当前位置:首页>文档>专题04基本不等式(九大题型+模拟精练)(解析版)_02高考数学_2025年新高考资料_一轮复习_2025年高考数学一轮复习《重难点题型与知识梳理•高分突破》(新高考专用)

专题04基本不等式(九大题型+模拟精练)(解析版)_02高考数学_2025年新高考资料_一轮复习_2025年高考数学一轮复习《重难点题型与知识梳理•高分突破》(新高考专用)

  • 2026-04-08 00:36:27 2026-04-07 23:40:32

文档预览

专题04基本不等式(九大题型+模拟精练)(解析版)_02高考数学_2025年新高考资料_一轮复习_2025年高考数学一轮复习《重难点题型与知识梳理•高分突破》(新高考专用)
专题04基本不等式(九大题型+模拟精练)(解析版)_02高考数学_2025年新高考资料_一轮复习_2025年高考数学一轮复习《重难点题型与知识梳理•高分突破》(新高考专用)
专题04基本不等式(九大题型+模拟精练)(解析版)_02高考数学_2025年新高考资料_一轮复习_2025年高考数学一轮复习《重难点题型与知识梳理•高分突破》(新高考专用)
专题04基本不等式(九大题型+模拟精练)(解析版)_02高考数学_2025年新高考资料_一轮复习_2025年高考数学一轮复习《重难点题型与知识梳理•高分突破》(新高考专用)
专题04基本不等式(九大题型+模拟精练)(解析版)_02高考数学_2025年新高考资料_一轮复习_2025年高考数学一轮复习《重难点题型与知识梳理•高分突破》(新高考专用)
专题04基本不等式(九大题型+模拟精练)(解析版)_02高考数学_2025年新高考资料_一轮复习_2025年高考数学一轮复习《重难点题型与知识梳理•高分突破》(新高考专用)
专题04基本不等式(九大题型+模拟精练)(解析版)_02高考数学_2025年新高考资料_一轮复习_2025年高考数学一轮复习《重难点题型与知识梳理•高分突破》(新高考专用)
专题04基本不等式(九大题型+模拟精练)(解析版)_02高考数学_2025年新高考资料_一轮复习_2025年高考数学一轮复习《重难点题型与知识梳理•高分突破》(新高考专用)
专题04基本不等式(九大题型+模拟精练)(解析版)_02高考数学_2025年新高考资料_一轮复习_2025年高考数学一轮复习《重难点题型与知识梳理•高分突破》(新高考专用)
专题04基本不等式(九大题型+模拟精练)(解析版)_02高考数学_2025年新高考资料_一轮复习_2025年高考数学一轮复习《重难点题型与知识梳理•高分突破》(新高考专用)
专题04基本不等式(九大题型+模拟精练)(解析版)_02高考数学_2025年新高考资料_一轮复习_2025年高考数学一轮复习《重难点题型与知识梳理•高分突破》(新高考专用)
专题04基本不等式(九大题型+模拟精练)(解析版)_02高考数学_2025年新高考资料_一轮复习_2025年高考数学一轮复习《重难点题型与知识梳理•高分突破》(新高考专用)
专题04基本不等式(九大题型+模拟精练)(解析版)_02高考数学_2025年新高考资料_一轮复习_2025年高考数学一轮复习《重难点题型与知识梳理•高分突破》(新高考专用)
专题04基本不等式(九大题型+模拟精练)(解析版)_02高考数学_2025年新高考资料_一轮复习_2025年高考数学一轮复习《重难点题型与知识梳理•高分突破》(新高考专用)
专题04基本不等式(九大题型+模拟精练)(解析版)_02高考数学_2025年新高考资料_一轮复习_2025年高考数学一轮复习《重难点题型与知识梳理•高分突破》(新高考专用)
专题04基本不等式(九大题型+模拟精练)(解析版)_02高考数学_2025年新高考资料_一轮复习_2025年高考数学一轮复习《重难点题型与知识梳理•高分突破》(新高考专用)
专题04基本不等式(九大题型+模拟精练)(解析版)_02高考数学_2025年新高考资料_一轮复习_2025年高考数学一轮复习《重难点题型与知识梳理•高分突破》(新高考专用)
专题04基本不等式(九大题型+模拟精练)(解析版)_02高考数学_2025年新高考资料_一轮复习_2025年高考数学一轮复习《重难点题型与知识梳理•高分突破》(新高考专用)
专题04基本不等式(九大题型+模拟精练)(解析版)_02高考数学_2025年新高考资料_一轮复习_2025年高考数学一轮复习《重难点题型与知识梳理•高分突破》(新高考专用)
专题04基本不等式(九大题型+模拟精练)(解析版)_02高考数学_2025年新高考资料_一轮复习_2025年高考数学一轮复习《重难点题型与知识梳理•高分突破》(新高考专用)
专题04基本不等式(九大题型+模拟精练)(解析版)_02高考数学_2025年新高考资料_一轮复习_2025年高考数学一轮复习《重难点题型与知识梳理•高分突破》(新高考专用)
专题04基本不等式(九大题型+模拟精练)(解析版)_02高考数学_2025年新高考资料_一轮复习_2025年高考数学一轮复习《重难点题型与知识梳理•高分突破》(新高考专用)
专题04基本不等式(九大题型+模拟精练)(解析版)_02高考数学_2025年新高考资料_一轮复习_2025年高考数学一轮复习《重难点题型与知识梳理•高分突破》(新高考专用)
专题04基本不等式(九大题型+模拟精练)(解析版)_02高考数学_2025年新高考资料_一轮复习_2025年高考数学一轮复习《重难点题型与知识梳理•高分突破》(新高考专用)
专题04基本不等式(九大题型+模拟精练)(解析版)_02高考数学_2025年新高考资料_一轮复习_2025年高考数学一轮复习《重难点题型与知识梳理•高分突破》(新高考专用)
