液润洗2~3次,导致待测液中 NaOH的物质的量偏大,滴定时消耗标准液的体积偏大,测定结果偏高,错误。 3.下列实验操作不会引起误差的是( ) A.酸碱中和滴定时,用待测液润洗锥形瓶 B.酸碱中和滴定时,用冲洗干净的滴定管盛装标准溶液 C.用NaOH标准溶液测定未知浓度的盐酸时,选用酚酞作指示剂,实验时不小心多加了几滴 D.用标准盐酸测定未知浓度NaOH溶液,开始实验时,酸式滴定管尖嘴部分无气泡,实验结束时有 气泡 【答案】C 【解析】A项,锥形瓶不能用待测液润洗,否则会使待测液的量偏大,消耗标准液的体积偏大,从而 使所测浓度偏大;B项,冲洗干净的滴定管无论是盛装标准溶液,还是待测溶液,都必须用待装溶液润洗 2~3次,否则会使标准溶液或待测溶液浓度偏小,影响结果;C项,在滴定过程中,指示剂多加了几滴, 一般不影响实验结果,因为指示剂不会改变反应过程中酸和碱的物质的量;D项,实验开始时酸式滴定管 中无气泡,实验结束时有气泡,会导致所读取的V(HCl)偏小,依据V(HCl)·c(HCl)=V(NaOH)·c(NaOH)得所 测的c(NaOH)偏小。 4.(2024·山东烟台高三期中)在含单质碘的KI溶液中存在可逆反应:I(aq)+I-(aq) I-(aq),为测定 2 3 该反应的平衡常数K进行如下实验,实验步骤如下: 资料整理【淘宝店铺:向阳百分百】①在装有 的KI溶液的碘量瓶中加入足量I,充分搅拌溶解,待过量的固体碘沉于瓶 2 底后,取42.5mL上层清液,用5 mL CCl 萃取,充分振荡、静置、分液,得到42.5mL萃取后的水溶液、 4 5 mLI ~ CCl 溶液。 2 4 ②取萃取后的5 mLI ~ CCl 溶液于碘量瓶中,加水充分振荡,再加入质量分数为0.01%KI溶液,充分 2 4 振荡后,静置5分钟,注入4mL0.2%的淀粉溶液,用cmol·L-1的NaSO 标准溶液滴定,平行滴定3次,平 2 2 3 均消耗V mL NaSO 溶液。 1 2 2 3 ③将萃取后的水溶液42.5mL移入碘量瓶中,注入4mL0.2%的淀粉溶液,用 的NaSO 标准溶 2 2 3 液滴定,平行滴定3次,平均消耗V mL NaSO 溶液。 2 2 2 3 已知:(1)2 Na SO+I =2Na SO+2NaI;(2)I-与I-难溶于CCl;(3)达到溶解平衡后,I 在CCl 层和水层 2 2 3 2 2 4 6 3 4 2 4 中的分配比 为85:1 I(aq)+I-(aq) I-(aq)的平衡常数K计算正确的是( ) 2 3 A. B. C. D. 【答案】A 【解析】第②步可知 ;I 在CCl 层和水层中的分配比 为 2 4 85:1所以 ,根据步骤③可知: 可以推知 由平衡可知:溶液中I-和I-之和为原溶液中碘离子浓度: 3 资料整理【淘宝店铺:向阳百分百】可求得 。将 、 、 带入 可求得: 。故选A。 5.(2024·北京丰台高三期中)某实验小组用如下实验测定海带预处理后所得溶液的碘含量,实验步骤 及现象如下: 已知:I+2Na SO=2NaI+Na SO,下列说法不正确的是( ) 2 2 2 3 2 4 6 A.溶液b为蓝色是因为发生了反应:HO+2I-+2H+=I +2H O 2 2 2 2 B.该实验可证明蓝色恢复与空气无关 C.溶液反复由无色变蓝的原因可能是HO 氧化I-的反应速率比NaSO 还原I 的反应速率快 2 2 2 2 3 2 D.上述实验不能准确测定待测液中的碘含量,应补充实验步骤:滴定前向溶液b中加少量MnO ,反 2 应至不再产生气泡,过滤,对滤液进行滴定 【答案】C 【解析】A项,向含有I-的溶液中滴加稀硫酸、淀粉、过量HO,发生反应:HO+2I- 2 2 2 2 +2H+=I +2H O,生成的I 遇淀粉变为蓝色,A正确;B项, 该实验蓝色恢复是因为过量的HO 与NaI发 2 2 2 2 2 生反应:HO+2I-+2H+=I +2H O,生成的I 遇淀粉变为蓝色,与空气无关,B正确;C项,溶液变无色,是 2 2 2 2 2 因为发生反应:I+2Na SO=2NaI+Na SO,溶液又变蓝,是因为过量的HO 与NaI发生反应:HO+2I- 2 2 2 3 2 4 6 2 2 2 2 +2H+=I +2H O,生成的I 遇淀粉变为蓝色,在加入NaSO 溶液后,溶液先变无色,随后变蓝色,可能是 2 2 2 2 2 3 HO 氧化I-的反应速率比NaSO 还原I 的反应速率慢,C错误;D项,由于HO 是过量的,可与NaI发生 2 2 2 2 3 2 2 2 反应,因此上述实验不能准确测定待测液中的碘含量,应补充实验步骤:滴定前向溶液b中加少量 MnO ,过量的HO 在MnO 的作用下分解,产生O,至不再产生气泡,即HO 完全分解后,过滤,对滤 2 2 2 2 2 2 2 液进行滴定,D正确;故选C。 6.(2024·山东潍坊五县区高三阶段监测)乙二胺四乙酸(EDTA)可与金属离子形成稳定的配合物。常用 EDTA测定水中钙含量(EDTA与钙反应时物质的量之比均为1∶1)。基本步骤如下: 资料整理【淘宝店铺:向阳百分百】①EDTA标定:取10.00 mL 0.1 mol·L-1标准CaCl 溶液,加入3滴甲基橙溶液作指示剂,用已配制好 2 的EDTA溶液滴定至终点,消耗EDTA溶液V mL。 1 ②钙提取:取一定质量的有机物,并用酸性KMnO 溶液氧化,再经萃取、反萃取将金属转移到水中, 4 得到提取液。加入掩蔽剂(掩蔽除钙之外的金属)并将pH调至11.3。 ③EDTA滴定:取20.00mL提取液,加入指示剂钙黄绿素(钙与钙黄绿素生成能发出绿色荧光的配合 物),在黑色背景下用标定后的EDTA溶液滴定至终点,消耗EDTA溶液V mL。 2 提取液中钙含量(浓度单位为 )的计算结果正确的是( ) A. B. C. D. 【答案】A 【解析】EDTA与钙反应时物质的量之比均为1∶1,则n(Ca)=n(EDTA),标定EDTA时: c(Ca2+)V(Ca2+)=c(EDTA)V ,滴定提取液时:c(Ca) V =c(EDTA)V , 则 1 提 提 2 c(Ca) = ,提取液中钙含量 mol/L×40g/mol= 提 g/L= ×103mg/L;故选A。 7.(2023·山东省高三联考)一定条件下,乙酸酐[(CH CO) O]醇解反应 3 2 [(CH CO) O+ROH→CH COOR+CH COOH]可进行完全,利用此反应定量测定有机醇(ROH)中的羟基含 3 2 3 3 量,实验过程中酯的水解可忽略。实验步骤如下: ①配制一定浓度的乙酸酐-苯溶液。 ②量取一定体积乙酸酐-苯溶液置于锥形瓶中,加入 样品,充分反应后,加适量水使剩余乙酸 酐完全水解:(CHCO) O+HO→2CH COOH。 3 2 2 3 ③加指示剂并用cmol·L-1NaOH-甲醇标准溶液滴定至终点,消耗标准溶液VmL。 1 ④在相同条件下,量取相同体积的乙酸酐-苯溶液,只加适量水使乙酸酐完全水解;加指示剂并用 cmol·L-1NaOH-甲醇标准溶液滴定至终点,消耗标准溶液VmL。根据上述实验原理,下列说法正确的是( 2 ) A.可以用乙酸代替乙酸酐进行上述实验 B.若因甲醇挥发造成标准溶液浓度发生变化,将导致测定结果偏小 资料整理【淘宝店铺:向阳百分百】C.步骤③滴定时,不慎将锥形瓶内溶液溅出,将导致测定结果偏小 D.步骤④中,若加水量不足,将导致测定结果偏大 【答案】B 【解析】用cmol·L-1NaOH-甲醇标准溶液滴定乙酸酐完全水解生成的乙酸,消耗标准溶液VmL,则消 2 耗NaOH的物质的量为(V ×c×10-3) mol,即乙酸酐的总物质的量为 ,ROH与乙酸酐反应 2 后剩余的乙酸酐的物质的量为 ,所以与ROH反应消耗的乙酸酐的物质的量为 。A项,乙酸与醇的酯化反应可逆,不能用乙酸代替乙酸酐进行上述实验, A项错误;B项,若甲醇挥发,NaOH-甲醇溶液的浓度将偏大,滴定时消耗NaOH-甲醇溶液的体积偏小, 步骤④中所得V 偏小,而ROH的物质的量为 ,故将导致测定结果偏小,B 2 项正确;C项,步骤③滴定时,不慎将锥形瓶内溶液溅出,消耗NaOH-甲醇溶液的体积偏小即V 偏小,而 1 ROH的物质的量为 ,故将导致测定结果偏大,C项错误;D项,步骤④中, 若加水量不足,乙酸酐未完全水解,生成乙酸的物质的量偏小,消耗NaOH-甲醇溶液的体积偏小即V 偏 2 小,而ROH的物质的量为 ,故将导致测定结果偏小,D项错误;故选B。 8.使用硫酸亚铁铵晶体[(NH )Fe(SO )·6H O]滴定法可以测定青铜中铬元素的含量。实验步骤如下: 4 2 4 2 2 步骤1:称量硫酸亚铁铵晶[(NH )Fe(SO )·6H O]溶于稀硫酸,加水稀释配成1000 mL0.0200 mol/L 4 2 4 2 2 (NH )Fe(SO ) 标准溶液。 