当前位置:首页>文档>题型19有机合成与推断(解析版)_05高考化学_2024年新高考资料_2.2024二轮复习_2024年高考化学二轮热点题型归纳与变式演练(新高考通用)

题型19有机合成与推断(解析版)_05高考化学_2024年新高考资料_2.2024二轮复习_2024年高考化学二轮热点题型归纳与变式演练(新高考通用)

  • 2026-05-01 00:50:30 2026-03-30 06:10:09

文档预览

题型19有机合成与推断(解析版)_05高考化学_2024年新高考资料_2.2024二轮复习_2024年高考化学二轮热点题型归纳与变式演练(新高考通用)
题型19有机合成与推断(解析版)_05高考化学_2024年新高考资料_2.2024二轮复习_2024年高考化学二轮热点题型归纳与变式演练(新高考通用)
题型19有机合成与推断(解析版)_05高考化学_2024年新高考资料_2.2024二轮复习_2024年高考化学二轮热点题型归纳与变式演练(新高考通用)
题型19有机合成与推断(解析版)_05高考化学_2024年新高考资料_2.2024二轮复习_2024年高考化学二轮热点题型归纳与变式演练(新高考通用)
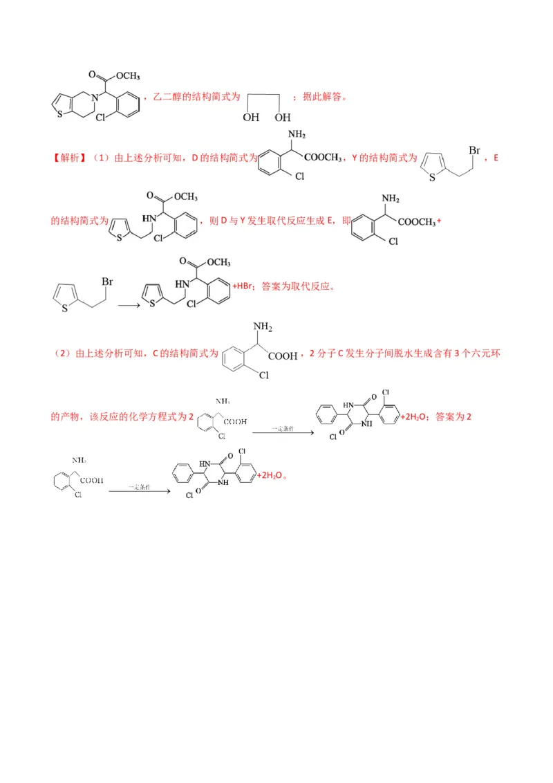
题型19有机合成与推断(解析版)_05高考化学_2024年新高考资料_2.2024二轮复习_2024年高考化学二轮热点题型归纳与变式演练(新高考通用)
题型19有机合成与推断(解析版)_05高考化学_2024年新高考资料_2.2024二轮复习_2024年高考化学二轮热点题型归纳与变式演练(新高考通用)
题型19有机合成与推断(解析版)_05高考化学_2024年新高考资料_2.2024二轮复习_2024年高考化学二轮热点题型归纳与变式演练(新高考通用)
题型19有机合成与推断(解析版)_05高考化学_2024年新高考资料_2.2024二轮复习_2024年高考化学二轮热点题型归纳与变式演练(新高考通用)
题型19有机合成与推断(解析版)_05高考化学_2024年新高考资料_2.2024二轮复习_2024年高考化学二轮热点题型归纳与变式演练(新高考通用)
题型19有机合成与推断(解析版)_05高考化学_2024年新高考资料_2.2024二轮复习_2024年高考化学二轮热点题型归纳与变式演练(新高考通用)
题型19有机合成与推断(解析版)_05高考化学_2024年新高考资料_2.2024二轮复习_2024年高考化学二轮热点题型归纳与变式演练(新高考通用)
题型19有机合成与推断(解析版)_05高考化学_2024年新高考资料_2.2024二轮复习_2024年高考化学二轮热点题型归纳与变式演练(新高考通用)
题型19有机合成与推断(解析版)_05高考化学_2024年新高考资料_2.2024二轮复习_2024年高考化学二轮热点题型归纳与变式演练(新高考通用)
题型19有机合成与推断(解析版)_05高考化学_2024年新高考资料_2.2024二轮复习_2024年高考化学二轮热点题型归纳与变式演练(新高考通用)
题型19有机合成与推断(解析版)_05高考化学_2024年新高考资料_2.2024二轮复习_2024年高考化学二轮热点题型归纳与变式演练(新高考通用)
题型19有机合成与推断(解析版)_05高考化学_2024年新高考资料_2.2024二轮复习_2024年高考化学二轮热点题型归纳与变式演练(新高考通用)
题型19有机合成与推断(解析版)_05高考化学_2024年新高考资料_2.2024二轮复习_2024年高考化学二轮热点题型归纳与变式演练(新高考通用)
题型19有机合成与推断(解析版)_05高考化学_2024年新高考资料_2.2024二轮复习_2024年高考化学二轮热点题型归纳与变式演练(新高考通用)
题型19有机合成与推断(解析版)_05高考化学_2024年新高考资料_2.2024二轮复习_2024年高考化学二轮热点题型归纳与变式演练(新高考通用)
题型19有机合成与推断(解析版)_05高考化学_2024年新高考资料_2.2024二轮复习_2024年高考化学二轮热点题型归纳与变式演练(新高考通用)
题型19有机合成与推断(解析版)_05高考化学_2024年新高考资料_2.2024二轮复习_2024年高考化学二轮热点题型归纳与变式演练(新高考通用)
题型19有机合成与推断(解析版)_05高考化学_2024年新高考资料_2.2024二轮复习_2024年高考化学二轮热点题型归纳与变式演练(新高考通用)
题型19有机合成与推断(解析版)_05高考化学_2024年新高考资料_2.2024二轮复习_2024年高考化学二轮热点题型归纳与变式演练(新高考通用)
题型19有机合成与推断(解析版)_05高考化学_2024年新高考资料_2.2024二轮复习_2024年高考化学二轮热点题型归纳与变式演练(新高考通用)
题型19有机合成与推断(解析版)_05高考化学_2024年新高考资料_2.2024二轮复习_2024年高考化学二轮热点题型归纳与变式演练(新高考通用)
题型19有机合成与推断(解析版)_05高考化学_2024年新高考资料_2.2024二轮复习_2024年高考化学二轮热点题型归纳与变式演练(新高考通用)
题型19有机合成与推断(解析版)_05高考化学_2024年新高考资料_2.2024二轮复习_2024年高考化学二轮热点题型归纳与变式演练(新高考通用)
题型19有机合成与推断(解析版)_05高考化学_2024年新高考资料_2.2024二轮复习_2024年高考化学二轮热点题型归纳与变式演练(新高考通用)
题型19有机合成与推断(解析版)_05高考化学_2024年新高考资料_2.2024二轮复习_2024年高考化学二轮热点题型归纳与变式演练(新高考通用)
题型19有机合成与推断(解析版)_05高考化学_2024年新高考资料_2.2024二轮复习_2024年高考化学二轮热点题型归纳与变式演练(新高考通用)
题型19有机合成与推断(解析版)_05高考化学_2024年新高考资料_2.2024二轮复习_2024年高考化学二轮热点题型归纳与变式演练(新高考通用)
题型19有机合成与推断(解析版)_05高考化学_2024年新高考资料_2.2024二轮复习_2024年高考化学二轮热点题型归纳与变式演练(新高考通用)
题型19有机合成与推断(解析版)_05高考化学_2024年新高考资料_2.2024二轮复习_2024年高考化学二轮热点题型归纳与变式演练(新高考通用)
题型19有机合成与推断(解析版)_05高考化学_2024年新高考资料_2.2024二轮复习_2024年高考化学二轮热点题型归纳与变式演练(新高考通用)
题型19有机合成与推断(解析版)_05高考化学_2024年新高考资料_2.2024二轮复习_2024年高考化学二轮热点题型归纳与变式演练(新高考通用)
题型19有机合成与推断(解析版)_05高考化学_2024年新高考资料_2.2024二轮复习_2024年高考化学二轮热点题型归纳与变式演练(新高考通用)
题型19有机合成与推断(解析版)_05高考化学_2024年新高考资料_2.2024二轮复习_2024年高考化学二轮热点题型归纳与变式演练(新高考通用)
题型19有机合成与推断(解析版)_05高考化学_2024年新高考资料_2.2024二轮复习_2024年高考化学二轮热点题型归纳与变式演练(新高考通用)