专题04基本不等式(九大题型+模拟精练)(解析版)_02高考数学_2025年新高考资料_一轮复习_2025年高考数学一轮复习《重难点题型与知识梳理•高分突破》(新高考专用)
专题04基本不等式(九大题型+模拟精练)(解析版)_02高考数学_2025年新高考资料_一轮复习_2025年高考数学一轮复习《重难点题型与知识梳理•高分突破》(新高考专用)
专题04基本不等式(九大题型+模拟精练)(解析版)_02高考数学_2025年新高考资料_一轮复习_2025年高考数学一轮复习《重难点题型与知识梳理•高分突破》(新高考专用)
专题04基本不等式(九大题型+模拟精练)(解析版)_02高考数学_2025年新高考资料_一轮复习_2025年高考数学一轮复习《重难点题型与知识梳理•高分突破》(新高考专用)
专题04基本不等式(九大题型+模拟精练)(解析版)_02高考数学_2025年新高考资料_一轮复习_2025年高考数学一轮复习《重难点题型与知识梳理•高分突破》(新高考专用)
专题04基本不等式(九大题型+模拟精练)(解析版)_02高考数学_2025年新高考资料_一轮复习_2025年高考数学一轮复习《重难点题型与知识梳理•高分突破》(新高考专用)
专题04基本不等式(九大题型+模拟精练)(解析版)_02高考数学_2025年新高考资料_一轮复习_2025年高考数学一轮复习《重难点题型与知识梳理•高分突破》(新高考专用)
专题04基本不等式(九大题型+模拟精练)(解析版)_02高考数学_2025年新高考资料_一轮复习_2025年高考数学一轮复习《重难点题型与知识梳理•高分突破》(新高考专用)
专题04基本不等式(九大题型+模拟精练)(解析版)_02高考数学_2025年新高考资料_一轮复习_2025年高考数学一轮复习《重难点题型与知识梳理•高分突破》(新高考专用)
专题04基本不等式(九大题型+模拟精练)(解析版)_02高考数学_2025年新高考资料_一轮复习_2025年高考数学一轮复习《重难点题型与知识梳理•高分突破》(新高考专用)
专题04基本不等式(九大题型+模拟精练)(解析版)_02高考数学_2025年新高考资料_一轮复习_2025年高考数学一轮复习《重难点题型与知识梳理•高分突破》(新高考专用)
专题04基本不等式(九大题型+模拟精练)(解析版)_02高考数学_2025年新高考资料_一轮复习_2025年高考数学一轮复习《重难点题型与知识梳理•高分突破》(新高考专用)
专题04基本不等式(九大题型+模拟精练)(解析版)_02高考数学_2025年新高考资料_一轮复习_2025年高考数学一轮复习《重难点题型与知识梳理•高分突破》(新高考专用)
专题04基本不等式(九大题型+模拟精练)(解析版)_02高考数学_2025年新高考资料_一轮复习_2025年高考数学一轮复习《重难点题型与知识梳理•高分突破》(新高考专用)
专题04基本不等式(九大题型+模拟精练)(解析版)_02高考数学_2025年新高考资料_一轮复习_2025年高考数学一轮复习《重难点题型与知识梳理•高分突破》(新高考专用)
专题04基本不等式(九大题型+模拟精练)(解析版)_02高考数学_2025年新高考资料_一轮复习_2025年高考数学一轮复习《重难点题型与知识梳理•高分突破》(新高考专用)
专题04基本不等式(九大题型+模拟精练)(解析版)_02高考数学_2025年新高考资料_一轮复习_2025年高考数学一轮复习《重难点题型与知识梳理•高分突破》(新高考专用)
专题04基本不等式(九大题型+模拟精练)(解析版)_02高考数学_2025年新高考资料_一轮复习_2025年高考数学一轮复习《重难点题型与知识梳理•高分突破》(新高考专用)
专题04基本不等式(九大题型+模拟精练)(解析版)_02高考数学_2025年新高考资料_一轮复习_2025年高考数学一轮复习《重难点题型与知识梳理•高分突破》(新高考专用)
专题04基本不等式(九大题型+模拟精练)(解析版)_02高考数学_2025年新高考资料_一轮复习_2025年高考数学一轮复习《重难点题型与知识梳理•高分突破》(新高考专用)
专题04基本不等式(九大题型+模拟精练)(解析版)_02高考数学_2025年新高考资料_一轮复习_2025年高考数学一轮复习《重难点题型与知识梳理•高分突破》(新高考专用)
专题04基本不等式(九大题型+模拟精练)(解析版)_02高考数学_2025年新高考资料_一轮复习_2025年高考数学一轮复习《重难点题型与知识梳理•高分突破》(新高考专用)
专题04基本不等式(九大题型+模拟精练)(解析版)_02高考数学_2025年新高考资料_一轮复习_2025年高考数学一轮复习《重难点题型与知识梳理•高分突破》(新高考专用)
专题04基本不等式(九大题型+模拟精练)(解析版)_02高考数学_2025年新高考资料_一轮复习_2025年高考数学一轮复习《重难点题型与知识梳理•高分突破》(新高考专用)
专题04基本不等式(九大题型+模拟精练)(解析版)_02高考数学_2025年新高考资料_一轮复习_2025年高考数学一轮复习《重难点题型与知识梳理•高分突破》(新高考专用)
专题04基本不等式(九大题型+模拟精练)(解析版)_02高考数学_2025年新高考资料_一轮复习_2025年高考数学一轮复习《重难点题型与知识梳理•高分突破》(新高考专用)
专题04基本不等式(九大题型+模拟精练)(解析版)_02高考数学_2025年新高考资料_一轮复习_2025年高考数学一轮复习《重难点题型与知识梳理•高分突破》(新高考专用)