4 2 4 2 步骤2:称取1.00 g青铜样品于250 mL维形瓶中,加入适量稀硝酸使其完全溶解,再加入适量过硫酸 [(NH )SO]溶液,加热煮沸,使样品中的铬元素完全转化为HCrO,冷却后加蒸馏水配制成250 mL溶液, 4 2 2 8 2 4 摇匀。 步骤3:取25 mL上述溶液置于锥形瓶中,加入硫酸酸化,滴入4滴N-苯代邻氨基苯甲酸指示剂,用 (NH )Fe(SO ) 标准溶液满淀至终点。重复上述操作3次。测得消耗(NH )Fe(SO ) 标准溶液的体积分别为 4 2 4 2 4 2 4 2 18.90 mL、17.97 mL、18.03 mL。发生反应的离子方程式为:HCrO+Fe2++H+→Cr3++Fe3++H O (未配平) 2 4 2 资料整理【淘宝店铺:向阳百分百】下列说法不正确的是( ) A.在“步骤1”中,用到的玻璃仪器有1000 mL容量瓶、烧杯、玻璃棒、胶头滴管 B.在“步骤2”中,铜与硝酸反应的离子方程式为:3Cu+2NO-+8H+=3Cu2++2NO↑+4HO 3 2 C.青铜中铬元素的质量分数为6.344% D.实验中,如果盛放(NH )Fe(SO ) 标准溶液的滴定管没有润洗,则测量结果将偏大 4 2 4 2 【答案】C 【解析】A项,在“步骤1”中配制溶液需要的玻璃仪器:1000 mL容量瓶、烧杯、玻璃棒、胶头滴管, 故A正确;B项,在“步骤2”中,铜与硝酸反应的离子方程式根据电子、电荷、原子守恒配平得方程式为: 3Cu+2NO-+8H+=3Cu2++2NO↑+4HO ,故B正确;C项,根据滴定过程(NH )Fe(SO ) 标准溶液的体积分别 3 2 4 2 4 2 为18.90 mL、17.97 mL、18.03 mL,因为第一组实验数据与第二、三组误差大而舍去,故平均消耗的溶液 体积为:V= ,反应关系式计算: , 解得x=1.2×10-4mol,则铬元素的质量分数为: = 6.24%,故C不正确;D项,实验 中,如果盛放(NH )Fe(SO ) 标准溶液的滴定管没有润洗,实际标准液被稀释,导致滴加的体积偏大,在计 4 2 4 2 算时导致测量结果偏大,故D正确;故选C。 04 盐类水解和粒子浓度大小比较 1.(2024·江西宜春高三期末)(双选)某同学拟用 计测定溶液 以探究某酸HR是否为弱电解质。下 列说法正确的是( ) A.25℃时,若测得0.01mol·L-1NaR溶液PH>7,则HR是弱酸 B.25℃时,若测得0.01mol·L-1HR溶液 且 ,则HR是弱酸 C.25℃时,若测得HR溶液 ,取该溶液 ,加蒸馏水稀释至 ,测得 , 则HR是弱酸 D.25℃时,若测得NaR溶液 ,取该溶液 ,升温至50℃,测得 , ,则HR是弱 酸 【答案】AB 【解析】A项,25℃时,测得0.01mol·L-1NaR溶液PH>7,则NaR为强碱弱酸盐,HR是弱酸,故A正 确;B项,25℃时,若HR是强酸,0.01mol·L-1HR溶液pH=1,测得 且 ,则HR是弱酸,故B 正确;C项,25℃时,若测得HR溶液pH=a,稀释10倍,测得 ,HR可能是弱酸,假设HR为 强酸,a=6,稀释10倍,pH仍小于7,故HR可能是弱酸,也可能是强酸,故C错误;D项,25℃时,若 测得NaR溶液pH=a,升温至50℃,测得pH= b,a>b,HR可能是弱酸,升温促进了弱酸的电离,假设 资料整理【淘宝店铺:向阳百分百】HR为强酸,NaR溶液呈中性,升高温度,促进水的电离,pH也减小,a>b,故HR可能是弱酸,也可能 是强酸,故D错误;故选AB。 2.将去掉氧化膜的铝片放入足量NaCO 溶液中,铝片表面产生气泡,充分反应后得到无色溶液M。 2 3 下列分析错误的是( ) A.产生的气体中有H B.反应与CO2-水解有关 2 3 C.Al(OH) 向酸式电离方向移动 D.M中含大量:Na+、Al3+、HCO - 3 3 【答案】D 【解析】在NaCO 溶液中,CO2-发生水解,生成OH-等,OH-与Al在溶液中发生反应,生成AlO- 和 2 3 3 2 H。A项,产生的气体中有H,A正确;B项,由分析可知,与Al反应的OH-来自CO2-水解,B正确;C 2 2 3 项,NaCO 溶液呈碱性,Al(OH) 表现出酸性,发生酸式电离,C正确;D项,Al3+、HCO -在溶液中能发 2 3 3 3 生双水解反应,不能大量共存,所以M中不可能含大量Al3+、HCO -,D错误;故选D。 3 3.甲胺[(CH )NH ·H O]在水中电离与氨相似,常温下,K [(CH )NH ·H O]=2.0×10-5。已知lg2=0.3。下 3 2 2 b 3 2 2 列说法错误的是( ) A.(CH)NH NO 溶液显酸性 3 3 3 B.甲胺溶液中c(OH-)随温度升高而增大 C.常温下,0.1mol/L的甲胺溶液的pH=11.3 D.0.1mol/L(CH )NH Cl溶液中离子浓度大小关系为:c(Cl-)>c[(CH )NH )+]>c(H+)>c(OH-) 3 3 3 3 【答案】C 【解析】A项,(CH)NH NO 为强酸弱碱盐,其溶液显酸性,A项正确;B项,温度升高,促进甲胺 3 3 3 电离,溶液中c(OH-)增大,B项正确;C项,0.1mol/L的甲胺溶液中, , , ,C项错误;D项,由于(CH)NH )+水解,溶液显酸性,故有: 3 3 c(Cl-)>c[(CH )NH )+]>c(H+)>c(OH-),D项正确。故选C。 3 3 4.含SO 的烟气会形成酸雨,工业上常利用NaSO 溶液作为吸收液脱除烟气中的SO ,随着SO 的吸 2 2 3 2 2 收,吸收液的pH不断变化。下列粒子浓度关系一定正确的是( ) A.NaSO 溶液中存在:c(Na+)>c(SO)>c(H SO )>c(HSO) 2 3 2 3 B.已知NaHSO 溶液pH<7,该溶液中:c(Na+)>c(HSO)>c(H SO )>c(SO) 3 2 3 C.当吸收液呈酸性时:c(Na+)=c(SO)+c(HSO)+c(H SO ) 2 3 D.当吸收液呈中性时:c(Na+)=2c(SO)+c(HSO) 【答案】D 【解析】NaSO 溶液呈碱性,溶液中粒子浓度关系为c(Na+)>c(SO)>c(OH-)>c(HSO)>c(H+)> 2 3 资料整理【淘宝店铺:向阳百分百】c(H SO ),A项错误;NaHSO 溶液pH<7,则该溶液中HSO的电离程度大于水解程度,溶液中粒子浓度 2 3 3 大小关系为c(Na+)>c(HSO)>c(H+)>c(SO)>c(OH-)>c(H SO ),B项错误;当吸收液呈酸性时可以是 2 3 NaHSO 溶液,溶液中存在物料守恒:c(Na+)=c(H SO )+c(SO)+c(HSO),也可以是NaHSO 和NaSO 的 3 2 3 3 2 3 混合溶液,则选项中的物料守恒关系式不再适用,C项错误;当吸收液呈中性时,c(H+)=c(OH-),溶液中 存在电荷守恒:c(Na+)+c(H+)=c(OH-)+2c(SO)+c(HSO),故c(Na+)=2c(SO)+c(HSO),D项正确。 5.室温下,有a mol·L-1NaX和b mol·L-1NaY两种盐溶液。下列说法正确的是( ) A.若a=b且c(X-) +c(HX)=c(Y-),则酸性HX>HY B.若a>b且c(X-)=c(Y-),则酸性HX>HY C.若 且 ,则酸性HX<HY D.若a<b且c(X-)<c(Y-),则酸性HX<HY 【答案】C 【解析】A项,若a=b且c(X-) +c(HX)=c(Y-),表明NaX在水溶液中发生水解反应,离子方程式为X- +H O HX+OH-,故在水溶液中的存在形式为X-和HX,所以HX为弱酸,而NaY不水解,故在水溶 2 液中只存在Y-,所以HY为强酸,即酸性HX<HY,A错误;B项,若a>b,则表示NaX的浓度大于 NaY,但是c(X-)=c(Y-),表明X-减少也或者减少得更多,说明X-发生了水解而减少了,或者说X-发生水解 的程度更大,减少得更多,依据盐类水解“越弱越水解”的规律,可推断酸性HX<HY,B错误;C项, 若 且 ,即NaX溶液浓度小,但是碱性强,表明X-发生了水解反应,或X-的水 解程度更大,依据盐类水解“越弱越水解”的规律,可判断酸性HX<HY,C正确;D项,若a<b且c(X-) <c(Y-),无法判断X-和Y-是否发生了水解,则无法判断HX和HY的酸性强弱,D错误;故选C。 6.(2023·广东省百校高三联考)苯甲酸钠(PhCOONa)是一种常用食品防腐剂。已知25℃,PhCOOH的 K=1.0×10-4.2。