当前位置:首页>文档>专题突破(八)突破酸碱中和图像中的五个关键点(作业)_05高考化学_新高考复习资料_2022年新高考资料_2022届一轮复习讲练结合_第八章水溶液中的离子平衡

专题突破(八)突破酸碱中和图像中的五个关键点(作业)_05高考化学_新高考复习资料_2022年新高考资料_2022届一轮复习讲练结合_第八章水溶液中的离子平衡

  • 2026-04-01 15:50:44 2026-03-28 02:39:39

文档预览

专题突破(八)突破酸碱中和图像中的五个关键点(作业)_05高考化学_新高考复习资料_2022年新高考资料_2022届一轮复习讲练结合_第八章水溶液中的离子平衡
专题突破(八)突破酸碱中和图像中的五个关键点(作业)_05高考化学_新高考复习资料_2022年新高考资料_2022届一轮复习讲练结合_第八章水溶液中的离子平衡
专题突破(八)突破酸碱中和图像中的五个关键点(作业)_05高考化学_新高考复习资料_2022年新高考资料_2022届一轮复习讲练结合_第八章水溶液中的离子平衡
专题突破(八)突破酸碱中和图像中的五个关键点(作业)_05高考化学_新高考复习资料_2022年新高考资料_2022届一轮复习讲练结合_第八章水溶液中的离子平衡
专题突破(八)突破酸碱中和图像中的五个关键点(作业)_05高考化学_新高考复习资料_2022年新高考资料_2022届一轮复习讲练结合_第八章水溶液中的离子平衡
专题突破(八)突破酸碱中和图像中的五个关键点(作业)_05高考化学_新高考复习资料_2022年新高考资料_2022届一轮复习讲练结合_第八章水溶液中的离子平衡
专题突破(八)突破酸碱中和图像中的五个关键点(作业)_05高考化学_新高考复习资料_2022年新高考资料_2022届一轮复习讲练结合_第八章水溶液中的离子平衡
专题突破(八)突破酸碱中和图像中的五个关键点(作业)_05高考化学_新高考复习资料_2022年新高考资料_2022届一轮复习讲练结合_第八章水溶液中的离子平衡
专题突破(八)突破酸碱中和图像中的五个关键点(作业)_05高考化学_新高考复习资料_2022年新高考资料_2022届一轮复习讲练结合_第八章水溶液中的离子平衡
专题突破(八)突破酸碱中和图像中的五个关键点(作业)_05高考化学_新高考复习资料_2022年新高考资料_2022届一轮复习讲练结合_第八章水溶液中的离子平衡
专题突破(八)突破酸碱中和图像中的五个关键点(作业)_05高考化学_新高考复习资料_2022年新高考资料_2022届一轮复习讲练结合_第八章水溶液中的离子平衡
专题突破(八)突破酸碱中和图像中的五个关键点(作业)_05高考化学_新高考复习资料_2022年新高考资料_2022届一轮复习讲练结合_第八章水溶液中的离子平衡
专题突破(八)突破酸碱中和图像中的五个关键点(作业)_05高考化学_新高考复习资料_2022年新高考资料_2022届一轮复习讲练结合_第八章水溶液中的离子平衡

文档信息

文档格式
doc
文档大小
0.267 MB
文档页数
9 页
上传时间
2026-03-28 02:39:39

文档内容

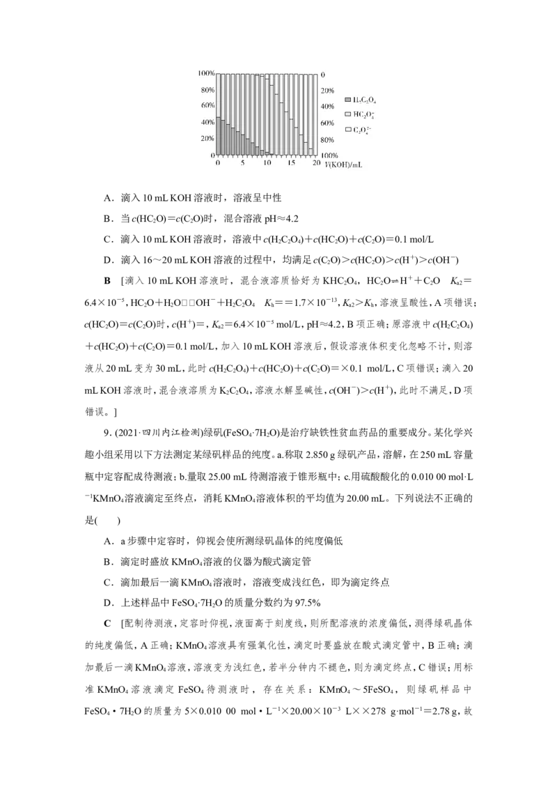