文档信息

文档格式
docx
文档大小
2.197 MB
文档页数
48 页
上传时间
2026-04-07 23:40:32

文档内容

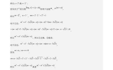
专题 04 基本不等式(九大题型+模拟精练) 目录: 01 基本不等式的内容辨析 02 利用基本不等式比较大小 03 利用基本不等式求最值 04 条件等式求最值 05 基本不等式“1”的妙用 06 对勾函数、类对勾函数求最值 07 基本不等式在其他模块的应用 08 高考新考法—以生活情境、传统文化等为背景考查基本不等式 09 高考新考法—新定义基本不等式压轴题 01 基本不等式的内容辨析 1.(21-22高一下·广东深圳·期末)下列不等式恒成立的是( ) A. B. C. D. 【答案】D 【分析】利用特殊值判断A、C,利用重要不等式判断B,作差可判断D; 【解析】解:对于A:若 、 时 ,故A错误; 对于B:因为 ,所以 ,所以 ,即 ,当且仅当 时 取等号,故B错误; 对于C:若 、 时, ,故C错误; 对于D:因为 ,所以 ,即 ,当且仅当 时取等号,故D正确; 故选:D 2.(2022高一·全国·专题练习)已知 为实数,且 ,则下列命题错误的是( )A.若 ,则 B.若 ,则 C.若 ,则 D.若 ,则 【答案】C 【分析】对于A,利用基本不等式判断,对于B,由已知结合完全平方式判断,对于C,举例判断,对于 D,利用基本不等式判断 【解析】对于A,由基本不等式可知当 时, ,当且仅当 时取等号,所以A正 确, 对于B,因为 , ,所以 ,且 ,所以 ,当且仅当 时取等号,所以B正确, 对于C,若 ,则 ,所以C错误, 对于D,因为 , ,所以 ,且 ,所以 , ,所以 且 ,所以D 正确, 故选:C 3.(22-23高一上·江苏常州·阶段练习)下列说法,其中一定正确的是( ) A. B. C. D. 的最小值为 【答案】B 【分析】利用重要不等式判断A、B、利用特殊值判断C,利用对勾函数的性质判断D. 【解析】对于A:因为 ,所以 ,当且仅当 时取等号,故A错误; 对于B:因为 ,所以 ,所以 ,即 ,当且仅当 时取等号,故B正确; 对于C:当 时,满足 ,但是 ,故C错误; 对于D:令 ,因为 在 上单调递增, 所以 ,当且仅当 ,即 时取等号, 即 的最小值为 ,故D错误; 故选:B 02 利用基本不等式比较大小 4.(2023·河南开封·三模)已知 , ,且 , ,则下列不等式成立的是( ) A. B. C. D. 【答案】A 【分析】使用基本不等式求解,注意等号成立条件. 【解析】 , ∵ ,∴等号不成立,故 ; , ∵ ,∴等号不成立,故 , 综上, . 故选:A. 5.(21-22高三上·河南·阶段练习)已知关于 的方程 有两个实根 , ,则下列 不等式中正确的有 .(填写所有正确结论的序号)① ; ② ③ ; ④ . 【答案】① 【分析】解方程 得到 , , ,再利用作差法和基本不等式得解. 【解析】因为 ,所以 或 , 所以 或 , 因为关于 的方程 有两个实根 , , 所以 , , 对于①②, , 所以 ,所以①正确,②错误. 对于③④, , 因为 . , 所以 或者 . 所以③④错误. 故答案为:① 03 利用基本不等式求最值 6.(23-24高一上·重庆·期末)函数 的最小值是( ) A.4 B.5 C. D. 【答案】D【分析】利用基本不等式即可得解. 【解析】因为 , 所以 , 当且仅当 ,即 时,等号成立. 则 的最小值是 . 故选:D. 7.(23-24高一上·北京·阶段练习)已知 ,则 的最小值为( ) A.2 B.3 C.4 D.5 【答案】B 【分析】用基本不等式求解即可. 【解析】因为 , 所以 ,当且仅当 即 时取等号; 故选:B 8.(23-24高三上·陕西西安·阶段练习)函数 的最小值为( ) A.2 B.5 C.6 D.7 【答案】D 【分析】由基本不等式即可求解. 【解析】由 可得 ,所以 , 当且仅当 ,即 时等号成立, 故选:D 04 条件等式求最值 9.(23-24高三上·湖北武汉·期末)已知正数 , 满足 ,则( )A. B. C. D. 【答案】C 【分析】根据基本不等式直接计算即可. 【解析】由题意得, ,则 , ,即 , 当且仅当 ,即 时等号成立. 故选:C 10.(23-24高三上·江苏连云港·阶段练习)若 , ,且 ,则 的最小值为( ) A. B. C.6 D. 【答案】A 【分析】利用基本不等式“1”的妙用求出最小值. 【解析】 , ,由 得 , 故 , 当且仅当 ,即 时,等号成立, 故 的最小值为 . 故选:A 05 基本不等式“1”的妙用 11.(2024·黑龙江哈尔滨·二模)已知正实数x,y满足 ,则 的最小值为( ) A.8 B.9 C.10 D.11 【答案】B 【分析】利用基本不等式计算即可. 【解析】易知 ,则, 当且仅当 ,即 时取得等号. 故选:B 12.(23-24高三下·江苏扬州·开学考试)已知实数 , ,满足 ,则 的最小值为 ( ) A. B. C. D. 【答案】B 【分析】根据给定条件,利用基本不等式“1”的妙用求解即得. 【解析】实数 , ,由 ,得 , 因此 , 当且仅当 ,即 时取等号, 所以 的最小值为 . 故选:B 06 对勾函数、类对勾函数求最值 13.(2023高三·全国·专题练习)函数y=x+ (x≥2)取得最小值时的x值为 . 