下列有关PhCOONa溶液说法不正确的是( ) a A.PhCOONa溶液呈碱性 B.0.1mol/L PhCOONa溶液中: c(PhCOO-)<0.1mol/L C. 25℃,pH=7的PhCOONa和PhCOOH的混合溶液中:c(PhCOOH)>c(PhCOO-) = c(Na+) D.PhCOONa溶液加水稀释时,溶液中c(PhCOO-)减小 【答案】C 【解析】A项, 由题干信息中苯甲酸的Ka可知,PhCOONa是强碱弱酸盐,由于PhCOO-+H O 2 PhCOOH+OH-,故PhCOONa溶液呈碱性,A正确;B项,由于PhCOO-+H O 2 PhCOOH+OH-,根据物料守恒可知,0.1mol/L PhCOONa溶液中有c(PhCOO-)+c(PhCOOH)=0.1mol/L,则 c(PhCOO-)<0.1mol/L,B正确;C项,25℃,pH=7的PhCOONa和PhCOOH的混合溶液中根据电荷守恒可 资料整理【淘宝店铺:向阳百分百】知:c(Na+)+c(H+)=c(PhCOO-)+c(OH-),则得到c(Na+)+c(H+)=c(PhCOO-),根据Ka= = =10-4.2,可得c(PhCOO-)>c(PhCOOH),即有c(PhCOO-) = c(Na+)>c(PhCOOH),C错误; D项,PhCOONa溶液加水稀释时,PhCOO-+H O PhCOOH+OH-平衡正向移动,故溶液中c(PhCOO-) 2 减小,D正确;故选C。 7.已知:常温下,CN-的水解常数K =1.6×10-5。该温度下,将浓度均为0.1 mol•L-1的HCN溶液和 h NaCN溶液等体积混合。下列说法正确的是( ) A.混合溶液的 B.混合液中水的电离程度小于纯水的 C.混合溶液中存在c(CN-)>c(Na+)>c(HCN)>c(OH-)>c(H+) D.若c 盐酸与0.6 mol•L-1 NaCN溶液等体积混合后溶液呈中性,则 【答案】D 【解析】CN-的水解常数K =1.6×10-5,则HCN的电离常数是 。A项,0.1 mol•L-1的 h HCN溶液和NaCN溶液等体积混合,CN-水解大于HCN电离,溶液呈碱性,混合溶液的pH>7,故A错误; B项,CN-水解促进水电离、HCN电离抑制水电离,CN-水解大于HCN电离,混合液中水的电离程度大于 纯水的,故B错误;C项,CN-水解大于HCN电离,混合溶液呈碱性,混合溶液中存在c(HCN)>c(Na+)> c(CN-)>c(OH-)>c(H+),故C错误;D项,若c mol•L-1盐酸与0.6 mol•L-1NaCN溶液等体积混合后溶液呈中 性,根据电荷守恒c(Na+)= c(CN-)+ c(Cl-),根据物料守恒,c(Na+)= c(CN-)+ c(HCN)=0.3mol/L,c(Cl-)= ,则c(HCN)= c(Cl-)= ,根据CN-的水解常数K =1.6×10-5,则 h ,c(CN-)= ; c(CN-)+ c(HCN)=0.3mol/L,即 + =0.3 mol/L,所以 ,故D正确;故选D。 8.将标准状况下1.68LCO 通入含有2gNaOH的水溶液中,完全反应并得到2L碱性溶液。则对于该溶 2 液表述正确的是( ) A.2c(Na+)=3[c(HCO-)+c(CO 2-)+c(H CO)] 3 3 2 3 B.c(Na+)+c(H+)=c(HCO-)+2c(CO 2-)+c(OH-) 3 3 资料整理【淘宝店铺:向阳百分百】C.HCO -的电离程度大于HCO -的水解程度 3 3 D.存在的平衡体系只有:HCO -+H O HCO+OH-,HCO - H++ CO2- 3 2 2 3 3 3 【答案】B 【解析】将标准状况下1.68 L CO 的物质的量是 =0.075mol,2 g NaOH的物质的量是 2 =0.05mol,CO 的量过多,完全反应生成0.05mol的碳酸氢钠。A项,根据物料守恒, 2 c(Na+)=c(HCO-) +c(CO2-)+c(H CO),A项错误;B项,根据电荷守恒,c(Na+)+c(H+ )=c(HCO-)+2c(CO 2-) 3 3 2 3 3 3 +c(OH-),B项正确;C项,碳酸氢钠溶液显碱性,则HCO -的水解程度大于HCO -的电离程度,C项错误; 3 3 D项,存在的平衡体系有:HCO - +H O HCO+OH-,HCO - H++CO 2-,HO H++OH-,D 3 2 2 3 3 3 2 项错误;故选B。 9.(2024·江浙高中发展共同体高三联考)室温下,通过下列实验探究NaHSO 溶液的性质。下列有关说 3 法正确的是( ) 实验 实验操作和现象或结论 1 用 试纸测量0.1mol·L-1NaHSO 溶液的 ,测得 约为5 3 向10 mL 0.1mol·L-1NaHSO 溶液中加入等体积0.1mol·L-1氨水溶液,充分混合,溶液 2 3 约为9 3 向10 mL 0.1mol·L-1NaCO 溶液中滴加几滴0.1mol·L-1NaHSO 溶液,无明显现象 2 3 3 4 向10 mL 0.1mol·L-1NaHSO 溶液中加入10 mL 0.05mol·L-1Ba(ClO) 溶液,产生白色沉淀 3 2 A.实验1可得出:K (H SO ) · K (H SO ) <K a1 2 3 a2 2 3 W B.实验2所得溶液中存在:c(H+)+c(HSO ) +c(HSO -)= c(OH―)+c(NH ·H O) 2 3 3 3 2 C.实验3可得出:K (H SO )<K (H CO) a2 2 3 a1 2 3 D.实验4两溶液混合时有: 【答案】D 【解析】A.实验1中NaHSO 溶液的pH约为5,可知溶液显酸性,则HSO -的水解程度小于电离程度, 3 3 c(SO 2-)>c(HSO ), ,A项错 3 2 3 误;B项,实验2所得溶液中溶质为等浓度的NaSO ,(NH )SO ,根据质子守恒c(H+)+2c(HSO ) 2 3 4 2 3 2 3 +c(HSO -)= c(OH―)+c(NH ·H O),B项错误;C项,实验3中NaHSO 量不足,不能得出K (H SO )< 3 3 2 3 a2 2 3 K (H CO),C项错误;D项,实验4中ClO-将HSO -氧化为SO 2-,生成硫酸钡沉淀,反应离子方程式为 a1 2 3 3 4 2Ba2++ClO-+2HSO - =2BaSO ↓+Cl-+2H+, 3 4 资料整理【淘宝店铺:向阳百分百】,D项正确;故选D。 10.(2024·江苏常州高三期中)室温下,通过下列实验探究NaHCO 、NaCO 溶液的性质。 3 2 3 实验1:用pH试纸测量0.1mol•L-1NaHCO 溶液的pH,测得pH约为8 3 实验2:将0.1mol•L-1NaHCO 溶液与0.1mol•L-1CaCl 溶液等体积混合,产生白色沉淀 3 2 实验3:饱和NaCO 溶液中通入CO 产生白色沉淀,溶液pH从12下降到约为9 2 3 2 实验4:0.1mol•L-1NaHCO 溶液中滴加新制饱和氯水,氯水颜色褪去并有气泡 3 下列说法正确的是( ) A.由实验1可得出:K (H CO)∙K (H CO)<10-16 a1 2 3 a2 2 3 B.实验2中两溶液混合时有:K (CaCO)>2.5×10-3 sp 3 C.实验3中发生反应的离子方程式为CO2-+H O+CO=2 HCO - 3 2 2 3 D.实验4所得溶液中c(Na+)=c(HCO -)+c(CO2-)+c(H CO) 3 3 2 3 【答案】A 【解析】A项,实验1中,K (H CO)∙K (H CO)= ∙ = a1 2 3 a2 2 3 ,0.1mol•L-1NaHCO 溶液的pH约为8,表明溶液中HCO -水解是主要的,电离是次要的,c(CO2-)< 3 3 3 c(H CO),所以 <c2(H+)=10-16,A正确;B项,实验2中两溶液混合时,c(Ca2+)=0.05 2 3 mol•L-1,c(HCO -)<0.05 mol•L-1,则有:K (CaCO)=c(Ca2+)∙c(HCO -)=(0.05 mol•L-1)∙(<0.05 mol•L-1)< 3 sp 3 3 2.5×10-3,B不正确;C项,实验3中发生反应的离子方程式为2Na++ CO2-+H O+CO=2NaHCO↓,C不正 3 2 2 3 确;D项,实验4中,0.1mol•L-1NaHCO 溶液中滴加新制饱和氯水,氯水颜色褪去并有气泡,则有一部分 3 HCO 发生分解,生成CO,所得溶液中c(Na+)=c(HCO -)+c(CO2-)+c(H CO)+ c(CO),则c(Na+)>c(HCO -) 2 3 2 3 3 2 3 2 3 +c(CO2-)+c(H CO),D不正确;故选A。 