题型19有机合成与推断(解析版)_05高考化学_2024年新高考资料_2.2024二轮复习_2024年高考化学二轮热点题型归纳与变式演练(新高考通用)
题型19有机合成与推断(解析版)_05高考化学_2024年新高考资料_2.2024二轮复习_2024年高考化学二轮热点题型归纳与变式演练(新高考通用)
题型19有机合成与推断(解析版)_05高考化学_2024年新高考资料_2.2024二轮复习_2024年高考化学二轮热点题型归纳与变式演练(新高考通用)
题型19有机合成与推断(解析版)_05高考化学_2024年新高考资料_2.2024二轮复习_2024年高考化学二轮热点题型归纳与变式演练(新高考通用)
题型19有机合成与推断(解析版)_05高考化学_2024年新高考资料_2.2024二轮复习_2024年高考化学二轮热点题型归纳与变式演练(新高考通用)
题型19有机合成与推断(解析版)_05高考化学_2024年新高考资料_2.2024二轮复习_2024年高考化学二轮热点题型归纳与变式演练(新高考通用)
题型19有机合成与推断(解析版)_05高考化学_2024年新高考资料_2.2024二轮复习_2024年高考化学二轮热点题型归纳与变式演练(新高考通用)
题型19有机合成与推断(解析版)_05高考化学_2024年新高考资料_2.2024二轮复习_2024年高考化学二轮热点题型归纳与变式演练(新高考通用)
题型19有机合成与推断(解析版)_05高考化学_2024年新高考资料_2.2024二轮复习_2024年高考化学二轮热点题型归纳与变式演练(新高考通用)
题型19有机合成与推断(解析版)_05高考化学_2024年新高考资料_2.2024二轮复习_2024年高考化学二轮热点题型归纳与变式演练(新高考通用)

文档信息

文档格式
docx
文档大小
3.540 MB
文档页数
44 页
上传时间
2026-03-30 06:10:09

文档内容

题型 19 有机合成与推断 目录 .....................................................................................................................................1 【考向一】有机合成——官能团的转变..........................................................................................................1 【考向二】有机合成——碳链的增长与缩短..................................................................................................4 【考向三】有机合成——常见有机物的转化..................................................................................................7 【考向四】有机合成——合成路线设计........................................................................................................11 【考向五】有机推断——根据条件确定官能团及反应................................................................................14 【考向六】有机推断——根据性质确定官能团或物质................................................................................17 【考向七】有机推断——根据特征产物确定碳骨架和官能团的位置.........................................................19 【考向八】有机推断——根据关键数据推断官能团的数目........................................................................22 【考向九】有机推断——根据新信息类推....................................................................................................24 ...................................................................................................................................30 【考向一】有机合成——官能团的转变 【典例1】(2023上·河北·高三石家庄一中实验学校校联考期末)中国科学技术大学的龚流柱教授课题组 首次合成手性烯基衍生物(M),结构如图所示。 已知:1-氯丙烯有顺、反异构体,结构简式分别为 、 。下列有关M的叙述正 确的是A.M中含氧官能团有3种 B.M可被催化氧化生成醛基 C.M分子有顺、反异构体 D.用钠可以证明M中含羟基 【答案】C 【解析】A.M中有羟基和羧基两种含氧官能团,A错误; B.与醇羟基直接相连的C上只有1个H,只能被催化氧化成酮,B错误; C.M中含有碳碳双键,且碳碳双键每侧所连的基团不相同,因此具有顺反异构,C正确; D.M中的羧基也能与钠反应放出气泡,无法证明羟基的存在,D错误; 故选C。 有机合成——官能团的转变 (1)官能团的引入(或转化) 引入的官能团 引入方法 ①烃、酚的取代; 卤素原子 ②不饱和烃与HX、X 的加成; 2 ③醇与氢卤酸(HX)反应 ①烯烃与水加成; ②醛、酮与氢气加成; 羟基 ③卤代烃在碱性条件下水解; ④酯的水解; ⑤葡萄糖发酵产生乙醇 ①某些醇或卤代烃的消去; 碳碳双键 ②炔烃不完全加成; ③烷烃裂化 ①醇的催化氧化; 碳氧双键 ②连在同一个碳原子上的两个羟基脱水; ③含碳碳三键的物质与水加成 ①醛基氧化; 羧基 ②酯、肽、蛋白质的水解 (2)官能团的消除 ①消除双键或三键:加成反应。 ②消除羟基:消去、氧化、酯化反应。 ③消除醛基:加成或还原和氧化反应。 ④消除酯基、肽键、卤素原子:水解反应。 (3)官能团的保护 被保护的官能团 被保护的官能团的性质 保护方法 酚羟基 易被氧气、臭氧、双氧水、 ①用NaOH溶液先转化为酚钠,后酸化重新转化为酚: 酸性高锰酸钾溶液氧化 ②用碘甲烷先转化为苯甲醚,后用氢碘 酸酸化重新转化为酚: 易被氧气、臭氧、双氧水、 先用盐酸转化为盐,后用NaOH溶液重 氨基 酸性高锰酸钾溶液氧化 新转化为氨基 易与卤素单质加成,易被氧 用氯化氢先通过加成反应转化为氯代 碳碳双键 气、臭氧、双氧水、酸性高 物,待氧化后再用NaOH醇溶液通过消 锰酸钾溶液氧化 去反应重新转化为碳碳双键 乙醇(或乙二醇)加成保护,后酸化重新 转化为醛: 易被氧气、银氨溶液、新制 醛基 Cu(OH) 悬浊液氧化 2 【变式1-1】(2023上·黑龙江·高三牡丹江一中校考期末)如图是合成某种药物的中间类似物。