【答案】2 【分析】令x+1=t(t≥3),则有 =t+ -1在[3,+∞)上单调递增,当t=3时,即可求解. 【解析】依题意, y=x+ =x+1+ -1(x≥2), 设x+1=t(t≥3).因为f(t)=t+ -1在[3,+∞)上单调递增, 所以当t=3,即x=2时,y=x+ (x≥2)取得最小值.故答案为:2. 14.(2023高三·全国·专题练习)函数f(x)= +1的最小值为 . 【答案】 +1 【分析】先对函数进行化简,然后利用对勾函数的单调性可求出 有最小值. 【解析】f(x)= +1= +1= + +1, 令 ,t∈[ ,+∞), 则函数f(x)可转化为g(t)=t+ +1,t∈[ ,+∞).令u(t)=t+ (t≥ ), 则由u(t)在[ ,+∞)上单调递增可知,u(t)≥ + = , 则g(t)≥ , 所以函数f(x)的最小值为 ; 故答案为: . 15.(22-23高三上·江苏南通·期中)已知正实数x,y满足 ,函数 的最小 值为 ,则实数 取值的集合为 . 【答案】 【分析】根据基本不等式求得 的最大值,结合对勾函数单调性,即可求得结果.【解析】 ,∴ , , 令 , , 当 时, ,与已知矛盾; 当 时, 在 单调递减, ∴ , 解得 或 (舍去), ∴ 的取值集合 . 故答案为: . 07 基本不等式在其他模块的应用 16.(23-24高三下·北京顺义·阶段练习)若数列 为等比数列,则“ ”是“ ”的( ) A.充分不必要条件 B.必要不充分条件 C.充分必要条件 D.既不充分也不必要条件 【答案】A 【分析】 设出公比 ,先由 得到 ,利用基本不等式可得 ,得到“ ” 是“ ”的充分条件,再通过举反例 说明“ ”不是“ ”的必要条件, 故得结论. 【解析】因数列 为等比数列,不妨设公比为 ,则 ,由 可得 ,故 ,而 ,由 知 ,当且仅当 时取等号,而 ,故 , 此时 ,故“ ”是“ ”的充分条件; 由 可得 ,则 ,而 , 故不一定能得到 . 如 时,满足 ,但是 , 故“ ”不是“ ”的必要条件. 即“ ”是“ ”的充分不必要条件. 故选:A. 17.(22-23高三上·宁夏石嘴山·阶段练习)下列结论正确的是( ) A.当 且 时, B.当 时, 的最小值为4 C.当 时, D.当 时, 【答案】C 【分析】对AD,举反例判断即可;对B,根据基本不等式成立的条件判断即可;对C,根据基本不等式判 断即可. 【解析】对A,当 时, ,故A错误; 对B,当 时, ,当且仅当 ,即 时取等号,但当时, ,故B错误; 对C,当 时, ,当且仅当 ,即 时取等号,故C正确; 对D,当 时 ,故D错误. 故选:C 18.(2024·广东湛江·一模)已知 , ,则 的最小值为( ) A. B. C. D. 【答案】A 【分析】利用不等式 ,将等式 左边转化为因式 表示,求解即可. 【解析】因为 ,得: (当且仅当 时成立), 即得: , 则 , 得: , 所以 的最小值为 , 故选:A. 19.(23-24高三下·广东广州·阶段练习)已知正实数 满足 ,则 的取值范围是( ) A. B. C. D. 【答案】C 【分析】先证明 ,然后证明对 总存在相应的 使得 ,即可说明的取值范围是 . 【解析】一方面有 ,及 . 另一方面,对 ,存在 满足 , , . 所以 的取值范围是 . 故选:C. 20.(23-24高一上·山西太原·阶段练习)中国南宋大数学家秦九韶提出了“三斜求积术”,即已知三角形 三边长求三角形面积的公式:设三角形的三条边长分别为a,b,c,则三角形的面积S可由公式 求得,其中p为三角形周长的一半,这个公式也被称为海伦—秦九韶公式,现 有一个三角形的边长满足 , ,则此三角形面积的最大值为( ) A. B.8 C. D. 【答案】A 【分析】 , .可得 .代入 ,利用基本不等式的性质即 可得出. 【解析】 , . . , 当且仅当 时取等号.,即三角形面积的最大值为 . 故选:A. 21.(2023·浙江杭州·二模)已知 , ,且 ,则ab的最小值为( ) A.4 B.8 C.16 D.32 【答案】C 【分析】运用对数运算及换底公式可得 ,运用基本不等式可求得 的最小值. 【解析】∵ , ∴ ,即: ∴ , ∵ , , ∴ , , ∴ ,当且仅当 即 时取等号, 即: ,当且仅当 时取等号, 故 的最小值为16. 故选:C. 22.(2023·江苏常州·一模)设 为复数, 为虚数单位,关于 的方程 有实数根,则复数 的 模 的范围是( ) A. B. C. D. 【答案】B 【分析】设 是方程的实数根,易知 ,则 ,根据复数的几何意义可得 ,结 合基本不等式计算即可求解.【解析】由题意知,设 是方程 的实数根, 则 ,若 ,则 ,等式不成立, 所以 ,有 , 所以 , 当且仅当 即 时等号成立. 所以 的取值范围为 . 故选:B. 23.(2024·河北沧州·模拟预测)已知抛物线 的焦点为F,直线l交抛物线T于A,B两 点,M为线段 的中点,过点M作抛物线T的准线的垂线,垂足为N,若 ,则 的最大值 为( ) A.1 B. C. D. 【答案】B 【分析】设 , ,如图,根据抛物线的定义和梯形的中位线的性质可得 ,结合 基本不等式的应用即可求解. 【解析】设 , ,因为 ,所以 , 所以 ,过点A,B分别作 , 垂直准线于点G,W,由抛物线的定义可知 , , 由梯形的中位线可知 . 因为 ,所以 , 当且仅当 时,等号成立,所以 所以 ,故 的最大值为 . 故选:B 24.(20-21高三·北京·强基计划)在 中,角A,B,C的对边长分别为a,b,c,且 ,则 的周长为( ) A.17 B.18 C.19 D.