3 2 3 11.(2024·江苏南通海安高三联考)室温下:K(CHCOOH)=1.8×10-5、K (H SO )= 10-1.85、 a 3 a1 2 3 K (H SO )=10-7.22 、K(NH ·H O)=1.8×10-5。本小组同学进行如下实验: a2 2 3 b 3 2 实验 实验操作和现象 1 测定0.10mol·L-1 NaHSO 溶液的 3 2 向0.10mol·L-1CHCOONa溶液中通入少量SO 3 2 3 向20mL0.10mol·L-1CHCOOH溶液中逐滴加入等浓度NaOH溶液10mL 3 4 配制0.10mol·L-1的(NH )SO 、CHCOONH、NH HSO 三种溶液 4 2 3 3 4 4 3 下列所得结论正确的是( ) A.实验1溶液中存在:c(Na+)>c(HSO -)>c(H SO )>c(SO 2-) 3 2 3 3 B.实验2反应的离子方程式:2CHCOO-+SO+H O=2CHCOOH+SO 2- 3 2 2 3 3 资料整理【淘宝店铺:向阳百分百】C.实验3反应后的溶液中存在:c(CHCOOH)-c(CHCOO-)=c(OH―)-c(H+) 3 3 D.实验4中各溶液pH大小:c(NH HSO )<c(CHCOONH)<c[(NH )SO ] 4 3 3 4 4 2 3 【答案】D 【解析】A项,NaHSO 溶液中,硫酸氢根既会电离又会水解,其电离常数为K (H SO )= 10-7.22,水解 3 a2 2 3 常数 ,故其电离程度大于水解程度,其电离产物亚硫酸根浓度也应比水解产物亚硫 酸大,A错误;B项,向0.10mol·L-1CHCOONa溶液中通入少量SO ,酸性HSO >CHCOOH>HSO -,故 3 2 2 3 3 3 向0.10mol·L-1CHCOONa溶液中通入少量SO 时应该产生醋酸和亚硫酸氢根离子:CHCOO- 3 2 3 +SO+H O=CHCOOH+HSO -,B错误;C项,向20mL0.10mol·L-1CHCOOH溶液中逐滴加入等浓度NaOH 2 2 3 3 3 溶液10mL,生成CHCOO Na:CHCOOH=1:1,联立电荷守恒和物料守恒,c(CHCOOH)- 3 3 3 c(CHCOO-)=2c(OH―)-2c(H+),C错误;D项,结合题干信息,K(CHCOOH)=1.8×10-5= 3 a 3 K(NH ·H O)=1.8×10-5,故醋酸根离子的水解程度和铵根离子的水解程度相等,醋酸铵溶液显中性; b 3 2 NH HSO 溶液中,铵根离子水解使溶液呈现酸性,亚硫酸氢根离子电离>水解,也使溶液显酸性,故 4 3 NH HSO 溶液显酸性;而(NH )SO 中,亚硫酸根离子水解程度比铵根离子大,溶液呈现碱性,故同浓度 4 3 4 2 3 各溶液pH大小:c(NH HSO )<c(CHCOONH)<c[(NH )SO ],D正确;故选D。 4 3 3 4 4 2 3 12.下列溶液中粒子的物质的量浓度关系正确的是( ) A.0.1 mol·L-1 NaHCO 溶液与0.1 mol·L-1 NaOH溶液等体积混合,所得溶液中:c(Na+)>c(CO)> 3 c(HCO)>c(OH-) B.20 mL 0.1 mol·L-1 CHCOONa溶液与10 mL 0.1 mol·L-1 HCl溶液混合后溶液呈酸性,所得溶液中: 3 c(CHCOO-)>c(Cl-)>c(CHCOOH)>c(H+) 3 3 C.室温下,pH=2的盐酸与pH=12的氨水等体积混合,所得溶液中:c(Cl-)+c(H+)>c(NH)+c(OH -) D.0.1 mol·L-1 CHCOOH溶液与0.1 mol·L-1 NaOH溶液等体积混合,所得溶液中:c(OH-)>c(H+) 3 +c(CHCOOH) 3 【答案】B 【解析】A项,等浓度等体积的NaHCO 与NaOH混合时,两者恰好反应生成NaCO,在该溶液中 3 2 3 CO能进行两级水解:CO+HOHCO+OH-、HCO+HOH CO+OH-,故溶液中c(OH 2 2 2 3 -)>c(HCO),该项错误;B项,CHCOONa与HCl混合时反应后生成的溶液中含有等量的CHCOONa、 3 3 CHCOOH、NaCl,因溶液显酸性,故溶液中CHCOOH的电离程度大于CHCOO-的水解程度,该项正确; 3 3 3 C项,在混合前两溶液的pH之和为14,则氨水过量,所得溶液为少量NH Cl和过量NH ·H O的混合溶液, 4 3 2 则c(Cl-)c(NH+)>c(SO2-) 3 3 4 3 资料整理【淘宝店铺:向阳百分百】C.物质的量浓度相等的①(NH )SO 溶液、②NH HCO 溶液、③NH Cl溶液、④(NH )Fe(SO ) 溶液 4 2 4 4 3 4 4 2 4 2 中,c(NH +)的大小关系:④>①>②>③ 4 D.0.10mol•L-1CHCOONa溶液中通入HCl至溶液pH=7:c(Na+)>c(CH COOH)>c(Cl-) 3 3 【答案】D 【解析】A项,等物质的量的NaCO 和NaHCO 形成的混合溶液中存在物料守恒,即2n(Na)= 2 3 3 3n(C),溶液中的物料守恒为:2c(Na+)=3[c(CO2-)+c(HCO -)+c(HCO)],NaCO 和NaHCO 形成的混合 3 3 2 3 2 3 3 溶液的量不知不能判断离子难度大小,故A错误;B项,液呈中性时,c(H+)=c(OH−),根据电荷守恒可知: c(Na+)+c(NH +)=2c(SO 2-)+c(HSO -),因为溶液呈中性,根据元素守恒得c(Na+)>c(SO2-),NaHSO3溶液 4 3 3 3 酸性较弱,则加入的氨水较少,所以c(SO 2-)>c(NH+);所以溶液中c(H+)、c(OH−)、c(SO 2-)、c(Na+)、 3 4 3 c(NH +)这五种离子浓度大小关系为:c(Na+)>c(SO2-)>c(NH+)>c(H+)=c(OH−),故B错误;C项,物质的量 4 3 4 浓度相同的下列溶液:①(NH )SO ②NH HCO ③NH Cl ④NH Fe(SO );先不考虑水解,则(NH )SO 4 2 4 4 3 4 4 4 2 4 2 4 中含有两个NH +,所以它们NH +的浓度大于其它三种物质,②④二种物质中,④NH Fe(SO ) 酸性最强, 4 4 4 4 2 NH +水解受到的抑制最大,即NH +的量较多,溶液中c(NH +)较大,①NH Cl,NH +水解,②NH HCO , 4 4 4 4 4 4 3 碳酸氢根离子的水解对铵根离子起促进作用,即溶液中c(NH +)④>③>②,按c(NH +)由大到小的顺序排列 4 4 为:①>④>③>②,故C错误;D项,0.1mol•L−1CHCOONa溶液中通入HCl至溶液pH=7,溶液中存在电 3 荷守恒为:c(H+)+c(Na+)=c(OH−)+c(Cl−)+c(CHCOO−),物料守恒为:c(Na+)=c(CHCOO−)+ 3 3 c(CHCOOH),得到c(CHCOOH)=c(Cl−),溶液中存在醋酸钠、氯化钠和醋酸,钠离子浓度一定大于氯离 3 3 子浓度,故D正确;故选D。 14.(2023·浙江省宁波市高三下学期高考模拟)常温下,K (HCOOH)=1.77×10-4,K (HCOOH)=1.75×10- a1 a2 5,K(NH ·H O)=1.76×10-5,下列说法不正确的是( ) a 3 2 A.浓度均为0.1 mol/L的HCOONa和NH Cl溶液中阳离子的物质的量浓度之和:前者>后者 4 B.用相同浓度的NaOH溶液分别滴定等体积、pH均为3的HCOOH和CHCOOH溶液至终点,消耗 3 NaOH溶液的体积:前者<后者 C.0.2mol/L CH COONa与0.1 mol/L盐酸等体积混合后,溶液中微粒浓度:c(Na+)>c(CHCOO-)> 3 3 c(Cl-)>c(CHCOOH)>c(H+)>c(OH-) 3 D.0.2mol/L HCOONa 溶液与 0.1mol/L NaOH 溶液等体积混合后的溶液中:c(HCOO-)+ c(OH-)= c(HCOOH)+c(H+) 【答案】D 【解析】A项,由电荷守恒可知c(HCOO-)+ c(OH-)= c(Na+)+c(H+)、c(Cl-)+c(OH-)= c(NH +)+c(H+),由 4 甲酸和一水合氨的电离常数可知,甲酸根的水解程度小于铵根的水解程度,即甲酸钠中氢氧根的浓度小于 氯化铵中氢离子的浓度,因此甲酸钠中氢离子的浓度大于氯化铵中氢氧根的浓度,钠离子与氯离子浓度相 同,因此甲酸钠中阳离子浓度大于氯化铵中阳离子浓度,A正确;B项,由电离平衡常数可知,甲酸的酸 性比乙酸强,pH相同时乙酸的物质的量浓度更高,用相同浓度的氢氧化钠滴定时,消耗氢氧化钠溶液的体 积更多,B正确;C项,醋酸钠与盐酸反应,生成醋酸和氯化钠,因此混合溶液中醋酸钠、醋酸、氯化钠 资料整理【淘宝店铺:向阳百分百】的物质的量浓度相同,均为0.05mol/L(忽略体积变化),由醋酸的电离常数可知,相同浓度的醋酸电离程度 大于醋酸根的水解程度,溶液呈酸性,因此离子浓度为 c(Na+)>c(CHCOO-)>c(Cl-)>c(CHCOOH)>c(H+) 3 3 >c(OH-),C 正确;D 项,由电荷守恒可得 c(HCOO-)+ c(OH-)= c(Na+)+c(H+),由物料守恒可得 c(Na+)=1.5c(HCOO-)+1.5c(HCOOH),由此可得 c(OH-)=1.5c(HCOO-)+1.5 c(HCOOH)+c(H+),D 错误;故选 D。 