下列有关说 法错误的是 A.该物质含有4种官能团并存在顺反异构,不存在手性碳原子 B.该物质在一定条件下能发生取代、加成、氧化、还原、加聚反应 C.核磁共振氢谱上共有9个峰 D.1mol该物质在一定条件下最多与7mol H 反应、3mol NaOH反应 2 【答案】C 【分析】该物质含有4种官能团,分别是羧基、酯基、氨基和碳碳双键,碳碳双键连接了四个不同的原子 或基团,没有饱和碳原子,有10种等效氢。 【解析】A.该物质含有4种官能团,分别是羧基、酯基、氨基和碳碳双键;碳碳双键连接了四个不同的 原子或基团,存在顺反异构;该物质中没有饱和碳原子,不存在手性碳原子,故A正确; B.该物质含有羧基和甲基,在一定条件下能发生取代;该物质含有碳碳双键,在一定条件下能发生加成、 还原、氧化、加聚反应;故B正确;C.该分子中有10种等效氢,故C错误; D.1mol该物质含有1mol碳碳双键和2mol苯环 能与7molH 发生反应;1mol该物质含有1mol羧基和 2 1mol酚酯基,能与3mol NaOH反应,故D正确; 故选:C。 【变式1-2】(2023上·河北邯郸·高三磁县第一中学校考)如图所示是合成某种药物的中间体类似物。下列 有关该物质的说法错误的是 A.该物质含有3种官能团 B.该物质中的碳原子不可能全部共面 C.该物质能使溴的 溶液褪色 D. 该物质最多与 发生加成反应 【答案】B 【解析】A.该物质含有三种官能团,分别是羧基、碳碳双键和碳氯键,故A正确; B.该分子中具有碳碳双键和苯环结构,乙烯、苯环都是平面结构,碳碳单键可以旋转,使得所有的碳原 子可以共平面,故B错误; C.该物质中有碳碳双键,能使溴的 溶液褪色,故C正确; D. 该物质含有 碳碳双键和 苯环, 该物质最多可以和 发生加成反应,故D正确; 选B。 【考向二】有机合成——碳链的增长与缩短 【典例2】(2023上·黑龙江哈尔滨·高三哈师大附中校考)格氏试剂(RMgX)与醛、酮反应是制备醇的重要 途径。Z的一种制备方法如图: 下列说法不正确的是 A.以CH COCH 、CH MgBr和水为原料也可制得Z 3 3 3 B.Y分子与Z分子中均含有手性碳原子 C.Z易溶于水是因为Z分子与水分子之间能形成氢键D.X中碳原子的杂化轨道类型为sp3和sp2 【答案】A 【解析】A.以CH COCH 、CH MgBr和水为原料发生反应 3 3 3 ,A错误; B.Y分子与Z分子中均含有手性碳原子,B正确; C.Z分子中含有羟基,与水分子之间能形成氢键,易溶于水,C正确; D.X中甲基碳原子的杂化轨道类型为sp3,碳基碳原子的杂化轨道类型为sp2,D正确; 故选A。 举例 2CH≡CH―→CH===CH—C≡CH 2 2R—Cl――→R—R+2NaCl CHCHO――→ 3 R—Cl――→R—CN――→R—COOH CHCHO――→ ――→ 3 2CHCHO――→ 3 增长碳链 nCH===CH ――→ ; 2 2 nCH==CH—CH==CH ――→ 2 2 +(n-1)H O 2 缩短碳链 +NaOH――→RH+NaCO 2 3 R —CH==CH—R ――→R CHO+R CHO 1 2 1 2【变式2-1】(2023下·北京海淀)下列反应在有机合成中不能用于增长碳链的是 A.乙酸丙酯的水解反应 B.溴乙烷与NaCN的取代反应 C.乙醛与HCN的加成反应 D.乙烯的加聚反应 【答案】A 【解析】A.乙酸丙酯的水解反应的化学方程式为: , 碳链减短,A正确; B.溴乙烷与NaCN的取代反应的化学方程式为: ,碳链增长,B 错误; C.乙醛与HCN的加成反应的化学方程式为: ,碳链增长,C错误; D.乙烯的加聚反应的化学方程式为:nCH =CH ,碳链增长,D错误; 2 2 故选A。 【变式2-2】一定条件下,炔烃可以进行自身化合反应。如乙炔的自身化合反应为 。下列关于该反应的说法不正确的是 A.该反应使碳链增加了2个碳原子 B.该反应引入了新官能团 C.该反应属于加成反应 D.该反应属于取代反应 【答案】D 【解析】A.从方程式看出,两分子乙炔发生了加成反应,碳链增长了2个碳原子,A正确; B.该反应引入了新的官能团:碳碳双键,B正确; C.从方程式看出,两分子乙炔发生了加成反应,C正确; D.该反应为加成反应,不是取代反应,D错误; 故选D。 【考向三】有机合成——常见有机物的转化 【典例3】(2023上·上海静安·高三上海市回民中学校考期中)化合物E是香料、染料的中间体,一种合成 路线如下。回答下列问题。 (1)A中官能团名称为 ,②的反应类型是 。1molA与NaOH热溶液充分反应,消耗NaOH的物 质的量为 mol。 (2)反应④的化学方程式 。D与乙二醇反应产生聚酯的方程式 。 (3)写出与D互为同分异构体的含酯基的化合物的结构简式(2个) 。 (4)写出以乙烯为原料(其他原料任选)制取丁二酸( )的合成路线。合成路线常用的表示方式 为: 。 【答案】(1) 碳氯键、羧基 取代反应 2 (2) (3) 、 (4) 【解析】(1)A中官能团名称为羧基和碳氯键,反应②为NaCN中氰根取代了Cl原子,所以②的反应类型 是取代反应。A 中氯和羧基都可以与NaOH反应,1molA与NaOH热溶液充分反应,消耗 NaOH的物质的量为2mol。 (2)反应④的化学方程式是丙二酸和乙醇发生酯化反应, ,D与乙二醇反应产生聚酯的方程式 ;(3)写出与D互为同分异构体的含酯基的化合物的结构简式为 、 ; (4)写出以乙烯为原料(其他原料任选)制取丁二酸( )的合成路线。合成路线常用的表示方式为: 。 常见有机物转化应用举例 (1) (2) (3) (4)【变式3-1】聚氯乙烯是生活中常用的塑料。工业生产聚氯乙烯的一种工艺路线如下: 反应①的化学方程式为 ,反应类型为 ;反应②的反应类型为 。 【答案】 H C=CH +Cl →CH ClCH Cl 加成反应 消去反应 2 2 2 2 2 【解析】①反应①为乙烯与氯气的加成反应,反应方程式为: ;反应②生 成了双键,脱去了氯化氢,为卤代烃的消去反应。 【变式3-2】(2023上·江西宜春·高二江西省丰城中学校考期末)E是合成某药物的中间体,其一种合成路 线如图: (1)A中官能团的名称是 、 。 (2)A→B的反应条件和试剂是 ,反应方程式为 。 (3)D→E的反应类型是 。 (4)写出B→C的化学方程式 。 (5)E的分子式为 。 (6)B的环上一溴代物有 种,二溴代物有 种(不考虑立体异构) 【答案】(1) 氯原子 羟基 (2) O /Cu,加热 2 +O 2 + 2H O 2 2 2 (3)取代(酯化)反应 (4) +NaOH +NaCl (5)C H O 8 12 3 (6) 4 11【解析】(1)由流程图可知,A( )中所含官能团的名称是氯原子、醇羟基。 (2)A→B是 → ,即醇羟基上发生催化氧化反应,故反应条件和试剂是O /Cu、加热, 2 化学方程式为:2 +O 2 + 2H O。 2 2 (3)根据流程图可知,D→E即 ,发生酯化反应,故反应类型是酯化反应(或 取代反应)。 (4)根据流程图可知,B→C是 → 的反应是卤代烃发生水解生成醇羟基的反应,故化 学方程式为 +NaOH +NaCl。 (5)由E的结构简式可知,E的分子式为C H O 。 