前三个选项都不对 【答案】C 【分析】利用基本不等式可得 ,从而可求三角形的周长. 【解析】注意到 , 结合均值不等式,可得 且 ,因此 的周长为 . 故选:C. 25.(2024·河南·三模)在 中,角 的对边分别为 ,若 ,则 的最小值 为 . 【答案】【分析】 是 的边长,所以它们是正数,利用乘“1”法结合基本不等式即可求解. 【解析】因为 , 所以 , 当且仅当 ,即 时等号成立,故 的最小值为 . 故答案为: . 26.(2023·上海静安·二模)已知函数 为偶函数,则函数 的值域为 . 【答案】 【分析】利用偶函数的定义求出 ,则 ,设 ,利用基本不等式,即可求 出结果. 【解析】 函数 ( )是偶函数, , ,易得 , 设 , 则 , 当且仅当 即 时,等号成立, 所以 ,所以函数 的值域为 . 故答案为: . 27.(22-23高三上·云南曲靖·阶段练习)已知 ,直线 与 互相垂直,则 的最小值为 . 【答案】 【分析】根据 ,由两直线垂直的充要条件,可得 ,所以 ,再利用基本不等式的性 质即可得出. 【解析】根据 ,直线 与直线 互相垂直, , 所以 , 所以 ,当且仅当 时取等号. 则ab的最小值等于 , 故答案为: . 28.(2024·湖南·二模)若锐角 满足 ,则 的最小值为( ) A. B. C. D. 【答案】D 【分析】利用两角和的余弦公式得 ,再由基本不等式求得 的最小值. 【解析】 . 于是 ,当且仅当 时取等号,则 的最小值为 . 故选:D. 29.(2023·河南开封·模拟预测)在三棱锥 中,PA⊥平面ABC, , 当三棱锥的体积最大时,三棱锥 外接球的体积为 . 【答案】 【分析】根据棱锥体积公式及基本不等式可得 体积最大,然后利用长方体的性质及球的体积 公式即得. 【解析】由题可知三棱锥 的体积为: ,当且仅当 时等号成立, 此时, ,将三棱锥 补成长方体 , 则三棱锥 外接球的直径为 ,则 , 因此,三棱锥 外接球的体积为 . 故答案为: . 30.(20-21高三下·浙江·阶段练习)已知抛物线 的焦点为 ,若点 , 是该抛物线上的点, , ,线段 的中点 在抛物线的准线上的射影为 ,则 的最大值为 . 【答案】【分析】设 , 由勾股定理可得 ,根据抛物线的性质可得 ,再利 用基本不等式可得 ,即可求出 的最大值; 【解析】解:如图所示,设 , ,则 , 而根据抛物线的性质可得 结合平方平均值与算术平均值的关系式 当且仅当 时取等号, 因此 ,,所以 ,即 的最大值为 故答案为: 【点睛】在应用基本不等式求最值时,要把握不等式成立的三个条件,就是“一正——各项均为正;二定 ——积或和为定值;三相等——等号能否取得”,若忽略了某个条件,就会出现错误. 08 高考新考法—以生活情境、传统文化等为背景考查基本不等式 31.(2024·广东韶关·二模)在工程中估算平整一块矩形场地的工程量W(单位:平方米)的计算公式是,在不测量长和宽的情况下,若只知道这块矩形场地的面积是10000平方米,每平方 米收费1元,请估算平整完这块场地所需的最少费用(单位:元)是( ) A.10000 B.10480 C.10816 D.10818 【答案】C 【分析】设矩形场地的长为 米,则 ,结合基本不等式计算即可求解. 【解析】设矩形场地的长为 米,则宽为 米, , 当且仅当 ,即 时,等号成立. 所以平整这块场地所需的最少费用为 元. 故选:C 32.(2024·黑龙江哈尔滨·一模)已知某商品近期价格起伏较大,假设第一周和第二周的该商品的单价分 别为m元和n元 ,甲、乙两人购买该商品的方式不同,甲每周购买100元的该商品,乙每周购买20 件该商品,若甲、乙两次购买平均单价分别为 ,则( ) A. B. C. D. 的大小无法确定 【答案】B 【分析】由题意求出 的表达式,利用基本不等式,比较大小,即得答案. 【解析】由题意得 , , 因为 ,故 , , 即 , 故选:B33.(2024·广东湛江·二模)当 , 时, .这个基本不等式可以推广为当x, 时, ,其中 且 , .考虑取等号的条件,进而可得当 时, . 用这个式子估计 可以这样操作: ,则 .用这样的方法,可得 的近似值为( ) A.3.033 B.3.035 C.3.037 D.3.039 【答案】C 【分析】根据给定的信息,求出 的近似值,进而求出 的近似值. 【解析】依题意, ,则 . 故选:C 34.(22-23高三上·安徽合肥·期中)《几何原本》卷2的几何代数法(以几何方法研究代数问题)成了后 世西方数学家处理问题的重要依据,通过这一原理,很多的代数的公理或定理都能够通过图形实现证明, 也称之为无字证明.现有如图所示图形,点 在半圆 上,点 在直径 上,且 ,设 , ,则该图形可以完成的无字证明为( ) A. B. C. D. 【答案】D 【分析】利用数形结合计算出 ,再在 中,利用勾股定理得 ,再由 ,可得结论. 【解析】设 ,可得圆 的半径为 ,又由 , 在 中,可得 , 因为 ,所以 ,当且仅当 时取等号. 故选:D. 35.(2023·安徽池州·模拟预测) 年米勒向诺德尔教授提出的有趣问题:在地球表面的什么部位,一 根垂直的悬杆看上去最长 即可见角最大 后人将其称为“米勒问题”,是载入数学史上的第一个极值问 题 我们把地球表面抽象为平面 ,悬杆抽象为线段 或直线 上两点 , ,则上述问题可以转化为如 下的数学模型:如图 ,一条直线 垂直于一个平面 ,直线 有两点 , 位于平面 的同侧,求平面上 一点 ,使得 最大 建立如图 所示的平面直角坐标系 设 , 两点的坐标分别为 , ,设点 的坐标为 ,当 最大时, ( ) A. B. C. D. 