15.室温下,通过下列实验探究NaHCO 溶液的性质。下列有关说法正确的是( ) 3 实验 实验操作和现象 1 用pH计测定0.05 mol∙L−1 NaHCO 溶液,测得pH约为8.3 3 向10 mL 0.05 mol∙L−1 NaHCO 溶液中滴加10 mL 0.05 mol∙L−1 NaOH溶液,反应 2 3 结束后测得溶液pH约为10.3 向10 mL 0.05 mol∙L−1 NaHCO 溶液中滴加10 mL 0.05 mol∙L−1 HCl,反应结束后 3 3 测得溶液pH约为5.6 4 向0.05 mol/L NaHCO 溶液中滴加过量0.1 mol∙L−1 Ca(OH) 溶液,产生白色沉淀 3 2 A.NaHCO 溶液中HCO -的电离程度大于水解程度 3 3 B.实验2滴加结束后:c(H+) + 2c(H CO) + c(HCO -) =c(OH-) 2 3 3 C.实验3滴加过程中:c(Na+) = c(CO2-) + c(HCO -) + c(H CO) 3 3 2 3 D.实验4反应静置后的上层清液中:c(Ca2+)∙c(CO2-)< K (CaCO) 3 sp 3 【答案】B 【解析】A项,用pH计测定0.05 mol∙L−1 NaHCO 溶液,测得pH约为8.3,溶液显碱性,因此 3 NaHCO 溶液中HCO -的电离程度小于水解程度,故A错误;B项,向10 mL 0.05 mol∙L−1 NaHCO 溶液中 3 3 3 滴加10 mL 0.05 mol∙L−1 NaOH溶液,反应结束后测得溶液pH约为10.3,溶质为NaCO,因此实验2滴加 2 3 结束后,根据质子守恒得到:c(H+) + 2c(H CO) + c(HCO -) =c(OH-),故B正确;C项,实验3滴加开始前, 2 3 3 按照物料守恒:c(Na+) = c(CO2-) + c(HCO -) + c(H CO),滴加后产生气泡,则无此守恒,故C错误;D项, 3 3 2 3 实验4反应静置后的上层清液存在难溶物的溶解平衡,则有c(Ca2+)c(CO2-)= K (CaCO),故D错误。故选 3 sp 3 B。 16.(2024·江苏苏州高三期中)室温下,用0.1mol·L-1NaSO 溶液吸收废气中的SO ,并获得BaSO 的过 2 3 2 3 程如图所示。忽略吸收废气所引起的溶液体积变化和HO的挥发,溶液中含硫物种的浓度c=c(H SO )+ 2 2 3 2c(SO 2-)+c(HSO -)。已知:K (H SO )=1.54×10-2,K (H SO )=1.02×10-7 。下列说法正确的是( ) 3 3 a1 2 3 a2 2 3 A.0.1mol·L-1NaSO 溶液吸收SO 至 的溶液:c(HSO -)<c(SO 2-) 2 3 2 3 3 资料整理【淘宝店铺:向阳百分百】B.吸收SO 后 的溶液:c(H+)+c(SO 2-)=c(OH―)+c(HSO ) 2 3 2 3 C.沉淀后的上层清液: D.沉淀后的上层清液久置:2c(Ba2+)+c(Na+)+c(H+)= c(OH―)+2c(SO 2-)+c(HSO -) 3 3 【答案】A 【解析】A项,pH-7时, 所以 ,故A正确;B项, ,根据电 荷守恒:c(Na+)+c(H+)= c(OH―)+c(SO 2-)+c(HSO -)可得:c(H+)+c(HSO )=c(OH―)+c(HSO -)+ 3c(SO 2-),故B 3 3 2 3 3 3 错误;C项,有沉淀产生,因此上层清液为饱和溶液, 故C错误;D项,久置后亚 硫酸根、亚硫酸氢根均会被氧化几乎不存在亚硫酸根、亚硫酸氢根,故D错误;故选A。 17.(2024·山东德州高三期中)标况下,CO 的溶解度约为1∶1,HO+CO HCO, 。 2 2 2 2 3 室温下HCO 溶液中各含碳粒子的物质的量分数与pH的关系如图1所示。向碳酸钠和碳酸氢钠混合溶液 2 3 中滴加氯化钡溶液,溶液中 与 的关系如图2所示。下列说法正确的是( ) A.饱和碳酸的浓度c(HCO)约为 2 3 B.a对应的溶液中存在: 资料整理【淘宝店铺:向阳百分百】C.a→b的过程中,溶液中 一直增大 D.b点对应溶液的pH为8.25 【答案】D 【解析】A项,标况下,CO 的溶解度约为1∶1,则1L水中溶解1LCO ,物质的量为 , 2 2 ,饱和碳酸的浓度c(HCO)约为 ,A 2 3 错误;B项,a点对应溶液中, ,则c(HCO -)=c(CO2-),由A可知溶液pH约为10.25,溶液 3 3 中c(OH―)>c(H+),溶液中存在电荷守恒关系式2c(Ba2+)+c(Na+)+c(H+)= c(OH―)+2c(CO2-)+c(HCO -) 3 3 +c(Cl-),则2c(Ba2+)+c(Na+)>3c(HCO -)+c(Cl-),B错误;C项, = = 3 ,a→b的过程中, 逐渐增大, 逐渐减小,K 不变,则 a1 逐渐减小,C错误;D项,b点对应溶液 =2,则c(HCO -)=100c(CO2-),由 3 3 得, ,pH 8.25,D正确;故选D。 18.(2024·内蒙古赤峰高三一轮复习大联考)室温下,某混合溶液中c(M⁺) +c(MOH)=c(R⁻) +c(HR), 和 随pH 变化关系如图所示,已知pX =-lg X。下列说法不正确的是( ) 资料整理【淘宝店铺:向阳百分百】A.曲线I表示 与pH关系曲线, B.b点溶液中c(M+)>c(R-), x=-4 C.MR 溶液显碱性, 且MR溶液中c(MOH)c(Na+)>c(R-)>c(OH-)>c(H+) 【答案】B 【解析】由 ,当 =0即c(M+)= c(MOH)时,K= c(OH-),同理,K= b a c(H+),由lgX=0时,pH分别为6、10,pH越大R-的浓度越大,则曲线Ⅱ表示 与pH关系,曲线I 表示 与pH关系。A项,由lgX=0时,pH分别为6、10,则曲线I表示 与pH关系; 由c点可知,K= c(H-)=10-10,常温下a点c(OH-)= ,K= c(OH-)=10-8,则 a b pK=10=pK +2,A正确;B项,b点溶液pH=8,溶液呈碱性,说明MOH电离程度比HR电离程度大,则 a b c(M+) >c(R-),c(OH-)= ,由 =10-8,则 , 则x= =-2,B错误;C项,由K= 10-10,K=10-8,相对而言MOH碱性较强、HR酸性较弱,则 a b MR溶液显碱性,由越弱越水解规律可知,R-水解程度大于M+,则MR溶液溶液中c(MOH)<c( HR),C正 资料整理【淘宝店铺:向阳百分百】确;D项,由K= 10-10,R-水解常数为 > K,则HR电离程度小于R-水解程度,等 a a 物质的量的NaR与HR混合溶液显碱性,c(HR)>c(Na+)>c(R-)>c(OH-)>c(H+),D正确;故选B。 19.(2024·广西北海高三一模)柠檬酸是番茄中最常见的天然酸性物质,其分子结构简式为 (用 表示)。常温下,用0.1000mol·L-1NaOH 溶液滴定20.00mL0.1000mol·L-1HR 溶 3 液的滴定曲线如图所示。已知常温下柠檬酸的电离常数为:K =1.0×10-3.1,K =1.0×10-4.8,K =1.0×10-6.4。 a1 a2 a3 下列叙述正确的是( ) A.a点溶液中,c(Na+)= c(H R―)+2c(HR2-)+3c(R3-) 2 B.b点溶液中,c(Na+)>c(HR2-)>c(H R―)>c(R3-) 2 C.常温下NaHR溶液加水稀释过程中, 减小 2 D.