当前位置:首页>文档>黄金卷-赢在高考·黄金8卷备战2024年高考数学模拟卷(七省新高考)(参考答案)_2.2025数学总复习_2024年新高考资料_1.2024一轮复习_阶段模拟考试_518

黄金卷-赢在高考·黄金8卷备战2024年高考数学模拟卷(七省新高考)(参考答案)_2.2025数学总复习_2024年新高考资料_1.2024一轮复习_阶段模拟考试_518

  • 2026-04-03 16:58:58 2026-03-29 05:46:39

文档预览

黄金卷-赢在高考·黄金8卷备战2024年高考数学模拟卷(七省新高考)(参考答案)_2.2025数学总复习_2024年新高考资料_1.2024一轮复习_阶段模拟考试_518
黄金卷-赢在高考·黄金8卷备战2024年高考数学模拟卷(七省新高考)(参考答案)_2.2025数学总复习_2024年新高考资料_1.2024一轮复习_阶段模拟考试_518
黄金卷-赢在高考·黄金8卷备战2024年高考数学模拟卷(七省新高考)(参考答案)_2.2025数学总复习_2024年新高考资料_1.2024一轮复习_阶段模拟考试_518
黄金卷-赢在高考·黄金8卷备战2024年高考数学模拟卷(七省新高考)(参考答案)_2.2025数学总复习_2024年新高考资料_1.2024一轮复习_阶段模拟考试_518
黄金卷-赢在高考·黄金8卷备战2024年高考数学模拟卷(七省新高考)(参考答案)_2.2025数学总复习_2024年新高考资料_1.2024一轮复习_阶段模拟考试_518
黄金卷-赢在高考·黄金8卷备战2024年高考数学模拟卷(七省新高考)(参考答案)_2.2025数学总复习_2024年新高考资料_1.2024一轮复习_阶段模拟考试_518
黄金卷-赢在高考·黄金8卷备战2024年高考数学模拟卷(七省新高考)(参考答案)_2.2025数学总复习_2024年新高考资料_1.2024一轮复习_阶段模拟考试_518
黄金卷-赢在高考·黄金8卷备战2024年高考数学模拟卷(七省新高考)(参考答案)_2.2025数学总复习_2024年新高考资料_1.2024一轮复习_阶段模拟考试_518
黄金卷-赢在高考·黄金8卷备战2024年高考数学模拟卷(七省新高考)(参考答案)_2.2025数学总复习_2024年新高考资料_1.2024一轮复习_阶段模拟考试_518
黄金卷-赢在高考·黄金8卷备战2024年高考数学模拟卷(七省新高考)(参考答案)_2.2025数学总复习_2024年新高考资料_1.2024一轮复习_阶段模拟考试_518
黄金卷-赢在高考·黄金8卷备战2024年高考数学模拟卷(七省新高考)(参考答案)_2.2025数学总复习_2024年新高考资料_1.2024一轮复习_阶段模拟考试_518
黄金卷-赢在高考·黄金8卷备战2024年高考数学模拟卷(七省新高考)(参考答案)_2.2025数学总复习_2024年新高考资料_1.2024一轮复习_阶段模拟考试_518
黄金卷-赢在高考·黄金8卷备战2024年高考数学模拟卷(七省新高考)(参考答案)_2.2025数学总复习_2024年新高考资料_1.2024一轮复习_阶段模拟考试_518