章末综合检测(八) 水溶液中的离子平衡 一、选择题:本题包括10小题,每小题只有一个选项最符合题意。 1.(2021·贵州思南中学检测)下列说法正确的是( ) A.25 ℃时,NH Cl溶液的K 大于100 ℃时NH Cl溶液的K 4 w 4 w B.将浓度为0.1 mol/L HF溶液加水不断稀释,c(H+)/c(HF)保持不变 C.加入铝粉能产生氢气的溶液中,可能存在大量的Na+、Ba2+、AlO、NO D.100 ℃时,将pH=2的盐酸与pH=12的NaOH溶液等体积混合,溶液显中性 C [温度升高,水的离子积K 增大,故100 ℃时NH Cl溶液的K 大,A错误;HF溶液 w 4 w 加水不断稀释,HF的电离平衡正向移动,n(H+)增大,n(HF)减小,则c(H+)/c(HF)增大,B错误; 加入铝粉能产生氢气的溶液可能呈强酸性或强碱性,若为强碱性,则四种离子可以大量共存, C正确;100 ℃时,水的电离程度增大,则有K >1×10-14,pH=12的NaOH溶液中c(OH-)大 w 于10-2 mol/L,故pH=2的盐酸与pH=12的NaOH溶液等体积混合,NaOH剩余,所得混合 液呈碱性,D错误。] 2.(2021·重庆云阳县检测)常温下,在等体积:①pH=0的硫酸;②0.1 mol·L-1NaOH溶 液;③pH=10的纯碱溶液中,水的电离程度的大小顺序是( ) A.①>②>③ B.②>①>③ C.③>①>② D.③>②>① D [酸或碱抑制水的电离,且c(H+)或c(OH-)越大,水的电离程度越小,则水的电离程 度:①<②;纯碱(Na CO)是强碱弱酸盐,发生水解而促进水的电离,则水的电离程度最大。] 2 3 3.(2021·福建三明一中检测)根据下列实验不能证明一元酸HR为弱酸的是( ) A.室温下,NaR溶液的pH大于7 B.HR溶液加入少量NaR固体,溶解后溶液的pH变大 C.HR溶液的导电性比盐酸弱 D.室温下,0.01 mol·L-1的HR溶液pH=2.8 C [室温下,NaR溶液的pH大于7,说明R-发生水解反应,则HR是弱酸,A正确;HR 溶液加入少量NaR固体,溶解后溶液的pH变大,说明存在电离平衡:HR⇌H++R-,加入少 量NaR固体,c(R-)增大,平衡逆向移动,溶液的酸性减弱,pH变大,B正确;题目未指明HR 溶液和盐酸的浓度大小,不能通过导电性判断HR是否为弱酸,C错误;室温下,0.01 mol·L- 1的HR溶液pH=2.8,说明HR部分电离,则HR为弱酸,D正确。] 4.(2021·湖北荆州联考)下列实验事实不能用平衡移动原理解释的是( ) A.室温下,pH=11的氨水稀释10倍后溶液pH>10B.将饱和氯化铁溶液滴入沸水,溶液变成红褐色 C.对于CO(g)+NO 2 (g)⇌CO 2 (g)+NO(g)的平衡体系,增大压强可使颜色变深 D.水垢中含有CaSO,可先用饱和NaCO 溶液浸泡处理,而后用盐酸去除 4 2 3 C [室温下,pH=11的氨水稀释10倍,NH ·HO的电离平衡正向移动,n(OH-)增大, 3 2 溶液pH>10,A正确;饱和FeCl 溶液滴入沸水中,促进了Fe3+的水解,得到红褐色Fe(OH) 3 3 胶体,B正确;增大压强,平衡不移动,由于容器体积缩小,则c(NO )增大,颜色变深,不能用 2 平衡移动原理解释,C错误;水垢中含有CaSO 4 ,存在溶解平衡:CaSO 4 (s)⇌Ca2+(aq)+ SO(aq),用饱和NaCO 溶液浸泡处理,Ca2+与CO结合生成CaCO ,平衡正向移动,再用盐酸 2 3 3 除去CaCO ,D正确。] 3 5.(2021·广州荔湾区检测)常温下,向pH=12的一元弱碱(MOH)溶液中逐渐滴加等体积 pH=2的一元强酸(HA)溶液。下列说法正确的是( ) A.弱碱的物质的量浓度小于强酸 B.滴加过程中,水的电离程度逐渐增大 C.混合结束后,溶液呈酸性 D.混合溶液中:c(A-)>c(M+)>c(OH-)>c(H+) B [常温下,MOH部分电离,pH=12的MOH溶液中c(MOH)>10-2 mol·L-1;HA是一 元强酸,pH=2的HA溶液中c(HA)=10-2 mol·L-1,则有c(MOH)>c(HA),A错误。