常温下R3-的水解常数为1.0×10-9.2 【答案】C 【解析】A项,a点溶液为NaH R溶液,溶液呈酸性,电荷守恒为 c(Na+)=c(H+)= c(OH―)+ c(H R―) 2 2 +2c(HR2-)+3c(R3-),A错误;B项,b点溶液为NaHR溶液,溶液呈酸性,HR2-的电离程度大于HR2-的水解 2 程度,故离子浓度大小为c(Na+)>c(HR2-)>c(R3-)>c(H R―),B错误;C项,NaHR溶液呈酸性,加水稀 2 2 释过程中,溶液中c(H+)减小,则溶液中c(OH―)增大。常温下加水稀释过程中,HR2-的水解常数保持不变, 资料整理【淘宝店铺:向阳百分百】加水稀释过程中c(OH―)增大 ,则 减小,C正确;D项,常 温下, 的水解常数 ,D错误。故选C。 05 难溶电解质的溶解平衡 1.牙釉质的主要成分为羟基磷酸钙[Ca (PO )OH],在牙齿表面存在着如下平衡:Ca (PO )OH(s) 5 4 3 5 4 3 5Ca2+(aq)+3PO3-(aq)+OH-(aq) K =6.8×10-37mol9•L-9,已知Ca (PO )F的K =2.8×10-61mol9•L-9。下列 4 sp 5 4 3 sp 说法错误的是( ) A.残留在牙齿上的糖会发酵产生H+,使羟基磷酸钙沉淀溶解平衡右移,破坏牙釉质 B.按时刷牙可减少食物残留,从而减少有机酸的产生,防止腐蚀牙齿 C.用含NaOH的溶液漱口,可使平衡左移,保护牙齿 D.含氟牙膏使Ca (PO )OH转化为更难溶的Ca (PO )F,促进牙齿表面矿物质的沉积,修复牙釉质 5 4 3 5 4 3 【答案】C 【解析】A项,残留在牙齿上的糖会发酵产生H+,则将消耗OH-,导致生成物OH-浓度减小,使羟基 磷酸钙沉淀溶解平衡右移,破坏牙釉质,A正确;B项,由A项分析可知,按时刷牙可减少食物残留,从 而减少有机酸的产生,防止腐蚀牙齿,B正确;C项,NaOH碱性太强,具有强腐蚀性,不能用含NaOH 的溶液漱口,否则将腐蚀口腔等组织,C错误;D项,由题干信息Ca (PO )OH的K =6.8×10-37mol9•L-9,而 5 4 3 sp Ca (PO )F的K =2.8×10-61mol9•L-9可知,含氟牙膏使Ca (PO )OH转化为更难溶的Ca (PO )F,促进牙齿表 5 4 3 sp 5 4 3 5 4 3 面矿物质的沉积,修复牙釉质,D正确;故选C。 2.向AgCl浊液中滴加氨水后可得到澄清溶液,继续滴加浓硝酸后又有沉淀生成。经查资料得知: Ag++ 2NH ·H O Ag(NH)+ 2H O。下列分析不正确的是( ) 3 2 3 2 2 A.浊液中存在沉淀溶解平衡:AgCl (s) Ag+(aq)+Cl-(aq) B.实验可以证明NH 结合Ag+能力比Cl-强 3 C.实验表明实验室可用氨水洗涤银镜反应后的试管 D.由资料信息可推知:加浓硝酸后生成的沉淀为AgCl 【答案】C 【解析】A项,因为是浊液,所以存在沉淀溶解平衡,A正确;B项,Ag+与氨气分子结合生成二氨合 银离子,导致银离子浓度减小,促使AgCl (s) Ag+(aq)+Cl-(aq)正向移动,说明NH 结合Ag+能力比Cl- 3 强,B正确;C项,银镜反应后的试管壁上是银单质,银离子能够与氨水反应,银单质不能,C错误;D 项,浓硝酸能够中和一水合氨,使反应Ag++2NH•H O Ag(NH)++2H O逆向移动,二氨合银离子生成银 3 2 3 2 2 离子,与溶液中的氯离子结合生成沉淀,所以加浓硝酸后⇌生成的沉淀为AgCl,D正确;故选C。 3.往锅炉注入NaCO 溶液浸泡,将水垢中的CaSO 转化为CaCO ,再用盐酸去除,下列叙述中正确 2 3 4 3 资料整理【淘宝店铺:向阳百分百】的是( ) A.温度升高,NaCO 溶液的K 和c(H+)均会增大 2 3 w B.CaSO 能转化为CaCO ,说明K (CaCO)>K (CaSO) 4 3 sp 3 sp 4 C.CaCO 溶解于盐酸而CaSO 不溶,是因为硫酸酸性强于盐酸 3 4 D.沉淀转化的离子方程式为CO(aq)+CaSO(s) CaCO (s)+SO(aq) 4 3 【答案】D 【解析】温度升高,水的电离平衡正向移动,K 增大;温度升高,NaCO 的水解平衡正向移动,[OH w 2 3 -]增大,[H+]减小,A项错误;K (CaCO)<K (CaSO),B项错误;CaCO 与盐酸反应生成可溶性的氯化 sp 3 sp 4 3 钙、水和二氧化碳,CaSO 与盐酸不满足复分解反应发生的条件,与酸性强、弱无关,C项错误;硫酸钙 4 较为致密,可转化为较为疏松且溶解度更小的碳酸钙,反应的离子方程式为 CaSO(s)+CO(aq) 4 CaCO (s)+SO(aq),D项正确。 3 4.工业上用化学法除锅炉的水垢时,先向锅炉中注入饱和NaCO 溶液浸泡,将水垢中的CaSO 转化 2 3 4 为CaCO ,再用盐酸除去[已知:K (CaCO)=1×10-10,K (CaSO)=9×10-6]。下列说法不正确的是( ) 3 sp 3 sp 4 A.温度升高,NaCO 溶液的K 和c(OH-)均会增大 2 3 w B.沉淀转化的离子方程式为CO(aq)+CaSO(s) CaCO (s)+SO(aq) 4 3 C.该条件下,CaCO 的溶解度小于CaSO 3 4 D.CaCO 和CaSO 共存的悬浊液中,c(SO 2-)/c(CO 2-)=1 105 3 4 4 3 【答案】D 【解析】A项,水电离、盐水解都吸热,温度升高,NaCO 溶液的K 和c(OH-)均会增大,故A正确; 2 3 w B项,加入碳酸钠溶液,把硫酸钙转化为碳酸钙:CO+CaSO CaCO +SO 2-,故B正确;C项,该 4 3 4 条件下,设溶液为1L,由c(CO2-)=c(Ca2+)= =10-5 mol·L-1,则 = 3 =1 10-4g,CaCO 的溶解度约为1×10-4,显然,CaCO 的溶解度小于CaSO,故C正确;D项,CaCO 和 3 3 4 3 CaSO 共存的悬浊液中, =9 104,故D错误;故选D。 4 5.(2023·江苏省高三第二次大联考)室温下,通过下列实验探究有关AgNO 的性质[已知: 3 ]。 实验1:向 0.1mol·L-1的AgNO 溶液中滴加 0.1mol·L-1的NaCl溶液,产生白色沉淀,过滤, 3 实验2:向实验1所得滤液中滴加 0.1mol·L-1 溶液,产生淡黄色沉淀,过滤。 实验3:向实验2所得滤液中逐滴滴加氨水,产生沉淀先变多后变少,直至消失。 下列说法正确的是( ) A.实验1过滤后滤液中c(Ag+)=10-4.9mol·L-1 资料整理【淘宝店铺:向阳百分百】B.通过实验1和实验2可得出 C.实验2所得滤液中c(Ag+)+c(H+)=c(Cl-)+c(Br-)+ c(OH-) D.实验3滴加氨水过程中,c(Ag+)一直减小 【答案】D 【解析】A项, 向10mL0.1mol/L的AgNO 溶液中滴加1mL0.1mol/L的NaCl溶液,发生反应 3 AgNO+NaCl=AgCl↓+NaNO ,反应后AgNO 过量,过滤后所得滤液中c(Ag+)= 3 3 3 =0.082mol/L,A项错误;B项,实验1所得滤液中含过量的AgNO、 3 NaNO 和饱和AgCl,滴加1mL0.1mol/LNaBr溶液,AgNO 直接与NaBr发生沉淀反应生成淡黄色的AgBr 3 3 沉淀,不能说明发生了沉淀的转化,不能比较AgCl、AgBr的K ,B项错误;C项,实验2中发生的反应 sp 为AgNO+NaBr=AgBr↓+NaNO ,反应后AgNO 仍然过量,过滤所得滤液中含过量的AgNO、NaNO 、饱 3 3 3 3 3 和AgCl和AgBr,滤液中NO -物质的量为0.1mol/L×0.01L=0.001mol、Na+物质的量为0.1mol/ 3 L×0.001L+0.1mol/L×0.001L=0.0002mol,溶液中的电荷守恒为c(Ag+)+c(H+)+c(Na+)=c(Cl-)+c(Br-)+c(NO -) 3 +c(OH-),C项错误;D项,向实验2所得滤液中逐滴滴加氨水,随着氨水的滴入,依次发生反应: AgNO+NH∙HO=AgOH↓+NH NO 、AgOH+2NH∙HO=[Ag(NH)]OH+2H O,故产生沉淀先变多后变少, 3 3 2 4 3 3 2 3 2 2 直至消失,c(Ag+)一直减小,D项正确;故选D。 6.(2023·浙江省临海、新昌两地高三适应性考试5月模考)印尼苏拉威西岛特产的椰子蟹具有异常坚 硬的甲壳,这归功于摄入的椰子中的月桂酸(C H COOH),在表面的角质层中形成难溶的月桂酸磷酸钙, 11 23 存在如下平衡:Ca PO (OOCC H )(s) 3Ca2+(aq)+PO (aq)+3C H COO-(aq) K =7.3×10-35,已知 3 4 11 23 3 11 23 sp CaCO 的K =2.8×10-9。下列说法不正确的是( ) 3 sp A.