8 12 3 (6)B即的环上一溴代物有4种如图 ,再考虑二溴代物分别有:,故共计3+5+3=11种。 【考向四】有机合成——合成路线设计 【典例4】(2023·湖北武汉·华中师大一附中校考模拟预测)在无水环境中,醛或酮可在 的催化下与醇 发生反应,其机理如下图所示。下列说法错误的是 A.加入干燥剂或增加 的浓度,可提高醛或酮的平衡转化率 B.甲醛和聚乙烯醇( )发生上述反应时,产物中可含有六元环结构 C.总反应的化学方程式为 +2ROH +H O 2 D.在有机合成中,将醛转化为缩醛可保护醛基,缩醛再与水反应可恢复醛基 【答案】A 【解析】A.加入干燥剂除去生成物水可提高醛或酮的平衡转化率, 是催化剂,增加 的浓度,不能 提高醛或酮的平衡转化率,A错误; B.甲醛和聚乙烯醇( )发生上述反应时,产物中可含有六元环结构,B正确; C.根据以上反应机理可知,总反应的化学方程式为 +2ROH +H O,C正确; 2 D.根据上述反应机理,在有机合成中,将醛转化为缩醛可保护醛基不被氧化,缩醛再与水反应可恢复醛 基,D正确; 故选A。有机合成路线设计的几种常见类型 根据目标分子与原料分子在碳骨架和官能团两方面变化的特点,我们将合成路线的设计分为 (1)以熟悉官能团的转化为主型 例如:请设计以 CH==CHCH 为主要原料(无机试剂任选)制备CHCH(OH)COOH的合成路线流程图(须注 2 3 3 明反应条件)。 (2)以分子碳骨架变化为主型 例如:请以苯甲醛和乙醇为原料设计苯乙酸乙酯( )的合成路线流程图(须注明反应 条件)。 提示:R—Br+NaCN―→R—CN+NaBr (3)陌生官能团兼有碳骨架显著变化型(多为考查的重点) 要注意模仿题干中的变化,找到相似点,完成陌生官能团及骨架的变化。例如: 【变式4-1】对羟基苯甲醛是一种用途极广的有机合成中间体。两种主要工业合成路线如图所示。下列说法正确的是 A.苯酚和对羟基苯甲醇互为同系物 B.对羟基苯甲醇的一氯代物有4种(不考虑立体异构) C.对甲基苯酚的同分异构体中含有苯环的有4种(不包括其本身) D.对羟基苯甲醛中所有原子共平面 【答案】C 【解析】A.由题图知,苯酚的分子式为 ,对羟基苯甲醇的分子式为 ,同系物是指结构相似, 分子组成上相差一个或若干个 原子团,则二者不互为同系物,A错误; B.采用等效氢法进行分析,对羟基苯甲醇中等效氢原子有5种( ),氯原子取代C上的氢,则其 一氯代物有3种,B错误; C.利用口诀分析苯环上的取代情况,若苯环上有1个取代基,则取代基为 或 ,有2种; 若苯环上有2个取代基,取代基为 和 ,除去本身,有“邻、间”2种,则共有4种,C正确; D. 对羟基苯甲醛中单键可以旋转,则该物质分子中所有原子不一定共平面,D错 误; 故答案选C。 【变式4-2】(2023上·天津河西)最理想的“原子经济性反应”是指反应物的原子全部转化为期望的最终 产物的反应。下列属于最理想的“原子经济性反应”的是 A.用丙烯腈(CH =CHCN)在酸性条件下水解制备丙烯酸的反应 2 B.乙醇的催化氧化 C.用乙醛发生羟醛缩合制备2﹣丁烯醛的反应 D.用环氧乙烷与水反应制备乙二醇的反应 【答案】D【解析】A.丙烯腈在酸性条件下水解制备丙烯酸的反应方程式为CH =CHCN+H++2H O→CH =CHCOOH+ 2 2 2 ,产物除丙烯酸外还有 ,反应物中原子没有全部转化为期望的最终产物,A项不符合题意; B.乙醇的催化氧化反应的方程式为2CH CH OH+O 2CH CHO+2H O,产物有乙醛和H O两种,反 3 2 2 3 2 2 应物中原子没有全部转化为期望的最终产物,B项不符合题意; C.乙醛发生羟醛缩合制备2-丁烯醛的方程式为CH CHO+CH CHO CH CH=CHCHO+H O,产物有2-丁 3 3 3 2 烯醛和H O两种,反应物中原子没有全部转化为期望的最终产物,C项不符合题意; 2 D.用环氧乙烷与水反应制备乙二醇的方程式为 +H O HOCH CH OH,产物只有乙二醇 2 2 2 一种,反应物中原子全部转化为期望的最终产物,D项符合题意; 答案选D。 【考向五】有机推断——根据条件确定官能团及反应 【典例5】(2023上·江苏无锡)下列每个选项的甲、乙两个反应中,属于同一种反应类型的是 甲 乙 A 溴乙烷水解制备乙醇 乙烯水化制备乙醇 B 乙烯使溴水褪色 乙烯使 溶液褪色 C 甲苯与 溶液反应生成 甲苯燃烧 D 苯与浓硝酸反应制备硝基苯 苯与氢气反应生成环己烷 A.A B.B C.C D.D 【答案】C 【解析】A.溴乙烷发生水解反应或取代反应生成乙醇,乙烯和水发生加成反应生成乙醇,前者为取代反 应、后者为加成反应,反应类型不同, A错误; B.乙烯和溴发生加成反应生成无色物质而使溴水褪色,乙烯被酸性高锰酸钾溶液氧化而使酸性高锰酸钾 溶液褪色,前者为加成反应,后者为氧化反应,反应类型不同,B错误; C.甲苯被酸性高酸钾溶液氧化生成苯甲酸,甲苯燃烧的反应为氧化反应,二者都是氧化反应,反应类型 相同,C正确; D.苯和浓硝酸发生取代反应生成硝基苯,苯和氢气发生加成反应生成环己烷,前者为取代反应,后者为 加成反应,反应类型不同,D错误;答案选C。 1.根据反应条件确定可能的官能团及反应 反应条件 可能的官能团及反应 ①醇的消去(含有醇羟基) 浓硫酸/△ ②酯化反应(含有羟基或羧基) ①酯的水解(含有酯基) 稀硫酸/△ ②二糖、多糖的水解 ①卤代烃的水解(含有—X) NaOH溶液/△ ②酯的水解(含有酯基) NaOH醇溶液/△ 卤代烃的消去(含有—X) H/催化剂 加成或还原含有碳碳双键、碳碳三键、醛基、羰基 2 O/Cu、加热 醇羟基氧化[含有—CH(OH)—、—CHOH] 2 2 Cl(Br)/Fe 苯环上的取代反应 2 2 Cl(Br)/光照 烷烃或苯环上烷烃基的取代反应 2 2 【变式5-1】用丙醛制聚丙烯的过程中发生的反应类型为 ①取代 ②消去 ③加聚 ④缩聚 ⑤氧化 ⑥还原 A.①④⑥ B.⑤②③ C.②④⑤ D.⑥②③ 【答案】D 【解析】聚丙烯可由单体丙烯发生加聚反应制得,合成的关键是由CH CH CHO合成CH =CHCH ,对比丙醛 3 2 2 3 和丙烯的结构,碳干不变,主要是官能团的转化,结合所学知识合成路线为CH CH CHO CH CH CH OH 3 2 3 2 2 CH =CHCH 聚丙烯,依次发生的反应类型为加成(或还原)反应、消去反应、加聚反应; 2 3 答案选D。 【变式5-2】(2023上·湖北·高三武汉二中校联考)在有取代基的苯环上发生取代反应,取代基有定位效应, 烃基、羟基、卤原子均为邻对位定位基,定位效应羟基强于卤原子,硝基为间位定位基。若苯环上连有不 同定位效应的取代基,则以邻对位取代基为主。下列事实和定位效应不相符合的是 A. 与浓硝酸和浓硫酸的混合物在加热作用下,生成B.苯酚 与溴水反应生成 C.由 合成 ,需要先引入硝基,再引入碳溴键 D.苯与足量液溴在 催化下直接合成 【答案】D 【解析】A.甲基是烃基的一种,属于邻对位定位基,硝基属于间为定位基, 硝化生成 合理,A正确; B.羟基属于邻对位定位基,定位效应羟基强于卤原子,苯酚 与溴水发生取代反应生成 ,B正确; C.由 合成 ,先引入硝基,硝基是间位定位基,甲基为邻对位定位基,再引入溴原 子,C正确; D.苯的溴代反应,先生成一溴代物,溴原子为邻对位定位基,因此,不可直接生成 ,D错误; 故选D。 