MOH溶 液中逐滴加入HA溶液,溶液碱性减弱,水的电离程度增大,B正确。pH=12的MOH溶液中 逐渐滴加等体积pH=2的HA溶液充分反应生成MA后,MOH剩余,溶液呈碱性,C错误。 混合溶液呈碱性,则有c(OH-)>c(H+);据电荷守恒可得c(OH-)+c(A-)=c(H+)>c(M+),则有 c(M+)> c(A-),D错误。] 6.(2021·四川攀枝花检测)常温下,甲酸和乙酸的电离常数分别为1.8×10-4和1.8×10- 5。将pH和体积均相同的两种酸溶液分别稀释,其pH随加水体积的变化如图所示。两种酸用 通式HY表示,下列叙述正确的是( ) A.曲线Ⅱ代表乙酸B.酸的电离程度:c点>d点 C.溶液中水的电离程度:b点>c点 D.从c点到d点,溶液中保持不变 D [常温下,甲酸的电离常数大于乙酸,则酸性:甲酸>乙酸;pH相同的两种酸加水稀释 相同倍数时,甲酸的pH变化大,故曲线Ⅱ代表甲酸,A错误;甲酸溶液加水稀释,电离平衡正 向移动,电离程度增大,故酸的电离程度:c点c(OH-),C错误;a点盐酸和氨水恰好完全反应生成NH Cl,b点盐酸过量,而过 4 量盐酸抑制水的电离,故a点水的电离程度最大,D正确。] 8.(2021·广东百校联盟联考)HC O 为二元弱酸,K =5.9×10-2,K =6.4×10-5,lg 2 2 4 a1 a2 6.4≈0.8,向20 mL 0.1 mol/L H C O 溶液中滴加0.2 mol/L KOH溶液,溶液中含碳微粒的存 2 2 4 在形式与物质的量百分比随KOH溶液体积变化如图所示。下列说法正确的是( )A.滴入10 mL KOH溶液时,溶液呈中性 B.当c(HC O)=c(C O)时,混合溶液pH≈4.2 2 2 C.滴入10 mL KOH溶液时,溶液中c(H C O)+c(HC O)+c(C O)=0.1 mol/L 2 2 4 2 2 D.滴入16~20 mL KOH溶液的过程中,均满足c(C O)>c(HC O)>c(H+)>c(OH-) 2 2 B [滴入10 mL KOH溶液时,混合液溶质恰好为KHC 2 O 4 ,HC 2 O⇌H++C 2 O K a2 = 6.4×10-5,HC O+HOOH-+HC O K ==1.7×10-13,K >K ,溶液呈酸性,A项错误; 2 2 2 2 4 h a2 h c(HC O)=c(C O)时,c(H+)=,K =6.4×10-5 mol/L,pH≈4.2,B项正确;原溶液中c(H C O) 2 2 a2 2 2 4 +c(HC O)+c(C O)=0.1 mol/L,加入10 mL KOH溶液后,假设溶液体积变化忽略不计,则溶 2 2 液从20 mL变为30 mL,此时c(H C O)+c(HC O)+c(C O)=×0.1 mol/L,C项错误;滴入20 2 2 4 2 2 mL KOH溶液时,混合液溶质为KC O,溶液水解显碱性,c(OH-)>c(H+),此时不满足,D项 2 2 4 错误。] 9.(2021·四川内江检测)绿矾(FeSO ·7H O)是治疗缺铁性贫血药品的重要成分。某化学兴 4 2 趣小组采用以下方法测定某绿矾样品的纯度。a.称取2.850 g绿矾产品,溶解,在250 mL容量 瓶中定容配成待测液;b.量取25.00 mL待测溶液于锥形瓶中;c.用硫酸酸化的0.010 00 mol·L -1KMnO 溶液滴定至终点,消耗KMnO 溶液体积的平均值为20.00 mL。下列说法不正确的 4 4 是( ) A.a步骤中定容时,仰视会使所测绿矾晶体的纯度偏低 B.滴定时盛放KMnO 溶液的仪器为酸式滴定管 4 C.滴加最后一滴KMnO 溶液时,溶液变成浅红色,即为滴定终点 4 D.