【答案】D 【分析】根据题意可得 ,然后由正切的和差角公式和基本不等式即可得到结果. 【解析】由题意可知 是锐角,且 , 而 , 所以 ,而 ,当且仅当 ,即 时取等号, 因为 是锐角, 所以当 时, 最大,此时 最大. 故选: 09 高考新考法—新定义基本不等式压轴题 36.(23-24高二下·广东江门·阶段练习)青岛胶东国际机场的显著特点之一是弯曲曲线的运用,衡量曲线 弯曲程度的重要指标是曲率.考察图所示的光滑曲线 上的曲线段 ,其弧长为 ,当动点从 A沿曲线段 运动到B点时,A点的切线 也随着转动到B点的切线 ,记这两条切线之间的夹角为 (它等于 的倾斜角与 的倾斜角之差).显然,当弧长固定时,夹角越大,曲线的弯曲程度就越大;当 夹角固定时,弧长越小则弯曲程度越大,因此可以定义 为曲线段 的平均曲率;显然当B越接 近A,即 越小,K就越能精确刻画曲线C在点A处的弯曲程度,因此定义曲线 在点 处 的曲率计算公式为 ,其中 . (1)求单位圆上圆心角为 的圆弧的平均曲率; (2)已知函数 ,求曲线 的曲率的最大值;(3)已知函数 ,若 曲率为0时x的最小值 分别为 ,求证: . 【答案】(1)1 (2) (3)证明见解析; 【分析】(1)根据平均曲率 的定义,代入计算可得结果; (2)对函数 求导,代入曲率计算公式并化简变形利用基本不等式可求得曲线 的曲率的最 大值为 ; (3)根据 曲率为0可求得 ,利用导数判断出函数 的单调性,可知 的两解分别为 ,且 ,令 可得 ,对 整理变形并构造 函数 可得出证明. 【解析】(1)易知单位圆上圆心角为 的圆弧 , 根据定义可得平均曲率 (2)由 可得 , 又 可得 ;所以 , 易知 ,当且仅当 时,即 时等号成立; 所以 , 即曲线 的曲率的最大值为 . (3)由 可得 , 记 ,则 ; 同理由 可得 , 记 ,则 , 若 曲率为0时,即 ,可得 , 化简可得 ; 令 ,则 ,由 可得 , 则当 时, ,此时 单调递增,且 ; 当 时, ,此时 单调递减,且 ; 则 的图象如下图所示:又 ,结合 的图象可得 有两解, 设这两解分别为 ,且 , 又 , 因为 最小,因此 , 由 ,可设 , 故 , 化简可得 ,则 , 要证 ,即证 , 即 ,也即 , 即证 , 令 ,则 , 所以 在在区间 上单调递增, 故 ,故 . 【点睛】关键点点睛:本题关键在于证明不等式 时,利用双变量消元技巧找出 的关系式,再 通过构造函数并利用导函数判断出其单调性,并求得其最值即可证明得出结论.一、单选题 1.(2024·甘肃定西·一模) 的最小值为( ) A. B. C. D. 【答案】B 【分析】利用基本不等式即可得解. 【解析】由题意知 ,所以 , 所以 . 当且仅当 ,即 时,等号成立. 故选:B. 2.(2024·全国·模拟预测)已知 ,则下列不等式中不成立的是( ) A. B. C. D. 【答案】C 【分析】对于AB,利用对数函数的性质即可判断;对于CD,利用对数的运算得到 ,结合基本不等 式即可判断. 【解析】因为 ,所以 , 对于A,易得 ,所以 ,故A成立. 对于B,因为 ,所以 ,故B成立. 对于C, , 当且仅当 时,等号成立,显然等号不成立,所以 ,故C不成立. 对于D,因为 且 , 所以 ,故D成立. 故选:C. 3.(2024·全国·模拟预测)已知等比数列 满足 ,则 有( ) A.最小值 B.最大值18 C.最小值27 D.最大值 【答案】C 【分析】由数列 是等比数列,可得 ,即 ,方法一: ,则 利用基本不等式计算即可,方法二: 利用基本不等式计算即可. 【解析】方法一:因为数列 是等比数列,所以 ,所以 ,所以 ,所 以 , 当且仅当 ,即 时取等号. 方法二 因为数列 是等比数列,所以 ,所以 ,所以 , 当且仅当 时取等号. 故选:C. 4.(2024·陕西西安·模拟预测)下列说法错误的是( )A.若正实数 满足 ,则 有最小值4 B.若正实数 满足 ,则 C. 的最小值为 D.若 ,则 【答案】D 【分析】对于A,利用 即可证明 ,再给出取等的情况即可得到A正确;对于 B,利用 即可证明 ,得到B正确;对于C,利用换元法与对勾函数单调性 判断;对于D,验证当 , 时不等式不成立,得到D错误. 【解析】对于A,若正实数 满足 ,则 , 而当 时,有 , ,从而 的最小值是 ,故A正确; 对于B,若正实数 满足 ,则 ,故B正确; 对于C,设 ,则 ,由对勾函数单调性得最小值是 ,故C 正确; 对于D,当 , 时,有 ,但 ,故D错误. 故选:D. 5.(2024·浙江嘉兴·二模)若正数 满足 ,则 的最小值是( ) A. B. C. D.2 【答案】A【分析】根据题意可得 ,利用基本不等式求解. 【解析】由 可得 , , 当且仅当 ,即 时,等号成立,此时 符合题意. 所以 的最小值为 . 故选:A. 6.(2024·黑龙江·二模)“不以规矩,不能成方圆”出自《孟子·离娄章句上》.“规”指圆规,“矩”指由 相互垂直的长短两条直尺构成的方尺,是古人用来测量、画圆和方形图案的工具,今有一块圆形木板,按 图中数据,以“矩”量之,若将这块圆形木板截成一块四边形形状的木板,且这块四边形木板的一个内角 满足 ,则这块四边形木板周长的最大值为( ) A. B. C. D. 【答案】A 【分析】利用余弦定理结合基本不等式可求周长的最大值. 