【考向六】有机推断——根据性质确定官能团或物质 【典例6】(2023上·黑龙江大庆·高三大庆实验中学校考期末)我国科学家提出的聚集诱导发光机制已成 为研究热点之一,一种具有聚集诱导发光性能的物质,其分子结构如图所示。下列说法正确的是 A.分子中C原子有 、 两种杂化方式,N原子均为 杂化 B.分子中含有手性碳原子 C.该物质可发生取代反应、加成反应、消去反应 D.该物质既有酸性又有碱性 【答案】D 【解析】A.该分子中左边的N原子为碳氮双键、有一个孤对电子和两个σ键,为sp2杂化,右边的N原子 形成碳氮单键、有一个孤对电子和三个σ键,为sp3杂化,故A错误; B.手性碳原子是指连有四个不同原子团的碳原子,该有机物中没有手性碳原子,故B错误; C.该分子存在苯环、碳氮双键,可以发生加成反应,有卤素原子、羧基,能发生取代反应,氯原子联在 苯环上、不能发生消去反应,故C错误; D.该物质中存在羧基,具有酸性,该物质中还含有 ,具有碱性,故D正确; 故选D。 根据反应物性质确定可能的官能团或物质 反应物性质 可能的官能团或物质 与NaHCO 溶液反应 —COOH 3 与NaCO 溶液反应 —COOH、酚羟基 2 3 与Na反应 —COOH、—OH 与银氨溶液反应产生银镜 —CHO 与新制Cu(OH) 悬浊液反应产生红色沉淀 —CHO 2使溴水褪色 、—C≡C—、—CHO 加溴水产生白色沉淀、遇Fe3+发生显色反应 酚羟基 、—C≡C—、—OH、—CHO、苯的 使酸性KMnO 溶液褪色 4 同系物(侧链上与苯环相连的碳原子上有氢原 子) A――→B――→C A是醇(含有—CHOH)或乙烯 2 【变式6-1】(2024·广西·统考模拟预测)10-羟基喜树碱具有抗癌作用,其结构简式如图。下列有关该化合 物的说法正确的是 A.有2种含氧官能团 B.可与 溶液发生显色反应 C.可与 溶液反应产生 D.有2个手性碳原子 【答案】B 【解析】A.10-羟基喜树碱中含有羟基,羰基和酯基三种氧官能团,故A错误; B.10-羟基喜树碱中含有酚羟基,可与 溶液发生显色反应,故B正确; C.该分子中不含羧基,无法与 溶液反应产生,故C错误; D.该分子的手性碳如图所示, ,只有1个手性碳原子,故D错误; 故答案选B。 【变式6-2】(2023上·河北·高三石家庄一中实验学校校联考期末)中国科学技术大学的龚流柱教授课题组 首次合成手性烯基衍生物(M),结构如图所示。已知:1-氯丙烯有顺、反异构体,结构简式分别为 、 。下列有关M的叙述正 确的是 A.M中含氧官能团有3种 B.M可被催化氧化生成醛基 C.M分子有顺、反异构体 D.用钠可以证明M中含羟基 【答案】C 【解析】A.M中有羟基和羧基两种含氧官能团,A错误; B.与醇羟基直接相连的C上只有1个H,只能被催化氧化成酮,B错误; C.M中含有碳碳双键,且碳碳双键每侧所连的基团不相同,因此具有顺反异构,C正确; D.M中的羧基也能与钠反应放出气泡,无法证明羟基的存在,D错误; 故选C。 【考向七】有机推断——根据特征产物确定碳骨架和官能团的位置 【典例7】(2023下·宁夏银川)分子式为C H O 的有机物在一定条件下具有如下性质: 4 8 3 ①在浓硫酸存在下,能与CH CH OH、CH COOH反应; 3 2 3 ②在浓硫酸存在下,能脱水生成一种能使溴水褪色的物质,该物质只存在一种结构; ③在浓硫酸存在下,能生成一种分子式为C H O 的五元环状化合物。 4 6 2 则C H O 的结构简式为 4 8 3 A.HOCH COOCH CH₃ B.HOCH CH CH COOH 2 2 2 2 2 C.CH CH(OH)CH COOH D.CH CH CH(OH)COOH 3 2 3 2 【答案】B 【解析】分子式为C H O 的有机物在浓硫酸存在下,能与CH CH OH、CH COOH反应,说明结构中既有羧 4 8 3 3 2 3 基又有羟基;在浓硫酸存在下,能生成一种分子式为C H O 的五元环状化合物说明是直链结构且羟基和羧 4 6 2 基在两边;在浓硫酸存在下,能脱水生成一种能使溴水褪色的物质,该物质只存在一种结构,发生消去反 应由于羟基在边上,只能有一种消去方式。因此结构简式应该是HOCH CH CH COOH,故B正确。 2 2 2 答案选B。以特征产物为突破口推断碳骨架和官能团的位置 (1)醇的氧化产物与结构的关系 (2)由消去反应的产物可确定“—OH”或“—X”的位置。 (3)由取代产物的种类或氢原子环境可确定碳骨架。有机物取代产物越少或相同环境的氢原子数越多, 说明该有机物结构的对称性越高,因此可由取代产物的种类或氢原子环境联想到该有机物碳骨架的对称性 而快速解题。 (4)由加氢后的碳骨架可确定碳碳双键或碳碳三键的位置。 (5)由有机物发生酯化反应能生成环酯或高聚酯,可确定该有机物中含羟基和羧基;根据酯的结构,可 确定—OH与—COOH的相对位置。 【变式7-1】(2023·安徽淮南·统考二模)重要的有机聚合物(N)的某种合成路线如图所示(考虑顺反异构), 下列说法正确的是 A.醇类物质L的分子中sp3杂化的原子数为4个 B.单体M的结构简式为 C.聚合物N难以降解 D.聚合物N中最多有4个碳原子共线 【答案】C 【分析】由结构简式可知, 在浓硫酸作用下共热发生消去反应生成, 一定条件下发生加聚反应生成 。 【解析】A.由结构简式可知,L分子中饱和碳原子和羟基氧原子的杂化方式都为sp3杂化,共有5个,故A 错误; B.由分析可知,单体M为反式结构,结构简式为 ,故B错误; C.由结构简式可知,高聚物 难以降解,会造成白色污染,故C正确; D.由结构简式可知,高聚物 分子中处于对位上的碳原子以及相连的碳原子共线,延长线 上会有其他碳原子与其共线,则分子中最多会大于4个碳原子共线,故D错误; 故选C。 【变式7-2】(2023上·陕西西安)由乙炔与甲醛合成1,3-丁二烯的路线如图: 下列说法正确的是 A.X的结构简式为HOCH CH=CHCH OH 2 2 B.反应③的转化条件a为NaOH醇溶液,加热 C.1,3-丁二烯与等物质的量的Br 发生加成,所得产物可能有2种 2 D.①、②、③的反应类型依次为取代反应、加成反应、消去反应 【答案】C 【分析】根据流程可知,乙炔中的C-H键与甲醛中的C=O双键在Na、液氨存在的条件下发生加成反应,生成HOCH CH=CHCH OH;HOCHCH=CHCH OH与氢气发生加成反应,则X中含有羟基,X变为1,3-丁二烯为 2 2 2 醇的消去反应,则反应条件a为浓硫酸加热;X为HOCH CH CH CH OH。 2 2 2 2 【解析】A.分析可知,X的结构简式为HOCH CH CH=CHOH,A错误; 2 2 B.反应③为醇的消去反应,转化条件a为浓硫酸、加热,B错误; C.1,3-丁二烯与等物质的量的Br 发生加成,可能发生1,2-加成或1,4-加成,所得产物可能有2种,C 2 正确; D.根据上述分析,①为加成反应,②为加成反应,③为消去反应,D错误; 故答案为:C。 【考向八】有机推断——根据关键数据推断官能团的数目 【典例8】(2024·甘肃·模拟预测)多组分反应可将多个原料分子一次性组合生成目标分子。我国科学家利 用多组分反应合成了一种亲水亲脂分子车用于输送药物分子。下列说法正确的是 A.该分子车含有四个肽键 B. 是亲水基团 C.该分子车含酰胺官能团 D.