上述样品中FeSO ·7H O的质量分数约为97.5% 4 2 C [配制待测液,定容时仰视,液面高于刻度线,则所配溶液的浓度偏低,测得绿矾晶体 的纯度偏低,A正确;KMnO 溶液具有强氧化性,滴定时要盛放在酸式滴定管中,B正确;滴 4 加最后一滴KMnO 溶液,溶液变为浅红色,若半分钟内不褪色,则为滴定终点,C错误;用标 4 准 KMnO 溶液滴定 FeSO 待测液时,存在关系:KMnO ~5FeSO ,则绿矾样品中 4 4 4 4 FeSO ·7HO的质量为5×0.010 00 mol·L-1×20.00×10-3 L××278 g·mol-1=2.78 g,故 4 2样品中FeSO ·7HO的质量分数为×100%≈97.5%,D正确。] 4 2 10.(2020·福建龙岩一模)常温下,向盛50 mL 0.100 mol·L-1盐酸的两个烧杯中各自匀速 滴加50 mL的蒸馏水、0.100 mol·L-1醋酸铵溶液,测得溶液pH随时间变化如图所示。已知 K(CHCOOH)=1.8×10-5,K (NH ·H O)=1.8×10-5。下列说法正确的是( ) a 3 b 3 2 A.曲线X是盐酸滴加蒸馏水的pH变化图,滴加过程中溶液各种离子浓度逐渐减小 B.曲线Y上的任意一点溶液中均存在c(CHCOO-)c(OH-) >c(H+) >c(CHCOO-) 3 (2)滴定过程中,从a点到c点水电离出的c(OH-)逐渐增大,用平衡移动原理解释: ________________________________________________________________________ ________________________________________________________________________ ________________________________________________________________________。 (3)根据表中的有效数据,计算消耗的 NaOH 溶液的平均体积V(NaOH)=________mL。 该醋酸溶液样品中醋酸的含量是________g/100 mL。[M(CHCOOH)=60 g·mol-1] 3 解析 (1)据电荷守恒可知,a点溶液中:c(CHCOO-)+c(OH-)=c(H+),则有c(CHCOO 3 3 -)c(CHCOO-) >c(OH-)>c(H+) ,C项错误。 3 (3)表中第2组数据存在明显错误,应舍去,取其他三组数据计算平均体积V(NaOH)= (23.99+24.01+24.00)mL/3=24.00 mL。10.00 mL醋酸溶液样品中:n(CHCOOH)=n(NaOH) 3 =0.100 0 mol/L×24.00×10-3 L×=0.012 mol,则有m(CHCOOH)=0.012 mol×60 g/mol= 3 0.72g,故该醋酸溶液样品中醋酸的含量为0.72 g/10.00 mL=7.2 g/100 mL。 答案 (1)AB (2)溶液中存在水的电离平衡H 2 O⇌OH-+H+,随着NaOH 加入,CH 3 COOH浓度降低,醋酸对水电离的抑制程度减弱 (3)24.00 7.2 12.(2021·山西大学附中检测)水溶液中的离子平衡是中学学习的一个重要内容。 (1)下列溶液①0.1 mol/L盐酸 ②0.1 mol/L H SO 溶液 ③0.1 mol/L CH COONa溶液 ④ 2 4 3 0.1 mol/L NH Cl溶液 ⑤0.1 mol/L氨水,按pH由小到大顺序为________________(填序号)。 4 (2)等浓度的盐酸、氨水中,由水电离出的H+浓度c(H+) ________c(H+) (填“大于” 盐酸 氨水 “小于”或“等于”) 。