文档信息

文档格式
docx
文档大小
0.427 MB
文档页数
9 页
上传时间
2026-03-29 05:46:39

文档内容

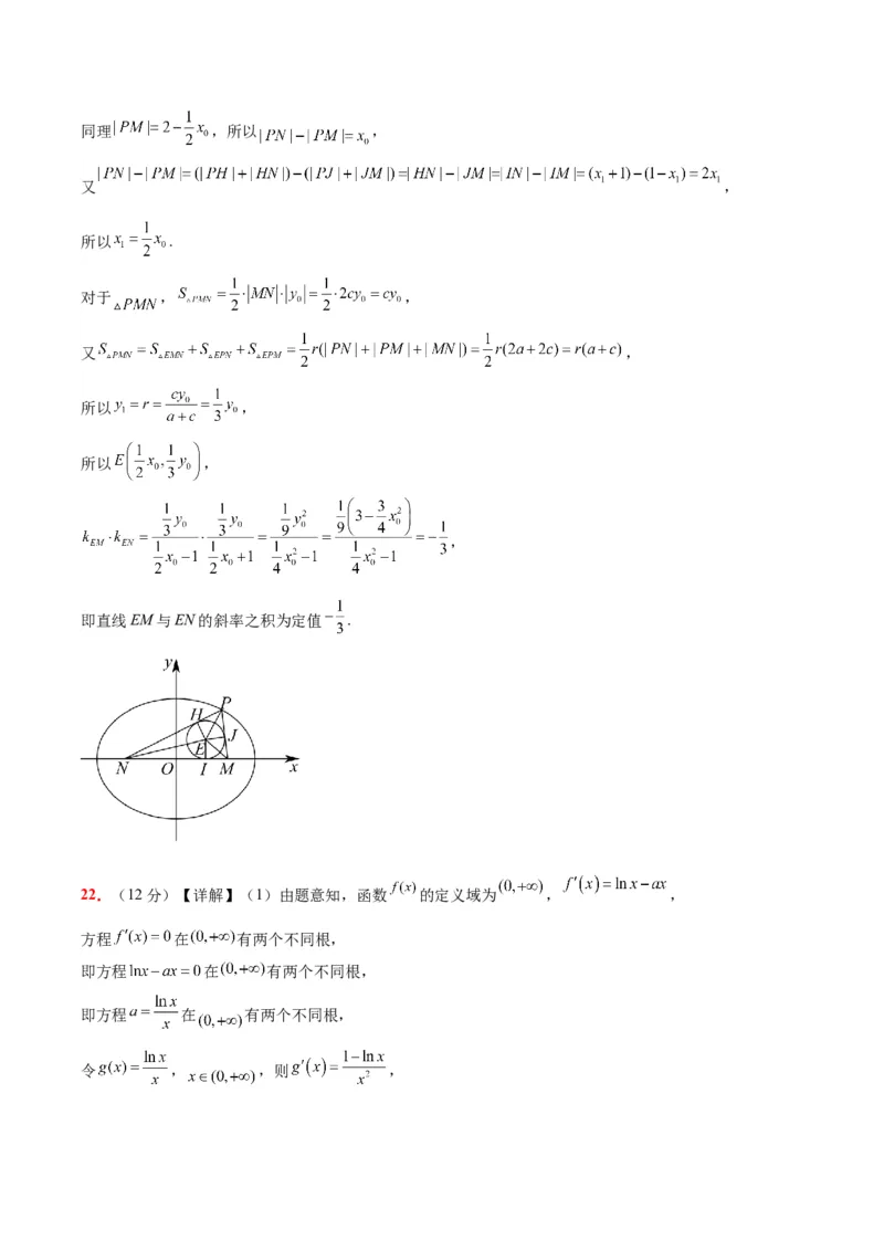
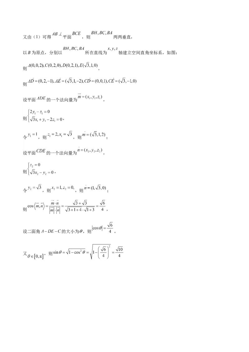
【赢在高考·黄金8卷】备战2024年高考数学模拟卷(七省新高考专用) 黄金卷·参考答案 (考试时间:120分钟 试卷满分:150分) 第 I 卷(选择题) 一、单项选择题:本题共8小题,每小题5分,共40分,在每小题给出的四个选项中,只有一项是符合要 求的。 1 2 3 4 5 6 7 8 A B B C B C D C 二、多项选择题:本题共4小题,每小题5分,共20分,在每小题给出的四个选项中,有多项符合题目的 要求,全部选对的得5分,部分选对的得2分,有选错的得0分。 9 10 11 12 ACD AD AC AB 第 II 卷(非选择题) 三、填空题:本题共4小题,每小题5分,共20分,其中第16题第一空2分,第二空3分。 13.27 14.1(或-1) 15.15 16. ; . 四、解答题:本题共6小题,共70分,其中第17题10分,18~22题12分,解答应写出必要的文字说明、 证明过程及验算步骤。 17.(10分)【详解】(1)由正弦定理边化角得 , ,得 , , , (2)若选择条件①: ,b=1, ,, , 则△ABC中 均唯一确定,又 ,则△ABC存在且唯一, 由正弦定理 , AC边上的高为 ; 若选择条件②:b=2, , 由正弦定理 得 , ABC不存在; △ 若选择条件③:a=3,c=2, , 由a=3,c=2, 可得△ABC存在且唯一, 由余弦定理 ,则 , 由正弦定理 得 , AC边上的高为 ; 18.(12分)【详解】(1)①当 时, ; ②当 时, , ③将n=1代入 中得: 符合.∴ , 设等差数列 的公差为d, 则 ,解得: , ∴ . (2)由(1)知: , ∵ ∴ ① ② ∴ 得: 即: , ∴ . 19.(12分)【详解】 x 2 3 3 1 2 2 2 2 2 2 y 2 2 3 2 3 3 2 3 1 2 z 3 3 3 2 2 3 2 3 1 2 w 7 8 9 5 7 8 6 8 4 6 (1)由题可知:建模能力一级的学生是 ;建模能力二级的学生是 ;建模能力三级的学生是 . 