椰子蟹摄入月桂酸含量较高的椰肉有助于形成更加坚硬的甲壳 B.弱碱性的海水可以保护椰子蟹外壳,使其不易被腐蚀 C.将少量月桂酸磷酸钙投入适量1mol•L-1碳酸钠溶液中,可实现其与碳酸钙的转化 D.海水中CO 浓度升高,会腐蚀椰子蟹的外壳,使K 增大 2 sp 【答案】D 【解析】A项,由题干可知,月桂酸利于促进形成难溶的月桂酸磷酸钙,故椰子蟹摄入月桂酸含量较 高的椰肉有助于形成更加坚硬的甲壳,A正确;B项,弱碱性的海水利于月桂酸形成月桂酸根离子,使得 Ca PO (OOCC H )(s) 3Ca2+(aq)+PO3-(aq)+3C H COO-(aq)平衡逆向移动,利于保护椰子蟹外壳, 3 4 11 23 3 4 11 23 使其不易被腐蚀,B正确;C项,将少量月桂酸磷酸钙投入适量1mol•L-1碳酸钠溶液中,较高浓度的碳酸 根离子使得Ca PO (OOCC H )(s)转化为CaCO (s),实现其与碳酸钙的转化,C正确;D项,海水中CO 3 4 11 23 3 3 2 浓度升高,溶液酸性增强,使得月桂酸根离子转化为月桂酸,促使Ca PO (OOCC H )(s) 3Ca2+(aq) 3 4 11 23 3 +PO3-(aq)+3C H COO-(aq)平衡正向移动,导致腐蚀椰子蟹的外壳,但不会使K 增大,D错误;故选 4 11 23 sp 资料整理【淘宝店铺:向阳百分百】D。 7.(2023·浙江省杭州地区(含周边)重点中学高三联考化)可溶性钡盐有毒,医院中常用硫酸钡这种钡盐 作为内服造影剂。已知:K (BaCO)=5.0×10-9;K (BaSO)=1.0×10-10。下列推断正确的是( ) sp 3 sp 4 A.饱和BaCO 溶液中存在:c(Ba2+)=c(HCO -)+c(CO2-) 3 3 3 B.向BaCO 、BaSO 的饱和混合溶液中加入少量BaCl ,溶液中 减小 3 4 2 C.不用碳酸钡作为内服造影剂,是因为K (BaCO)>K (BaSO) sp 3 sp 4 D.若每次加入1 L2mol·L-1的NaCO 溶液,至少需要6次可将0.2mol BaSO 转化为BaCO 2 3 4 3 【答案】D 【解析】A项,BaCO 是难溶性盐,饱和BaCO 溶液中存在:BaCO (s) Ba2+ (aq)+ CO 2- (aq), 3 3 3 3 根据物料守恒:c(Ba2+)=c(HCO -)+c(CO2-)+c(H CO),故A错误;B项,BaCO 、BaSO 的饱和混合溶液中 3 3 2 3 3 4 存在平衡:BaCO (s)+SO 2-(aq) BaSO (s)+ CO 2- (aq),溶液中 ,少量 3 4 4 3 BaCl ,度不变,K (BaCO)和K (BaSO)不变, 不变,故B错误;C项,胃液中含有盐酸,不用 2 sp 3 sp 4 碳酸钡作为内服造影剂的原因是:碳酸钡能和盐酸反应而溶解,和溶度积常数无关,故C错误;D项,向 BaSO 中加入NaCO 溶液,发生反应BaSO (s)+CO 2-(aq) BaCO (s)+ SO 2- (aq),该反应的平衡常 4 2 3 4 3 3 4 数K= ,若每次加入1 L2mol·L-1的NaCO 溶液,能处理BaSO 物质的 2 3 4 量xmol,则K= ,x= , ,所以至少6次可以将0.2mol BaSO 转化为 4 BaCO ,故D正确;故选D。 3 8.室温下,将0.1mol·L-1AgNO 溶液和0.1mol·L-1NaCl溶液等体积充分混合,一段时间后过滤,得滤 3 液a和沉淀b。取等量的滤液a于两支试管中,分别滴加相同体积、浓度均为 0.1mol·L-1的NaS溶液和 2 NaSO 溶液,前者出现浑浊,后者溶液仍澄清;再取少量的沉淀b,滴加几滴氨水,沉淀逐渐溶解。下列 2 4 说法正确的是( ) A.0.1mol·L-1NaS溶液中存在:c(OH-)=c(H+)+c(HS-)+c(H S) 2 2 B.过滤后所得清液中一定存在:c(Ag+)= 且c(Ag+)> 资料整理【淘宝店铺:向阳百分百】C.沉淀b中滴加氨水发生反应的离子方程式:AgCl+2NH∙HO=[Ag(NH)]++Cl-+2H O 3 2 3 2 2 D.从实验现象可以得出该温度下K (Ag S)>K (Ag SO ) sp 2 sp 2 4 【答案】C 【解析】A项,电荷守恒:c(Na+)+c(H+)=2c(S2-)+c(HS-)+ c(OH-),物料守恒:c(Na+)=2c(S2-)+2c(HS-) +2c(H S),两式联立,质子守恒:c(OH-)=c(H+)+c(HS-)+2c(H S),A错误;B项,滤液为氯化银的饱和溶液, 2 2 所以清液中一定存在:c(Ag+)= ,但加入硫酸钠后溶液仍然澄清,说明硫酸银的溶解度比氯化银 大,则反应后c(Ag+)< ,B错误;C项,沉淀b为氯化银,氯化银中滴加氨水会生成二氨合 银离子,其离子方程式为:AgCl+2NH∙HO=[Ag(NH)]++Cl-+2H O,C正确;D项,从实验现象可以得出 3 2 3 2 2 硫化银比硫酸银更难溶,K (Ag SO )>K (Ag S),D错误;故选C。 sp 2 4 sp 2 9.取1.0L浓缩卤水(Cl-、I-浓度均为 )进行实验:滴加一定量AgNO 溶液,产生黄色沉 3 淀;继续滴加,产生白色沉淀。已知: 、 。下列分析不正确的是( ) A.黄色沉淀是AgI,白色沉淀是AgCl B.产生白色沉淀时,溶液中存在AgI(s) Ag+(sq)+ I-(aq) C.若起始时向卤水中滴加2滴(0.1 ) AgNO,能产生沉淀 3 D.白色沉淀开始析出时, 【答案】D 【解析】A项,碘化银的溶度积小于氯化银,则先生成的黄色沉淀为碘化银,A项正确;B项,产生 白色沉淀时,碘化银已经达到沉淀溶解平衡,B项正确;C项,若起始时向1.0L卤水中滴加2滴(0.1 ) AgNO,则混合后的硝酸银浓度约等于 , 3 ,比碘化银的溶度积大,则有碘化银沉淀生成,C项正确; D项,根据氯化银的溶度积常数 ,白色沉淀氯化银开始析出时, ,所以 资料整理【淘宝店铺:向阳百分百】,D项错误;故选D。 10.(2024·河北承德高三一轮复习联考)工业生产中常通过生成氟化物沉淀除去Ca2+、Mg2+,为探究溶 液酸碱性对沉淀的影响,用盐酸分别调节CaF 和MgF 浊液的pH,在不同pH条件下,测得体系中 2 2 与 为Ca2+、Mg2+、F-)的变化关系如图所示。已知K (CaF )<K (MgF ),下列说法正确 sp 2 sp 2 的是( ) A.L 表示 与 的变化曲线 1 B.K (CaF )=10-9.8 sp 2 C.c点溶液中: (不考虑水的电离因素) D.e点浊液中加入 固体,阳离子 沿 向d点移 【答案】B 【解析】A项,由 可得 ,随着 增大, 也增大,即随 增大, 减小,则L 表示 与 的变化曲线,故A错误; 3 B项,根据图像,当 相同,即c(F-)相同时,L 表示的离子浓度小,已知K (CaF )<K (MgF ),所 2 sp 2 sp 2 资料整理【淘宝店铺:向阳百分百】以L 表示 与 的变化曲线,由a点坐标可知, , 得 2 K=10-3.2,由b点坐标可知, ,则 , , a ,故B正确;C项,根据物料守恒2c(Ca2+)=c(F-)+c(HF), 加入盐酸,H+与F-反应生成HF,则c(H+)<c(Cl-),所以存在2c(Ca2+)+c(H+)<c(F-)+c(HF)+ c(Cl-),故C 错误;D项,e点浊液中加入NaF固体,F-浓度增大,阳离子浓度减小, 增大,故D错误;故选 B。 11.(2024·湖北省鄂东南省级示范高中教学改革联盟高三联考)25℃时,用 溶液分别滴定弱酸 、CuSO 、FeSO 三种溶液, 随 变化关系如图所示[p表示负对数,M表示 、 、 4 4 等],已知 ,下列有关分析正确的是( ) A.①代表滴定 溶液的变化关系 B.①与③直线交点对应的pH=3.4 C.调整溶液的pH=5,可使工业废水中的 沉淀完全 D.Fe(OH) 固体比Cu(OH) 固体难溶解于 溶液 2 2 【答案】B 【解析】Fe(OH) 、Cu(OH) 的结构相似,pM随pH变化关系图中应该是平行线,因Cu(OH) 更难溶, 2 2 2 ①②分别代表滴定CuSO 溶液、FeSO 溶液的变化关系,③代表滴定HA溶液的变化关系;由点(4.2,0)可 4 4 知,pOH=14-4.2=9.8, ;由点(6.5,0)可知,pOH=14-6.5=7.5, 资料整理【淘宝店铺:向阳百分百】由点(5.0,0)可知,pOH=14-4.2=9.8, 。