该反应原子利用率可达100% 【答案】C 【分析】肽键是由两个或多个氨基酸分子的α-氨基和α-羧基脱水缩合形成的共价键;而酰胺基是由脂肪酸 与氨基经取代反应得到,据此分析。 【解析】A.由分析可知,该分子车不含肽键,A错误; B. 为烃基,烃基为疏水基团,B错误; C.由分析可知,该分子车含酰胺官能团,C正确; D.该反应为取代反应,有水生成,原子利用率达不到100%,D错误; 故选C。 根据关键数据推断官能团的数目 (1)—CHO (2)2—OH(醇、酚、羧酸)――→H 2(3)2—COOH――→CO,—COOH――→CO 2 2 (4) (5)RCHOH――→CHCOOCH R 2 3 2 (M) (M+42) r r 【变式8-1】(2023上·河北·高三石家庄一中实验学校校联考期末)中国科学技术大学的龚流柱教授课题组 首次合成手性烯基衍生物(M),结构如图所示。 已知:1-氯丙烯有顺、反异构体,结构简式分别为 、 。下列有关M的叙述正 确的是 A.M中含氧官能团有3种 B.M可被催化氧化生成醛基 C.M分子有顺、反异构体 D.用钠可以证明M中含羟基 【答案】C 【解析】A.M中有羟基和羧基两种含氧官能团,A错误; B.与醇羟基直接相连的C上只有1个H,只能被催化氧化成酮,B错误; C.M中含有碳碳双键,且碳碳双键每侧所连的基团不相同,因此具有顺反异构,C正确; D.M中的羧基也能与钠反应放出气泡,无法证明羟基的存在,D错误; 故选C。 【变式8-2】(2024上·辽宁·高三校联考期末)多西环素属于四环素类抗生素,对立克次体、衣原体、支原 体及原虫等均有抑制作用。其结构如图,下列说法错误的是 A.分子式为C H N O 22 24 2 8 B.分子中有5个手性碳原子 C.分子中含有三种含氧官能团D.能发生氧化反应、还原反应、水解反应、酯化反应 【答案】B 【解析】A.根据该物质的键线式结构,分子式为 ,A正确; B.分子中有6个手性碳原子, ,B错误; C.分子中含有羟基、羰基、酰胺基三种含氧官能团,C正确; D.分子中含有羟基、碳碳双键,能发生氧化反应,分子中含有苯环、酮羰基、碳碳双键,能与氢气发生 加成反应,属于还原反应,含有酰胺基,能发生水解反应,含有羟基,能发生酯化反应,D正确; 答案选B。 【考向九】有机推断——根据新信息类推 【典例9】维生素E是一种人体必需的脂溶性维生素,现已广泛应用于医药、营养品、化妆品等。天然的 维生素E由多种生育酚组成,其中 生育酚(化合物E)含量最高,生理活性也最高。下面是化合物E的一种 合成路线,其中部分反应略去。 已知以下信息:a) b) c) 回答下列问题: 反应物C含有三个甲基,其结构简式为 。 【答案】 【解析】按照上述流程处理:对比反应物与产物的结构,可确定将产物切割开( ),再结合 题干提供的信息b不难确定C的键线式为 。 高考常见的新信息反应总结 (1)丙烯αH被取代的反应:CH—CH==CH +Cl――→Cl—CH —CH==CH +HCl。 3 2 2 2 2 (2)共轭二烯烃的1,4加成反应: ①CH==CH—CH==CH +Br ―→ ; 2 2 2 ② 。 (3)烯烃被O 氧化:R—CH==CH ――→R—CHO+HCHO。 3 2 (4)苯环侧链的烃基被酸性KMnO 溶液氧化: 4 。 (5)苯环上硝基被还原: 。(6)醛、酮的加成反应(加长碳链,—CN水解得—COOH): ③ (作用:制备胺); ④ (作用:制半缩醛)。 (7)羟醛缩合: ――→ 。 (8)醛或酮与格氏试剂(R′MgX)发生加成反应,所得产物经水解可得醇: 。 (9)羧酸分子中的αH被取代的反应: 。 (10)羧酸用LiAlH 还原时,可生成相应的醇:RCOOH――→RCHOH。 4 2 (11)酯交换反应(酯的醇解):R COOR +R OH―→R COOR +R OH 1 2 3 1 3 2 【变式9-1】(2023上·宁夏石嘴山)卤代烃与金属镁在无水乙醚中反应,可得格氏试剂RMgX,它可与醛、 酮等羰基化合物加成,所得产物经水解可得醇: ,其 中:R表示烃基,X表示卤原子。这是某些复杂醇的合成方法之一,现欲合成 ,(已知: 酮是两个烃基与羰基相连的有机物,最简单的酮是丙酮: ),可选用的醛或酮与格氏试剂 是 A.HCHO与 B.CH CH CHO与CH CH MgX 3 2 3 2C.CH CHO与CH CH MgX D. 与CH CH MgX 3 3 2 3 2 【答案】D 【解析】A.HCHO与 合成后所得产物: ,A错误; B.CH CH CHO 与CH CH MgX合成后所得产物为: ,B错误; 3 2 3 2 C.CH CHO与CH CH MgX合成后所得产物为: ,C错误; 3 3 2 D. 与CH CH MgX合成后所得产物为: ,D正确; 3 2 故选D。 【变式9-2】(2023·全国·高三专题练习)可降解聚合物P的合成路线如下 已知:i. ii. 试写出G和聚合物P的结构简式是 。 【答案】 、【分析】由有机物的转化关系可知, 在浓硫酸作用下与CH COOH共热发生酯化 3 反应生成 ,则A为 、羧酸a为乙酸、B为 ; 在浓硫酸作用下与浓硝酸共热发生硝化反应生成 , 则C为 ; 发生还原反应生成 ,一定条件下 在氢氧化钠溶液中转化为 , 先发生氧化反应,后酸化转化为 ,则E为 ; 发生 一系列反应生成 ,则F为 ; 共热发生取代反应生成 ,则G为; 与 发生信息II中反应得到 ,则高聚物P为 。 【解析】由分析可知,G和聚合物P的结构简式分别为 、 ,故答案为: ; 。1.(2023·全国卷)下列反应得到相同的产物,相关叙述错误的是 A.①的反应类型为取代反应 B.反应②是合成酯的方法之一 C.产物分子中所有碳原子共平面 D.产物的化学名称是乙酸异丙酯 【答案】C 【解析】A.反应①为乙酸和异丙醇在酸的催化下发生酯化反应生成了乙酸异丙酯和水,因此,①的反应 类型为取代反应,A叙述正确; B.反应②为乙酸和丙烯发生加成反应生成乙酸异丙酯,该反应的原子利用率为100%,因此,该反应是合 成酯的方法之一,B叙述正确; C.乙酸异丙酯分子中含有4个饱和的碳原子,其中异丙基中存在着一个饱和碳原子连接两个饱和碳原子 和一个乙酰氧基,类比甲烷的正四面体结构可知,乙酸异丙酯分子中的所有碳原子不可能共平面,C叙述 是错误; D.两个反应的产物是相同的,从结构上看,该产物是由乙酸与异丙醇通过酯化反应生成的酯,故其化学 名称是乙酸异丙酯,D叙述是正确; 综上所述,本题选C。 2.(2023·全国卷)藿香蓟具有清热解毒功效,其有效成分结构如下。下列有关该物质的说法错误的是 A.可以发生水解反应 B.所有碳原子处于同一平面 C.含有2种含氧官能团 D.能与溴水发生加成反应 【答案】B 【解析】A.藿香蓟的分子结构中含有酯基,因此其可以发生水解反应,A说法正确; B.藿香蓟的分子结构中的右侧有一个饱和碳原子连接着两个甲基,类比甲烷分子的空间构型可知,藿香 蓟分子中所有碳原子不可能处于同一平面,B说法错误; C.藿香蓟的分子结构中含有酯基和醚键,因此其含有2种含氧官能团,C说法正确;D.藿香蓟的分子结构中含有碳碳双键,因此,其能与溴水发生加成反应,D说法正确; 综上所述,本题选B。 3.(2023·全国卷)光学性能优良的高分子材料聚碳酸异山梨醇酯可由如下反应制备。 下列说法错误的是 A.该高分子材料可降解 B.