【解析】因为四边形木板的一个内角 满足 ,如图,设 ,由题设可得圆的直径为 , 故 ,因 , 为三角形内角,故 , 故 , 故 , 故 , 故 ,当且仅当 时等号成立, 同理 ,当且仅当 等号成立, 故四边形周长的最大值为 , 故选:A. 7.(2024·全国·模拟预测)如图所示,在 中, 为线段 的中点, 为线段 上一点, ,过点 的直线分别交直线 , 于 , 两点.设 , , 则 的最小值为( )A. B. C.3 D.6 【答案】B 【分析】由中点和三等分点得到 ,结合 , ,得到 , 由三点共线得到 ,利用均值不等式中“1的代换”求得 的最小值. 【解析】因为 为线段 的中点,所以 ,又因为 ,所以 , 又 , ,则 , 而 , , 三点共线,所以 ,即 , 则 , 当且仅当 ,即 , 时取等号. 故选:B. 8.(2024·天津·二模)已知抛物线 的焦点为 ,抛物线上的点 到 的距离为6,双曲线 的左焦点 在抛物线的准线上,过点 向双曲线的渐近线作垂线,垂足为 ,则 与双曲线两个焦点构成的三角形面积的最大值为( ). A.2 B. C. D.3 【答案】A 【分析】利用抛物线的定义及焦半径公式先求 ,再由双曲线的性质,基本不等式计算即可. 【解析】设双曲线右焦点 ,易知 , , 即 ,而双曲线的一条渐近线为 , 易知 , 所以 , 由双曲线的性质可知 , 由基本不等式可知 ,当且仅当 时取得等号. 故选:A 二、多选题 9.(2024·河南信阳·一模)已知正数 满足 ,则( ) A. B. C. D. 【答案】AD 【分析】选项A,将等式 应用基本不等式求解即可;选项B、C,检验特殊情况 时的结 果即可判断;选项D,原不等式等价于 ,应用基本不等式可得 .【解析】对于选项A, ,则 , 当且仅当 时等号成立,故A正确; 对于选项B,应用重要不等式得: ( 时取得等号), 接选项A中 ,当 时取得等号, (当 时能取得等号), 即 的最小值为 ,与 矛盾,故B错误; 对于选项C,因为 ,则 , 其中 ,当 取得等号, 则 ,即 的最小值为 , 且 ,故C错误; 对于选项D, , 且 ,得: , 而 ,当且仅当 时等号成立, 即 ,故D正确; 故选:AD. 10.(2024·全国·模拟预测)若实数a,b满足 ,则下列结论正确的是( )A. B. C. D. 【答案】AD 【分析】根据不等式 ,结合已知等式 变形可判断A,C,D;由 可得 ,结合实数的性质即可判断B. 【解析】因为 ,当且仅当 时等号成立,所以 ,A正确; 因为 ,所以 ,所以 ,B错误; 因为 ,当且仅当 时等号成立,所以 ,C错误; 由 整理,得 ,当且仅当 时等号成立, 所以 ,D正确. 故选:AD. 11.(2024·浙江·二模)已知正实数 , , ,且 , , , 为自然数,则满足 恒成立的 , , 可以是( ) A. , , B. , , C. , , D. , , 【答案】BC 【分析】利用基本不等式“1”的妙用得到 ,进而得到只需 即可,再依次判断四个选项即可. 【解析】要满足 ,只需满足 , 其中正实数 , , ,且 , , , 为正数, , 当且仅当 ,即 时,等号成立, 观察各选项,故只需 ,故只需 即可, A选项, , , 时, ,A错误; B选项, , , 时, ,B正确; C选项, , , 时, ,C正确; D选项, , , 时, ,D错误. 故选:BC. 三、填空题 12.(2024·陕西咸阳·二模)已知总体的各个个体的值由小到大依次为2,4,4,6,a,b,12,14,18, 20,且总体的平均值为10.则 的最小值为 .【答案】 / 【分析】根据平均数的概念可求 的值,再利用不等式可求 的最小值. 【解析】因为各个个体的值是有小到大排列的,所以 , 又总体平均值为 ,所以 . 所以 (当且仅当 时取“ ”). 故答案为: 13.(2024·内蒙古赤峰·模拟预测)《孙子算经》中提到“物不知数”问题.如:被3除余2的正整数按照 从小到大的顺序排成一列,即 ,构成数列 ,记数列 的前 项和为 ,则 的 最小值为 . 【答案】19 【分析】根据题意,由等差数列的前 项和公式,即可得到 ,再由基本不等式即可得到结果. 【解析】由题意可知,数列 是以 为首项, 为公差的等差数列, 则 , 所以 , 当且仅当 时,即 时,等号成立, 所以 的最小值为 . 故答案为: 14.(2024·江西上饶·一模)若函数 在区间 上单调递增,则 的取值范围为 .【答案】 【分析】函数 在区间 上单调递增,转化为 在 上恒成立,即 恒成立,利用基本不等式求最值可得答案. 【解析】因为 , 所以 , 因为函数 在区间 上单调递增, 所以 在 上恒成立, 即 时, 恒成立, 因为 ,当且仅当 时等号成立, 即 ,所以 , 故答案为: . 四、解答题 15.(2024·全国·模拟预测)记 的内角 所对边分别为 ,已知 . (1)证明: ; (2)求 的最小值. 【答案】(1)证明见解析 (2) . 【分析】(1)将已知条件利用两角和差公式与正弦定理即可计算出结果;(2)利用第一问的结果代入 的余弦定理表达式,再利用基本不等式即可得到结果. 【解析】(1)已知 , 由正弦定理得: , 整理得: , ……① 因为 ……② ②代入①有: , 再由正弦定理得 . (2)由余弦定理得: , 当且仅当 时,等号成立,所以 的最小值为 . 16.(2023·全国·模拟预测)在 中,角 所对的边分别为 ,已知 . (1)求 ; (2)若 外接圆的半径为 ,求 的面积最大值. 【答案】(1) (2) 【分析】(1)利用正弦定理、三角恒等变换计算即可. (2)利用正余弦定理、三角形面积公式及基本不等式计算即可. 