在25 ℃下,将a mol/L的氨水与0.01 mol/L的盐酸等体积混合,充分 反 应 后 溶 液 呈 中 性 , 则 反 应 后 溶 液 存 在 的 离 子 浓 度 的 大 小 顺 序 为 ________________________________________________________________________,氨水 的浓度a________0.01 mol/L(填“>”“ <”或“=”)。 (3) 某 同 学 查 阅 资 料 发 现 , 人 体 血 液 里 存 在 重 要 的 酸 碱 平 衡 : CO + 2 H 2 O⇌H 2 CO 3 HCO,使人体血液pH保持在7.35~7.45,否则就会发生酸中毒或碱中毒。 ①人体血液酸中毒时,可注射________(填选项)缓解; A.NaOH溶液 B.NaHCO 溶液 3 C.NaCl溶液 D.NaSO 溶液 2 4 ②已知 25 ℃时,CO 水解反应的一级平衡常数 K =2×10-4 mol/L,当溶液中 h c(HCO)∶c(CO)=2∶1时,溶液的pH=________。 (4)已知25 ℃时,AgCl的K =1.8×10-10,该温度下向1 L 0.03 mol/L的AgNO 溶液中 sp 3 加入1 L 0.01 mol/L的NaCl溶液之后,溶液中c(Cl-)=________mol/L(忽略混合前后溶液体 积的变化)。平衡后,若向该体系中再加入少量AgCl固体,则c(Cl-)________(填“增大” “减小”或“不变”)。 解析 (1)①、②、④溶液呈酸性,HSO 是二元酸,等浓度时②的酸性强于①,④是强酸 2 4 弱碱盐溶液,酸性最弱;③、⑤溶液呈碱性,③是强碱弱酸盐溶液,其碱性小于⑤,故溶液的 pH:②<①<④<③<⑤。 (2)HCl是强酸,NH ·HO是弱碱,等浓度时盐酸中c(H+)大于氨水中c(OH-),而c(H+) 3 2 或c(OH-)越大,水的电离程度越小,故由水电离出的H+浓度c(H+) 小于c(H+) 。 盐酸 氨水 氨水与盐酸恰好完全反应生成NH Cl时,所得溶液呈酸性,若充分反应后溶液呈中性, 4 应使氨水稍过量,则有氨水的浓度a>0.01 mol·L-1。所得溶液呈中性,则有c(H+)=c(OH-), 结合电荷守恒推知c(Cl-)=c(NH),故溶液中离子浓度:c(Cl-)=c(NH)>c(H+)=c(OH-)。 (3)②CO 的一级水解反应:CO+H 2 O⇌HCO+OH-,水解常数 K h1 =[c(HCO)·c(OH-)]/c(CO)=2×10-4 mol/L,当溶液中c(HCO)∶c(CO)=2∶1时,可得c(OH-)=10-4 mol/L, 故溶液的pH=10。 (4)向1 L 0.03 mol/L的AgNO 溶液中加入1 L 0.01 mol/L的NaCl溶液,充分反应后剩余 3 AgNO ,反应后溶液中c(Ag+)=0.01 mol/L,则该温度下溶液中 c(Cl-)===1.8×10-8 3 mol/L。平衡后,若向该体系中再加入少量AgCl固体,对AgCl的沉淀溶解平衡无影响,故溶 液中c(Cl-)不变。 答案 (1)②<①<④<③<⑤ (2)小于 c(Cl-)=c(NH)>c(H+)=c(OH-) > (3)①B ②10 (4)1.8×10-8 不变 13.(2021·北京朝阳区检测)乙二酸(H C O)俗称草酸,在实验研究和化学工业中应用广 2 2 4 泛。 (1)室温下,测得0.1 mol·L-1 HC O 溶液pH=1.3,写出草酸的电离方程式 2 2 4 ________________________________________________________________________。 (2)草酸溶液中各粒子的物质的量分数随溶液pH变化关系如下图所示: ①向草酸溶液中滴加 KOH 溶液至 pH=2.5 时发生的主要反应的离子方程式 __________________________。 ②0.1 mol·L-1 KHC O 溶液中,下列粒子浓度关系正确的是________(填序号)。 2 4 a.c(K+)+c(H+)=c(HC O)+c(C O)+c(OH-) 2 2 b.c(K+)>c(HC O)>c(C O)>c(H C O) 2 2 2 2 4 c.c(K+)=c(HC O)+c(C O)+c(H C O) 2 2 2 2 4 (3)工业上利用硫酸亚铁与草酸反应制备草酸亚铁晶体,其离子方程式为 Fe2++H 2 C 2 O 4 +xH 2 O⇌FeC 2 O 4 ·xH 2 O↓+2H+ ①制备时需添加氨水以提高FeC O·xHO的产率,从化学平衡移动原理角度解释原因: 2 4 2________________________________________________________________________ ________________________________________________________________________。 ②测定草酸亚铁晶体(FeC O·xHO)的x值,实验如下: 2 4 2 称取0.540 0 g草酸亚铁晶体溶于一定浓度的硫酸中,用KMnO 酸性溶液滴定。到达滴 4 定终点时,消耗0.100 0 mol·L-1的KMnO 酸性溶液18.00 mL。 4 已知:滴定过程中铁、碳元素被氧化为 Fe3+、CO ,锰元素被还原为 Mn2+,则 2 FeC O·xHO中x=________(FeC O 的摩尔质量是144 g·mol-1)。 2 4 2 2 4 解析 (2)①由图可知,pH=2.5时,溶液中主要存在HC O,故草酸溶液中滴加KOH反 2 应生成KHC O,离子方程式为HC O+OH-===HC O+HO。 2 4 2 2 4 2 2 ②0.1 mol·L-1 KHC O 溶液中,据电荷守恒可得:c(K+)+c(H+)=c(OH-)+c(HC O)+ 2 4 2 2c(C O),a项错误;由图可知,KHC O 溶液呈酸性,则HC O的水解程度小于其电离程度,则 2 2 4 2 有c(C O)>c(H C O),故溶液中:c(K+)>c(HC O)>c(C O)>c(H C O),b项正确;KHC O 溶液 2 2 2 4 2 2 2 2 4 2 4 中存在HC O的水解和电离平衡,据物料守恒可得c(K+)=c(HC O)+c(C O)+c(H C O),c项 2 2 2 2 2 4 正确。 (3)② 根据电子得失守恒可得 ,MnO 与 FeC O·xHO 的关系式为 3MnO~ 2 4 2 5FeC O·xHO,达到滴定终点时,消耗 18.00 mL 0.100 0 mol·L-1 KMnO 溶液,则有 2 4 2 4 n(FeC O·xHO)=×0.100 0 mol·L-1×18.00×10-3 L=3×10-3 mol,草酸亚铁晶体的质 2 4 2 量为0.540 0 g,则有M(FeC O·xHO)==180 g·mol-1,又知M(FeC O)=144 g·mol-1,故 2 4 2 2 4 FeC O·xHO中x==2。 2 4 2 答案 (1)H 2 C 2 O 4⇌HC 2 O+H+、HC 2 O⇌C 2 O+H+ (2)①HC O+OH-===HC O+HO ②bc 2 2 4 2 2 (3)①NH ·H O 与 H+反应,使 c(H+)减小,平衡向正反应方向移动,产生更多的 3 2 FeC O·xHO 2 4 2 ②2