异山梨醇分子中有3个手性碳 C.反应式中化合物X为甲醇 D.该聚合反应为缩聚反应 【答案】B 【解析】A.该高分子材料中含有酯基,可以降解,A正确; B.异山梨醇中 四处的碳原子为手性碳原子,故异山梨醇分子中有4个手性碳,B 错误; C.反应式中异山梨醇释放出一个氢原子与碳酸二甲酯释放出的甲氧基结合生成甲醇,故反应式中X为甲 醇,C正确; D.该反应在生产高聚物的同时还有小分子的物质生成,属于缩聚反应,D正确; 故答案选B。 4.(2023·北京卷)一种聚合物 的结构简式如下,下列说法不正确的是 A. 的重复单元中有两种官能团 B. 可通过单体 缩聚合成 C. 在碱性条件下可发生降解 D. 中存在手性碳原子 【答案】A 【解析】A. 的重复单元中只含有酯基一种官能团,A项错误;B.由 的结构可知其为聚酯,由单体 缩聚合成,B项正确; C. 为聚酯,碱性条件下可发生降解,C项正确; D. 的重复单元中只连有1个甲基的碳原子为手性碳原子,D项正确; 故选A。 5.(2023·北京卷)化合物 与 反应可合成药物中间体 ,转化关系如下。 已知L能发生银镜反应,下列说法正确的是 A.K的核磁共振氢谱有两组峰 B.L是乙醛 C.M完全水解可得到K和L D.反应物K与L的化学计量比是1∶1 【答案】D 【解析】A.有机物的结构与性质 K分子结构对称,分子中有3种不同环境的氢原子,核磁共振氢谱有3 组峰,A错误; B.根据原子守恒可知1个K与1个L反应生成1个M和2个H O,L应为乙二醛,B错误; 2 C.M发生完全水解时,酰胺基水解,得不到K,C错误; D.由上分析反应物K和L的计量数之比为1∶1,D项正确; 故选D。 6.(2023年高考天津卷化学真题)如图所示,是芥酸的分子结构,关于芥酸,下列说法正确的是 A.芥酸是一种强酸 B.芥酸易溶于水 C.芥酸是顺式结构 D.分子式为【答案】C 【解析】A.芥酸中含有羧基,烃基较大,则芥酸的酸性小于醋酸,属于弱酸,故A错误; B.虽然芥酸中含有的羧基是亲水基团,但疏水基——烃基较大,其难溶于水,故B错误; C.芥酸中存在碳碳双键,且H原子在碳碳双键的同一侧,是一种顺式不饱和脂肪酸,故C正确; D.由结构简式可知,芥酸的分子式为C H O ,故D错误; 22 42 2 故选C。 7.(2023·山东卷)抗生素克拉维酸的结构简式如图所示,下列关于克拉维酸的说法错误的是 A.存在顺反异构 B.含有5种官能团 C.可形成分子内氢键和分子间氢键 D.1mol该物质最多可与1molNaOH反应 【答案】D 【解析】A.由题干有机物结构简式可知,该有机物存在碳碳双键,且双键两端的碳原子分别连有互不同 的原子或原子团,故该有机物存在顺反异构,A正确; B.由题干有机物结构简式可知,该有机物含有羟基、羧基、碳碳双键、醚键和酰胺基等5种官能团,B正 确; C.由题干有机物结构简式可知,该有机物中的羧基、羟基、酰胺基等官能团具有形成氢键的能力,故其 分子间可以形成氢键,其中距离较近的某些官能团之间还可以形成分子内氢键,C正确; D.由题干有机物结构简式可知,1mol该有机物含有羧基和酰胺基各1mol,这两种官能团都能与强碱反应, 故1mol该物质最多可与2molNaOH反应,D错误; 故答案为:D。 8.(2023·全国卷)奥培米芬(化合物J)是一种雌激素受体调节剂,以下是一种合成路线(部分反应条件己简 化)。已知: 回答下列问题: (1)A中含氧官能团的名称是 。 (2)C的结构简式为 。 (3)D的化学名称为 。 (4)F的核磁共振谱显示为两组峰,峰面积比为1∶1,其结构简式为 。 (5)H的结构简式为 。 (6)由I生成J的反应类型是 。 (7)在D的同分异构体中,同时满足下列条件的共有 种; ①能发生银镜反应;②遇FeCl 溶液显紫色;③含有苯环。 3 其中,核磁共振氢谱显示为五组峰、且峰面积比为2∶2∶2∶1∶1的同分异构体的结构简式为 。 【答案】(1)醚键和羟基 (2) (3)苯乙酸 (4)(5) (6)取代反应(水解反应) (7) 13 【分析】有机物A与有机物B发生反应生成有机物C,有机物C与有机物D在多聚磷酸的条件下反应生成 有机物E,根据有机物E的结构可以推测,有机物C的结构为 ,进而推断出有机 物D的结构为 ;有机物E与有机物F反应生成有机物G,有机物G根据已知条件发生反应生成 有机物H,有机物H的结构为 ,有机物H发生两步反应得到目标化合物 J(奥培米芬);据此分析解题。 【解析】(1)根据有机物A的结构,有机物A中的含氧官能团是醚键和羟基。 (2)根据分析,有机物C的结构简式为 。(3)根据分析,有机物D的结构为 ,其化学名称为苯乙酸。 (4)有机物F的核磁共振氢谱显示未两组峰,封面积比为1:1,说明这4个H原子被分为两组,且物质 应该是一种对称的结构,结合有机物F的分子式可以得到,有机物F的结构简式为 。 (5)根据分析,有机物H的结构简式为 。 (6)根据流程,有机物I在LiAlH /四氢呋喃的条件下生成有机物J,从J的结构中可以看出,有机物右侧的 4 酯基断裂生成了羟基,故该反应为取代反应(水解反应)。 (7)能发生银镜反应说明该结构中含有醛基,能遇FeCl 溶液显紫色说明该结构中含有酚羟基,则满足这 3 三个条件的同分异构体有13种。此时可能是情况有,固定醛基、酚羟基的位置处在邻位上,变换甲基的位 置,这种情况下有4种可能;固定醛基、酚羟基的位置处在间位上,变换甲基的位置,这种情况下有4种 可能;固定醛基、酚羟基的位置处在对位上,变换甲基的位置,这种情况下有2种可能;将醛基与亚甲基 相连,变换酚羟基的位置,这种情况下有3种可能,因此满足以上条件的同分异构体有4+4+2+3=13种。其 中,核磁共振氢谱显示为五组峰,且峰面积比为2:2:2:1:1,说明这总同分异构体中不能含有甲基且 结构为一种对称结构,因此,这种同分异构体的结构简式为: 。 9.(2023·山东卷)根据杀虫剂氟铃脲(G)的两条合成路线,回答下列问题。 已知:Ⅰ.R NH +OCNR → 1 2 2 Ⅱ.路线一: (1)A的化学名称为 (用系统命名法命名); 的化学方程式为 ;D中含氧官能团的名称为 ;E的结构简式为 。 路线二: (2)H中有 种化学环境的氢,①~④属于加成反应的是 (填序号);J中原子的轨道杂化方式有 种。 【答案】(1) 2,6-二氯甲苯 +2KF +2KCl 酰胺 基 (2) 2 ②④ 3 【分析】路线:根据流程及A的分子式为C H Cl ,可推出A的结构式为 ,A在氨气和氧 7 6 2 气的作用下,生成了B( ),B与KF反应,生成C( ),根据题给信息,C与过氧化氢反应,生成D( ),D和(COCl ) 反应生成E,E的分子式为C H F NO , 2 2 8 3 2 2 推出E的结构式为 ,E与F( )反应 生成了氟铃脲(G)。 路线二: 根据流程及F的分子式可推出H的结构式 ,H与氢气反应生成I( ),I与CF =CF 反应生成F( ),F与 2 2 (COCl ) 反应生成J( ),J与D( )反应生 2 2 成了氟铃脲(G)。 【解析】(1)由分析可知,A为 ,系统命名为2,6-二氯甲苯,B与KF发生取代反应生成C,化学方程式为 +2KF +2KCl,D为 ,含 氧官能团为酰胺基,根据分析,E为 。 (2)根据分析,H为 ,由结构特征可知,含有2种化学环境的氢,根据分析流 程可知H→I为还原反应,I→F为加成反应,F→J为取代反应,J→G为加成反应,J为 ,苯环上的C原子采用sp2杂化,O=C=N中的C采用sp杂化,饱和 碳采用sp3杂化,共3种,N原子的杂化方式为sp2、O原子杂化方式为sp2和sp3,所以J中原子的杂化方式 有3种。 1.(2023·吉林·统考模拟预测)染料木黄酮的结构如图,下列说法正确的是 A.分子式为C H O 15 9 5 B.经核磁共振氢谱测定,分子中存在4种官能团 C.1mol该物质与足量溴水反应,最多可消耗4mol Br 2 D.1mol该物质与足量H 反应,最多可消耗8molH 2 2 【答案】D 【解析】A.由木黄酮的结构可知分子式为C H O ,A错误; 15 10 5 B.根据结构式可知分子中含有酚羟基、羰基、醚键和碳碳双键,共4种官能团,但醚键和羰基不含氢原 子,不能通过核磁共振氢谱测定,B错误;C.木黄酮的结构中含有碳碳双键可与溴水发生加成反应,苯环上酚羟基的邻对位可以与溴水发生取代反 应,因此,1mol该物质与足量溴水反应,最多可消耗5mol Br ,C错误; 2 D.1mol苯环可与3molH 加成,1mol碳碳双键可与1molH 加成,1mol羰基的碳氧双键可与1molH 加成; 2 2 2 1mol木黄酮的结构共有2mol苯环、1mol碳碳双键、1mol羰基的碳氧双键,故该物质与足量H 反应,最 2 多可消耗8molH ,D正确; 2 故选D。 2.已知卤代烃可与金属钠反应,生成碳链较长的烃:R-X+2Na+R'X RR'+2NaX。现有 和 的混合物,使其与金属钠反应,不可能生成的烃是 A.己烷 B.正丁烷 C.2,3—二甲基丁烷 D.2—甲基丁烷 【答案】A 【解析】 与金属钠以物质的量之比1:1发生反应能够生成正丁烷和溴化钠; 与金 属钠以物质的量之比1:1发生反应能够生成2,3-二甲基丁烷和溴化钠; 、 与金属 钠以物质的量之比1:1:2反应能够生成2-甲基丁烷和溴化钠。综上所述,本题选A。 3.(2023·甘肃天水)以乙烯为原料,可以制备乙酸乙酯 (1)③的反应类型是 ,乙醇分子中官能团的名称是 。 (2)写出反应①的化学方程式 。 (3)利用图示装置制取乙酸乙酯。写出生成乙酸乙酯的化学方程式: 。 【答案】(1) 取代反应 羟基 (2)CH =CH +H O CH CH OH 2 2 2 3 2 (3)CH COOH+CH CH OH CH COOCH CH +H O 3 3 2 3 2 3 2 【解析】(1)反应③为CH COOH+C H OH CH COOC H +H O,反应类型是取代反应,乙醇(C H OH)分 3 2 5 3 2 5 2 2 5 子中官能团的名称是羟基。 (2)反应①为CH =CH 水化法制CH CH OH,化学方程式为CH =CH +H O CH CH OH。 2 2 3 2 2 2 2 3 2 (3)利用图示装置制取乙酸乙酯,CH COOH与C H OH发生反应生成乙酸乙酯等,化学方程式:CH COOH 3 2 5 3 +CH CH OH CH COOCH CH +H O。 3 2 3 2 3 2 4.(2023上·天津·高三天津市第七中学校考)对乙酰氨基酚(T)为非甾体类抗炎药,具有解热镇痛作用。其 结构简式如图所示,下列有关说法错误的是A.1molT最多能与2molNaOH反应 B.能与饱和溴水发生取代反应 C.T中含有两种官能团 D.能与Na CO 反应放出CO 2 3 2 【答案】D 【解析】A.分子中酰胺基、酚羟基均会和氢氧化钠溶液反应,故1molT最多能与2molNaOH反应,A正确; B.对乙酰氨基酚中酚羟基邻对位上的氢可以和浓溴水发生取代反应,B正确; C.分子中酰胺基、酚羟基两种官能团,C正确; D.酚羟基与碳酸钠反应生成碳酸氢钠,不能生成CO ,D错误; 2 故选D。 5.(2023上·天津·高三天津市第七中学校考)对乙酰氨基酚(T)为非甾体类抗炎药,具有解热镇痛作用。其 结构简式如图所示,下列有关说法错误的是 A.1molT最多能与2molNaOH反应 B.能与饱和溴水发生取代反应 C.T中含有两种官能团 D.能与Na CO 反应放出CO 2 3 2 【答案】D 【解析】A.分子中酰胺基、酚羟基均会和氢氧化钠溶液反应,故1molT最多能与2molNaOH反应,A正确; B.对乙酰氨基酚中酚羟基邻对位上的氢可以和浓溴水发生取代反应,B正确; C.分子中酰胺基、酚羟基两种官能团,C正确; D.酚羟基与碳酸钠反应生成碳酸氢钠,不能生成CO ,D错误; 2 故选D。 6.(2023上·河南安阳)对苯二甲酸双羟基酯可用作香料,其结构简式如图所示。下列关于对苯二甲酸双 羟基酯的说法中错误的是 A.分子式为 B.可由 和 发生取代反应进行制备 C.能发生氧化反应和缩聚反应 D.苯环上的二氯代物有2种(不考虑立体异构) 【答案】D 【解析】A.分子式为 C H O ,A正确; 12 14 6B.对苯二甲酸与乙二醇发生酯化反应可以制备该有机物,B正确; C.该有机物含有两个醇羟基,能与二元羧酸发生缩聚反应,该有机物能发生下列氧化反应:燃烧、醇羟 基使酸性高锰酸钾褪色以及催化氧化等,C正确; D.采用“定一动一”原则可知,苯环上的二氯代物不止2种,D错误; 答案选D。 7.(2023上·辽宁·高三沈阳二中校考)对以下转化判断正确的是 A.A→B过程中发生了加成反应 B.1molB最多可以和5mol氢气反应 C.A中含有4种官能团 D.C不能使酸性高锰酸钾溶液褪色 【答案】B 【解析】A.A→B过程中A中羟基上的氢原子被甲基取代,发生了取代反应,故A错误; B.B的不饱和度是6(硝基1,苯环4,醛基1),1mol B上的苯环和醛基与4mol氢气发生加成反应,1molB 上的硝基与1mol氢气发生还原反应,所以1molB最多可以和5mol氢气反应,故B正确; C.A中只含有3种官能团(羟基、硝基和醛基),故C错误; D.C中含有羟基,能使酸性高锰酸钾溶液褪色,故D错误。 故选B。 8.氯吡格雷(Clopidogrel)是一种用于预防和治疗因血小板高聚集引起的心、脑及其他动脉循环障碍疾病的 药物。以A为原料合成氯吡格雷的路线如下:已知:R—CHO ,R—CN RCOOH。 (1)D→E的反应类型是 。 (2)C分子间可在一定条件下反应生成含有3个六元环的产物,该反应的化学方程式为 。 【答案】(1)取代反应 (2)2 +2H O 2 【分析】根据题中信息可知,D的结构简式为 ,C的分子式为C H ClNO ,B的分子式为 8 8 2 C H N Cl,结合题中的已知,可得A的结构简式为 ,B的结构简式为 ,C的 8 7 2 结构简式为 ,X的结构简式为CH OH,D与Y(C H BrS)发生取代反应生成E,E的结构简 3 6 7 式为 ,则Y的结构简式为 ,E与 在酸性条件,90℃时发生反 应,生成氯吡格雷(Clopidogrel), 由原子守恒可知,还有乙二醇生成,氯吡格雷(Clopidogrel)的结构简式为,乙二醇的结构简式为 ;据此解答。 【解析】(1)由上述分析可知,D的结构简式为 ,Y的结构简式为 ,E 的结构简式为 ,则D与Y发生取代反应生成E,即 + +HBr;答案为取代反应。 (2)由上述分析可知,C的结构简式为 ,2分子C发生分子间脱水生成含有3个六元环 的产物,该反应的化学方程式为2 +2H O;答案为2 2 +2H O。 2