A项,①②分别代表滴定CuSO 溶液、FeSO 溶液的变化关系,③代表滴定HA溶液的变化关系,A错误; 4 4 B项,由图知①与③直线交点 ,即 ,得 ,c(OH-)=10-10.6mol·L-1,则pH=3.4,B正确;C项,K [Cu(OH) ]=10-19.6, sp 2 当pH=5时, ,所以Cu2+未沉淀完全,C错误;D项,据 , ,同理可求 Cu(OH) 溶解于HA溶液平衡常数K=10-1.6,Fe(OH) 固体比Cu(OH) 固体更易溶解于HA溶液,故D错误; 2 2 2 故选B。 12.(2024·河南省部分名校高三联考)常温下,向Co(NO )、Pb(NO ) 和 HR 的混合液中滴加 NaOH 3 2 3 2 溶液,pM 与 pH 的关系如图所示。已知:pM=-lgc(M),c(M)代表c(Co2+)、c(Pb 2+)或 , K [Co(OH) ]>K [Pb(OH) ]。 sp 2 sp 2 下列叙述错误的是( ) 资料整理【淘宝店铺:向阳百分百】A.X、Z分别代表 、 与 pH 的关系 B.常温下,弱酸 HR 的电离常数K=1×10-5 a C.图中 a 点对应的 pH 为6.5 D.常温下,Co(OH) 和Pb(OH) 共存时:c(Co2+):c(Pb 2+)=1:105 2 2 【答案】D 【解析】A项,常温下, 、 ,由于K [Co(OH) ]>K [Pb(OH) ] sp 2 sp 2 可知,X代表 与 pH 的关系,Y代表 与 pH 的关系,Z代表 与 pH 的关系, A正确;B项, ,取Z中点(5,0)带入得,K(HR)=1×10-5,B正确;C项,Y 代表 与 pH 的关系, ,将点(10,7)代入得, ,则 ,a点时 ,则pH为6.5,C正确;D项,X代表 与 pH 的关系, ,则 ,Y代表 与 pH 的关 系, ,则 ,常温下,Co(OH) 和Pb(OH) 共存时: 2 2 ,D错误; 故选D。 13.(2024·天域全国名校协作体高三联考)在工业上,萤石(CaF )是氟元素的主要来源,可用酸浸法从 2 矿石中提取。将过量 粉末置于水中得到悬浊液,再向其中通入 气体,发生反应:CaF (s)+2H+(aq) 2 Ca2+(s))+ 2HF(aq)。溶液中 和 和pH的关系可用曲线X或Y表示(溶液体 积变化忽略不计)。下列说法正确的是( ) 资料整理【淘宝店铺:向阳百分百】A.K (CaF )=10-10.5 sp 2 B.曲线X代表 随pH的变化 C.水的电离程度:A>B>C D.B点溶液中的微粒浓度大小:c(HF)>c(Cl-)>c(Ca2+)>c(F-) 【答案】A 【解析】随着pH的逐渐减小,氢离子浓度逐渐增大,平衡正向移动,根据方程式中的系数关系可知 生产成HF的程度大于Ca2+,则 减小程度更大,对应X,则 对应Y。A项, pH=3.2时, ,即 ,溶液中存在物料守恒: 2c(Ca2+)=c(F-)+c(HF),可得:c(Ca2+)=c(F-), ,A正确;B项,根据分 析可知,曲线X代表 随pH的变化,B错误;C项,pH值大小关系:B<A<C,酸性越强,对 溶液中水的电离的抑制越强,则水的电离程度:B<A<C,C错误;D项,B点溶液由曲线可知, ,说明c(Ca2+)<c(HF),溶液中存在物料守恒:2c(Ca2+)=c(F-)+c(HF),c(Ca2+)< c(HF),c(Ca2+)>c(F-),通入HCl气体,HCl完全电离,氯离子无消耗,氯离子浓度最大,微粒浓度大小: c(Cl-)>c(HF)>c(Ca2+)>c(F-),D错误;故选A。 14.(2024·湖南省名校联考联合体高三第二次联考)已知:常温下,K [Co(OH) ]>K [Pb(OH) ], sp 2 sp 2 。常温下在含大量Co(OH) 和Pb(OH) 的浊液中滴加HNO 溶液,浊液中 [ , 2 2 2 、 、 ]与 关系如图,平衡常数K大于或等于 时认为反应不可逆(即完 全反应),下列叙述正确的是( ) 资料整理【淘宝店铺:向阳百分百】A. 直线代表 和 的关系 B.常温下,K [Co(OH) ] =1.0×10-15 sp 2 C.当Pb(OH) 、Co(OH) 共存时, 2 2 D.Co(OH) 、Pb(OH) 都能完全溶于亚硝酸溶液中 2 2 【答案】B 【解析】溶液的pH越大,溶液中 的值越小,金属离子的浓度越小,则直线L 代表—lg 3 与pH的关系,由溶度积可知,直线L、L 分别代表—lgc(Pb2+)、—lgc(Co2+)与pH的关系,由图 1 2 可知,M点溶液pH为5、铅离子浓度为1.0×10—2mol/L,则氢氧化铅的溶度积为1.0×10—2×(1.0×10— 9)2=1.0×10—20,N点溶液pH为7.5、亚钴离子浓度为1.0×10—2mol/L,则氢氧化亚钴的溶度积为1.0×10— 2×(1.0×10—6.5)2=1.0×10—15;P点溶液pH为7、—lg 为—2.7,则亚硝酸的电离常数为5×10—5。A项, 直线L 代表—lg 与pH的关系,故A错误;B项,氢氧化亚钴的溶度积为1.0×10—15,故B正确; 3 C项,当氢氧化铅和氢氧化亚钴共存时,溶液中 = = = =1.0×105,故C错误;D项,氢氧化铅溶于亚硝酸的反应为Pb(OH)+2HNO Pb2++2NO-,反应的平 2 2 2 资料整理【淘宝店铺:向阳百分百】衡常数K= = = = =0.25 <1.0×105,所以氢氧化铅不能完全溶于亚硝酸,故D错误;故选B。 15.MnSO 是一种重要的化工产品,常用作微量分析试剂、媒染剂和油漆干燥剂。工业上以菱锰矿(主 4 要成分为MnCO ,还含有Fe O、Fe O、FeO、CoO、SiO 等杂质)为原料制备MnSO 的工艺流程如下图所 3 3 4 2 3 2 4 示: 资料:金属离子沉淀的pH 金属离子 Fe3+ Fe2+ Co2+ Mn2+ 开始沉淀 1.5 6.3 7.4 7.6 完全沉淀 2.8 8.3 9.4 10.2 (1)为提高“酸浸”的效率,可以采取的措施为___________、___________。 (2)利用___________的磁性,可将其从“滤渣1”中分离。“酸浸”后所得溶液的金属阳离子包括 Mn2+、Co2+、___________、___________。 (3)“沉铁”过程中,先加MnO 充分反应后再加氨水。则加MnO 时发生反应的离子方程式为 2 2 ___________。 (4)“沉钴”中,不能用NaOH代替含硫沉淀剂,原因是___________。 (5)已知K (MnS)= 2.5×10-13,K (CoS)= 4.0×10-21,“沉铁”后溶液中c(Mn2+)=2 mol·L-1,当金属阳离 sp sp 子浓度小于1.0×10-5 mol·L-1时沉淀完全,此时“滤渣3”中是否含有MnS沉淀?__(列式计算)。 (6)下图为MnSO 和(NH )SO 的溶解度曲线。则“操作I”为______、洗涤干燥。 4 4 2 4 【答案】(1)适当提高硫酸浓度 将菱锰矿粉碎(或适当升高温度) 资料整理【淘宝店铺:向阳百分百】(2)Fe O Fe2+ Fe3+ 3 4 (3)2Fe2++MnO+4H+=Mn2++2Fe3++2H O 2 2 (4)Co2+沉淀完全时,Mn2+也会沉淀,导致MnSO 产率降低 4 (5)Co2+完全沉淀时, , ,故滤渣3中无 MnS (6)蒸发结晶、趁热过滤 【解析】菱锰矿主要成分为MnCO ,还含有Fe O、Fe O、FeO、CoO、SiO 等杂质,用硫酸溶解菱 3 3 4 2 3 2 锰矿,SiO 和硫酸不反应,过滤出沉淀得到含有硫酸锰、硫酸铁、硫酸亚铁、硫酸钴的溶液,加入二氧化 2 锰把Fe2+氧化为Fe3+,加氨水调节pH生成氢氧化铁沉淀,过滤,滤液中加入NaS生成CoS沉淀,过滤, 2 滤液蒸发结晶、趁热过滤得到MnSO 晶体。(1)根据影响反应速率的因素,适当提高硫酸浓度、升高温度、 4 菱锰矿粉碎都能提高“酸浸”的效率;(2)Fe O 具有磁性,利用Fe O 的磁性,可将其从“滤渣1”中分离。 3 4 3 4 “酸浸”后所得溶液的金属阳离子包括Mn2+、Co2+、Fe2+、Fe3+。(3)二氧化锰把Fe2+氧化为Fe3+,反应的离 子方程式是2Fe2++MnO+4H+=Mn2++2Fe3++2H O;(4)若用NaOH代替含硫沉淀剂,Co2+沉淀完全时, 2 2 pH=9.4,此时Mn2+也会沉淀,导致MnSO 产率降低;(5)Co2+完全沉淀时, , 4 ,故滤渣3中无MnS;(6)根据MnSO 和(NH )SO 的溶解度曲线,MnSO 的 4 4 2 4 4 溶解度随温度升高而减小,含有MnSO 的溶液中蒸发结晶、趁热过滤、洗涤干燥得到MnSO 晶体。 4 4 资料整理【淘宝店铺:向阳百分百】