记“所取的两人的建模能力指标相同”为事件 ,记“所取的两人的综合指标值相同”为事件 .则 (2)由题可知,数学核心素养一级的学生为: ,非一级的学生为余下4人 的所有可能取值为0,1,2,3. 随机变量 的分布列为: 0 1 2 3 20.(12分)【详解】(1)分别取 的中点 ,连接 , 则 为 的中位线,则 , , 又 , ,则 , 则四边形 为平行四边形,则 , 平面 平面 ,平面 平面 , 平面 , ,可得 平面 , 又 平面 ,则 ,则 , 又 中, ,则 , 又 平面 ,则 平面 , 又 ,则 平面 , 又 平面 ,则平面 平面 . (2)当 时,由 ,可得 为等边三角形, 在平面 内,过点B作 ,垂足为B,又由(1)可得 平面 ,则 两两垂直, 以B为原点,分别以 所在直线为 轴建立空间直角坐标系,如图: 则 , 则 设平面 的一个法向量为 , 则 , 令 ,则 ,则 ; 设平面 的一个法向量为 , 则 , 令 ,则 ,则 ; 则 , 设二面角 的大小为 ,则 , 又 ,则则二面角 的正弦值为 . 21.(12分)【详解】(1)圆M: 的圆心 ,半径 . 设SN中点为K,则KQ为线段SN的垂直平分线,则 , 所以 , 所以点Q的轨迹是以 , 为焦点,长轴长为4的椭圆, 即 ,则 , 所以点Q的轨迹方程为: ; (2)证明:根据椭圆的对称性,不妨设 ,圆E的半径为 . ,同理 ,所以 , 又 , 所以 . 对于 , , 又 , 所以 , 所以 , , 即直线EM与EN的斜率之积为定值 . 22.(12分)【详解】(1)由题意知,函数 的定义域为 , , 方程 在 有两个不同根, 即方程 在 有两个不同根, 即方程 在 有两个不同根, 令 , ,则 ,则当 时, , 时, , 则函数 在 上单调递增,在 上单调递减, 所以 , 又因为 ,当 时, ,当 时, , 所以 的取值范围为 ; (2)要证 ,两边取对数,等价于要证 , 由(1)可知 , 分别是方程 的两个根, 即 , 所以原式等价于 ,因为 , , 所以原式等价于要证明 . 又由 , 作差得, ,即 . 所以原式等价于 ,令 , , 则不等式 在 上恒成立. 令 , , 又 , 当 时,可见 时, , 所以 在 上单调增, 又 , , 所以 在 恒成立,所以原不等式恒成立.