【解析】(1)由已知可得: ,∴ , ∴ , 根据正弦定理可知: , ∴ . 又 . (2)∵ 外接圆的半径为 , ∴ ,解得 . 又由(1)得 , 故 ,∴ ,当且仅当 时等号成立 ∴ , ∴ 的面积最大值为 . 17.(2024·四川·模拟预测)已知椭圆 的左、右焦点分别为 、 ,离心率为 . 点 在直线 上运动,且直线 的斜率与直线 的斜率之商为2. (1)求 的方程; (2)若点A、B在椭圆 上, 为坐标原点,且 ,求 面积的最小值. 【答案】(1) (2) 【分析】 (1)根据题意,由两直线的斜率之商为2以及离心率公式,代入计算,即可求得 从而得道结果; (2)根据题意,分直线 ,直线 其中一条直线斜率不存在与直线 ,直线 的斜率均存在讨论,然后联立方程,由三角形的面积公式结合基本不等式即可得到结果. 【解析】(1) 设 , 所以 ,由直线 的斜率与直线 的斜率之商为2, 可得 ,所以 , 又离心率 ,所以 ,则 , 所以 的标准方程为 . (2) 当直线 ,直线 其中一条直线斜率不存在时,不妨令 , 此时 面积为 ; 当直线 ,直线 的斜率均存在时,不妨设直线 的方程为 , 则直线 的方程为 ,设点 ,联立方程 可得 , 所以 , 联立方程 可得 , 所以 , 所以 , 因为 ,又 , 所以 ,又 , 所以 面积的最小值为 ,当且仅当 ,即 时等号成立. 【点睛】关键点睛:本题主要考查了直线与椭圆相交问题,难度较大,解答本题的关键在于分类讨论以及 结合基本不等式计算. 18.(2024·辽宁·模拟预测)(1)利用双曲线定义证明:方程 表示的曲线是焦点在直线 上的双 曲线,记为曲线 ; (2)设点 在曲线 上, 在曲线 上,且满足 ,求 方程; (3)点 在 上,过点 的直线 与 的渐近线交于 , 两点,且满足 ,求 ( 为 坐标原点)的面积.【答案】(1)证明见详解;(2) ;(3) 【分析】(1)根据设 ,分 和 两种情况,结合两点间距离公 式可得 ,即可得结果; (2)根据题意将 代入曲线 即可; (3)设 ,求 的坐标,结合中点可得 ,代入 方程可得 , 进而可求 的面积. 【解析】(1)设 ,显然 在直线 上, 则 , 同理可得 , 若 ,则 ,当且仅当 ,即 时等号成立, 则 , , 可得 ; 若 ,则 ,当且仅当 ,即 时等号成立, 可得 ,则 , , 可得 ; 综上所述: , 所以方程 表示的曲线是焦点在直线 上的双曲线; (2)因为点 在曲线 上,则 , 又因为 ,可得 , 所以 方程为 ; (3)令 ,可得 ,即曲线 的渐近线为 , 由题意可知:直线 的斜率可能不存在,但不为0,设 , 联立方程 ,解得 ,即 , 同理可得: , 因为 ,可知 为线段 的中点,则 ,即 , 又因为 在曲线 上,则 , 整理得 , 且 ,即 ,可得 , 注意到直线 与x轴的交点坐标为 , 则 的面积 . 【点睛】方法点睛:有关圆锥曲线弦长、面积问题的求解方法 (1)涉及弦长的问题中,应熟练地利用根与系数的关系、设而不求计算弦长;涉及垂直关系时也往往利 用根与系数的关系、设而不求法简化运算;涉及过焦点的弦的问题,可考虑用圆锥曲线的定义求解; (2)面积问题常采用 底 高,其中底往往是弦长,而高用点到直线距离求解即可,选择底很重要, 选择容易坐标化的弦长为底.有时根据所研究三角形的位置,灵活选择其面积表达形式,若求多边形的面 积问题,常转化为三角形的面积后进行求解; (3)在求解有关直线与圆锥曲线的问题时,应注意数形结合、分类与整合、转化与化归及函数与方程思 想的应用. 19.(2024·江苏盐城·模拟预测)根据多元微分求条件极值理论,要求二元函数 在约束条件 的可能极值点,首先构造出一个拉格朗日辅助函数 ,其中 为拉格朗日 系数.分别对 中的 部分求导,并使之为0,得到三个方程组,如下: ,解此方程组,得出解 ,就是二元函数 在约束条件的可能极值点. 的值代入到 中即为极值. 补充说明:【例】求函数 关于变量 的导数.即:将变量 当做常数,即: ,下标加上 ,代表对自变量x进行求导.即拉格朗日乘数法方程组之中的 表示 分别对 进行求导. (1)求函数 关于变量 的导数并求当 处的导数值. (2)利用拉格朗日乘数法求:设实数 满足 ,求 的最大值. (3)①若 为实数,且 ,证明: . ②设 ,求 的最小值. 【答案】(1) , ; (2) ; (3)①证明见解析;②4. 【分析】(1)根据给定条件,对变量 求导并求值. (2)利用拉格朗日乘数法求出极值,再判断并求出最大值. (3)①利用换元法,结合平方数是非负数推理即得;②利用二次函数、均值不等式求出最小值. 【解析】(1)函数 ,对变量 求导得: , 当 时, . (2)令 ,则 ,解得 或 , 于是函数 在约束条件 的可能极值点是 , , 当 时,函数 的一个极值为函数 , 当 时,函数 的一个极值为函数 , 方程 视为关于x的方程: ,则 ,解得 , 视为关于y的方程: ,则 ,解得 , 因此函数 对应的图形是封闭的,而 , 所以 的最大值为 . (3)①由 , ,设 , 则 , 当且仅当 时取等号, 所以 . ②当 时, ,当且仅当 时取等号, 所以 时, 取得最小值4.【点睛】方法点睛:利用基本不等式最值的方法与技巧: ①在运用基本不等式时,要特别注意“拆”、“拼”、“凑”等技巧,使用其满足基本不等式的“一正”、 “二定”、“三相等”的条件; ②利用基本不等式求最值时,要从整体上把握运用基本不等式,有时可乘以一个数或加上一个数,以及 “1”的代换等应用技巧.